Numerical Feasibility Study of Self-Regulating Radiant Ceiling in Combination with Diffuse Ceiling Ventilation
Abstract
:1. Introduction
1.1. Motivation
1.2. Literature Review
- Analyse the combination of HVACeiling, concrete slab and two-pipe layout parametrically in individual office spaces using a small temperature offset of 2–6 °C;
- Synthesize the parametric analysis into a design guide that illustrates the feasible parameter combinations in terms of thermal comfort and daylight criteria;
- Assess the applicability of the combined solution in a generic office building with regard to thermal comfort, energy use, and day/night peak power and compare it to other solutions.
1.3. Novelty
1.4. Organization of Paper
2. Numerical Method
2.1. Simulation Model
2.2. Comfort Systems and Internal Gains
2.2.1. Ventilation
2.2.2. Leakage
2.2.3. Radiant Heating and Cooling Ceiling Model
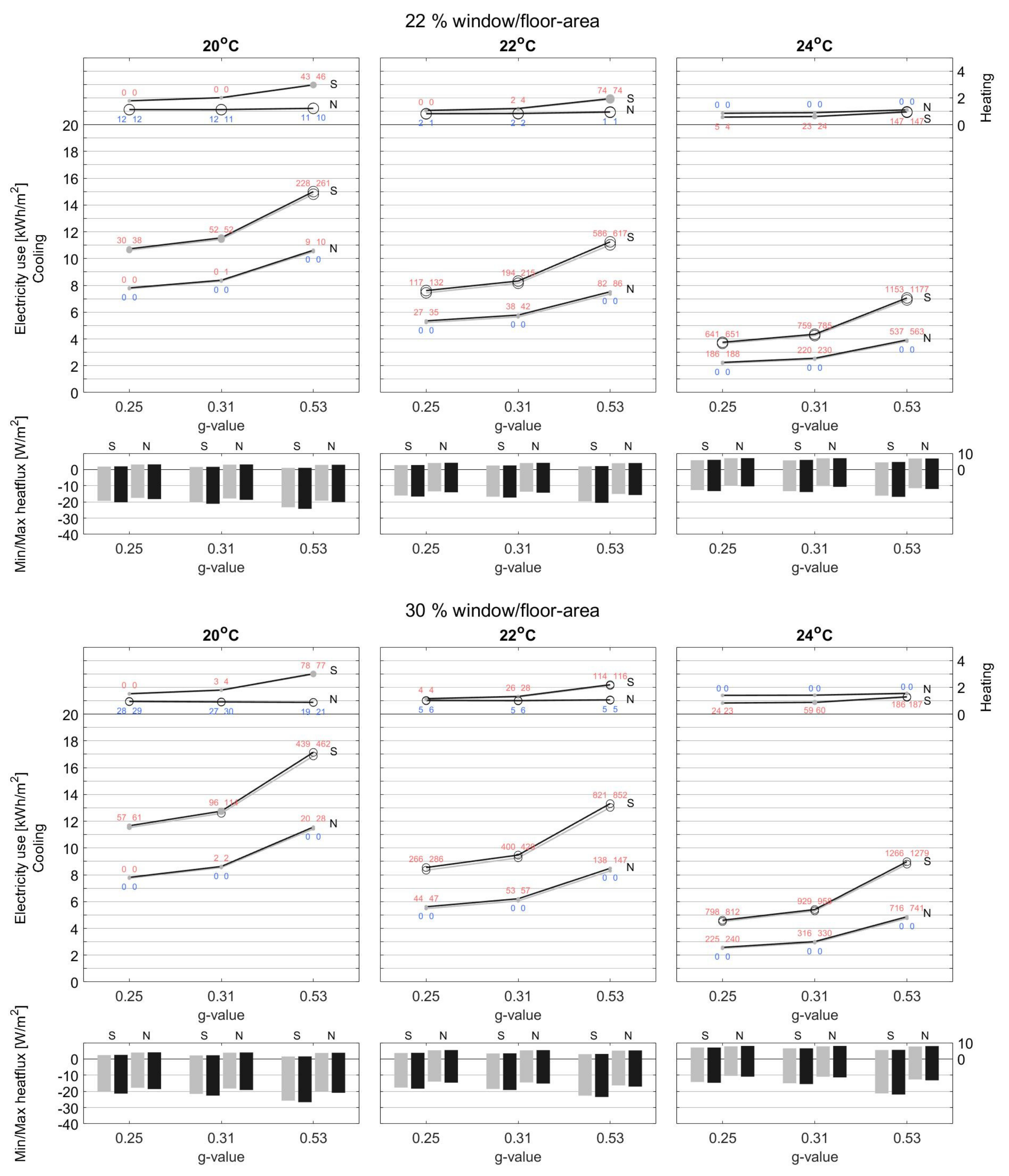
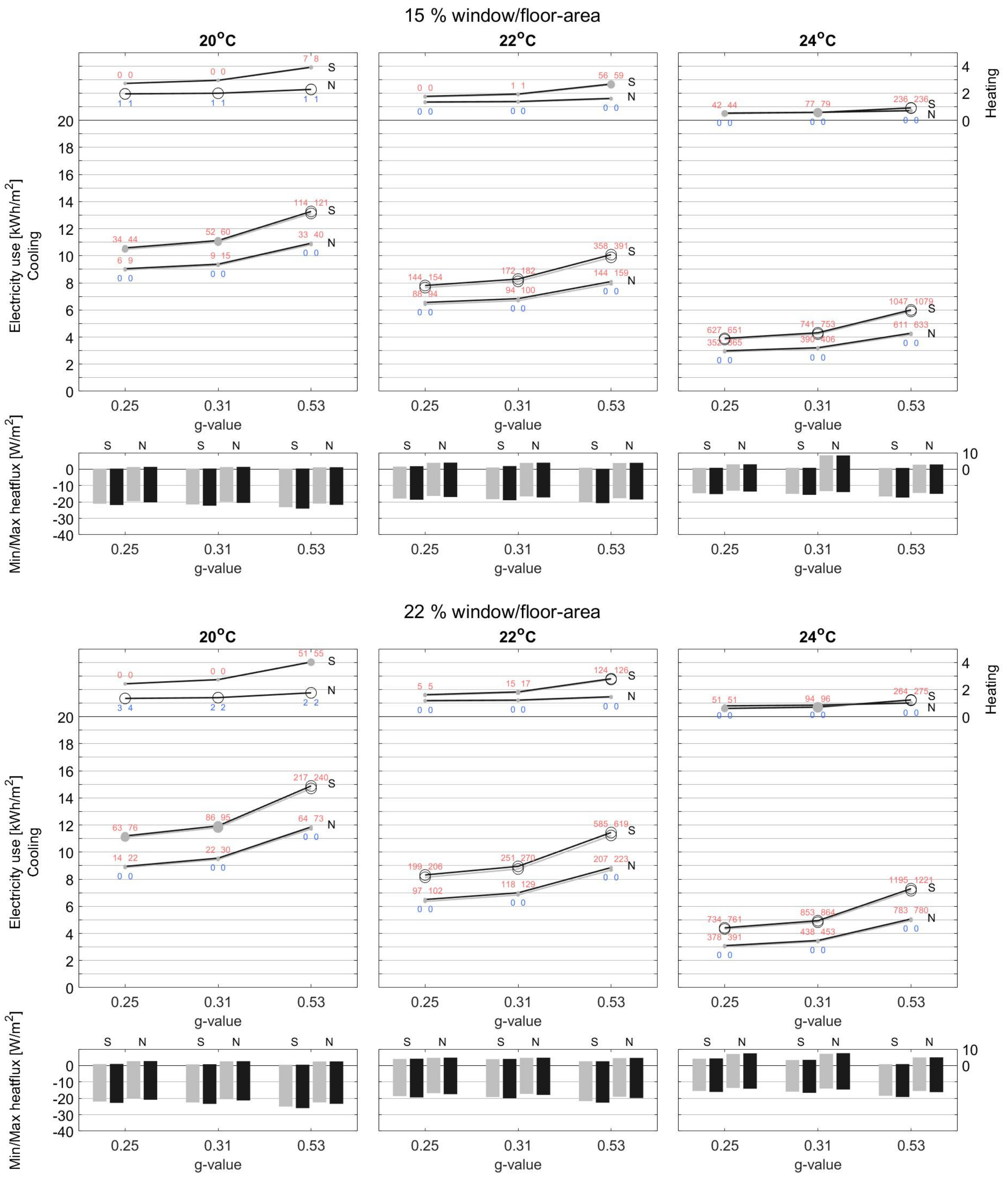
2.3. Feasibility Study
2.4. Generic Office Building
- Climate: Copenhagen–Paris–Munich;
- Window to floor area: 15%–22%–30%;
- g-value of glazing: 0.25–0.31–0.53;
- Water supply temperature: 20 °C–22 °C (summer)–24 °C (winter);
- Water flow to each room: 0.038 kg/s–0.060 kg/s.
- HVACeiling: Two-pipe layout, radiant ceiling with diffuse ventilation through the plenum;
- Radiant ceiling + CAV: same as above, but the ventilation is supplied directly to the occupied room; for direct assessment of the impact from diffuse ventilation;
- Fancoil + Convector: Cooling pipes to the fan coil unit and heating pipes to convectors; ventilation by CAV mixing;
- VAV + Convector: VAV controlled mixing ventilation for cooling and heating pipes to convectors for heating.
3. Results
3.1. Daylight
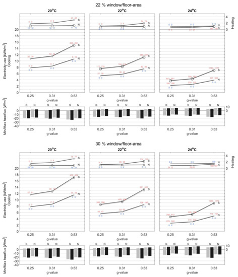
3.2. Feasibility Guide
3.3. Generic Office Building
3.3.1. Yearly Summary
3.3.2. Weekly Time-Series
4. Discussion
5. Conclusions
- From the parametric analysis it was possible to find multiple feasible building and system parameter combinations where the HVACeiling in a European climatic context would provide acceptable thermal comfort;
- Thermal comfort was achieved even with almost no active control systems exploiting the self-regulating effect with fixed mass flow and fixed supply temperature;
- During a warm week, the HVACeiling peak power was 64–69% lower than all-air solutions. During a cold week, peak power was ±10%. Yearly energy savings were 20–30% on primary energy;
- The HVACeiling benefitted more from activation of the thermal capacity in the concrete slab than did the radiant solution with ordinary mixing ventilation supply, in effect reducing the peak operative temperature by 1 °C;
- The HVACeiling with a two-pipe layout was able to sustain thermal comfort in a Danish climate in all workspaces in a generic office building with 22 °C water supply in summer and 24 °C in winter;
- The central water supply temperature should be adjusted up to 26 °C during the coldest week.
Author Contributions
Funding
Institutional Review Board Statement
Informed Consent Statement
Data Availability Statement
Conflicts of Interest
Appendix A












References
- Clean Energy for All Europeans Package|Energy. Available online: https://ec.europa.eu/energy/topics/energy-strategy/clean-energy-all-europeans_en (accessed on 13 October 2021).
- Hepbasli, A. Low exergy (LowEx) heating and cooling systems for sustainable buildings and societies. Renew. Sustain. Energy Rev. 2012, 16, 73–104. [Google Scholar] [CrossRef]
- Nearly Zero-Energy Buildings-European Commission. Available online: https://ec.europa.eu/energy/en/topics/energy-efficiency/buildings/nearly-zero-energy-buildings (accessed on 3 July 2018).
- Wargocki, P.; Wyon, D.P. Ten questions concerning thermal and indoor air quality effects on the performance of office work and schoolwork. Build. Environ. 2017, 112, 359–366. [Google Scholar] [CrossRef] [Green Version]
- Allen, J.G.; Macnaughton, P.; Satish, U.; Santanam, S.; Vallarino, J.; Spengler, J.D. Associations of Cognitive Function Scores with Carbon Dioxide, Ventilation, and Volatile Organic Compound Exposures in Office Workers: A Controlled Exposure Study of Green and Conventional Office Environments. Environ. Health Perspect. 2016, 124, 805–812. [Google Scholar] [CrossRef] [PubMed] [Green Version]
- Meierhans, R.A. Slab cooling and earth coupling. ASHRAE Trans. 1993, 99, 511–518. [Google Scholar]
- Karlsson, H. Self-Regulating Floor Heating Systems in Low Energy Buildings. In Proceedings of the 8th Symposium on Building Physics in the Nordic Countries, Copenhagen, Denmark, 16–18 June 2008; pp. 519–526. [Google Scholar]
- Karlsson, H. Thermal Modelling of Water-Based Floor Heating Systems. Ph.D. Thesis, Chalmers University of Technology, Gothenburg, Sweden, 2010. Available online: http://citeseerx.ist.psu.edu/viewdoc/download?doi=10.1.1.459.4627&rep=rep1&type=pdf (accessed on 15 December 2021).
- Krusaa, M.R.; Hviid, C.A.; Kolarik, J. Numerical analysis of the potential of using light radiant ceilings in combination with diffuse ventilation to achieve thermal comfort in NZEB buildings. In Proceedings of the 38th AIVC Conference, Nottingham, UK, 13–14 September 2017. [Google Scholar]
- Krusaa, M.R.; Hviid, C.A. Combining suspended radiant ceiling with diffuse ventilation–Numerical performance analysis of low-energy office space in a temperate climate. J. Build. Eng. 2021, 38, 102161. [Google Scholar] [CrossRef]
- Krusaa, M.R.; Hviid, C.A. Reduced-scale experiments of heat transfer from integrated radiant ceiling panel and diffuse ceiling ventilation. Appl. Therm. Eng. 2021, 197, 117348. [Google Scholar] [CrossRef]
- Hviid, C.A.; Svendsen, S. Experimental study of perforated suspended ceilings as diffuse ventilation air inlets. Energy Build. 2013, 56, 160–168. [Google Scholar] [CrossRef]
- Yang, H. Experimental and Numerical Analysis of Diffuse Ceiling Ventilation. Master’s Thesis, Technical University of Denmark, Kgs. Lyngby, Denmark, 2011. [Google Scholar]
- Lestinen, S.; Kilpeläinen, S.; Kosonen, R.; Jokisalo, J.; Koskela, H.; Melikov, A. Flow characteristics in occupied zone—An experimental study with symmetrically located thermal plumes and low-momentum diffuse ceiling air distribution. Build. Environ. 2018, 128, 77–88. [Google Scholar] [CrossRef]
- Lestinen, S.; Kilpeläinen, S.; Kosonen, R.; Jokisalo, J.; Koskela, H. Experimental study on airflow characteristics with asymmetrical heat load distribution and low-momentum diffuse ceiling ventilation. Build. Environ. 2018, 134, 168–180. [Google Scholar] [CrossRef] [Green Version]
- Rhee, K.-N.; Kim, K.W. A 50 year review of basic and applied research in radiant heating and cooling systems for the built environment. Build. Environ. 2015, 91, 166–190. [Google Scholar] [CrossRef]
- Olesen, B.W. Using building mass to heat and cool. ASHRAE J. 2012, 54, 44–52. [Google Scholar]
- Weng, W.B.; Yu, J.; Zhang, T.K. Characteristic Analysis of Ceiling Radiant Heating of Capillary Tube. Adv. Mater. Res. 2011, 383–390, 6042–6047. [Google Scholar] [CrossRef]
- Zhang, C.; Heiselberg, P.K.; Pomianowski, M.; Yu, T.; Jensen, R.L. Experimental study of diffuse ceiling ventilation coupled with a thermally activated building construction in an office room. Energy Build. 2015, 105, 60–70. [Google Scholar] [CrossRef]
- Zhang, C.; Heiselberg, P.K.; Chen, Q.; Pomianowski, M.Z. Numerical analysis of diffuse ceiling ventilation and its integration with a radiant ceiling system. Build. Simul. 2016, 10, 203–218. [Google Scholar] [CrossRef] [Green Version]
- Babiak, J.; Olesen, B.W.; Petras, D. Low Temperature Heating and High Temperature Cooling: REHVA Guidebook No. 7; REHVA: Brussels, Belgium, 2013. [Google Scholar]
- Kazanci, O.B.; Olesen, B.W. IEA EBC Annex 59-Possibilities, Limitations and Capacities of Indoor Terminal Units. Energy Procedia 2015, 78, 2427–2432. [Google Scholar] [CrossRef] [Green Version]
- Liu, X.; Zhang, T.; Tang, H.; Jiang, Y. IEA EBC Annex 59: High temperature cooling and low temperature heating in buildings. Energy Build. 2017, 145, 267–275. [Google Scholar] [CrossRef]
- Koschenz, M.; Lehmann, B. Thermoaktive Bauteilsysteme Tabs. Eidgenössische Materialprüfungs- und Forschungsanst, Zentrum für Energie und Nachhaltigkeit, Schweitz, Department für Umwelt. 2000. [Google Scholar]
- Olesen, B.W.; Liedelt, D.F. Cooling and Heating of Buildings by Activating Their Thermal Mass with Embedded Hydronic Pipe Systems. In Proceedings of the ASHRAE-CIBSE, Dublin, Ireland, 3–4 April 2001. [Google Scholar]
- Yu, T.; Heiselberg, P.; Lei, B.; Pomianowski, M.; Zhang, C. A novel system solution for cooling and ventilation in office buildings: A review of applied technologies and a case study. Energy Build. 2015, 90, 142–155. [Google Scholar] [CrossRef]
- Yu, T.; Heiselberg, P.; Lei, B.; Pomianowski, M.; Zhang, C.; Jensen, R. Experimental investigation of cooling performance of a novel HVAC system combining natural ventilation with diffuse ceiling inlet and TABS. Energy Build. 2015, 105, 165–177. [Google Scholar] [CrossRef]
- Zhang, C.; Yu, T.; Heiselberg, P.K.; Pomianowski, M.Z. Experimental Study of an Integrated System with Diffuse Ceiling Ventilation and Thermally Activated Building Constructions, DCE Tech. Rep. No. 182., Department of Civil Engineering, Aalborg University 2014. Available online: https://vbn.aau.dk/ws/portalfiles/portal/207597383/Experimental_Study_of_an_Integrated_System_with_Diffuse_Ceiling_Ventilation_and_Thermally_Activated_Building_Constructions.pdf (accessed on 15 December 2021).
- Langner, N.; Bewersdorff, D. Thermal and acoustical simulation of open space working areas in commercial buildings equipped with thermally activated building systems. In Proceedings of the BS2015: 14th Conference of International Building Performance Simulation Association, Hyderabad, India, 7–9 December 2015; pp. 736–742. [Google Scholar]
- Maccarini, A.; Wetter, M.; Afshari, A.; Hultmark, G.; Bergsøe, N.C.; Vorre, A. Energy saving potential of a two-pipe system for simultaneous heating and cooling of office buildings. Energy Build. 2017, 134, 234–247. [Google Scholar] [CrossRef] [Green Version]
- Maccarini, A.; Hultmark, G.; Bergsøe, N.C.; Rupnik, K.; Afshari, A. Field study of a self-regulating active beam system for simultaneous heating and cooling of office buildings. Energy Build. 2020, 224, 110223. [Google Scholar] [CrossRef]
- Kristensen, M.H.; Jensen, J.S.; Heiselberg, P.K. Field study evaluation of diffuse ceiling ventilation in classroom during real operating conditions. Energy Build. 2017, 138, 26–34. [Google Scholar] [CrossRef]
- Zhang, C.; Kristensen, M.; Jensen, J.S.; Heiselberg, P.K.; Jensen, R.L.; Pomianowski, M. Parametrical analysis on the diffuse ceiling ventilation by experimental and numerical studies. Energy Build. 2016, 111, 87–97. [Google Scholar] [CrossRef]
- Filipsson, P.; Trüschel, A.; Gräslund, J.; Dalenbäck, J.-O. Performance evaluation of a direct ground-coupled self-regulating active chilled beam system. Energy Build. 2019, 209, 109691. [Google Scholar] [CrossRef]
- Kretz, M. Huset Med Självreglerande Klimatsystem, Energi & Miljö. 2016. Available online: http://www.energi-miljo.se/sites/default/files/energimilj_0010_low_sid_16-20.pdf (accessed on 2 June 2017).
- Maccarini, A.; Afshari, A.; Bergsøe, N.C.; Hultmark, G.; Jacobsson, M.; Vorre, A. Innovative two-pipe active chilled beam system for simultaneous heating and cooling of office buildings. In Proceedings of the 13th International Conference on Indoor Air Quality and Climate, Indoor Air 2014, Hong Kong, China, 8–12 July 2014. [Google Scholar]
- Afshari, A.; Norouzi, R.G.; Hultmark, G.; Niels, C. Two-Pipe Chilled Beam System for Both Cooling and Heating of Office Buildings. In Proceedings of the CLIMA 2013: 11th REHVA World Congress & 8th International Conference on IAQVEC, Prague, Czech Republic, 16–19 June 2013. [Google Scholar]
- EQUA. IDA Indoor Climate and Energy; EQUA Simulation AB: Zug, Switzerland, 2017; Available online: http://www.equa.se/en (accessed on 20 June 2017).
- EN 16798-1; Energy performance of buildings–Ventilation for buildings–Part 1: Indoor environmental input parameters for design and assessment of energy performance of buildings addressing indoor air quality, thermal environment, lighting and acoustics–Module M1. Slovenski Standard: Ljubljana, Slovenia, 2019.
- DS 474; Norm for specifikation af termisk indeklima. Dansk Standard: Copenhagen, Denmark, 1993.
- Vorre, M.H.; Wagner, M.H.; Maagaard, S.E.; Noyé, P.; Lyng, N.L.; Motensen, L. Branchevejledning for Indeklimaberegninger; Aalborg University: Aalborg, Denmark, 2017. [Google Scholar]
- ISO 17772-2; Energy Performance of Buildings—Overall Energy Performance Assessment Procedures—Part 2: Guideline for Using Indoor Environmental Input Parameters for the Design and Assessment of Energy Performance of Buildings. ISO: Geneva, Switzerland, 2018. Available online: https://cdn.standards.iteh.ai/samples/68228/0d787d2690d643b392e01dddf73d4696/ISO-TR-17772-2-2018.pdf (accessed on 15 December 2021).
- Edwards, R. Handbook of Domestic Ventilation; CRC Press: Boca Raton, FL, USA, 2005. [Google Scholar]
- EQUA, User Manual IDA Indoor Climate and Energy. 2013. Available online: http://www.equaonline.com/iceuser/pdf/ice45eng.pdf (accessed on 15 December 2021).
- Krusaa, M.R.; Hviid, C.A.; Magnes, J.; Kolarik, J. Radiant ceilings combined with diffuse ventilation—A numerical parametric study of cooling performance. CLIMA J. 2019, 15–23. Available online: https://www.rehva.eu/rehva-journal/chapter/default-cb84adc317-1 (accessed on 30 November 2020).
- Magnes, J. Product Development and Simulations of Hydronic Radiant Ceiling with Diffuse Ventilation. Master’s Thesis, Technical University of Denmark (DTU), Kgs. Lyngby, Denmark, 2019. [Google Scholar]
- Wang, P.G.; Scharling, M.; Nielsen, K.P.; Witchen, K.B.; Kern-Hansen, C. 2001–2010 Danish Design Reference Year; Danish Meteorological Institute: Copenhagen, Denmark, 2013. [Google Scholar]
- ASHRAE IWEC 2, EQUA Climate Data Download Center. 2001. Available online: http://www.equaonline.com/ice4user/indexIWEC2.html (accessed on 1 March 2019).
- DS/EN 17037; Daylight in Buildings. Dansk Standard: Charlottenlund, Denmark, 2018; pp. 1–57. Available online: https://velcdn.azureedge.net/~/media/marketing/ee/professional/28mai2019%20seminar/veluxen17037tallinn28052019.pdf (accessed on 15 December 2021).
















| Construction | Material | Parameters | |
|---|---|---|---|
| Suspended ceiling | 19 mm | Gypsum 19 mm | ρ = 970 kg/m3 |
| cp = 1090 J/kgK | |||
| Floor separation | 224 mm | Floor coating 4 mm | |
| Screed 20 mm | ρ = 500 kg/m3 | ||
| cp = 1050 J/kgK | |||
| Hollow-core slab 200 mm | ρ = 1800 kg/m3 | ||
| cp = 880 J/kgK | |||
| Internal wall | 100 mm | Gypsum 26 mm | ρ = 970 kg/m3 |
| cp = 1090 J/kgK | |||
| Insulation 48 mm | ρ = 20 kg/m3 | ||
| cp = 750 J/kgK | |||
| Gypsum 26 mm | ρ = 970 kg/m3 | ||
| cp = 1090 J/kgK | |||
| External wall | 486 mm | Gypsum 26 mm | ρ = 970 kg/m3 |
| cp = 1090 J/kgK | |||
| Insulation (10% wood) 400 mm | ρ = 20 kg/m3 | ||
| cp = 750 J/kgK | |||
| Gypsum 10 mm | ρ = 970 kg/m3 | ||
| cp = 1090 J/kgK | |||
| Air gap 30 mm | |||
| Tombak 20 mm | ρ = 8940 kg/m3 | ||
| cp = 395 J/kgK | |||
| W/m2K | CFD Study [10] | Rehva [21] | |||
|---|---|---|---|---|---|
| Sum | Win | Sum | Win | ||
| Plenum | Slab | 3.6 | 1.9 | - | - |
| Ceiling | 2.4 | 4.2 | - | - | |
| Room | Ceiling | - | - | 6.0 | 1.0 |
| Slab | - | - | 0.9 | 0.9 | |
| Parameter | Values | |||
|---|---|---|---|---|
| Climate | Copenhagen | Paris | Munich | |
| Internal gains | Meeting room | Office space | ||
| Orientation | North | South | ||
| Season | Heating | Cooling | ||
| Window to floor area | 15% | 22% | 30% | |
| Water supply temperature | 20 °C | 22 °C | 24 °C | |
| Water flow | 0.038 kg/s | 0.060 kg/s | ||
| g-value of glazings | 0.25 | 0.31 | 0.53 | |
| Warm Week | Cold Week | |||
|---|---|---|---|---|
| Absorbed | Emitted | Absorbed | Emitted | |
| HVACeiling | 112 | 96 | 76 | 75 |
| Radiant ceiling + CAV | 79 | 64 | 43 | 44 |
| Fan coil + convector | 48 | 31 | 51 | 51 |
| VAV + convector | 46 | 31 | 48 | 47 |
Publisher’s Note: MDPI stays neutral with regard to jurisdictional claims in published maps and institutional affiliations. |
© 2022 by the authors. Licensee MDPI, Basel, Switzerland. This article is an open access article distributed under the terms and conditions of the Creative Commons Attribution (CC BY) license (https://creativecommons.org/licenses/by/4.0/).
Share and Cite
Krusaa, M.R.; Hviid, C.A. Numerical Feasibility Study of Self-Regulating Radiant Ceiling in Combination with Diffuse Ceiling Ventilation. Energies 2022, 15, 1319. https://doi.org/10.3390/en15041319
Krusaa MR, Hviid CA. Numerical Feasibility Study of Self-Regulating Radiant Ceiling in Combination with Diffuse Ceiling Ventilation. Energies. 2022; 15(4):1319. https://doi.org/10.3390/en15041319
Chicago/Turabian StyleKrusaa, Marie Rugholm, and Christian Anker Hviid. 2022. "Numerical Feasibility Study of Self-Regulating Radiant Ceiling in Combination with Diffuse Ceiling Ventilation" Energies 15, no. 4: 1319. https://doi.org/10.3390/en15041319
APA StyleKrusaa, M. R., & Hviid, C. A. (2022). Numerical Feasibility Study of Self-Regulating Radiant Ceiling in Combination with Diffuse Ceiling Ventilation. Energies, 15(4), 1319. https://doi.org/10.3390/en15041319

