Comparative Risk Assessment of a Hydrogen Refueling Station Using Gaseous Hydrogen and Formic Acid as the Hydrogen Carrier
Abstract
1. Introduction
2. Process Design and Simulation
2.1. FAHRS System
2.2. GHRS System
3. Methodology
3.1. Hazard Identification (HAZID)
3.2. Scenario Definition
3.3. Risk Analysis
3.3.1. Frequency Analysis
3.3.2. Consequence Analysis
3.3.3. Individual Risk and Societal Risk
4. Results and Discussion
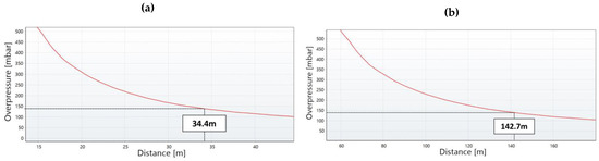
4.1. Consequence Analysis
4.2. Risk Analysis
4.3. Risk Mitigation
5. Conclusions
Author Contributions
Funding
Data Availability Statement
Conflicts of Interest
References
- Bockris, J.O.M. The Hydrogen Economy: Its History. Int. J. Hydrogen Energy 2013, 38, 2579–2588. [Google Scholar] [CrossRef]
- Olah, G.A. Beyond Oil and Gas: The Methanol Economy. Angew. Chem. Int. Ed. 2005, 44, 2636–2639. [Google Scholar] [CrossRef] [PubMed]
- Byun, M.; Lee, A.; Cheon, S.; Kim, H.; Lim, H. Preliminary Feasibility Study for Hydrogen Storage Using Several Promising Liquid Organic Hydrogen Carriers: Technical, Economic, and Environmental Perspectives. Energy Convers. Manag. 2022, 268, 116001. [Google Scholar] [CrossRef]
- Wulf, C.; Reuß, M.; Grube, T.; Zapp, P.; Robinius, M.; Hake, J.F.; Stolten, D. Life Cycle Assessment of Hydrogen Transport and Distribution Options. J. Clean. Prod. 2018, 199, 431–443. [Google Scholar] [CrossRef]
- Wulf, C.; Zapp, P. Assessment of System Variations for Hydrogen Transport by Liquid Organic Hydrogen Carriers. Int. J. Hydrogen Energy 2018, 43, 11884–11895. [Google Scholar] [CrossRef]
- Niermann, M.; Drünert, S.; Kaltschmitt, M.; Bonhoff, K. Liquid Organic Hydrogen Carriers (LOHCs)-Techno-Economic Analysis of LOHCs in a Defined Process Chain. Energy Environ. Sci. 2019, 12, 290–307. [Google Scholar] [CrossRef]
- Kim, C.; Lee, Y.; Kim, K.; Lee, U. Implementation of Formic Acid as a Liquid Organic Hydrogen Carrier (LOHC): Techno-Economic Analysis and Life Cycle Assessment of Formic Acid Produced via CO2 Utilization. Catalysts 2022, 12, 1113. [Google Scholar] [CrossRef]
- Niermann, M.; Beckendorff, A.; Kaltschmitt, M.; Bonhoff, K. Liquid Organic Hydrogen Carrier (LOHC)–Assessment Based on Chemical and Economic Properties. Int. J. Hydrogen Energy 2019, 44, 6631–6654. [Google Scholar]
- Kwak, Y.; Kirk, J.; Moon, S.; Ohm, T.; Lee, Y.J.; Jang, M.; Park, L.H.; Ahn, C.-I.; Jeong, H.; Sohn, H.; et al. Hydrogen Production from Homocyclic Liquid Organic Hydrogen Carriers (LOHCs): Benchmarking Studies and Energy-Economic Analyses. Energy Convers. Manag. 2021, 239, 114124. [Google Scholar] [CrossRef]
- Van Putten, R.; Wissink, T.; Swinkels, T.; Pidko, E.A. Fuelling the Hydrogen Economy: Scale-up of an Integrated Formic Acid-to-Power System. Int. J. Hydrogen Energy 2019, 44, 28533–28541. [Google Scholar] [CrossRef]
- Akhtar, M.S.; Dickson, R.; Liu, J.J. Life Cycle Assessment of Inland Green Hydrogen Supply Chain Networks with Current Challenges and Future Prospects. ACS Sustain. Chem. Eng. 2021, 9, 17152–17163. [Google Scholar] [CrossRef]
- Crandall, B.S.; Brix, T.; Weber, R.S.; Jiao, F. Techno-Economic Assessment of Green H2Carrier Supply Chains. Energy Fuels 2022, 37, 1441–1450. [Google Scholar] [CrossRef]
- Dutta, I.; Chatterjee, S.; Cheng, H.; Parsapur, R.K.; Liu, Z.; Li, Z.; Ye, E.; Kawanami, H.; Low, J.S.C.; Lai, Z.; et al. Formic Acid to Power towards Low-Carbon Economy. Adv. Energy Mater. 2022, 12, 2103799. [Google Scholar] [CrossRef]
- Eppinger, J.; Huang, K.W. Formic Acid as a Hydrogen Energy Carrier. ACS Energy Lett. 2017, 2, 188–195. [Google Scholar] [CrossRef]
- Abohamzeh, E.; Salehi, F.; Sheikholeslami, M.; Abbassi, R.; Khan, F. Review of Hydrogen Safety during Storage, Transmission, and Applications Processes. J. Loss Prev. Process Ind. 2021, 72, 104569. [Google Scholar] [CrossRef]
- Kikukawa, S.; Mitsuhashi, H.; Miyake, A. Risk Assessment for Liquid Hydrogen Fueling Stations. Int. J. Hydrogen Energy 2009, 34, 1135–1141. [Google Scholar] [CrossRef]
- Kikukawa, S.; Yamaga, F.; Mitsuhashi, H. Risk Assessment of Hydrogen Fueling Stations for 70 MPa FCVs. Int. J. Hydrogen Energy 2008, 33, 7129–7136. [Google Scholar] [CrossRef]
- Suzuki, T.; Shiota, K.; Izato, Y.-I.; Komori, M.; Sato, K.; Takai, Y.; Ninomiya, T.; Miyake, A. Quantitative Risk Assessment Using a Japanese Hydrogen Refueling Station Model. Int. J. Hydrogen Energy 2021, 46, 8329–8343. [Google Scholar] [CrossRef]
- Hong, W.; Kitta, M.; Tsumori, N.; Himeda, Y.; Autrey, T.; Xu, Q. Immobilization of Highly Active Bimetallic PdAu Nanoparticles onto Nanocarbons for Dehydrogenation of Formic Acid. J. Mater. Chem. A Mater. 2019, 7, 18835–18839. [Google Scholar] [CrossRef]
- Yoo, B.H.; Wilailak, S.; Bae, S.H.; Gye, H.R.; Lee, C.J. Comparative Risk Assessment of Liquefied and Gaseous Hydrogen Refueling Stations. Int. J. Hydrogen Energy 2021, 46, 35511–35524. [Google Scholar] [CrossRef]
- Gye, H.R.; Seo, S.K.; Bach, Q.V.; Ha, D.; Lee, C.J. Quantitative Risk Assessment of an Urban Hydrogen Refueling Station. Int. J. Hydrogen Energy 2019, 44, 1288–1298. [Google Scholar] [CrossRef]
- Suzuki, T.; Izato, Y.-I.; Miyake, A. Identification of Accident Scenarios Caused by Internal Factors Using HAZOP to Assess an Organic Hydride Hydrogen Refueling Station Involving Methylcyclohexane. J. Loss Prev. Process Ind. 2021, 71, 104479. [Google Scholar] [CrossRef]
- Bae, S.H.; Lee, J.S.; Wilailak, S.; Lee, G.Y.; Lee, C.J. Design-Based Risk Assessment on an Ammonia-Derived Urban Hydrogen Refueling Station. Int. J. Energy Res. 2022, 46, 12660–12673. [Google Scholar] [CrossRef]
- Aspen Plus. Available online: https://www.aspentech.com/en/products/engineering/aspen-plus (accessed on 5 March 2023).
- Di Lullo, G.; Giwa, T.; Okunlola, A.; Davis, M.; Mehedi, T.; Oni, A.O.; Kumar, A. Large-Scale Long-Distance Land-Based Hydrogen Transportation Systems: A Comparative Techno-Economic and Greenhouse Gas Emission Assessment. Int. J. Hydrogen Energy 2022, 47, 35293–35319. [Google Scholar] [CrossRef]
- Zhu, X.; Shi, Y.; Li, S.; Cai, N. Elevated Temperature Pressure Swing Adsorption Process for Reactive Separation of CO/CO2 in H2-Rich Gas. Int. J. Hydrogen Energy 2018, 43, 13305–13317. [Google Scholar] [CrossRef]
- Groth, K.M.; Hecht, E.S. HyRAM: A Methodology and Toolkit for Quantitative Risk Assessment of Hydrogen Systems. Int. J. Hydrogen Energy 2017, 42, 7485–7493. [Google Scholar]
- Uijt de Haag, P.A.M.; Ale, B.J.M.; Post, J.G. T10-1—The ‘Purple Book’: Guideline for Quantitative Risk Assessment in the Netherlands. In Loss Prevention and Safety Promotion in the Process Industries; Pasman, H.J., Fredholm, O., Jacobsson, A., Eds.; Elsevier Science B.V.: Amsterdam, The Netherlands, 2001; pp. 1429–1438. ISBN 978-0-444-50699-3. [Google Scholar]
- Eisenberg, N.A.; Lynch, C.J.; Breeding, R.J. Vulnerability Model: A Simulation System for Assessing Damage Resulting from Marine Spills; Incorporated Prepared For Coast Guard; Final Report AD-A-015245; Enviro Control, Inc.: Rockville, MD, USA, 1975. [Google Scholar]
- Gexcon RISKCURVES. Available online: https://www.gexcon.com/software/riskcurves/ (accessed on 5 March 2023).
- Gexcon EFFECTS. Available online: https://www.gexcon.com/software/effects/ (accessed on 5 March 2023).
- Park, B.; Kim, Y.; Paik, S.; Kang, C. Numerical and Experimental Analysis of Jet Release and Jet Flame Length for Qualitative Risk Analysis at Hydrogen Refueling Station. Process Saf. Environ. Prot. 2021, 155, 145–154. [Google Scholar] [CrossRef]
- Bernechea, E.J.; Vílchez, J.A.; Arnaldos, J. A Model for Estimating the Impact of the Domino Effect on Accident Frequencies in Quantitative Risk Assessments of Storage Facilities. Process Saf. Environ. Prot. 2013, 91, 423–437. [Google Scholar] [CrossRef]
- Park, B.; Kim, Y.; Lee, K.; Paik, S.; Kang, C. Risk Assessment Method Combining Independent Protection Layers (Ipl) of Layer of Protection Analysis (Lopa) and Riskcurves Software: Case Study of Hydrogen Refueling Stations in Urban Areas. Energies 2021, 14, 4043. [Google Scholar] [CrossRef]









| Process Unit | Inventory | Temperature (°C) | Pressure (bar) | Scenario | Initial Frequency [20,21] |
|---|---|---|---|---|---|
| Formic acid tank | 58,760 kg | 25 | 1 | Catastrophic rupture | |
| Dehydrogenation reactor | 0.135 m3 | 60 | 1 | Catastrophic rupture | |
| WGS reactor | 0.135 m3 | 250 | 1 | Catastrophic rupture | |
| PSA unit | - | 400 | 30 | Catastrophic rupture | |
| H2 buffer tank | 36 kg | 40 | 870 | Catastrophic rupture | |
| Dispenser | - | −40 | 700 | Small leak Large leak |
| Process Unit | Inventory | Temperature | Pressure | Scenario | Initial Frequency [27] |
|---|---|---|---|---|---|
| Tube trailer | 2550 kg | 25 | 200 | Catastrophic rupture | |
| H2 buffer tank | 12 | 40 | 870 | Catastrophic rupture | |
| Dispenser | - | −40 | 700 | Small leak Large leak |
| Process Unit | Scenario | Initial Event | Chemical | Outcome | Frequency |
|---|---|---|---|---|---|
| Formic acid tank | Catastrophic rupture | Formic acid | Pool fire | ||
| Dehydrogenation reactor | Catastrophic rupture | H2 | VCE | ||
| WGS reactor | Catastrophic rupture | H2 | VCE | ||
| PSA unit | Catastrophic rupture | H2 H2 | Fireball VCE | ||
| H2 buffer tank | Catastrophic rupture | H2 H2 | Fireball VCE | ||
| Dispenser | Small leak Large leak | H2 H2 | Jet fire (small) Jet fire (large) |
| Process Unit | Scenario | Initial Event | Chemical | Outcome | Frequency |
|---|---|---|---|---|---|
| Tube trailer | Catastrophic rupture | H2 H2 | Fireball VCE | ||
| H2 buffer tank | Catastrophic rupture | H2 H2 | Fireball VCE | ||
| Dispenser | Small leak Large leak | H2 H2 | Jet fire (small) Jet fire (large) |
| Scenario | Contribution (%) | Risk Value (/y) |
|---|---|---|
| H2 buffer tank—gas fireball | 45.6 | |
| H2 buffer tank-VCE | 36.2 | |
| PSA-VCE | 17.9 | |
| Others | 0.3 |
| Scenario | Contribution (%) | Risk Value (/y) | After Mitigation (/y) |
|---|---|---|---|
| Tube trailer—gas fireball | 48.1 | ||
| Tube trailer-VCE | 38.8 | ||
| Buffer tank-VCE | 6.91 | ||
| Buffer tank—gas fireball | 6.18 | ||
| Others | 0 | 0 | 0 |
Disclaimer/Publisher’s Note: The statements, opinions and data contained in all publications are solely those of the individual author(s) and contributor(s) and not of MDPI and/or the editor(s). MDPI and/or the editor(s) disclaim responsibility for any injury to people or property resulting from any ideas, methods, instructions or products referred to in the content. |
© 2023 by the authors. Licensee MDPI, Basel, Switzerland. This article is an open access article distributed under the terms and conditions of the Creative Commons Attribution (CC BY) license (https://creativecommons.org/licenses/by/4.0/).
Share and Cite
Kim, C.; Lee, Y.; Kim, K. Comparative Risk Assessment of a Hydrogen Refueling Station Using Gaseous Hydrogen and Formic Acid as the Hydrogen Carrier. Energies 2023, 16, 2613. https://doi.org/10.3390/en16062613
Kim C, Lee Y, Kim K. Comparative Risk Assessment of a Hydrogen Refueling Station Using Gaseous Hydrogen and Formic Acid as the Hydrogen Carrier. Energies. 2023; 16(6):2613. https://doi.org/10.3390/en16062613
Chicago/Turabian StyleKim, Changsoo, Younggeun Lee, and Kyeongsu Kim. 2023. "Comparative Risk Assessment of a Hydrogen Refueling Station Using Gaseous Hydrogen and Formic Acid as the Hydrogen Carrier" Energies 16, no. 6: 2613. https://doi.org/10.3390/en16062613
APA StyleKim, C., Lee, Y., & Kim, K. (2023). Comparative Risk Assessment of a Hydrogen Refueling Station Using Gaseous Hydrogen and Formic Acid as the Hydrogen Carrier. Energies, 16(6), 2613. https://doi.org/10.3390/en16062613

