Abstract
A huge concern regarding global warming, as well as the depletion of natural fuel resources, has led to a wide search for alternative energy sources. Due to their high reliability and long operation time, thermoelectric generators are of significant interest for waste heat recovery and power generation. The main disadvantage of TEGs is the low efficiency of thermoelectric commercial modules. In this work, a unique design for a multilayer TE unicouple is suggested for an operating temperature range of 50–600 °C. Two types of thermoelectric materials were selected: «low temperature» n-and p-type TE materials (for the operating temperature range of 50–300 °C) based on Bi2Te3 compounds and «middle temperature» (for the operating temperature range of 300–600 °C) n- and p-type TE materials based on the PbTe compound. The hot extrusion technology was applied to fabricate n- and p-type low-temperature TE materials. A unique design of multilayer TEG was experienced to achieve an efficiency of up to 15%. This allows for the possibility of extracting this amount of electrical power from the heat generated for domestic and water heating.
1. Introduction
One of the main challenges at present is to increase the fraction of available energy from the energy consumed by humanity worldwide. Gas boilers are widely utilized in cold countries to heat apartments and water [1]. Thermoelectric generators (TEGs) may be used to convert a fraction of the heat into electricity, without a significant effect on the heating power [2,3,4,5,6,7,8].
A thermoelectric effect is a physical phenomenon consisting of the direct conversion of heat into electrical energy (Seebeck effect). The low efficiency of thermoelectric devices has limited their applications to certain areas, such as power generation and renewable energy. However, the main advantage of the thermoelectric energy converters is their operating time of up to 20 years operating time up to 20 years. Therefore, for specific applications such as space probes, where efficiency is not as important as availability, reliability, and predictability, thermoelectricity has noteworthy potential [9,10]. The challenge is making thermoelectricity a future leader in waste heat recovery. Thermoelectricity applications can be grouped into two main domains. The first group deals with the use of heat emitted from a radioisotope to supply electricity to various devices. In this group, space exploration was the only application for which thermoelectricity was successful. In the second group, a natural heat source could prove useful in the production of electricity. In this group, gas thermoelectric generators (TEGs) are widely used for the cathodic defense of gas tube lines (north areas of Russia, Canada, USA) and play the role of autonomic energy stations [9]. The development of TEGs, including their novel materials (skutterudites) and different applications, are presented in Refs. [10,11,12,13].
The efficiency of a TEG is the product of two terms: Carnot efficacy and a thermo electric efficiency depending on an average dimensionless thermoelectric figure of merit ZTav, which is defined as:
Here, Th, Tc are the hot-side and cold-side temperatures:
where S is the Seebeck coefficient, σ and κ are the electrical and the thermal conductivities, and T is the absolute temperature.
Since the first suggestion by A.F. Ioffe, the best-known TE materials are semi-conductors [5]. With an electron (hole) concentration n(p)~1 × 1019 cm−3, heat transport is mainly determined by phonons kL. In this carrier concentration, the Fermi level EF is close to the bottom of the conduction band EC for the n-type semiconductor or the top of the valence band EV for the p-type semiconductor. In this case, Z practically depends on three parameters [14]:
where —is effective mass for electrons at n-type of semiconductor and for holes at p-type, μ—their mobility, and kL is the phonon thermal conductivity.
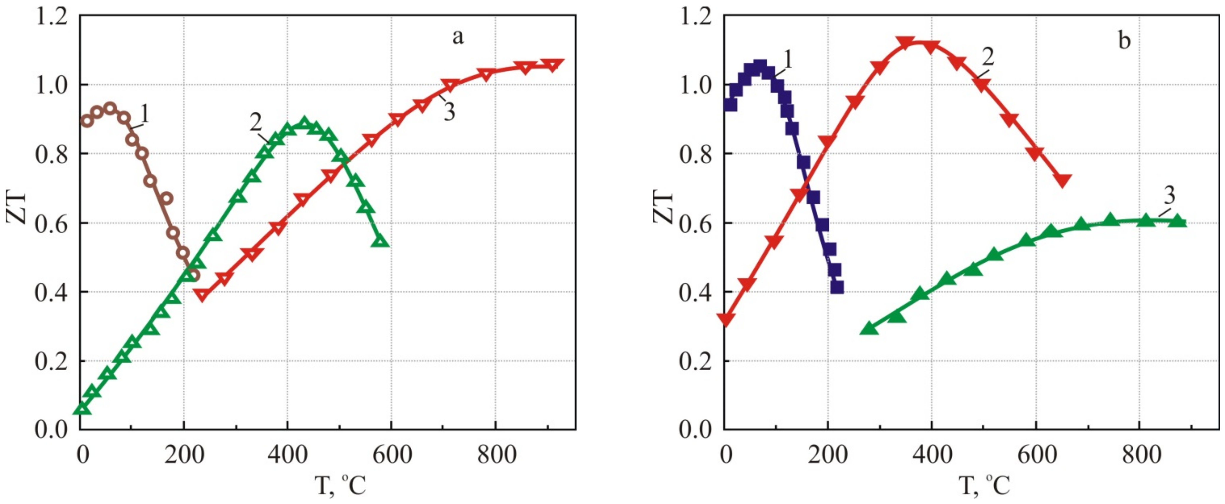
The dimensionless figure of merit ZT for different n- and p-type thermoelectric materials in the operated temperature range of 30–900 °C is illustrated in Figure 1 [15,16,17,18,19,20,21,22,23,24,25,26]. Today, there is no known thermoelectric material with the optimal ZT over the entire operated temperature range. However, as is evident from Figure 1, the maximum ZT for Bi2Te3, AIVBVI (PbTe, GeTe), and Si1−xGex semiconductor compounds may create a constant envelope of high ZT over a range of temperatures.
Figure 1.
Temperature dependence of dimensionless figure of merit zt for various thermoelectric materials over 30–900 °C [15,16,17,18,19,20,21,22,23,24,25,26]. (a) n-type: 1—Bi2Te3−xSex. 2—PbTe. 3—Si1−xGex. (b) p-type: 1—Bi2−xSbxTe3. 2—GeTe. 3—Si1−xGex.
The legs of typical commercial thermoelectric generators are conventionally fabricated from one type of semiconductor material [9]. Therefore, one means of increasing the efficiency of thermoelectric conversion of TEGs is the creation of multilayer thermoelectric unicouples, which can provide a high figure of merit ZT between 50 and 600 °C. To achieve this goal, several thermoelectric materials have been suggested in the design of multilayer thermoelectric unicouples with improved efficiency.
The main goal of the research is to enhance the efficiency of the energy conversion of gas TEG using the offered TE unicouple. We looked at the additional possibility of TEG application using heat accumulation following thermoelectric energy conversion. For the first time, we offered a unique hybrid system consisting of the TEG and a gas boiler, as the autonomic source of the electric energy and heat had a total efficiency of up to 80%.
2. Technology
2.1. Hot Extrusion
The n- and p-type Bi2Te3 based compounds were prepared using a hot extrusion method (Figure 2), which involves several consecutive steps [14,27,28,29,30]. The materials were synthesized in evacuated silica tubes. The compounds were crushed, compacted, and annealed. The annealed samples were extruded in a 150-ton hydraulic press to extrusion ratio k = 16 at 400 °C. The resultant rods were annealed in an inert atmosphere at Tt = 400 °C in an argon atmosphere for 100 h.
Figure 2.
Schema of Hot Extrusion; 1—plunger. 2—container. 3—deformable thermoelectric material. 4—die. 5—support washer. 6—working fluid. P—working fluid pressure. Fe—extrusion force.
2.2. SPS Method
The n-type Pb1−xInxTe1−yIny and p-type Ge1−xBixTe were prepared using Spark Plasma Sintering (SPS) technique [31,32,33,34]. The powder was compacted in a protective atmosphere at room temperature to form 20-mm diameter and 5-mm thick tablets at 1 GPa. Then, the tablets were heated at a rate of 50 °C/min and sintered at 600 °C for 20 min under an axial compressive stress of 60 MPa in an argon by SPS. The schematic view of the SPS unit is presented in Figure 3.
Figure 3.
Schematic view of SPS technique.
3. Characterization
3.1. Structural Characterization
The structural analyses of the films were performed using X-ray diffractometer STOE STADI P (by STOE and Cie GmbH, Munich, Germany) in transmission mode using modified Guinier geometry (CuKα1-radiation, concave Ge-monochromator (111) of the Johann type; 2θ/ω-scan, angle interval 20° ≤ 2θ ≤ 80° with the scanning step of 0.02°. The scan time in a step was 100 s. SEM images were taken with Quanta 200 environmental scanning electron microscope (HRSEM).
3.2. Mechanical Testing
Three-point bending tests were performed on specimens with dimensions 20 × 5 × 5 mm [35].
3.3. Thermoelectric Properties Measurement
Seebeck coefficient and electrical conductivity were measured using the standard methods, which can be found in Ref. [36]. The measurements were made in argon at a temperature range of 30–600 °C. Thermal diffusivity α was measured by the Netzsch LFA 457 equipment, and the specific heat capacity Cp was derived from a reference sample (Pyroceram 9606).
The Hall coefficient for the estimation of carrier concentration was measured at room temperature in the constant electric and magnetic fields with the magnetic field induction B = 2 T. The uncertainty of Hall measurements was ~10%.
The original setup was developed for the measurement of the outside characteristics of the multilayer TE unicouple or TE module, as well as the contact resistance between metallic contact and thermoelectric legs and thermal losses between these layers in a unicouple. A detailed description of the measuring system is presented in our previous publication in Ref. [17]. The schema of the measurement unit for output charactestics of TE unicouples and TE modules over a 100–600 °C temperature range is presented in Figure 4.
Figure 4.
Schema of measurement unit of output characteristics of generator TE unicouples and TE modules over 100–600 °C temperature range; 1—copper electric heater with thermocouple. 2, 3—copper water radiator with thermocouple. 4, 5—upper and lower TE modules (TE unicouples). 6—electrical contacts. 7—heat shield. 8—clamping pins. 9—nuts. 10—springs. 11—vacuum chamber. 12—vacuum gasket. 13—base. 14, 15—fittings. 16—fluoroplastic insulation.
The block diagram of the measurement unit is demonstrated in Figure 5. Measurements were spent in argon at a temperature range of 100–600 °C. Two identical TE modules (TEunicouples) are placed in a vacuum chamber on both sides of an electric heater. Two water radiators (upper and lower) were pressed against the cold sides of TE unicouples from the outside of the chamber. The heat screen was situated in a vacuum chamber to decrease the radiation heat.
Figure 5.
Block diagram of setup for measuring output characteristics.
The efficiency of TE unicouple (TE module) is defined as:
where P1 and P2 are the electric power of the upper and lower TE unicouple (TE module), and Q is the heater power.
h = (P1 +P2)/Q,
The temperature of the heater is changed in the 100–600 °C temperature range with an accuracy of 2%. The temperature of the radiators was determined to be 50 °C by a thermostat with an accuracy of 1%. The estimated accuracy of the efficiency measurement was ~3%.
4. Low-Temperature (50–300 °C) Thermoelectric Materials Based on n-Type and p-Type B2Te3 Compounds
Bismuth-telluride-based compounds: solid solutions Bi2Te3−x Sex for n-type and Bi2−xSbxTe3 for p-type are the most effective thermoelectric materials, and operate at temperatures up to Th~300 °C [37,38,39,40]. In our last paper, we discussed that these materials, prepared using the SPS technique, were optimized to improve TEGs efficiency [17]. In this paper, we investigated these compositions, prepared by hot extrusion, with a view to improve their mechanical properties and thermoelectric efficiency, which are necessary for the long-term operation of TEGs [9,14].
4.1. Structure Properties
After fabrication, the specimens were examined by XRD from perpendicular plane to extrusion (pressing) direction. The results are demonstrated in Figure 6 and provide evidence of the high-quality texture of the samples prepared by Float zone [41] and hot extrusion techniques. The virtual (00l) peaks were dominant in these samples. TE materials based on Bi2Te3 compounds have the maximal figure of merit Z in this direction [14].
(015) (0015)
Figure 6.
X-ray diffractograms of Bi2Te3-based compounds prepared by different techniques; 1—p-type Bi0.5Sb1.5Te3 prepared by Float zone technique [41]. 2—n-type Bi2Te2.7S0.3 prepared by hot extrusion. 3—p-type Bi0.5Sb1.5Te3 prepared by hot extrusion. 4—p-type Bi0.5Sb1.5Te3 prepared by SPS technique [17].
4.2. Mechanical Properties
The mechanical properties of TE materials are of much concern for reliable operation, since all the high-ZT materials are brittle compounds. Bi2Te3 is a layered structure [14,41]. The processing of Bi2Te3 by plastic deformation could improve strength and ductility, probably by entangling the grains’ retard microcrack propagation. However, plastic deformation generates preferred an orientation that can be utilized in the best crystallographic orientation of the thermoelectric properties.
The thermoelectric modules (TEMs) consist of several layers, which experience significant mechanical stresses during operation due to their different expansion coefficients [42,43,44,45]. Therefore, the bending and compression strengths of the candidate materials were studied, and the results are represented in Table 1 and Table 2, respectively. All studied specimens had practically zero elongation. As expected, n-type specimens had a higher strength compared to p-type materials produced using both hot extrusion and Zone float. Hot extruded n-type Bi2Te2.7S0.3 had a compression strength that was almost an order of magnitude higher than that found with zone floated n-type Bi0.5Sb1.5Te3 material.
Table 1.
Bending strength σb and deflection yb of Bi2Te3-based compound specimens prepared with different technologies.
Table 2.
The compression strength σc of of Bi2Te3-based compound specimens preparedwith different technologies.
Figure 7 presents the stress–strain behavior of compression tests for n-type Bi2Te2.7S0.3 specimens prepared with different technologies.
Figure 7.
The force–displacement curves (stress–strain behavior) for the compression test; (a)—hot extruded n-type Bi2Te2.7Se0.3 specimen. (b)—zone float n-type Bi2Te2.7Se0.3 specimen.
4.2.1. N-Type Thermoelectric Materials
The temperature dependences of Seebeck coefficient S, electrical conductivity σ, thermal conductivity κ and dimensionless figure of merit ZT over a 30–300 °C temperature range for n-type Bi2Te3−xSex samples prepared by hot extrusion are presented in Figure 8. The temperature behavior of S, σ, and κ defines the maximum value of ZT~1.2 for the optimal composition of Bi2Te2.7Se0.3 solid solution with electron concentration n~5 × 1019 cm−3 and S ≈ −165 μV/K at T~30 °C. Consequently, the best TE material for n-type leg application in the thermoelectric low-temperature converters is represented by the extruded, SbI3-doped n-Bi2Te2.7Se0.3 compound.
Figure 8.
The temperature dependence of Seebeck coefficient (a), electrical conductivity (b), thermal conductivity (c), and the dimensionless figure of merit ZT (d) over 30–300 °C temperature range for n-type Bi2Te3−xSex samples, fabricated by hot extrusion. 1—Bi2Te2.7Se0.3. 2—Bi2Te2.55Se0.45. 3—Bi2Te2.4Se0.6.
4.2.2. P-Type Thermoelectric Materials
The temperature dependences of Seebeck coefficient S, electrical conductivity σ, thermal conductivity κ and dimensionless figure of merit ZT over 30–300 °C temperature range for p-type Bi0.5Sb1.5Te3 prepared by hot extrusion are presented in Figure 9.
Figure 9.
The temperature dependence of Seebeck coefficient (a), electrical conductivity (b), thermal conductivity (c), and the dimensionless figure of merit ZT (d) over 30—300 °C temperature range for p-Type Bi0.5Sb1.5Te3 fabricated by hot extrusion. 1—stoichiometric Bi0.5Sb1.5Te3 (conventional orientation). 2—Bi0.5Sb1.5Te3 + 0.5 wt.% Pb (conventional orientation). 3—Bi0.5Sb1.5Te3 + 0.5 wt.% Pb (parallel to C axis).
The Seebeck coefficient S (Figure 9a) reaches the maximum for all specimens and then decreases with an increase in temperature. As shown in [14,17], this S behavior is connected with the appearance of electrons, which have a negative S coefficient value. In this case, S is determined as [17]:
where indices n and p describe the parameters for electrons and holes, respectively.
The electron mobility is higher than the hole mobility [14], and electron concentration exponentially increases with temperature. In this case, we can observe a sharp decrease in S. According to Equation (5), the Seebeck coefficient becomes anisotropic at high temperatures due to the presence of opposite-sign charge carriers. As shown in [14], the negative effect of minority charge carriers is minimized with crystals prepared by hot extrusion, with a parallel orientation to axis C. The increased thermal conductivity κ at T > 200 °C (Figure 9c) is due to the appearance of the ambipolar thermal conductivity of electron–hole pairs, which is weak for samples with the lowest mobility minority carriers (electrons) [14]. In this case, T > 200 °C values of the dimensionless figure of merit ZT is higher for samples where the orientation parallel to axis C is higher (Figure 9d).
5. Middle-Temperature Thermoelectric Materials (Operating Temperature (300–600 °C)
Lead telluride (PbTe) is an effective thermoelectric material for applications at middle temperatures of up to 600 °C [46]. It has a high melting point of ~900 °C and good chemical stability. Its high ZT allowed for its use in NASA space programs [47]. In our latest papers, indium- (effective donor impurity)-doped n-type PbTe specimens, prepared by SPS technique, were optimized to improve TE efficiency [28,29]. However, while the ZT for different impurities-doped, p-type PbTe has a very high value, at 300–500 °C [48,49,50,51,52], it has poor mechanical properties and is unreliable for use for real applications in thermoelectric energy devices [43,44]. Therefore, the p-type, GeTe-based compound is a real candidate for p-type thermoelectric materials in a 300–600 °C temperature range. In our recent paper, Bi-solid-solution, Ge1−xBixTe-doped, p-type GeTe specimens prepared using SPS technique were thoroughly investigated to improve their thermoelectric efficiency up to 600 °C, which is the maximal temperature for real applications in gas thermoelectric generators [36].
5.1. Middle-Temperature n-Type Thermoelectric Material Based on In and I-Codoped PbTe semiconductor Compound
The maximal value of the figure of merit Z as a function of electron density depends on the location of Fermi level EF relative to the bottom of the conduction band EC. It was shown that indium dopant in PbTe produces the optimal location for Fermi levels due to the creation of an indium quasi-local level in the conduction band. This leads to the so-called pinning of the Fermi level [53,54,55,56]. The indium level is a source of electrons, which mitigates the influence of the minority carriers (holes). This effect makes the average figure of merit (ZT)av significantly higher over a wider temperature range. An additional improvement in (ZT)av was achieved by co-doping PbTe with iodine, which is a well-known donor in PbTe [31,57].
The temperature dependence of the Seebeck coefficient (a), electrical conductivity (b), thermal conductivity (c), and the dimensionless figure of merit ZT (d) over 300–600 °C temperature range for n-type Pb1−xInxTe1−yIy specimens prepared by SPS are presented in Figure 10. The maximum value of ZT is close to 1.3 at T = 450 °C for Pb0.999In0.001Te0.999I0.001 composition, which is one of highest ZT values for n-type PbTe.
Figure 10.
The temperature dependence of Seebeck coefficient (a), electrical conductivity (b), thermal conductivity (c), and the dimensionless figure of merit ZT (d) over 300–600 °C temperature range for n-type Pb1−xInxTe1−yIy fabricated by SPS. 1—Pb1Te0.999I0.001. 2—Pb0.9995In0.0005Te0.9995I0.0005. 3—Pb0.999In0.001Te0.999I0.001.
5.2. Middle Temperature p-Type Thermoelectric Material Based on GeTe Compound
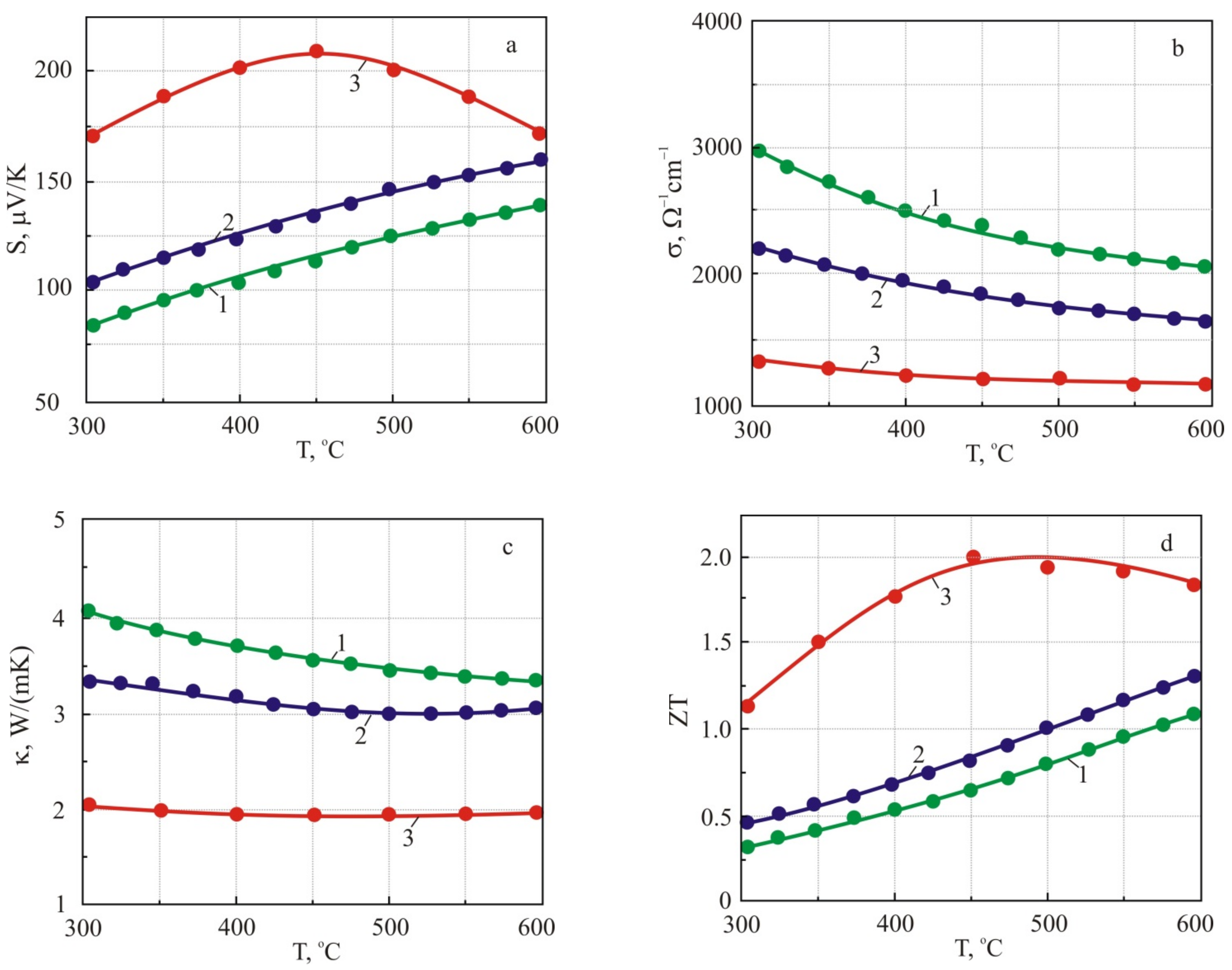
The temperature dependence of the Seebeck coefficient (a), electrical conductivity (b), thermal conductivity (c), and the dimensionless figure of merit ZT (d) over 300–600 °C temperature range for p-type Ge1-x-yBixPbyTe prepared by SPS are presented in Figure 11.
Figure 11.
The temperature dependence of Seebeck coefficient (a), electrical conductivity (b), thermal conductivity (c), and the dimensionless figure of merit ZT (d) over 300–600 °C temperature range for p-Type Ge1−x−yBixPbyTe prepared by SPS. 1—GeTe. 2—Ge0.94Pb0.06Te. 3—Ge0.96Bi0.04Te.
The Ge0.96Bi0.04Te specimen has the lowest value of κ ≈ 2 W/mK at 300 °C, which is more than twice as low as that of the GeTe specimen, and this trend is observed up to T = 600 °C (Figure 11c). The dimensionless figure ZT for Ge0.96Bi0.04Te specimen reaches the value of ~2.0 at T = 450 °C and remains virtually constant up to 600 °C, which is more than twice the value of ZT for pristine GeTe. The average thermoelectric figure of merit for Ge0.96Bi0.04Te specimen (ZT)av~1.3 was obtained for the operating temperature difference of ΔT = 300 K (Tc = 300 °C, Th = 600 °C).
6. Applications
6.1. Thermoelectric Module
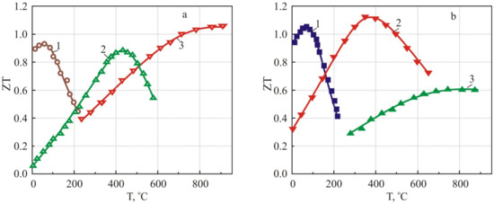
To obtain maximum TE efficiency, we propose fabricating composite TE modules (TEMs) from multilayer unicouples designed for given temperature gradients, following the suggestion of Prof. Z. Dashevsky [33]. Each stage should be made of a different material layer. Each material should be selected such that its ZT is maximal in the temperature range prevailing in the corresponding stage (Figure 7, Figure 8, Figure 9, Figure 10 and Figure 11).
Figure 12 presents the structure of a multilayer TE unicouple designed for the temperature range of 50–600 °C. The first-layer material should be selected from low-temperature TE materials (the temperature interval: 50–300 °C) based on n-type and p-type Bi2Te3 materials, fabricated by hot extrusion (layers 2 and 5). The second-layer materials should be selected from middle-temperature materials, n-type Pb0.999InTe0.999I0.001 (4) and p-type Ge1−xBixTe (6), prepared by Spark Plasma Sintering (SPS). They should be joined by hot-pressing using thin Bi foils ~0.1 mm (3) between the two layers in each leg.
Figure 12.
Design of multilayer thermoelectric generator unicouple (for the temperature range Tc = 50 °C and Th = 600 °C); 1—metallic contact from Co + 6 wt% Bi. 2—n-type TE layer made by hot extrusion of n-Bi2.7Se0.3Te3. 3—thin Bi foil. 4—n-type TE layer made by SPS of n-Pb0.999InTe0.999I0.001. 5—p-type TE layer made by hot extrusion based on p-Bi0.5Sb01.5Te3, oriented along C axis. 6—p-type TE layer made by SPS of p-Ge0.96Bi0.04. 7—thin, heavily doped p-type SnTe layer for improving ohmic contact. 8—Fe metal contact on the hot side.
Several two-layer unicouples were fabricated, and their efficiency was measured using the setup described in Section 3.3. The very first experiment has shown that the energy conversion efficiency reaches a high value of η~14–15% when operated between the hot temperature Th = 600 °C and cold temperature Tc = 50 °C.
Fabrication of the proposed thermoelectric module (TEM) (Figure 13) may proceed with the following steps:
- Assembly of the developed TE unicouples and enclosing/placing cold side plates into an aluminum cassette.
- Sintering of the cassette under pressure.
- Formation of a sequential chain of thermoelements.
- Assembly of the TE module in a protective case of stainless-steel thin sheet.
- Sealing of the module, including welding of the cover, rollbacks and argon filling.
Figure 13.
Photos of multistage thermoelectric module and capsulated module in Argon.
6.2. Gas Thermoelectric Generator (TEG)
The first design of a gas TEG with the electric power of 170 W was developed in the laboratory of Prof. Z. Dashevsky in 1993 [58]. Rib aluminum radiators (sic units) with a weight of ~50 kg were proposed for heat collection from the cold side of thermoelectric modules. These TEGs have a high reliability and long operative time of ~15–20 years.
A schematic view of a novel gas TEG is presented in Figure 14a. The gas burner (1) evenly heats up the heat exchanger (2), to which the design of the gas burner (1) is presented in Ref. [1]. A screen with flue gas outlet holes is placed around the gas burner to optimize the heating of the heat exchanger (2). It is made of cast iron and has extra-lateral ribs to increase the heating area. The thermoelectric converters (modules) (3) are attached to the heat exchanger (2). Some of the thermal energy is converted into electrical energy due to the temperature difference ΔT between the gas burner and radiators (4) on the cold side of the modules. In an ordinary TEG, the cooling radiators dissipate most of the thermal energy to the environment [10]. However, it is suggested that TEGs should be used in domestic gas burners, such that the heat generated by gas burning would pass through TEGs, in which a small part of the thermal energy (up to 15%) would be converted to electric power while the rest of the thermal energy would be utilized for domestic heating and the supply of hot water at the exit temperature of the TEGs (Figure 14b,c). We expect that the prototype of such a hybrid system could produce ~400–500 W of electrical energy and 1700–2000 W of heat energy for domestic heating and hot water supply.
Figure 14.
(a)—Schematic view a gas thermoelectric generator (TEG); General view of a gas TEG; (b,c)—Schematic energy flow diagram of a common gas burner and a hybrid TEG boiler; 1—fuel furnace; 2—heat exchanger; 3—TE module; 4—water sink.
7. Conclusions
For the first time, we discovered:
- (a)
- A unique design for a multilayer (multistage) TE unicouple, which is the main part of the thermoelectric energy module, is developed. Two types of thermoelectric materials were selected: the n- and p-type low-temperature TE materials (with an operating temperature range of 50–300 °C) based on Bi2Te3 compounds with an optimal crystal orientation provided by hot extrusion, and the middle-temperature TE materials (with an operating temperature range of 300–600 °C), which uses the SPS technique to prepare n-type TE material based on PbTe and p-type TE material based on GeTe. The TE outstanding energy conversion efficiency η~15 % was measured for the TE unicouple with a temperature difference ΔT = 550 °C (Th = 600 °C), which is practically the maximum efficiency for TE modules of gas TEGs.
- (b)
- The possibility of extracting this amount of electrical power from the heat generated for domestic warming, and using the waste heat for water-heating. We suggest using this high-efficiency TEG design in a system combining TEG and a gas boiler into one autonomous source of electrical energy and heat for domestic use. We expect that the prototype of this hybrid system can produce ~400–500 W of electrical energy and 1700–2000 W of heat energy for heating and hot water supply.
Author Contributions
Z.D.—principal investigator; A.J.—XRD investigation. Data curation; Y.U. mechanical property investigation. Methodology; B.D.—Investigation and visualization; F.G.—project management and conceptualization; R.Z.S.—supervision. All authors have read and agreed to the published version of the manuscript.
Funding
This research received no external funding.
Institutional Review Board Statement
Not applicable.
Informed Consent Statement
Patient consent was waived.
Data Availability Statement
The raw/processed data required to reproduce these findings cannot be shared at this time as the data also form part of an ongoing study.
Conflicts of Interest
The authors declare that they have no known competing financial interests or personal relationships that could have appeared to influence the work reported in this paper.
References
- Men, Y.; Liu, X.; Zhang, T. A review of boiler waste heat recovery technologies in the medium-low temperature range. Energy 2021, 237, 121560. [Google Scholar] [CrossRef]
- Row, D.M. (Ed.) CRC Thermoelectrics Handbook: Macro to Nano; CRS Press: London, UK, 2006. [Google Scholar] [CrossRef]
- Chen, J.; Li, K.; Liu, C.; Li, M.; Lv, Y.; Jia, L.; Jiang, S. Enhanced efficiency of thermoelectric generator by optimizing mechanical and electrical Structures. Energies 2017, 10, 1329. [Google Scholar] [CrossRef] [Green Version]
- Böttner, H.; Nurnus, J.; Gavrikov, A.; Kühner, G.; Jägle, M.; Künzel, C.; Eberhard, D.; Plescher, G.; Schubert, A.; Schlereth, K.H. New thermoelectric components using microsystems technologies. J. Microelectromech. Syst. 2004, 13, 414–420. [Google Scholar] [CrossRef]
- Snyder, G.J.; Lim, J.R.; Huang, C.-K.; Fleurial, J.-P. Thermoelectric microdevice fabricated by a MEMS-like electrochemical process. Nat. Mater. 2003, 2, 528–531. [Google Scholar] [CrossRef] [PubMed]
- El Oualid, S.; Kosior, F.; Dauscher, A.; Candolfi, C.; Span, G.; Mehmedovic, E.; Paris, J.; Lenoir, B. Innovative design of bismuth-telluride-based thermoelectric micro-generators with high output power. Energy Environ. Sci. 2020, 13, 3579–3591. [Google Scholar] [CrossRef]
- Maksymuk, M.; Parashchuk, T.; Dzundza, B.; Nykyruy, L.; Chernyak, L.; Dashevsky, Z. Highly efficient bismuth telluride–based thermoelectric microconverters. Mater. Today Energy 2021, 21, 100753. [Google Scholar] [CrossRef]
- Pei, Y.; Shi, X.; LaLonde, A.; Wang, H.; Chen, L.; Snyder, G.J. Convergence of electronic bands for high performance bulk thermoelectrics. Nature 2011, 473, 66–69. [Google Scholar] [CrossRef]
- Zoui, M.A.; Bentouba, S.; Stocholm, J.G.; Bourouis, M. A review on thermoelectric generators: Progress and application. Energies 2020, 13, 3606. [Google Scholar] [CrossRef]
- Oualid, S.; Kogut, I.; Benyahia, M.; Geczi, E.; Kruck, U.; Kosior, F.; Masschelein, P.; Candolfi, C.; Dauscher, A.; Koenig, J.D.; et al. High power density thermoelectric generators with skutterudites. Adv. Energy Mater. 2021, 11, 2100580. [Google Scholar] [CrossRef]
- Hewawasam, L.S.; Jayasena, A.S.; Afnan, M.M.; Ranasinghe, R.A.; Wijewardane, M.A. Waste heat recovery from thermoelectric generators (TEGs). Energy Rep. 2020, 6, 474–479. [Google Scholar] [CrossRef]
- Tohidi, F.; Holagh, S.G.; Chitsaz, A. Thermoelectric Generators: A comprehensive review of characteristics and applications. Appl. Therm. Eng. 2022, 201, 117793. [Google Scholar] [CrossRef]
- Zhang, Z.; Zhang, Y.; Sui, X.; Li, W.; Xu, D. Performance of thermoelectric power-generation system for sufficient recovery and reuse of heat accumulated at cold side of TEG with water-cooling energy exchange circuit. Energies 2020, 13, 5542. [Google Scholar] [CrossRef]
- Dashevsky, Z.; Skipidarov, S. Investigating the Performance of Bismuth-Antimony Telluride. In Novel Thermoelectric Materials and Device Design Concepts; Nikitin, M., Skipidarov, S., Eds.; Springer: Cham, Switzerland; New York, NY, USA, 2019; pp. 3–21. [Google Scholar] [CrossRef]
- Rad, M.K.; Rezania, A.; Omid, M.; Rajabipour, A.; Rosendahl, L.A. Study on material properties effect for maximization of thermoelectric power generation. Renew. Energy 2019, 138, 236–242. [Google Scholar]
- Mamur, H.; Bhuiyan, M.R.A.; Korkmaz, F.; Nil, M. A review on bismuth telluride (Bi2Te3) nanostructure for thermoelectric applications. Renew. Sustain. Energy Rev. 2018, 82, 4159–4169. [Google Scholar] [CrossRef]
- Maksymuk, M.; Dzundza, B.; Matkivsky, O.; Horichok, I.; Shneck, R.; Dashevsky, Z. Development of the high performance thermoelectric unicouple based on Bi2Te3 compounds. J. Power Sources 2022, 530, 231301. [Google Scholar] [CrossRef]
- Gayner, C.; Kar, K.K. Recent advances in thermoelectric materials. Prog. Mater. Sci. 2016, 83, 330–382. [Google Scholar] [CrossRef]
- Sootsman, J.R.; Chung, D.Y.; Kanatzidis, M.G. New and old concepts in thermoelectric materials. Angew. Chem. Int. Ed. 2009, 48, 8616–8639. [Google Scholar] [CrossRef]
- Gelbstein, Y.; Dashevsky, Z.; Dariel, M.P. High performance n-type PbTe-based materials for thermoelectric applications. Phys. B 2005, 363, 96–205. [Google Scholar] [CrossRef]
- Parashchuk, T.; Horichok, I.; Kosonowski, A.; Cherniushok, O.; Wyzga, P.; Cempura, G.; Kruk, A.; Wojciechowski, K.T. Insight into the transport properties and enhanced thermoelectric performance of n-type Pb1−xSbxTe. J. Alloys Comp. 2020, 860, 158355. [Google Scholar] [CrossRef]
- Knura, R.; Parashchuk, T.; Yoshiasab, A.; Wojciechowski, K.T. Origins of low lattice thermal conductivity of Pb1−xSnxTe alloys for thermoelectric applications. Dalton Trans. 2021, 50, 4323. [Google Scholar] [CrossRef]
- Petsagkourakis, I.; Tybrandt, K.; Crispin, X.; Ohkubo, I.; Satoh, N.; Mori, T. Thermoelectric materials and applications for energy harvesting power generation. Sci. Technol. Adv. Mater. 2018, 19, 836–862. [Google Scholar] [CrossRef] [PubMed]
- Parashchuk, T.; Shabaldin, A.; Cherniushok, O.; Konstantinov, G.; Horichok, I.; Burkov, A.; Dashevsky, Z. Enhanced thermoelectric properties of p-type Ge1−xPbxTe alloys due to decrease of lattice thermal conductivity. J. Phys. B 2020, 596, 412397. [Google Scholar] [CrossRef]
- Romanjek, K.; Vesin, S.; Aixala, L.; Baffie, T.; Bernard-Granger, G.; Dufourcq, J. High Perormance Silicon–Germanium-Based Thermoelectric Modules for Gas Exhaust Energy Scavenging. J. Electron. Mater. 2015, 44, 2192–2202. [Google Scholar] [CrossRef]
- Delime-Codrin, K.; Omprakash, M.; Ghodke, S.; Sobota, R.; Adachi, M.; Kiyama, M.; Matsuura, T.; Yamamoto, Y.; Matsunami, M.; Takeuchi, T. Large figure of merit ZT = 1.88 at 873 K achieved with nanostructured Si0.55Ge0.35(P0.10Fe0.01). Appl. Phys. Express 2019, 12, 045507. [Google Scholar] [CrossRef]
- Parashchuk, T.; Sidorenko, N.; Ivantsov, L.; Sorokin, A.; Maksymuk, M.; Dzundza, B.; Dashevsky, Z. Development of a solid-state multi-stage thermoelectric cooler. J. Power Sources 2021, 496, 229821. [Google Scholar] [CrossRef]
- Dashevsky, Z.M.; Kostantinov, P.P.; Skipidarov, S.Y. New way of application for thermoelectric energy converters. Semiconductors 2019, 53, 861–864. [Google Scholar] [CrossRef]
- Lavrentev, M.G.; Drabkin, I.A.; Ershova, L.B.; Volkov, M.P. Improved extruded thermoelectric materials. J. Elec. Mater. 2020, 49, 2937–2942. [Google Scholar] [CrossRef]
- Sorokin, A.I.; Ivantsov, M.S.; Tabachkova, N.Y.; Bublik, V.T.; Skipidarov, S.Y.; Dashevsky, Z.M. Development of technology for high-strength thermoelectrics with a diameter of up to 35 mm based on Bi2Te3 polycrystals by hot extrusion. Fiz. Tekh. Poluprovodn. 2022, 56, 17–21. [Google Scholar]
- Wojciechowski, K.T.; Parashchuk, T.; Wiendlocha, B.; Cherniushok, O.; Dashevsky, Z. Highly efficient n-type PbTe developed by advanced electronic structure engineering. J. Mater. Chem. C 2020, 8, 13270–13285. [Google Scholar] [CrossRef]
- Srinivasan, B.; Gautier, R.; Gucci, F.; Fontaine, B.; Halet, J.-F.; Cheviré, F.; Boussard-Plédel, C.; Reece, M.J.; Bureau, B. Impact of Coinage Metal Insertion on the Thermoelectric Properties of GeTe Solid-State Solutions. J. Phys. Chem. C Am. Chem. Soc. 2018, 122, 227–235. [Google Scholar] [CrossRef]
- Dashevsky, Z.; Horichok, I.; Maksymuk, M.; Muchtar, A.R.; Srinivasan, B.; Mori, T. Feasibility of high performance in p-type Ge1− xBixTe materials for thermoelectric modules. J. Am. Ceram. Soc. 2022, 105, 4500–4511. [Google Scholar] [CrossRef]
- Kostyuk, O.; Dzundza, B.; Maksymuk, M.; Bublik, V.; Chernyak, L.; Dashevsky, Z. Development of Spark Plasma Syntering (SPS) technology for preparation of nanocrystalline p-type thermoelctrics based on (BiSb)2Te3. Phys. Chem. Solid State 2020, 21, 628–634. [Google Scholar] [CrossRef]
- Callister, W.D., Jr. Materials Science and Engineering, 6th ed.; John Wiley & Sons, Inc.: Hoboken, NJ, USA, 2003. [Google Scholar]
- Parashchuk, T.; Dashevsky, Z.; Wojciechowski, K. Feasibility of a high stable PbTe:In semiconductor for thermoelectric energy applications. J. Appl. Phys. 2019, 125, 245103. [Google Scholar] [CrossRef]
- Seo, J.; Lee, C.; Park, K. Thermoelectric properties of n-type SbI3-doped Bi2Te2.85Se0.15 compound fabricated by hot pressing and hot extrusion. J. Mater. Sci. 2000, 35, 1549–1554. [Google Scholar] [CrossRef]
- Bomshtein, N.; Spiridonov, G.; Dashevsky, Z.; Gelbstien, Y. Thermoelectric, structural, and mechanical properties of Spark-Plasma-Sintered submicro- and microstructured p-type Bi0.5Sb1.5Te3. J. Electron. Mater. 2012, 41, 1546–1553. [Google Scholar] [CrossRef]
- Prokofieva, L.V.; Pshenay-Severin, D.A.; Konstantinov, P.P.; Shabaldin, A.A. Optimum composition of a Bi2Te3−xSex alloy for the n-type leg of a thermoelectric generator. Semiconductors 2009, 43, 973–976. [Google Scholar] [CrossRef]
- Witting, I.T.; Ricci, F.; Chasapis, T.C.; Hautier, G.; Snyder, G.J. The Thermoelectric Properties of n-Type Bismuth Telluride: Bismuth Selenide Alloys Bi2Te3−xSex. Research 2020, 2020, 4361703. [Google Scholar] [CrossRef] [Green Version]
- Goltsman, B.M.; Kudinov, V.A.; Smirnov, I.A. Thermoelectric Semiconductor Materials Based on Bi2Te3; Nauka: Moskow, Russia, 1972. (In Russian) [Google Scholar]
- Gelbstein, Y.; Gotesman, G.; Lishzinker, Y.; Dashevsky, Z.; Dariel, M.P. Mechanical properties of PbTe—Based thermoelectric semiconductors. Scr. Mater. 2008, 58, 251–254. [Google Scholar] [CrossRef]
- Gelbstein, Y.; Dashevsky, Z.; Dariel, M.P. The search for mechanically stable PbTe based thermoelectric materials. J. Appl. Phys. 2008, 104, 33–40. [Google Scholar] [CrossRef]
- Male, J.P.; Abdellaoui, L.; Yu, Y.; Zhang, S.; Pieczulewski, N.; Cojocaru-Miredin, O.; Scheu, C.; Snyder, G. Dislocations stabilized by point defects increase brittleness in PbTe. Adv. Funct. Mater. 2021, 2108006, 1–9. [Google Scholar] [CrossRef]
- Zhang, G.; Fan, L.; Niu, Z.; Jiao, K.; Diao, H.; Du, Q.; Shu, G. A comprehensive design method for segmented thermoelectric generator. Energy Convers. Manag. 2015, 106, 510–519. [Google Scholar] [CrossRef]
- Dughaish, Z. Lead telluride as a thermoelectric material for thermoelectric power generation. J. Phys. B 2002, 322, 205–223. [Google Scholar] [CrossRef]
- LaLonde, A.D.; Pei, Y.; Wang, H.; Snyder, G.J. Lead telluride alloy thermoelectrics. Mater. Today 2011, 14, 526–532. [Google Scholar] [CrossRef]
- Dariel, M.P.; Dashevsky, Z.; Jarashnely, A.; Shusterman, S.; Horowitz, A. Carrier concentration gradient generated in p-type PbTe crystals by unidirectional solidification. J. Cryst. Growth 2002, 234, 164–170. [Google Scholar] [CrossRef]
- Kim, Y.J.; Zhao, L.-D.; Kanatzidis, M.G.; Seidman, D. Analysis of nanoprecipitates in a Na-doped PbTe–SrTe thermoelectric material with a high figure of merit. Appl. Mater. Interfaces 2017, 9, 21791–21797. [Google Scholar] [CrossRef]
- Androulakis, J.; Todorov, I.; Chung, D.-Y.; Ballikaya, S.; Wang, G.; Uher, C.; Kanatzidis, M. Thermoelectric enhancement in PbTe with K or Na codoping from tuning the interaction of the light- and heavy-hole valence bands. Phys. Rev. B 2010, 82, 115209. [Google Scholar] [CrossRef] [Green Version]
- Jood, P.; Male, J.P.; Anand, S.; Matsushita, Y.; Takagiwa, Y.; Kanatzidis, M.G.; Snyder, G.J.; Ohta, M. Na doping in PbTe: Solubility, band convergence, phase boundary mapping, and thermoelectric properties. J. Am. Chem. Soc. 2020, 142, 15464–15475. [Google Scholar] [CrossRef]
- Parashchuk, T.; Wiendlocha, B.; Cherniushok, O.; Knura, R.; Wojciechowski, K.T. High thermoelectric performance of p-Type PbTe enabled by the synergy of resonance scattering and lattice softening. ACS Appl. Mater. Interfaces 2021, 13, 49027–49042. [Google Scholar] [CrossRef]
- Kaidanov, V.I.; Ravich, Y.I. Deep and resonance states in AIVBVI semiconductors. Sov. Phys. Usp. 1985, 28, 31–53. [Google Scholar] [CrossRef]
- Kaidanov, V.I. Resonance (Quasilocal) states in AIVBVI semiconductors. Defect Diffus. Forum 1993, 103–105, 387–406. [Google Scholar] [CrossRef]
- Dashevsky, Z.; Shusterman, S.; Dariel, M.P.; Drabkin, I. Thermoelectric efficiency in graded indium-doped PbTe crystals. J. Appl. Phys. 2002, 92, 1425–1430. [Google Scholar] [CrossRef]
- Heremans, J.P.; Wiendlocha, B.; Chamoire, A.M. Resonant levels in bulk thermoelectric semiconductors. Energy Environ. Sci. 2012, 5, 55105530. [Google Scholar] [CrossRef]
- Bali, A.; Chetty, R.; Sharma, A.; Rogl, G.; Heinrich, P.; Suwas, S.; Misra, D.K.; Rogl, P.; Bauer, E.; Mallik, R.C. Thermoelectric properties of In and I doped PbTe. J. Appl. Phys. 2016, 120, 175101. [Google Scholar] [CrossRef]
- Dashevsky, Z.; Dudkin, L. Generator thermoelectric materials. J. Thermoelectr. 1993, 1, 93–106. [Google Scholar]
Publisher’s Note: MDPI stays neutral with regard to jurisdictional claims in published maps and institutional affiliations. |
© 2022 by the authors. Licensee MDPI, Basel, Switzerland. This article is an open access article distributed under the terms and conditions of the Creative Commons Attribution (CC BY) license (https://creativecommons.org/licenses/by/4.0/).













