A Computational Fluid Dynamics Model for a Water Vortex Power Plant as Platform for Etho- and Ecohydraulic Research
Abstract
1. Introduction
2. Materials and Methods
2.1. Numerical Setup
2.2. Experimental Setup
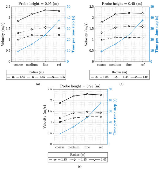
2.3. Mesh Independence
3. Results
4. Conclusions
Author Contributions
Funding
Conflicts of Interest
Abbreviations
| ADV | Acoustic Doppler Velocimetry |
| CFD | Computational Fluid Dynamics |
| CPU | Central Processing Unit |
| Exp | Experiment |
| FFW | Fish-Friendly-Weir |
| k | turbulent kinetic energy |
| LES | Large-Eddy Simulations |
| RANS | Reynolds-Averaged Navier–Stokes |
| Sim | Simulation |
| SIMPLE | Semi-implicit Method for Pressure Linked Equations |
| SST | Shear Stress Transport |
| TUD | Technical University of Dresden |
| VOF | Volume of Fluid |
| averaged velocity value of experimental data | |
| averaged velocity value of simulation data | |
| WVPP | water vortex power plant |
| non-dimensional wall distance | |
| specific dissipation rate |
References
- Bostan, I.; Gheorghe, A.V.; Dulgheru, V.; Sobor, I.; Bostan, V.; Sochirean, A. Resilient Energy Systems: Renewables: Wind, Solar, Hydro; Springer Science & Business Media: Berlin, Germany, 2012; Volume 19. [Google Scholar]
- Wagner, H.J.; Mathur, J. Introduction to Hydro Energy Systems: Basics, Technology and Operation; Springer Science & Business Media: Berlin, Germany, 2011. [Google Scholar]
- Anyi, M.; Kirke, B. Evaluation of small axial flow hydrokinetic turbines for remote communities. Energy Sustain. Dev. 2010, 14, 110–116. [Google Scholar] [CrossRef]
- Silva, A.T.; Lucas, M.C.; Castro-Santos, T.; Katopodis, C.; Baumgartner, L.J.; Thiem, J.D.; Aarestrup, K.; Pompeu, P.S.; O’Brien, G.C.; Braun, D.C.; et al. The future of fish passage science, engineering, and practice. Fish Fish. 2018, 19, 340–362. [Google Scholar] [CrossRef]
- EP. Directive 2000/60/EC of the European Parliament and of the Council of 23 October 2000 Establishing a Framework for Community Action in the Field of Water Policy; EP: Brussels, Belgium, 2000. [Google Scholar]
- DWA. Fischaufstiegsanlagen und Fischpassierbare Bauwerke: Gestaltung, Bemessung, Qualitätssicherung, mai 2014 ed.; Number M 509 in DWA-Regelwerk; DWA: Hennef, Germany, 2014. [Google Scholar]
- Giesecke, J.; Heimerl, S.; Mosonyi, E. Wasserkraftanlagen: Planung, Bau und Betrieb, 6th ed.; Springer: Berlin, Germany, 2014; OCLC: 879592116. [Google Scholar] [CrossRef]
- Larsson, A. The Efficiency of a Fish Ladder for Salmonid Upstream Migration in a Swedish Stream. Master’s Thesis, University of Gothenburg, Department of Biological and Environmental Sciences, Gothenburg, Sweden, 2016. [Google Scholar]
- Bunt, C.M.; Castro-Santos, T.R.; Haro, A. Reinforcement and validation of the analyses and conclusions related to fishway evaluation data from Bunt et al.: ‘Performance of fish passage structures at upstream barriers to migration’. River Res. Appl. 2016, 32, 2125–2137. [Google Scholar] [CrossRef]
- McLaughlin, R.L.; Smyth, E.R.B.; Castro-Santos, T.; Jones, M.L.; Koops, M.A.; Pratt, T.C.; Vélez-Espino, L.A. Unintended consequences and trade-offs of fish passage. Fish Fish. 2013, 14, 580–604. [Google Scholar] [CrossRef]
- Müller, S.; Cleynen, O.; Hoerner, S.; Lichtenberg, N.; Thévenin, D. Numerical analysis of the compromise between power output and fish-friendliness in a vortex power plant. J. Ecohydraulics 2018, 3, 86–98. [Google Scholar] [CrossRef]
- Lichtenberg, N.; Cleynen, O.; Thévenin, D. Numerical investigations of a water vortex hydropower plant implemented as fish ladder. In Proceedings of the 4th IAHR Europe Congress, Liege, Belgium, 27–29 July 2016; p. 277. [Google Scholar]
- Kanemoto, T.; Inagaki, A.; Misumi, H.; Kinoshita, H. Development of gyro-type hydraulic turbine suitable for shallow stream (1st report, rotor works and hydroelectric power generation). Trans. Jpn. Soc. Mech. Eng. Ser. B 2004, 70, 413–418. [Google Scholar] [CrossRef]
- Dhakal, S.; Nakarmi, S.; Pun, P.; Thapa, A.B.; Bajracharya, T.R. Development and testing of runner and conical basin for gravitational water vortex power plant. J. Inst. Eng. 2014, 10, 140–148. [Google Scholar] [CrossRef]
- Dhakal, S.; Timilsina, A.B.; Dhakal, R.; Fuyal, D.; Bajracharya, T.R.; Pandit, H.P.; Amatya, N.; Nakarmi, A.M. Comparison of cylindrical and conical basins with optimum position of runner: Gravitational water vortex power plant. Renew. Sustain. Energy Rev. 2015, 48, 662–669. [Google Scholar] [CrossRef]
- Wanchat, S.; Suntivarakorn, R.; Wanchat, S.; Tonmit, K.; Kayanyiem, P. A parametric study of a gravitation vortex power plant. Adv. Mater. Res. 2013, 805, 811–817. [Google Scholar] [CrossRef]
- Müller, N.; Stamm, J.; Wagner, F. A water vortex power plant as ethohydraulic test site. In Proceedings of the Congress-International Association for Hydraulic Research (IAHR), Trento, Italy, 12–14 June 2018. [Google Scholar] [CrossRef]
- Wagner, F.; Warth, P.; Royan, M.; Lindig, A.; Müller, N.; Stamm, J. Laboruntersuchungen zum Fischabstieg über ein Wasserwirbelkraftwerk. Wasserwirtschaft 2019, 109, 64–67. [Google Scholar] [CrossRef]
- Mulligan, S.; Casserly, J.; Sherlock, R. Experimental and numerical modelling of free-surface turbulent flows in full air-core water vortices. In Advances in Hydroinformatics; Springer: Berlin/Heidelberg, Germany, 2016; pp. 549–569. [Google Scholar]
- Nishi, Y.; Inagaki, T. Performance and flow field of a gravitation vortex type water turbine. Int. J. Rotating Mach. 2017, 2017, 2610508. [Google Scholar] [CrossRef]
- Dhakal, R.; Bajracharya, T.; Shakya, S.; Kumal, B.; Khanal, K.; Williamson, S.; Gautam, S.; Ghale, D. Computational and experimental investigation of runner for gravitational water vortex power plant. In Proceedings of the 2017 IEEE 6th International Conference on Renewable Energy Research and Applications (ICRERA), San Diego, CA, USA, 5–8 November 2017; pp. 365–373. [Google Scholar]
- Sedai, A.; Yadav, B.K.; Kumal, B.B.; Khatiwada, A.; Dhakal, R. Performance analysis of Gravitational water vortex power plant using scale-down model. In Proceedings of the Current Research in Hydropower Technologies (CRHT X), Dhulikhel, Nepal, 28 April 2020. [Google Scholar]
- Bajracharya, T.R.; Shakya, S.R.; Timilsina, A.B.; Dhakal, J.; Neupane, S.; Gautam, A.; Sapkota, A. Effects of Geometrical Parameters in Gravitational Water Vortex Turbines with Conical Basin. J. Renew. Energy 2020, 2020, 5373784. [Google Scholar]
- Hirt, C.W.; Nichols, B.D. Volume of fluid (VOF) method for the dynamics of free boundaries. J. Comput. Phys. 1981, 39, 201–225. [Google Scholar] [CrossRef]
- Menter, F.R. Two-equation eddy-viscosity turbulence models for engineering applications. AIAA J. 1994, 32, 1598–1605. [Google Scholar] [CrossRef]
- Wallin, S.; Johannsen, A.V. An explicit algebraic Reynolds stress model for incompressible and compressible turbulent flows. J. Fluid Mech. 2000, 403, 89–132. [Google Scholar] [CrossRef]
- Müller, N.; Jähnel, C.; Stamm, J.; Wagner, F. Analyse der Strömung in einem Wasserwirbelkraftwerk hinsichtlich des Fischabstiegs. Wasserwirtschaft 2019, 109, 60–63. [Google Scholar] [CrossRef]
- Müller, N.; Stamm, J. Errichtung eines 1:1 Labormodells für ethohydraulische Untersuchungen an einem Wasserwirbelkraftwerk. In Dresdner Wasserbauliche Mitteilungen (Heft 60); Technische Universität Dresden, Institut für Wasserbau und technische Hydromechanik: Dresden, Germany, 2018; pp. 123–132. [Google Scholar]











| Solver physics | 3d, implicit unsteady, turbulent, Eulerian-multiphase, segregated flow |
| Solver algorithm | SIMPLE |
| Temporal discretization | |
| Accuracy | first order |
| Time step | s |
| Spatial discretization | |
| mesh type | core region: trimmed mesh (hexahedral cells), |
| near wall region: Prism layer mesh (orthogonal prismatic cells) | |
| core cell size: Background mesh | 0.05 m |
| core cell size: Overset mesh | 0.025 m |
| Total amount of cells | ≈4.7 million |
| Turbulence model | (Menter) SST |
| Wall treatment model | All wall treatment |
| Multiphase model | Volume of fluid (VOF) |
| Convergence criteria | |
| Continuity equation | residual target = |
| X-, Y- and Z momentum equation | residual target = |
| Calculation effort | ≈19,200 CPU hours |
| Mesh | Cells | vel.-av. | dev. (%) |
|---|---|---|---|
| 1 | 2,083,132 | 1.895 | 10.3 |
| 2 | 4,579,779 | 2.169 | 3.62 |
| 3 | 7,146,041 | 2.283 | 0.11 |
| 4 | 11,734,809 | 2.251 | ref |
| Experiments | Simulations | Relative Deviations in % | |
|---|---|---|---|
| Water height at inlet [m] | 0.81 | 0.83 | 2.5 |
| Water height at outlet [m] | 0.75 | 0.72 | 4.0 |
| Drop between inlet and outlet [m] | 1.10 | 1.04 | 5.4 |
Publisher’s Note: MDPI stays neutral with regard to jurisdictional claims in published maps and institutional affiliations. |
© 2021 by the authors. Licensee MDPI, Basel, Switzerland. This article is an open access article distributed under the terms and conditions of the Creative Commons Attribution (CC BY) license (http://creativecommons.org/licenses/by/4.0/).
Share and Cite
Powalla, D.; Hoerner, S.; Cleynen, O.; Müller, N.; Stamm, J.; Thévenin, D. A Computational Fluid Dynamics Model for a Water Vortex Power Plant as Platform for Etho- and Ecohydraulic Research. Energies 2021, 14, 639. https://doi.org/10.3390/en14030639
Powalla D, Hoerner S, Cleynen O, Müller N, Stamm J, Thévenin D. A Computational Fluid Dynamics Model for a Water Vortex Power Plant as Platform for Etho- and Ecohydraulic Research. Energies. 2021; 14(3):639. https://doi.org/10.3390/en14030639
Chicago/Turabian StylePowalla, Dennis, Stefan Hoerner, Olivier Cleynen, Nadine Müller, Jürgen Stamm, and Dominique Thévenin. 2021. "A Computational Fluid Dynamics Model for a Water Vortex Power Plant as Platform for Etho- and Ecohydraulic Research" Energies 14, no. 3: 639. https://doi.org/10.3390/en14030639
APA StylePowalla, D., Hoerner, S., Cleynen, O., Müller, N., Stamm, J., & Thévenin, D. (2021). A Computational Fluid Dynamics Model for a Water Vortex Power Plant as Platform for Etho- and Ecohydraulic Research. Energies, 14(3), 639. https://doi.org/10.3390/en14030639

