Model Investigations on Electric Discharges over Balloon-Borne Stratospheric VLF Antennas
Abstract
:1. Introduction
1.1. Airborne Antennas and Their Electrical Properties
1.2. Aerostats and Talc Powder Use
1.3. Airborne Antennas Versus Lightning Strikes
2. Balloon Investigation—Latex and Talc
2.1. The Properties of Latex and Talc
2.2. Experimental Setup
2.3. Experiment Results
2.4. Talc in Particle Discharging Mechanism
3. Balloon and Antenna Model Discharges
3.1. Discharges over A Flexible Model
- •
- axial position: upper air gap—45 mm, and lower air gap—130 mm or 48 mm (see Figure 9);
- •
- lateral position (upper sphere moved to the left and levelled with the balloon; lower sphere moved to the right, below the antenna’s lower end): upper air gap—90 mm and lower air gap—150 mm.
3.2. Discharges over A Stiff Model
4. Discussion
5. Conclusions
Author Contributions
Funding
Institutional Review Board Statement
Informed Consent Statement
Data Availability Statement
Acknowledgments
Conflicts of Interest
References
- Burrows, M.L. ELF Communications Antennas; Peter Peregrinus Ltd.: Herts, UK, 1978. [Google Scholar]
- Durrant, R.F. Radio experiences in the R-34. Radio Amateur News, December 1919; p. 295. [Google Scholar]
- Miś, T. The concept of an airborne VLF transmitter with vertical electric dipole antenna. In Proceedings of the 2018 IEEE International Symposium on Antennas and Propagation & USNC/URSI National Radio Science Meeting, Boston, MA, USA, 8–13 July 2018. [Google Scholar] [CrossRef]
- Miś, T.A.; Modelski, J. Stratospheric VLF Vertical Electric Mono- And Dipole Antenna Tests in 2014–2015. In Proceedings of the 2018 Baltic URSI Symposium (URSI), Poznań, Poland, 14–17 May 2018; pp. 566–570. [Google Scholar]
- Miś, T.A. Experiment-based risk evaluation for a stratospheric VLF antenna system. In Proceedings of the IEEE International Symposium on Antennas and Propagation & USNC-URSI Radio Science Meeting, Denver, CO, USA, 10–15 July 2022. [Google Scholar]
- Miś, T.A. Flashover Analysis of Near-Space Antenna Mounting Insulators. In Proceedings of the 13th European Conference on Antennas and Propagation (EuCAP), Kraków, Poland, 31 March–4 April 2019. [Google Scholar]
- Miś, T.A.; Modelski, J. In-Flight Electromagnetic Compatibility of Airborne Vertical VLF Antennas. Sensors 2022, 22, 5302. [Google Scholar] [CrossRef] [PubMed]
- Miś, T.A. Investigation on the mature storm cloud’s electric field using long airborne antennas. In Proceedings of the National Conference of Radiocommunication, Radio Broadcasting and Television KKRRiT & National Symposium of Telecommunication and Teleinformatics KSTiT, Warsaw, Poland, 7–9 September 2022. [Google Scholar]
- Robledo-Martinez, A.; Garcia-Villareal, A.; Palacios, G.; Vera, A.; Sobral, H. Characteristics of the discharge of a charged dielectric in low-pressure air. J. Electrost. 2015, 76, 152–158. [Google Scholar] [CrossRef]
- Burdukova, E.; Laskowski, J.S.; Bradshaw, D.J. Surface properties of talc and their effect on the behaviour of talc suspensions. In Proceedings of the 23rd International Mineral Processing Congress IMPC, Istanbul, Turkey, 3–8 September 2006. [Google Scholar]
- Parker, K.R. (Ed.) Applied Electrostatic Precipitation; Blackie Academic & Professional: London, UK, 1997. [Google Scholar]
- Hall, W.C. Electrostatic dischargers for aircraft. J. Appl. Phys. 1947, 18, 759–765. [Google Scholar] [CrossRef]
- Sugimoto, T.; Kikuchi, H.; Higashiyama, Y. Positive discharge from a grounded electrode toward negatively charged particles cloud. J. Electrost. 2005, 63, 609–614. [Google Scholar] [CrossRef]
- Jaworek, A. Measurement Methods of the Electrostatics; Institute of Fluid-Flow Machinery, Polish Academy of Sciences: Gdańsk, Poland, 1985. [Google Scholar]
- Kopcewicz, T. The Atmosphere of the Earth; PZWS: Warsaw, Poland, 1948. [Google Scholar]
- Kowalska, B.; Łabudzki, S. Electrical discharges on the airplane. LOT Flight Pers. Bull. 1981, 2, 13–25. [Google Scholar]
- Sweers, G.; Birch, B.; Gokcen, J. Lightning strikes: Protection, inspection and repair. Aero Q. 2012, QTR_04, 19–28. [Google Scholar]
- Larsson, A.; Lalande, P.; Bondiou-Clergerie, A.; Delannoy, A. The lightning swept stroke along an aircraft in flight. Part I: Thermodynamic and electric properties of lightning arc channels. J. Phys. D Appl. Phys. 2000, 33, 1866–1875. [Google Scholar] [CrossRef]
- Pavan, C.; Fontanes, P.; Urbani, M.; Nguyen, M.C.; Martinez-Sanchez, M.; Peraire, J.; Montanya, J.; Guerra-Garcia, C. Aircraft charging and its influence on triggered lightning. J. Geophys. Res. Atmos. 2019, 125, e2019JD031245. [Google Scholar] [CrossRef]
- Qie, X.; Pu, Y.; Jiang, R.; Sun, Z.; Liu, M.; Zhang, H.; Li, X.; Lu, G.; Tian, Y. Bidirectional leader development in a pre-existing channel as observed in rocket-triggered lightning flashes. J. Geophys. Res. Atmos. 2016, 122, 586–599. [Google Scholar] [CrossRef]
- MINDAT: Talc. Available online: https://www.mindat.org/min-3875.html (accessed on 1 February 2022).
- Ribeyre, Q.; Bocquet, S.; Francqui, F.; Lumay, G. Measuring the influence of talc on the properties of lactose powders. Granutools 2018, 2018, 74–77. [Google Scholar]
- Yan, J.; Xu, L.; Tie, W.; Jiang, D.; Yan, B. Experimental investigation on radiation characteristics of RF electromagnetic pulse from atmospheric spark discharge plasma. Phys. Plasmas 2019, 26, 043301. [Google Scholar] [CrossRef]
- Imianitov, I.M.; Chubarina, E.V.; Shwarts, J.M. The Electricity of Clouds; National Scientific Publisher: Warsaw, Poland, 1974. [Google Scholar]
- Longcope, D. Capacitance of a Sphere near a Ground Plane–Images Charges to Infinity. Available online: http://solar.physics.montana.edu/dana/ph519/sph_cap.pdf (accessed on 4 July 2022).
- Frank-Kamieniecki, D.A. Lectures on Plasma Physics; PWN: Warsaw, Poland, 1968. [Google Scholar]
- Leyko, J. General Mechanics. Volume 2. Dynamics; PWN: Warsaw, Poland, 2002. [Google Scholar]
- Firkowicz, S. Statistical Examination of Products; WN-T: Warsaw, Poland, 1970. [Google Scholar]
- Gładysz, H.; Peciakowski, E. Reliability of Electronic Components; WKiŁ: Warsaw, Poland, 1984. [Google Scholar]
- Florkowski, M. Partial Discharges in High-Voltage Insulating Systems. Mechanisms, Processing and Analytics; AGH University of Science and Technology Press: Kraków, Poland, 2020. [Google Scholar]
- Durand, E. Electrostatics. Vol. I. The Distributions; Masson & Cie: Paris, France, 1964. [Google Scholar]
- Šimorda, J.; Staroba, J. Static Electricity in the Industry; WN-T: Warsaw, Poland, 1970. [Google Scholar]


















| Differences in Charge (nC) for Polarization + | Differences in Charge (nC) for Polarization − | ||
|---|---|---|---|
| ‘latex’–‘latex+talc’ | −68.89 | ‘latex’–‘latex + talc’ | 394.07 |
| ‘latex’–‘talc’ | −19.29 | ‘latex’–‘talc’ | −42.44 |
| ΔC between the cases | 49.60 | ΔC between the cases | 436.51 |
| Particle Type | q (fC) | Source | Remarks |
|---|---|---|---|
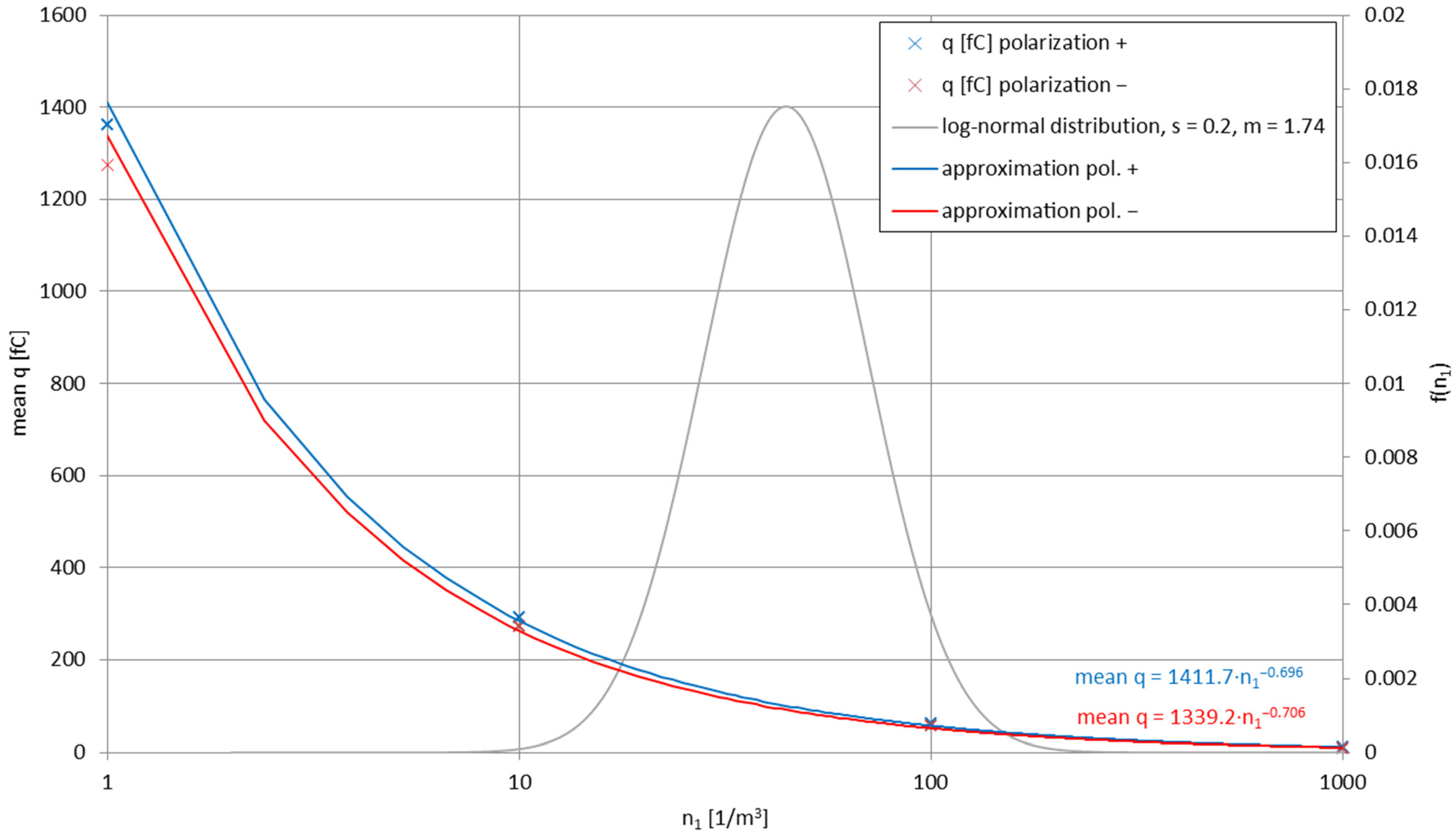
| talc, polarization +, mean | 100.655 | Figure 7 | log-normal distribution |
| talc, polarization −, mean | 91.924 | Figure 7 | log-normal distribution |
| precipitation, charge + and − | 1 | [24] | rain inside the cloud |
| precipitation, charge + and − | 3 to 30 | [24] | storm inside the cloud |
| tearing apart a freezing droplet | 0.2 to 2.7 | [24] | experimental (lab) |
Publisher’s Note: MDPI stays neutral with regard to jurisdictional claims in published maps and institutional affiliations. |
© 2022 by the authors. Licensee MDPI, Basel, Switzerland. This article is an open access article distributed under the terms and conditions of the Creative Commons Attribution (CC BY) license (https://creativecommons.org/licenses/by/4.0/).
Share and Cite
Miś, T.A.; Modelski, J.; Ciuba, M. Model Investigations on Electric Discharges over Balloon-Borne Stratospheric VLF Antennas. Energies 2022, 15, 6805. https://doi.org/10.3390/en15186805
Miś TA, Modelski J, Ciuba M. Model Investigations on Electric Discharges over Balloon-Borne Stratospheric VLF Antennas. Energies. 2022; 15(18):6805. https://doi.org/10.3390/en15186805
Chicago/Turabian StyleMiś, Tomasz Aleksander, Józef Modelski, and Maciej Ciuba. 2022. "Model Investigations on Electric Discharges over Balloon-Borne Stratospheric VLF Antennas" Energies 15, no. 18: 6805. https://doi.org/10.3390/en15186805
APA StyleMiś, T. A., Modelski, J., & Ciuba, M. (2022). Model Investigations on Electric Discharges over Balloon-Borne Stratospheric VLF Antennas. Energies, 15(18), 6805. https://doi.org/10.3390/en15186805

