Combustion Characterisation of Bituminous Coal and Pinus Sawdust Blends by Use of Thermo-Gravimetric Analysis
Abstract
:1. Introduction
2. Materials and Methods
2.1. Sample Preparation
2.2. Proximate and Ultimate Analysis of Fuel Blends
2.3. Thermo-Gravimetric Analysis of Fuel Blends
- Ceramic pan;
- 10 mg ± 0.6 mg sample weights;
- 5, 12.5, and 20 °C/min heating rates;
- Nonisothermal temperature setting;
- 25–915 °C temperature range;
- 20 mL/min purge gas flow rate, (15.8 mL/min pure N2 and 4.2 mL/min pure O2), and
- 0.5 s data logging time.
2.4. Theoretical Background
- ignition index (Φig);
- burnout index (Φb);
- devolatilization index (Φd);
- 1st combustion index (Ψ1) or combustion characteristic factor (CCF), and
- 2nd combustion index (Ψ2).
2.5. Synergistic Effects
3. Results and Discussion
3.1. Fuel Physical and Chemical Properties
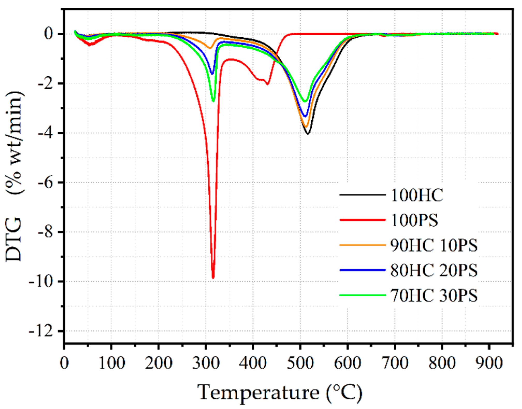
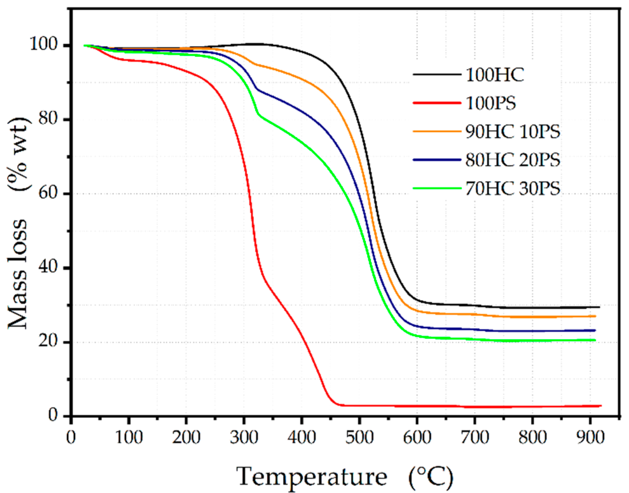
3.2. Effect of Blending Ratio on TG-DTG Curves
3.3. Synergistic Coefficients of TG-DTG Curves
3.4. Effect of the Heating Rate on TG-DTG Curves
3.5. Ignition, Devolatilization, Burnout, and Combustion Indexes
4. Conclusions
- During the index determination by use of TG/DTG curves, synergistic effects were observed between the coal and Pinus sawdust blends. The mass loss curves (TG) for the 90HC10PS, 80HC20PS, and 70HC30PS blends demonstrated zero synergy from the initial temperature to around 492 °C. Negative synergistic effects were observed between 492 °C and the final temperature. The rate of mass loss curves (DTG) demonstrated positive synergy from the initial temperature until around 600 °C, then negative synergy until the final temperature for the 80HC20PS and 70HC30PS blends only.
- Ignition temperature was generally reduced from an average 460 °C to around 260 °C regardless of the heating rate. The ignition index thus increased with PS blending ratio though no linear relation was deduced. Burnout temperature was reduced by an average 14.6% between 100HC and 70HC30PS blending at 20 °C/min heating rate. Similarly, the burnout index increased as Pinus sawdust increased.
- The 2nd combustion index reflective of stability reduced as Pinus sawdust increased with a gradual decrease of 16.9% between 100HC and 80HC20PS, and a steeper decrease of 50.5% between 80HC20PS and 70HC30PS.
- Evaluation of TG/DTG curves and combustion indexes suggested an optimum blending ratio of 20% Pinus sawdust so that the benefits of cocombusting Hwange coal and Pinus sawdust are derived. Each fuel blend has optimum blending ratios as reported by other researchers, thus the need to specifically know the optimum cocombustion parameters with regards to Hwange coal and Pinus sawdust.
Author Contributions
Funding
Data Availability Statement
Acknowledgments
Conflicts of Interest
References
- Jingura, R.M.; Musademba, D.; Kamusoko, R. A review of the state of biomass energy technologies in Zimbabwe. Renew. Sustain. Energy Rev. 2013, 26, 652–659. [Google Scholar] [CrossRef]
- World Bank. Group Energy Use (kg of Oil Equivalent per Capita)—Zimbabwe. Available online: https://0-data-worldbank-org.ujlink.uj.ac.za/indicator/EG.USE.PCAP.KG.OE?locations=ZW (accessed on 1 September 2021).
- Charis, G.; Danha, G.; Muzenda, E. A Review of the application of GIS in biomass and solid waste supply chain optimization: Gaps and opportunities for developing nations. Detritus 2019, 6, 1–11. [Google Scholar] [CrossRef]
- Hyde, M.; Wursten, B.; Ballings, P.; Palgrave Coates, M. Flora of Zimbabwe: Species Information: Pinus patula. Available online: https://www.zimbabweflora.co.zw/speciesdata/species.php?species_id=102970 (accessed on 26 May 2021).
- Mtshali, L.; Dlamini, M.; Kohler, N. The Opportunities and Challenges of Wood Waste Biomass and a Case Study on Biofuels in South Africa. In Proceedings of the Institute of Waste Management of Southern Africa, Johannesburg, South Africa, 30 September–4 October 2018; pp. 350–355. [Google Scholar]
- Hancox, P.J. The Coalfields of South-Central Africa: A Current Perspective. Episodes 2016, 39, 407–428. [Google Scholar] [CrossRef]
- Makomo Resources Coal Products. Available online: https://makomoresources.com/coal-products/ (accessed on 2 September 2021).
- Ma, W.; Zhou, H.; Zhang, J.; Zhang, K.; Liu, D.; Zhou, C.; Cen, K. Behavior of Slagging Deposits during Coal and Biomass Co-combustion in a 300 kW Down-Fired Furnace. Energy Fuels 2018, 32, 4399–4409. [Google Scholar] [CrossRef]
- Mandø, M.; Rosendahl, L.A.; Yin, C.; Sørensen, H. Pulverized straw combustion in a low-NOx multifuel burner: Modeling the transition from coal to straw. Fuel 2010, 89, 3051–3062. [Google Scholar] [CrossRef]
- Tillman, D.A. Biomass cofiring: The technology, the experience, the combustion consequences. Biomass Bioenergy 2000, 19, 365–384. [Google Scholar] [CrossRef]
- Cong, K.; Han, F.; Zhang, Y.; Li, Q. The investigation of co-combustion characteristics of tobacco stalk and low rank coal using a macro-TGA. Fuel 2019, 237, 126–132. [Google Scholar] [CrossRef]
- Savolainen, K. Co-firing of biomass in coal-fired utility boilers. Appl. Energy 2003, 74, 369–381. [Google Scholar] [CrossRef]
- Liu, Q.; Zhong, W.; Tang, R.; Yu, H.; Gu, J.; Zhou, G.; Yu, A. Experimental tests on co-firing coal and biomass waste fuels in a fluidised bed under oxy-fuel combustion. Fuel 2021, 286, 119312. [Google Scholar] [CrossRef]
- Magida, N.E.; Bolo, L.L.; Hlangothi, S.P.; Dugmore, G.; Ogunlaja, A.S. Co-combustion Characteristics of coal-Scenedesmus Microalgae Blends and Their Resulting Ash. Combust. Sci. Technol. 2021, 193, 419–436. [Google Scholar] [CrossRef]
- Chen, C.; Chan, Q.N.; Medwell, P.R.; Heng Yeoh, G. Co-Combustion Characteristics and Kinetics of Microalgae Chlorella Vulgaris and Coal through TGA. Combust. Sci. Technol. 2020, 192, 26–45. [Google Scholar] [CrossRef] [Green Version]
- Chen, X.; Liu, L.; Zhang, L.; Zhao, Y.; Zhang, Z.; Xie, X.; Qiu, P.; Chen, G.; Pei, J. Thermogravimetric analysis and kinetics of the co-pyrolysis of coal blends with corn stalks. Thermochim. Acta 2018, 659, 59–65. [Google Scholar] [CrossRef]
- Jiang, X.; Wang, C.; Wang, X.; Liu, Y.; Song, Z.; Lin, Q. Co-combustion of coal and carbonaceous wastes: Thermogravimetric analysis. Energy Sources Part A Recovery Util. Environ. Eff. 2019, 1–15. [Google Scholar] [CrossRef]
- Wang, C.; Wu, Y.; Liu, Q.; Yang, H. Study of the characteristics of the ashing process of straw/coal combustion. Fuel 2011, 90, 2939–2944. [Google Scholar] [CrossRef]
- Zhou, C.; Liu, G.; Wang, X.; Qi, C. Co-combustion of bituminous coal and biomass fuel blends: Thermochemical characterization, potential utilization and environmental advantage. Bioresour. Technol. 2016, 218, 418–427. [Google Scholar] [CrossRef] [PubMed]
- Wu, Z.; Zhang, J.; Zhang, B.; Guo, W.; Yang, G.; Yang, B. Synergistic effects from co-pyrolysis of lignocellulosic biomass main component with low-rank coal: Online and offline analysis on products distribution and kinetic characteristics. Appl. Energy 2020, 276, 115461. [Google Scholar] [CrossRef]
- Mureddu, M.; Dessì, F.; Orsini, A.; Ferrara, F.; Pettinau, A. Air-and oxygen-blown characterization of coal and biomass by thermogravimetric analysis. Fuel 2018, 212, 626–637. [Google Scholar] [CrossRef]
- Li, H.; Li, Y.; Jin, Y. Co-combustion Analyses of Coal and Sewage Sludge with High Moisture Content. Energy Sources Part. A Recover. Util. Environ. Eff. 2015, 37, 1896–1903. [Google Scholar] [CrossRef]
- Boumanchar, I.; Chhiti, Y.; M’hamdi Alaoui, F.E.; Elkhouakhi, M.; Sahibed-dine, A.; Bentiss, F.; Jama, C.; Bensitel, M. Investigation of (co)-combustion kinetics of biomass, coal and municipal solid wastes. Waste Manag. 2019, 97, 10–18. [Google Scholar] [CrossRef]
- Riaza, J.; Álvarez, L.; Gil, M.V.; Pevida, C.; Pis, J.J.; Rubiera, F. Effect of oxy-fuel combustion with steam addition on coal ignition and burnout in an entrained flow reactor. Energy 2011, 36, 5314–5319. [Google Scholar] [CrossRef] [Green Version]
- Akhtar, J.; Yaseen, A.; Munir, S. Effect of rice husk co-combustion with coal on gaseous emissions and combustion efficiency. Energy Sources Part. A Recover. Util. Environ. Eff. 2018, 40, 1010–1018. [Google Scholar] [CrossRef]
- Turns, S. An Introduction to Combustion: Concepts and Applications, 2nd ed.; McGraw-Hill Series in Mechanical Engineering; McGraw-Hill: New York, NY, USA, 1996; ISBN 9780077418946. [Google Scholar]
- Gao, H.; Runstedtler, A.; Majeski, A.; Boisvert, P.; Campbell, D. Optimizing a woodchip and coal co-firing retrofit for a power utility boiler using CFD. Biomass Bioenergy 2016, 88, 35–42. [Google Scholar] [CrossRef]
- Xing, X.; Wang, S.; Zhang, Q. Thermogravimetric Analysis and Kinetics of Mixed Combustion of Waste Plastics and Semicoke. J. Chem. 2019, 2019, 10. [Google Scholar] [CrossRef]
- Haykiri-Acma, H.; Yaman, S. Synergistic investigation for co-combustion of biochars and lignite-thermogravimetric analysis approach. J. Therm. Sci. Eng. Appl. 2019, 11, 011006. [Google Scholar] [CrossRef]
- Wang, H.; Tian, Y.; Chen, X.; Li, J. Kinetic and Synergetic Effect Analysis of the Co-Combustion of Coal Blended with Polyurethane Materials. ACS Omega 2020, 5, 26005–26014. [Google Scholar] [CrossRef]
- Chen, G.B.; Chatelier, S.; Lin, H.T.; Wu, F.H.; Lin, T.H. A study of sewage sludge co-combustion with Australian black coal and shiitake substrate. Energies 2018, 11, 3436. [Google Scholar] [CrossRef] [Green Version]
- Tang, R.; Liu, Q.; Zhong, W.; Lian, G.; Yu, H. Experimental Study of SO 2 Emission and Sulfur Conversion Characteristics of Pressurized Oxy-Fuel Co-combustion of Coal and Biomass. Energy Fuels 2020, 34, 16693–16704. [Google Scholar] [CrossRef]
- Zhou, C.; Gao, F.; Yu, Y.; Zhang, W.; Liu, G. Effects of Gaseous Agents on Trace Element Emission Behavior during Co-combustion of Coal with Biomass. Energy Fuels 2020, 34, 3843–3849. [Google Scholar] [CrossRef]
- Ndou, N.R.; Bada, S.O.; Falcon, R.S.M.S.; Weiersbye, I.M. Co-combustion of Searsia lancea and Tamarix usneoides with high ash coal. Fuel 2020, 267, 117282. [Google Scholar] [CrossRef]
- Ministry of Energy and Power Development. National Renewable Energy Policy; Ministry of Energy and Power Development: Harare, Zimbabwe, 2019.
- Department of Minerals and Energy. Renewable Energy Policy; Department of Minerals and Energy: Pretoria, South Africa, 2004.
- Zhu, Q. Coal Sampling and Analysis Standards; IEA Clean Coal Centre: London, UK, 2014. [Google Scholar]
- Seifali Abbas-Abadi, M.; Fathi, M.; Ghadiri, M. Effect of Different Process Parameters on the Pyrolysis of Iranian Oak Using a Fixed Bed Reactor and TGA Instrument. Energy Fuels 2019, 33, 11226–11234. [Google Scholar] [CrossRef]
- Urban, B.; Shirazi, Y.; Maddi, B.; Viamajala, S.; Varanasi, S. Flash Pyrolysis of Oleaginous Biomass in a Fluidized-Bed Reactor. Energy Fuels 2017, 31, 8326–8334. [Google Scholar] [CrossRef]
- Authier, O.; Thunin, E.; Plion, P.; Porcheron, L. Global Kinetic Modeling of Coal Devolatilization in a Thermogravimetric Balance and Drop-Tube Furnace. Energy Fuels 2015, 29, 1461–1468. [Google Scholar] [CrossRef]
- Niu, S.L.; Lu, C.M.; Han, K.H.; Zhao, J.L. Thermogravimetric analysis of combustion characteristics and kinetic parameters of pulverized coals in oxy-fuel atmosphere. J. Therm. Anal. Calorim. 2009, 98, 267–274. [Google Scholar] [CrossRef]
- Li, H.; Niu, S.; Lu, C.; Wang, Y. Comprehensive Investigation of the Thermal Degradation Characteristics of Biodiesel and Its Feedstock Oil through TGA–FTIR. Energy Fuels 2015, 29, 5145–5153. [Google Scholar] [CrossRef]
- Lü, H.F.; Deng, J.; Li, D.J.; Xu, F.; Xiao, Y.; Shu, C.M. Effect of oxidation temperature and oxygen concentration on macro characteristics of pre-oxidised coal spontaneous combustion process. Energy 2021, 227, 120431. [Google Scholar] [CrossRef]
- Wang, H.; Tian, Y.; Li, J.; Chen, X. Experimental study on thermal effect and gas release laws of coal-polyurethane cooperative spontaneous combustion. Sci. Rep. 2021, 11, 1994. [Google Scholar] [CrossRef]
- Bermejo, S.P.; Prado-guerra, A.; Isabel, A.; García, P.; Fernando, L.; Prieto, C.; Paniagua Bermejo, S.; Prado-guerra, A.; García Pérez, A.I.; Calvo Prieto, L.F. Study of quinoa plant residues as a way to produce energy through thermogravimetric analysis and indexes estimation. Renew. Energy 2020, 146, 2224–2233. [Google Scholar] [CrossRef]
- Wang, C.; Zhang, Y.; Wang, P.; Zhang, J.; Du, Y.; Che, D. Effects of silicoaluminate oxide and coal blending on combustion behaviors and kinetics of zhundong coal under oxy-fuel condition. J. Therm. Anal. Calorim. 2018, 134, 1975–1986. [Google Scholar] [CrossRef]
- Xu, T.; Ning, X.; Wang, G.; Liang, W.; Zhang, J.; Li, Y.; Wang, H.; Jiang, C. Combustion characteristics and kinetic analysis of co-combustion between bag dust and pulverized coal. Int. J. Miner. Metall. Mater. 2018, 25, 1412–1422. [Google Scholar] [CrossRef]
- Korotkikh, A.G.; Slyusarskiy, K.V.; Larionov, K.B.; Osipov, V.I. Comparison of coal reactivityduring conversion into different oxidizing medium. J. Phys. Conf. Ser. 2016, 754, 052005. [Google Scholar] [CrossRef]
- Yan, Y.F.; Zhang, Z.E.; Zhang, L.; Zhang, L. Influence of coal properties on the co-combustion characteristics of low-grade coal and city mud. Glob. NEST J. 2014, 16, 329–338. [Google Scholar] [CrossRef]
- Kongkaew, N.; Pruksakit, W.; Patumsawad, S. Thermogravimetric Kinetic Analysis of the Pyrolysis of Rice Straw; Elsevier B.V.: Amsterdam, The Netherlands, 2015; Volume 79. [Google Scholar]
- Wnorowska, J.; Ciukaj, S.; Kalisz, S. Thermogravimetric Analysis of Solid Biofuels with Additive under Air Atmosphere. Energies 2021, 14, 2257. [Google Scholar] [CrossRef]
- Florentino-Madiedo, L.; Vega, M.F.; Barriocanal, C. Evaluation of synergy during co-pyrolysis of torrefied sawdust, coal and paraffin. A kinetic and thermodynamic study. Fuel 2021, 292, 120305. [Google Scholar] [CrossRef]
- Yuan, S.; Chen, H. Mathematical rules for synergistic, additive, and antagonistic effects of multi-drug combinations and their application in research and development of combinatorial drugs and special medical food combinations. Food Sci. Hum. Wellness 2019, 8, 136–141. [Google Scholar] [CrossRef]
- El-Mahallawy, F.; El-Din Habik, S. Fundamentals and Technology of Combustion, 1st ed.; Elsevier Science: Cairo, Egypt, 2002; ISBN 978-0-08-044106-1. [Google Scholar]
- Roberts, D.L. The inherent moisture content of South African Permian coals. Int. J. Coal Geol. 1991, 17, 297–311. [Google Scholar] [CrossRef]
- Niu, S.; Chen, M.; Li, Y.; Song, J. Co-combustion characteristics of municipal sewage sludge and bituminous coal. J. Therm. Anal. Calorim. 2018, 131, 1821–1834. [Google Scholar] [CrossRef]
- Zhou, Z.; Chen, L.; Guo, L.; Qian, B.; Wang, Z.; Cen, K. Computational modeling of oxy-coal combustion with intrinsic heterogeneous char reaction models. Fuel Process. Technol. 2017, 161, 169–181. [Google Scholar] [CrossRef]
- Chen, P.; Zhang, L.; Huang, K. Kinetic Modeling of Coal Thermal Decomposition under Air Atmosphere. Energy Fuels 2016, 30, 5158–5166. [Google Scholar] [CrossRef]
- Moran, M.; Shapiro, H. Fundamentals of Engineering Thermodynamics, 5th ed.; John Wiley & Sons: West Sussex, UK, 2006; ISBN 9781439833209. [Google Scholar]
- Abdul Jameel, A.G.; Dahiphale, C.; Alquaity, A.B.S.S.; Zahid, U.; Jayanti, S. Numerical Simulation of Coal Combustion in a Tangential Pulverized Boiler: Effect of Burner Vertical Tilt Angle. Arab. J. Sci. Eng. 2021, 1–14. [Google Scholar] [CrossRef]
- Huang, Z.; Li, N. A comparative study of the pyrolysis and combustion characteristics of sodium-rich Zhundong coal in slow and rapid processes. Energy Sci. Eng. 2019, 7, 98–107. [Google Scholar] [CrossRef]
- Sarroza, A.C.; Bennet, T.D.; Eastwick, C.; Liu, H. Characterising pulverised fuel ignition in a visual drop tube furnace by use of a high-speed imaging technique. Fuel Process. Technol. 2017, 157, 1–11. [Google Scholar] [CrossRef]
- Tan, P.; Ma, L.; Xia, J.; Fang, Q.; Zhang, C.; Chen, G. Co-firing sludge in a pulverized coal-fired utility boiler: Combustion characteristics and economic impacts. Energy 2017, 119, 392–399. [Google Scholar] [CrossRef]










| Fuel | Experimental Method | ||||
|---|---|---|---|---|---|
| Biomass blending ratios (% biomass substitution) | Max temperature (°C) | Heating rate (°C/min) | Sample mass (mg) | Purge gas | |
| Coal fines and microalgae biomass [14] | 5, 10, 15, 20 | 650 | 10 | 5 | Air at 50 mL/min |
| Sub-bituminous coal and microalgae biomass [15] | 30, 50, 70 | 900 | 10, 20, 40 | 10 | Air at 100 mL/min |
| Low rank coal and tobacco stalk biomass [11] | 50, 60, 70, 80, 90 | 950 | 10, 20, 30 | 500 | 21% pure oxygen and 79% pure nitrogen at 1 L/min |
| Coal and corn stalks biomass [16] | 25, 50, 75 | 850 | 10, 20, 30, 40, 60 | 20 | 80% pure argon and 20% pure nitrogen at 100 mL/min |
| Bituminous coal, anthracite and carbonaceous wastes [17] | various | 800 | 10, 20, 30 | 10 | Air at 100 mL/min |
| Coal and wheat straw biomass [18] | 5, 10, 15, ….,85, 90 | 1300 | 20 | 100 | 80% pure nitrogen and 20% pure oxygen 0.05 m3/h |
| Bituminous coal, corn stalk and sawdust biomass [19] | 10, 20, 30, 50 | 1000 | 15, 60 | 100 | Air at 100 mL/min |
| Coal and cellulose biomass [20] | 25, 50, 75 | 850 | 10, 20, 40 | 10 | Argon at 60 mL/min |
| Coal and wood chips [21] | various | 1000 | 10, 20, 30, 40, 50 | 9 | Air at 100 mL/min |
| Coal and wet sludge [22] | 3, 5, 10 | 1300 | 10, 25, 40 | 25 | Air at 100 mL/min & pure oxygen pure nitrogen |
| Coal, biochar, Municipal Solid Waste, sawdust [23] | various | 800 | 5 | 7 | Air at 100 mL/min |
| Proximate Analysis * (weight %) | Ultimate Analysis * (weight%) | |||||||
|---|---|---|---|---|---|---|---|---|
| ** Fixed Carbon | Volatile Matter | Ash | C | H | ** O | N | S | |
| 100HC | 53.97 | 23.10 | 22.93 | 58.671 | 2.946 | 13.245 | 1.613 | 0.593 |
| 90HC 10PS | 48.21 | 29.91 | 21.88 | 58.489 | 3.367 | 14.246 | 1.448 | 0.570 |
| 80HC 20PS | 46.35 | 31.82 | 21.83 | 56.954 | 3.734 | 15.632 | 1.296 | 0.555 |
| 70HC 30PS | 46,02 | 33.74 | 20.24 | 56.885 | 4.093 | 17.100 | 1.143 | 0.535 |
| 100PS | 15.62 | 80.68 | 3.70 | 49.504 | 6.035 | 40.404 | 0.358 | 0 |
| Heating Rate @ β = 5 °C/min | |||||||
| Tig | tig | Tmax | tmax | DTGmax | Tb | tb | |
| (°C) | (min) | (°C) | (min) | %wt/min | (°C) | (min) | |
| 100HC | 455.27 | 85.158 | 515.21 | 95.44 | 4.037 | 577.07 | 109.542 |
| 90HC 10PS | 452.11 | 85.100 | 511.34 | 95.36 | 3.759 | 568.30 | 108.625 |
| * 80HC 20PS | 301.01 | 55.167 | (312.62) 509.51 | (57.18) 95.20 | (1.608) 3.336 | 563.51 | 107.675 |
| * 70HC 30PS | 289.97 | 53.142 | (315.92) 510.26 | (57.37) 95.67 | (2.716) 2.736 | 559.25 | 106.775 |
| 100PS | 249.51 | 45.542 | 315.31 | 57.02 | 9.872 | 445.90 | 83.2 |
| Heating Rate @ β = 12.5 °C/min | |||||||
| Tig | tig | Tmax | tmax | DTGmax | Tb | tb | |
| 100HC | 462.63 | 35.575 | 577.84 | 44.09 | 5.238 | 708.17 | 55.142 |
| * 90HC 10PS | 307.452 | 23.433 | (323.773) 559.12 | (24.625) 42.242 | (1.323) 5.790 | 670.44 | 52.092 |
| * 80HC 20PS | 280.6285 | 21.475 | (323.70) 548.43 | (24.625) 41.658 | (2.391) 6.001 | 655.34 | 51.092 |
| * 70HC 30PS | 266.366 | 20.408 | (327.07) 540.36 | (24.75) 41.108 | (5.447) 5.366 | 634.50 | 49.417 |
| Heating Rate @ β = 20 °C/min | |||||||
| Tig | tig | Tmax | tmax | DTGmax | Tb | tb | |
| 100HC | 457.70 | 22.267 | 605.66 | 29.12 | 5.741 | 820.05 | 39.725 |
| * 90HC 10PS | 299.81 | 14.892 | (340.19) 599.30 | (16.63) 28.86 | (2.221) 6.673 | 768.58 | 37.625 |
| 80HC 20PS | 281.38 | 14.008 | 573.17 | 27.125 | 7.271 | 717.25 | 35.133 |
| 70HC 30PS | 265.76 | 13.342 | 350.68 | 16.458 | 10.748 | 699.96 | 34.300 |
| 100PS | 197.91 | 10.333 | 341.82 | 16.32 | 34.403 | 498.81 | 24.158 |
| Heating Rate @ β = 5 °C/min | ||||||||
| DTGmean | ΔT1/2 | Δt1/2 | Φig × 10−4 | Φb × 10−5 | Di × 10−4 | Ψ1 × 10−8 | Ψ2 × 103 | |
| %wt min | (°C) | (min) | %wt min3 | %wt min4 | %wt2 min. °C2 | %wt2 min2. °C3 | °C | |
| 100HC | 0.4033 | 68.57 | 13.93 | 4.9670 | 2.7730 | 1.3072 | 1.3612 | 2.6461 |
| 90HC 10PS | 0.4171 | 68.54 | 13.88 | 4.6321 | 2.6154 | 1.2411 | 1.3499 | 2.6087 |
| 80HC 20PS | 0.4390 | 69.70 | 14.22 | 6.3520 | 2.2892 | 0.3140 | 2.8685 | 2.5819 |
| 70HC 30PS | 0.4538 | 77.75 | 15.84 | 5.3815 | 1.6907 | 0.2434 | 2.6403 | 2.6246 |
| Heating Rate @ β = 12.5 °C/min | ||||||||
| DTGmean | ΔT1/2 | Δt1/2 | Φig × 10−4 | Φb × 10−5 | Di × 10−4 | Ψ1 × 10−8 | Ψ2 × 103 | |
| 100HC | 1.01259 | 156.84 | 12.542 | 33.395 | 17.179 | 0.7868 | 34994 | 2.9139 |
| 90HC 10PS | 1.0385 | 123.64 | 9.992 | 58.493 | 26.335 | 0.4115 | 9.4883 | 2.6724 |
| 80HC 20PS | 1.1079 | 110.49 | 8.992 | 67.080 | 31.357 | 0.4086 | 12.8820 | 2.5241 |
| 70HC 30PS | 1.1615 | 38.06 | 2.675 | 102.480 | 166.490 | 2.7435 | 14.0530 | 1.1413 |
| Heating Rate @ β = 20 °C/min | ||||||||
| DTGmean | ΔT1/2 | Δt1/2 | Φig × 10−4 | Φb × 10−5 | Di × 10−4 | Ψ1 × 10−8 | Ψ2 × 103 | |
| 100HC | 1.5717 | 260.70 | 12.58 | 89.00 | 39.44 | 0.6406 | 5.2525 | 3.0957 |
| 90HC 10PS | 1.6892 | 192.97 | 9.57 | 167.25 | 82.12 | 0.4152 | 17.0470 | 2.7135 |
| 80HC 20PS | 1.7222 | 152.93 | 7.70 | 191.36 | 99.09 | 0.4348 | 22.0510 | 2.5714 |
| 70HC 30PS | 1.7913 | 67.73 | 3.36 | 489.47 | 566.90 | 3.6092 | 38.9440 | 1.2739 |
Publisher’s Note: MDPI stays neutral with regard to jurisdictional claims in published maps and institutional affiliations. |
© 2021 by the authors. Licensee MDPI, Basel, Switzerland. This article is an open access article distributed under the terms and conditions of the Creative Commons Attribution (CC BY) license (https://creativecommons.org/licenses/by/4.0/).
Share and Cite
Marangwanda, G.T.; Madyira, D.M.; Ndungu, P.G.; Chihobo, C.H. Combustion Characterisation of Bituminous Coal and Pinus Sawdust Blends by Use of Thermo-Gravimetric Analysis. Energies 2021, 14, 7547. https://doi.org/10.3390/en14227547
Marangwanda GT, Madyira DM, Ndungu PG, Chihobo CH. Combustion Characterisation of Bituminous Coal and Pinus Sawdust Blends by Use of Thermo-Gravimetric Analysis. Energies. 2021; 14(22):7547. https://doi.org/10.3390/en14227547
Chicago/Turabian StyleMarangwanda, Garikai T., Daniel M. Madyira, Patrick G. Ndungu, and Chido H. Chihobo. 2021. "Combustion Characterisation of Bituminous Coal and Pinus Sawdust Blends by Use of Thermo-Gravimetric Analysis" Energies 14, no. 22: 7547. https://doi.org/10.3390/en14227547
APA StyleMarangwanda, G. T., Madyira, D. M., Ndungu, P. G., & Chihobo, C. H. (2021). Combustion Characterisation of Bituminous Coal and Pinus Sawdust Blends by Use of Thermo-Gravimetric Analysis. Energies, 14(22), 7547. https://doi.org/10.3390/en14227547

