Next Article in Journal
Identification of Critical Components in the Complex Technical Infrastructure of the Large Hadron Collider Using Relief Feature Ranking and Support Vector Machines
Previous Article in Journal
Sizing and Management of an Energy System for a Metropolitan Station with Storage and Related District Energy Community
 
 
Font Type:
Arial Georgia Verdana
Font Size:
Aa Aa Aa
Line Spacing:
Column Width:
Background:
Article

Criteria, Indicators, and Factors of the Sustainable Energy-Saving Economic Development: The Case of Natural Gas Consumption

1
Department of Business Economics and Investment, Institute of Economics and Management, Lviv Polytechnic National University, 5 Metropolian Andrey str., Building 4, 79005 Lviv, Ukraine
2
Department of Artificial Intelligence Systems, Institute of Computer Science and Information Technologies, Lviv Polytechnic National University, 5 Kniazia Romana St., 79000 Lviv, Ukraine
3
Department of Foreign Languages, Institute of Humanities and Social Sciences, Lviv Polytechnic National University, 12 Bandery St., Main Building, 79005 Lviv, Ukraine
4
Department of Accounting and Taxation, The Private Higher Educational Institution “Lviv University of Business and Law”, 99 Kulparkivska str., 79021 Lviv, Ukraine
*
Author to whom correspondence should be addressed.
Energies 2021, 14(18), 5999; https://doi.org/10.3390/en14185999
Submission received: 21 August 2021 / Revised: 15 September 2021 / Accepted: 17 September 2021 / Published: 21 September 2021
(This article belongs to the Section C: Energy Economics and Policy)

Abstract

:
To solve the contradiction between achieving long-term economic growth and reducing the consumption of certain types of resources, the concept of sustainable resource saving economic development must be put into practice. The purpose of this research is to establish criteria, develop indicators, and identify factors of the sustainable energy-saving economic development, as well as to test the developed theoretical provisions using the example of natural gas consumption by different countries. To achieve this goal, various methods were used, including economic and mathematical modeling, time series analysis, factor analysis, regression analysis, and so on. The criteria were formalized, according to which a certain type of economic development can be attributed to energy saving both at the level of the state economy as a whole and at the level of individual industries and enterprises. It was established that the formalized criteria of the sustainable energy-saving economic development have the form of chains of inequalities, and their application makes it possible to identify the general conditions for ensuring this type of development. The main properties of energy-saving economic development were identified. They include the pace of this development, its potential, balance, permanence, and other characteristics. Indicators that can be used to quantify these characteristics were developed. The factors influencing the scale and time characteristics of sustainable energy-saving economic development at the level of the state economy and that of industries and individual enterprises, were systematized. The dynamics of natural gas consumption in different countries was analyzed. The reasons for the lack of energy-saving natural gas economic development in some countries were identified. A quantitative assessment of the properties of this type of economic development by country was conducted. The influence of some factors on the parameters of the sustainable energy-saving natural gas economic development of countries was analyzed. The existence of a negative effect of the rebound in the consumption of natural gas was established at certain intervals in some countries. The obtained results provide an opportunity to increase the degree of understanding of the complex patterns that underlie the sustainable energy-saving economic development of states, industries, and enterprises. These results can also be used in the development of government programs to stimulate energy conservation.

1. Introduction

The aims of improving living standards and decreasing unemployment rates are still relevant for many countries [1,2]. Achieving these goals involves, first of all, the acceleration of economic growth in these countries [3]. However, such growth often requires additional resources, some of which are non-renewable and limited [4,5]. In particular, we are talking about non-renewable types of energy [6], as well as forest, land, water, and other resources [7,8]. Moreover, there is an urgent need for many countries to reduce the consumption of certain types of resources they use [9,10].
This need arises for a number of reasons. In particular, one of them is the urgent need to reduce the dependence of countries on imports of certain types of resources, especially energy ones [11,12]. Another reason for the need to reduce the consumption of certain types of resources is the significant costs associated with their extraction and use [13,14]. In addition, the need to reduce resource consumption may be related to the detrimental impact of their consumption on the environment [15,16]. Finally, an important reason justifying measures to reduce the use of non-renewable natural resources is the need to leave them for future generations [17,18].
The solution of the contradiction between the achievement of long-term economic growth and ensuring the reduction of certain types of resources consumption should be carried out on the basis of sustainable resource-saving economic development [19,20]. It should be noted that, in general, sustainable development can be interpreted as “development that meets the needs of the present without compromising the ability of future generations to meet their own needs” [21]. At the same time, there are a significant number of goals and objectives of sustainable development [22], among which the economical consumption of resources occupies a prominent place. In turn, important areas of resource conservation are the replacement of non-renewable resources by renewable ones [23] and the development of a circular economy [24]. Moreover, ensuring resource savings largely depends on the validity of state regulatory policy in this area, in particular, the amount of state financial assistance for the implementation of resource conservation measures by enterprises and households [25,26].
It is important to note the fact that sustainable resource saving economic development should be carried out both at the national level and at the level of individual regions, industries, enterprises, and households [27,28]. At the same time, the role of enterprises in achieving sustainable resource saving development is especially considerable, because the realization of the goals and objectives of this development largely depends on them [29].
Non-renewable energy sources are one of the types of resources that governments aim to decrease their consumption if, in particular natural gas [30]. This need is informed by the reasons mentioned above. Accordingly, energy-saving economic development should be considered as an important type of sustainable resource saving economic development [31]. It is important to note that sustainable energy-saving economic development is only one component of sustainable development, as sustainable development also includes social, environmental, and other components.
Considering the development features and patterns of sustainable energy-saving economic development requires answers to a number of questions, which include: What are the criteria for this type of economic development? What are its main properties and is it possible to evaluate them with the help of certain indicators? What are the conditions of sustainable energy-saving economic development and the factors that determine its level? What patterns are inherent in this type of economic development? In this study, we tried to find answers to these questions. Its purpose is to establish criteria, develop indicators, and identify factors of sustainable energy-saving economic development as well as to test the developed theoretical provisions on the example of natural gas consumption by different countries. Accordingly, the theoretical and methodological principles of the formation and evaluation of sustainable energy-saving economic development were the subjects of the study. In the process of achieving the study goals, a number of results were obtained, which contain elements of scientific novelty.
Firstly, the novel criteria were formalized, according to which a certain type of economic development can be attributed to energy saving both at the level of the state economy as a whole and at the level of individual industries and enterprises. It is established that the formalized criteria of sustainable energy-saving economic development have the form of chains of inequalities, and their application makes it possible to identify the general conditions for ensuring this type of development. These results are presented in Section 3.1.
Secondly, for the first time, the main properties of energy-saving economic development were identified. In particular, they include the pace of this development, its potential, balance, permanence, and other characteristics. We developed indicators that can be used to quantitatively measure these properties and identify the main reasons that determine their level. These results are presented in Section 3.2.
Thirdly, for the first time, the factors influencing the scale and time characteristics of sustainable energy-saving economic development at the level of the whole economy, as well as that of industries and individual enterprises, were systematized. In particular, an original model of the influence of factors on the rate of reducing the consumption of certain energy sources, while ensuring long-term economic growth, was built. Factor models of the current and future potential of sustainable energy-saving economic development were also developed. These results are presented in Section 3.3.
Fourthly, on the basis of an empirical analysis of natural gas consumption in different countries around the world, some previously unknown patterns of sustainable energy-saving economic development were established. In particular, the reasons for the limited nature of this type of development were identified and the factors leading to the lack of sustainable energy-saving economic development in some countries were determined. These results are presented in Section 4.
The obtained results provide an opportunity to increase the degree of understanding of the complex patterns that underlie the sustainable energy-saving economic development of states, industries, and enterprises. These results can also be used in the development of government programs to stimulate resource conservation.
The paper is divided into several parts. In Section 2, a literature review on the research topic is performed. Section 3 presents the methodological basis for the assessment of sustainable energy-saving economic development. Section 4 provides an empirical analysis of the research topic from a number of countries. Section 5 presents the conclusions and discussion of the study results.

2. Literature Review

The issue of energy saving is currently one of the most studied in the scientific literature on the economic aspects of energy consumption. In particular, scientists have analyzed the factors that determine the possibility of reducing energy consumption [32], identified barriers to energy efficiency increase [33], and have determined the means by which these barriers can be overcome [34]. Scientists have paid special attention to the development of green energy as a tool to reduce the consumption of fossil energy resources [35].
However, the issue of ensuring sustainable energy-saving economic development is much broader than the problem of energy saving, as this development involves the achievement of long-term economic growth. At the same time, the results presented in various publications examining the relationship between energy consumption and economic growth are largely contradictory. In particular, for countries of the Organization for Economic Cooperation and Development, economic growth has led to an increase in energy consumption [36]. These conclusions apply to both short-term and long-term periods. At the same time, in [37] the study of the parameters of the relationship between the volume of natural gas use and economic development of countries revealed significant differences between these parameters for the economies of China and Japan. The presence of an inverse relationship between the volume of natural gas use and the change in the value of the gross domestic product was found for some countries in the Persian Gulf [38]. Notwithstanding, when considering the economies of twelve European countries, the impact of natural gas consumption on economic development was defined only for the long term [39]. However, the lack of such influence is observed for some countries of the Organization of Petroleum Exporting Countries [40].
It is also worth noting the study conducted in [41] on the relationship between energy consumption in the G7 countries and the index of sustainable economic well-being. It was found that this index is only partially determined by energy consumption. However, it is also possible to reduce energy consumption in the long-term perspective without reducing the sustainable economic prosperity level. A study of energy consumption in the economies of individual African countries [42] is also noteworthy. It showed that energy consumption is inversely related to industrialization and stock market parameters.
One possible way to ensure economic growth while reducing the consumption of fossil fuels is to replace them with renewable energy sources [43]. However, there is disagreement among scientists on how powerful such means are of ensuring sustainable energy-saving economic development. Thus, [44], pointed to the generally positive impact of the transition on renewable energy consumption on economic growth rates for a number of countries. Still, this applied only to 57% of the 38 countries examined. In [45], similar results were obtained for the countries of the European Union. Moreover, according to the results obtained in [46], the impact of renewable energy consumption on the economic growth of the Black Sea and Balkan region countries was direct only for some of these countries, including Ukraine.
The introduction of energy saving technologies should be mentioned among the tools for ensuring sustainable energy-saving economic growth. However, the potential for its implementation has not been fully exploited in many countries, necessitating the identification of barriers to energy saving technological change. In particular, scientists have identified information [47], economic [48], financial [49], and other types of barriers that prevent the implementation of measures to improve the energy efficiency of enterprises [50].
In general, different authors identify slightly different types of major barriers to implementing energy saving projects and suggest different ways to group these barriers. As noted in [51], where 42 barriers to energy efficiency in USA industries were identified, the issue of compiling an exhaustive list of such barriers remains open and may not be fully addressed. Since there are many barriers to energy efficiency, the proposed ways to overcome them are very diverse. In particular, they include providing consumers with up-to-date information on energy efficiency [52], improving the ability of these consumers to process such information [53], improving the investment climate [54], improving energy audit [55], improving energy management [56], and so on. Additionally, some scientists pay a lot of attention to the issue of state financial support for those enterprises that implement measures to improve energy efficiency. In particular, as noted in [57], for this purpose it is advisable to finance energy saving projects on a subsidy basis. Furthermore, according to the authors of [58], an important area of public financial support for enterprises is their preferential lending; however, the parameters of such lending must be carefully justified. At the same time, it should be noted that overcoming barriers to energy efficiency by reducing the consumption of certain energy resources does not always cause economic growth. In other words, the removal of these barriers is not a prerequisite for energy-efficient economic development.
In this case, additional difficulties can be caused by the so-called rebound effect of energy consumption, when due to the reduction of energy capacity of products there is an increase in energy consumption [59]. Nevertheless, the scientific results on the presence and extent of this effect are very contradictory. For example, in [60], the presence of this effect was not defined, while in [61] it was found that the effect of the rebound effect on energy consumption is not significant.
Despite the large number of in-depth studies by various scientists on the relationship between energy consumption and economic development, the conditions for ensuring and regulating sustainable energy-saving economic development are currently not fully researched. In particular, taking into account the urgency of ensuring this type of economic development, there is a need to establish criteria, develop evaluation indicators, and identify the factors that cause it.

3. Material and Methods

The study of the patterns of sustainable energy-saving economic development requires an array of necessary data and the use of appropriate methods. Thus, when considering these patterns for a group of countries, we need, first of all, information about the macroeconomic indicators of these countries and the volume of their consumption of different types of energy resources The list of studied countries should be formed selectively, but in such a way that the contribution of selected countries to the global values of macroeconomic indicators (in particular, gross domestic product) and energy consumption is sufficiently significant. Research methods should include economic-mathematical modeling, time series analysis, factor analysis, regression analysis, and so on. It is necessary to use software, including Excel, STATISTICA, Statgraphics, etc. Most of these methods are well known and do not require a separate description. The economic and mathematical models used in this study are original, i.e., they have been developed by the authors of this article. Therefore, Section 3 is devoted mainly to the justification and presentation of these models. In particular, this applies to the modeling of criteria for sustainable energy-saving economic development, the indicators for assessing its properties, and the factors shaping this type of economic development.

3.1. The Essence, Criteria and Necessary Conditions for the Sustainable Energy-Saving Economic Development

Sustainable energy-saving economic development should be understood as a process of the long-term economic growth with a simultaneous reduction in the consumption of a certain type of energy resource (or a set of such resources), although this process has the potential to occur in the future. Further, this paper will consider the case of one type of energy resource consumption. However, extrapolation of the received results in case of several types of such resources will not cause significant additional difficulties. Thus, the study of the patterns of the sustainable energy-saving economic development requires, first of all, the selection of an indicator with the help of which the economic growth will be evaluated. In the future, the gross domestic product (GDP) will be this indicator in comparable prices. If we consider the case of the economy branch or that of an individual enterprise, the indicator of their economic growth may be added value, because it directly determines the total GDP of the country.
Taking into account these considerations, we established the criteria and identified the necessary conditions for sustainable energy-saving economic development.
Let us consider firstly the economy level of a country as a whole. Provide that the volumes of certain energy resource consumption and the value of the country’s GDP in the reporting and basic years be known. Then, in order for energy-saving economic development to take place in the reporting year compared to the basic year, it is necessary to first ensure an increase in GDP, which means that the GDP index must exceed one. At the same time, this index should not be too high, because in this case there will be an increase in certain energy resources consumption. It is obvious that for this purpose the GDP index should not exceed the energy efficiency index for the studied type of energy resource (while energy efficiency in this case will mean the volume of GDP per unit of a particular energy resource physical consumption). Taking this into account, the formalized criterion of energy-saving economic development can be represented as the following chain of inequalities:
1 < I p < I e f ,
where Ip—GDP index; Ief—energy efficiency index by the studied type of energy resources.
Therefore, in order for the process of energy-saving economic development to take place, it is necessary to fulfill two main conditions, namely: (1) the energy efficiency index for the studied type of energy resources must exceed one; (2) the GDP index must satisfy Expression (1). As for sustainable energy saving development, these conditions must occur during previous years and be maintained in subsequent periods. This means that the results of the sustainable energy-saving economic development assessment largely depend on what time period is taken as a base. Further, the case of a constant base period will be considered, meaning that all indicators will be compared with their past values for the same year. With regard to the case of the variable base (in which the chain growth rates of indicators are considered), it needs a separate consideration.
Let us now establish the criteria and necessary conditions for the ensuring sustainable economic development at the level of the state economy and that of individual enterprises. With this aim, first of all, we present the values of added value indices and consumption of a particular energy resource as follows:
I a v = I q · I a v p ,
I e = I q · I e q ,
where Iav—added value index of the industry or enterprise; Iq—index of production physical volumes; Iavp—specific added value index; Ie—index of a certain type of energy resource consumption by industry (enterprise); Ieq—index of a particular energy resource specific costs.
In order for energy-saving economic development to take place at the level of an industry or enterprise, the Index (2) must be greater than one and the Index (3) smaller. The first condition is equivalent because Iq is greater than the inverse of Iavp. The second condition is equivalent because Iq is less than the inverse of Ieq. Accordingly, the index Iq must satisfy the following expression:
1 / I a v p < I q < 1 / I e q ,
Taking into account Expression (4), the conditions for ensuring energy-saving economic development of the industry (enterprise) are as follows: (1) the index of specific added value must exceed the index of specific costs of a certain type of energy resource; (2) the index of production physical volumes must exceed the inverse meaning of the specific added value index; (3) the index of physical volumes of products manufacture should be less than the inverse meaning of the specific cost index of a particular type of energy resource. As for sustainable energy saving development, these conditions must occur over a number of years and be maintained in subsequent periods.

3.2. Indicators for the Assessment of Sustainable Energy-Saving Economic Development

Sustainable energy-saving economic development both at the macro level and at the level of industries and enterprises is characterized by a variety of properties. In turn, the quantification of these properties requires the development and application of the appropriate indicators. In this study, we developed mathematical expressions of such indicators. These expressions are presented below.
In particular, one of the most important characteristics of sustainable energy-saving economic development is its level. This level characterizes the degree of simultaneous increase in the resulting indicator of economic growth (GDP, added value, etc.) and a decrease in the physical consumption of a particular energy resource. In this case, considering the diversity of the desired trends in these two parameters, when assessing their dynamics, it is advisable to compare: for the resulting indicator, its reported value with the basic; for the energy consumption indicator, its basic value with the reported one. Then, the level of the sustainable energy-saving economic development for a certain period of time (for a certain number of years) will be determined using the following expression:
l = min α r , α e = min R n R 1 n 1 1 , E 1 E n n 1 1 ,
where l—level (pace) of sustainable energy-saving economic development; αr—the average growth rate of the resulting indicator of economic growth during the study period, the share of the one; αe—average rate of a certain energy resource consumption reduction during the studied period of time, the share of the one; n—number of years in the study period; Rn, R1—the value of the resulting indicator, respectively, in the last and first years of the study period, monetary units; E1, En—physical volumes of a certain energy resource consumption in the first and last years of the studied period, respectively.
It should be noted that the indicators αr and αe from Expression (5) must satisfy this equality:
1 + α r · 1 + α e = R n / E n R 1 / E 1 n 1 = e n e 1 n 1 ,
where en, e1—efficiency of a certain energy resource use in the last and first years of the studied period, respectively.
Note that Equation (6) is obtained by substituting the formulas for αr and αe from Expression (5) to the left of this equation. Thus, Equation (6) is an algebraic identity that describes the relationships between individual characteristics of energy-saving economic development.
The characteristics of sustainable energy-saving economic development include the degree of its uniformity. In this case, sustainable energy-saving economic development will be considered completely uniform if the average growth rate of the resulting indicator of economic growth over the studied period is equal to the average rate of reduction in consumption of a particular energy resource during this period. From Equation (6), there is the following condition of uniform energy-saving economic development:
1 + α r n 1 = 1 + α e n 1 = e n e 1 ,
Accordingly, it is possible to assess the degree of uniformity of sustainable energy-saving economic development by comparing the minimum and maximum values of growth rates in Expression (5), it means the following:
l 1 = min α r , α e max α r , α e ,
where l1—the degree of uniformity of sustainable energy-saving economic development, the share of one.
In this case, energy-saving economic development will be completely uniform if the Indicator (8) is equal to one. It should also be noted that taking into account the Expressions (5) and (7), Formula (8) can be presented in the equivalent form:
l 1 = l · 1 + l e n e 1 n 1 1 l ,
Thus, the degree of uniformity of sustainable energy-saving economic development depends on the level of this development and the growth rate of the energy efficiency indicator.
The indicators that characterize sustainable energy-saving economic development should also include the magnitude of the available potential for economic growth and the available potential for energy consumption reduction. At the same time, the potential for economic growth will be understood as the maximum possible increase in the value of the resulting indicator at the current rate of energy efficiency growth, provided that the consumption of a certain type of energy resource does not increase compared to its value in the basic period. With regard to the potential for the energy consumption reduction, it will mean the maximum possible reduction in consumption of a particular type of energy resources, provided that the value of the economic growth resulting indicator does not decrease compared to its value in the basic period. If we determine the value of these two types of potential in relative expression, then, for this purpose we should solve the following two equations, respectively:
R n e n = R 1 · 1 + l 2 e n = E 1 ,
E n · e n = E 1 · 1 l 3 · e n = O 1 ,
where l2, l3—relative levels concerning the potential for economic growth and the reduction potential of a certain type of energy resource consumption, the share of one.
From Equations (10) and (11), we obtain:
l 2 = e n e 1 1 ,
l 3 = 1 e 1 e n ,
With information on the potential levels for economic growth and the potential for the consumption reduction of certain types of energy resources, as well as the actual volume of increase in the resulting indicators and decrease in energy consumption, it is possible to assess the degree of the actual use of the potential types. For this purpose, the following mathematical expressions should be used:
l 4 = R n R 1 R 1 · l 2 = R n / R 1 1 e n / e 1 1 ,
l 5 = E 1 E n E 1 · l 3 = 1 E n / E 1 1 e 1 / e n ,
where l4, l5—the actual level of use concerning the potential for economic growth and the potential for the consumption reduction of a certain type of energy resource, the share of one.
After conducting the appropriate mathematical transformations, we can define that the sum of Indicators (14) and (15) is always equal to one. This circumstance makes it possible to assess the level of balance of the sustainable energy-saving economic development. In this case, this development will be considered completely balanced if the value of each of the Indicators (14) and (15) is 0.5. Then, the indicator of the balance of the sustainable energy-saving economic development can be presented in the form:
l 6 = min l 4 , l 5 0.5 ,
where l6—an indicator of the balance of sustainable energy-saving economic development, the share of one.
As follows from Expressions (14)–(16), the maximum value of Expression (16) is one. At the same time, the closer the value of this indicator approaches one, the more balanced is the energy-saving economic development. Based on the formulas for the evaluation of various properties of sustainable energy-saving economic development, it is possible to establish the relationships between these properties, which are shown in Figure 1. In particular, it can be seen that such a property as sustainability is a derivative of two other properties. They are the frequency and expected duration of the sustainable energy-saving economic development in the future. Regarding the level of sustainable energy-saving economic development, it depends on two characteristics of such development—the average growth rate of the resulting indicator of economic growth and the average rate of decline in consumption of a particular energy resource. These two characteristics determine the minimum possible duration of sustainable energy-saving economic development in the future. In turn, the level of sustainable energy-saving economic development, along with the rate of growth of energy efficiency by the studied type of energy resource, determines the degree of uniformity of sustainable energy-saving economic development. The balance of this property of sustainable energy-saving economic development should be noted. At the same time, its value is determined by the actual level of use of the potential to reduce the consumption of a certain type of energy resource and the actual level of use of the potential for economic growth.
The frequency of the sustainable energy-saving economic development reflects the prevalence of this type of economic development during the reporting period. To estimate the frequency, it is necessary, for all n–1 years of the reporting period, starting from the second year, to identify the type of economic development in comparison with the first year of the period under study. Then, the frequency of the sustainable energy-saving economic development will be determined by the ratio of the actual number of years of the reporting period in which this type of development is registered, to the maximum possible number of such years (namely, to n–1).
With regard to the expected duration of the sustainable energy-saving economic development in the future, it is obvious that this duration can only be estimated approximately. In particular, if we assume that the level of energy efficiency for the studied type of energy will grow annually with a constant growth rate, then the desired duration of the sustainable energy-saving economic development in the future will be determined from the following equation:
E n · ( 1 + α f ) T ( 1 + β ) T = E 1 ,
where αf—expected annual growth rate of the resulting indicator of economic growth, share of one; T—the required duration of the sustainable energy saving development in the future, years; β—expected annual growth rate of energy efficiency by the studied type of energy resources, share of one.
From Equation (17) we obtain:
T = ln E 1 / E n ln 1 + α f ln 1 + β ,
It is obvious that Formula (18) has economic meaning only if αf > β.
Taking into account the complexity of the forecast estimates of αf and β, it is also advisable to consider the partial case in which αf is equal to αr from the Expression (5), and β is equal to zero. This case does not require forecast estimates and is based on the assumption that the average growth rate of the resulting indicator in the future will not be less than in the past, and the level of energy efficiency according to the studied resource will not decrease. Obtained under such assumptions, the numerical value of the expected duration of the sustainable energy-saving economic development will be called the minimum. The formula for its calculation is as follows:
T min = ln E 1 / E n ln 1 + α r ,
where Tmin—the minimum possible duration of the sustainable energy-saving economic development in the future, years.
Regarding the sustainability of energy-saving economic development, it is advisable to assess it based on the above interpretation of the essence of this development type. Then, the result of such an assessment will be the ratio of the sum of number of years in the reporting period in which this type of development is recorded, and the estimated number of years of its preservation in the future, to the number of years of the reporting period, reduced by one:
l 7 = m + T n 1 = m n 1 + 1 n 1 · ln E 1 / E n ln 1 + α f ln 1 + β ,
where l7—the level of energy-saving economic development sustainability, the share of one; m—the number of years during which this type of development is expected to continue in the future, years.
If we consider the aforementioned indicator of the minimum possible expected duration of the sustainable energy-saving economic development, Expression (20) will take the following form:
l 8 = m + T min n 1 = m n 1 + 1 n 1 · ln E 1 / E n ln 1 + α r ,
where l8—the minimum possible level of energy-saving economic development sustainability, the share of one.
Thus, there are a number of different characteristics of sustainable energy-saving economic development that can be quantified and between which complex links exist.

3.3. Determination of the Main Factors of the Sustainable Energy-Saving Economic Development Formation

As follows from the above mentioned material, certain relationships must be maintained between the change in the economic growth resulting indicator and the growth rate of energy efficiency to ensure sustainable energy-saving economic development for a long time. In turn, these two parameters are influenced by a large number of factors that simultaneously have an indirect impact on the ability to ensure sustainable energy-saving economic development and the level of this type of economic development. In this regard, we identified the main groups of such factors and investigated the mechanisms of influence of these factors on the level of sustainable energy-saving economic development.
Further, this section considers the case of sustainable energy-saving economic development at the enterprise level. However, these results can be extrapolated to the level of industries and state economies. If we choose the added value of enterprises’ economic growth as a resulting indicator, it can be stated that this indicator is influenced by most factors of the enterprises’ internal and external environments. Accordingly, an even greater number of factors determines the formation of the sustainable energy-saving economic development of enterprises, as it should not only ensure long-term growth of the added value, but also reduce the consumption of certain energy resources. However, despite the significant number of factors of the enterprise sustainable energy-saving economic development formation, it seems appropriate to divide them into four main groups, namely:
(1) Factors that ensure the growth of energy efficiency for a particular type of energy resources that the enterprise uses in its economic activities. As follows from Figure 2, there are three main means of the energy efficiency growth ensuring: added value increase per unit of different types of products manufactured by the enterprise; changes in the composition and structure of its products, when the output of products with higher energy consumption decreases; reduction of energy costs of different types of products manufactured by the enterprise. In turn, the scale of application of each of these three means of energy efficiency growth is determined by the level of certain factors. These factors, by place of origin, can be divided into internal (occurring within the enterprise) and external (occurring in the external environment). In addition, the factors that determine the extent of the use of energy efficiency tools can be divided into positive and negative for the enterprise. For example, a positive factor of external origin may be the reduction of credit rates (which makes the introduction of energy saving equipment more attractive). At the same time, a negative factor for the company of the external environment, which can stimulate the implementation of energy saving measures, is the rise in prices for certain types of energy resources. Finally, we should note the existence of a group of factors that determine the level of susceptibility of the enterprise to the factors that determine the scale of increased energy efficiency application. Thus, an increase in the price of an energy resource may not necessitate the implementation of energy saving measures by an enterprise at which the consumption of this energy resource per unit of production is low. At the same time, even a slight increase in the price of energy resource can lead to significant changes in the structure of enterprise energy consumption in which this type of energy resources occupies a predominant share.
(2) Factors that ensure the growth of the enterprise added value for the whole set of products that the enterprise produces. As in the previous case, it is possible to identify three main means of ensuring such growth, namely: increase in added value per one of different types of products manufactured by the enterprise; changes in the structure of output, when the output with lower added value decreases and the production of output with higher value increases; growth of physical volumes of production and sales. As in the case of energy efficiency increase, the factors that determine the scale of means application of the enterprise added value increase can be divided into internal and external, as well as positive and negative. Finally, it is possible to identify a group of factors that specify the level of the enterprise’s susceptibility to the factors that determine the scale of means application for the added value growth.
(3) Factors that ensure a simultaneous increase in the level of the enterprise energy efficiency and its added value. Obviously, such simultaneous growth can be either accidental or natural. Accordingly, it is possible to distinguish two main factors of simultaneous growth of energy efficiency and added value of the enterprise: the simultaneous dominance of both factors that cause the growth of energy efficiency and factors that cause an increase in added value, and the presence of a positive correlation between energy efficiency and added value. In general, there are three options for the correlation between energy efficiency growth and change in added value: no dependence (in particular, this occurs if energy efficiency does not cause a significant reduction in unit cost), the presence of a positive correlation (in particular, within the rebound effect), and the presence of a negative correlation. The last case, which can be called a conditionally negative rebound effect, occurs if the enterprise reduces production of that part of its products that is characterized by the highest level of energy consumption. Suppose that an enterprise produces two groups of goods: goods with a high level of consumption of a certain energy resource for their production and goods with low consumption. This level will be assessed by the ratio of value added to natural energy consumption. Accordingly, the product of this level on the consumption of a certain energy resource will be equal to the value added. Let the production of energy-intensive goods decrease in r times, and the production of other goods will remain unchanged. Then, the total value added for all goods will decrease, but the overall level of energy efficiency will increase. Under such conditions, the impact of the enterprise added value reduction on the growth of its energy efficiency for a particular type of energy resources can be assessed by the following formula:
e ( r ) = E c 1 · e c 1 + E c 2 · e c 2 r E c 1 + E c 2 r = β c 1 · e c 1 + β c 2 · e c 2 r β c 1 + β c 2 r = β c 1 · e c 1 · r + β c 2 · e c 2 1 + r ,
where e(r)—the general level of the enterprise energy efficiency for a certain type of energy resource as a function of r—the rate of production reduction of that part of the product, which is characterized by a lower level of energy efficiency; ec1, ec2—the level of consumption of a certain energy resource for production, respectively, with less and more energy; Ecq, Ec2—basic values of natural volumes of a certain energy resource consumption for the output by the enterprise of production according to smaller and bigger energy consumption; βc1, βc2—shares of basic natural volumes of energy consumption for the output of products in accordance with lower and higher energy intensity in the total basic volume of consumption of this energy resource by the enterprise, unit fraction.
(4) Factors that determine the outstripping growth of energy efficiency compared to the enterprise added value. In turn, it is possible to distinguish two main factors: relatively high growth rates of energy efficiency and relatively moderate growth rates of the enterprise added value. It is also possible to introduce the concept of the potential of the enterprise sustainable energy saving development, which characterizes the limits within which the natural volumes of the enterprise production can change to ensure this type of economic development. Based on Expression (4), the volume of this potential can be represented as follows:
I p = 1 I e q 1 I a v p ,
where Ip—indicator of the potential of enterprises sustainable energy-saving economic development, the share of one.
Expression 1Iavp in the Formula (23) can be represented as follows:
1 I a v p = V 1 V n · I q = I o e 1 C o 1 C e 1 I o e n C o n C e n · I q ,
where V1, Vn—the enterprise added value, in the first and last years of the reporting period, monetary units; Ioe1, Ioen—operating income of the enterprise (excluding indirect taxes), respectively, in the first and last years of the reporting period, monetary units; Co1, Con—material costs of the enterprise (excluding the cost of energy resources purchasing), respectively, in the first and last years of the reporting period, monetary units; Ce1, Cen—the enterprise costs for the purchase of energy resources, respectively, in the first and last years of the reporting period, monetary units.
After performing a series of mathematical transformations, Expression (24) can be represented in the following equivalent form:
1 I a v p = 1 γ 1 · I p r γ 2 γ 1 · I c o γ 3 γ 1 · I e q · I p r e ,
where γ1—the share of the enterprise added value in its operating income in the last year of the reporting period, the share of one; Ipr—price index for products produced by the enterprise (Ipr = Ioen/(Ioe1Iq)); γ2—the share of material costs incurred by the enterprise (excluding costs incurred for the purchase of energy resources) in its operating income in the last year of the reporting period, the share of one; Ico—index of specific material costs (excluding costs incurred for the purchase of energy resources) (Ico = Con/(Co1 Iq)); γ3—the share of the enterprise costs for the purchase of energy resources in its operating income in the last year of the reporting period, the share of one; Ipre—price index for energy resources purchased by the enterprise (Ipre = Cen/(Ce1 Ieq Iq)).
Taking into account Expression (25), Formula (23) can be presented as follows:
I p = 1 I e q · 1 + γ 3 γ 1 · I p r e 1 γ 1 · 1 I p r γ 2 I c o ,
Thus, Indicator (23) is influenced by the four indices that appear in the right part of Expression (26). Accordingly, each of these indices can be matched with a certain factor that affects the potential for the sustainable energy-saving economic development of enterprises.
Summarizing the above information, we can state the presence of a significant number of factors that directly or indirectly affect the formation of the sustainable energy saving development of the enterprise, as well as indicate the complexity of such influence mechanisms.

4. Empirical Analysis

The empirical analysis performed in this work was carried out at the level of countries, which required the formation of their sample and the use of the appropriate methodology set out in Section 3, in particular, in Formulas (1) and (5)–(21). As for the other formulas given in Section 3, they apply to industries and enterprises and are useful for understanding the complex patterns that underlie energy-saving economic development at the country level. The study was conducted for the case of natural gas, an important energy resource consumed by many countries, the use of which governments seek to limit, given the economic, environmental, geopolitical, and other circumstances. Among other things, in Section 4, the analysis of the relationship between economic growth and natural gas consumption in different countries is performed, the sustainable energy saving by natural gas economic development is assessed, and the influence of certain factors on the parameters of this development is established.

4.1. Analysis of the Relationship between Economic Growth and Natural Gas Consumption Volume in Different Countries of the World

Despite the fact that in recent years, many countries around the world have increased their energy consumption from renewable sources, natural gas remains one of the most important energy sources.
We formed a sample of 19 countries who are consumers of natural gas. The process of selecting the countries was carried out two o stages:
(1) Identification of G20 countries with significant natural gas consumption and a random selection of eight countries. This group of countries includes, China, the USA, Australia, Germany, Italy, the Russian Federation, Turkey, and the UK.
(2) Determining the list of 22 European countries with the largest gross domestic product (except for European countries that are already included in the first group) and a random selection of eleven countries. This group of countries includes Austria, Belgium, Czech Republic, Finland, France, Hungary, the Netherlands, Poland, Romania, Spain, and Ukraine.
It should be noted that the selected countries account for more than half of the world’s natural gas consumption. Also, the total gross domestic product of these countries exceeds half of the world’s total.
In this case (Table 1), the trend of changes in consumption is different in each country. In particular, in 2018, compared to 2010, there was an increase in natural gas consumption in the USA, Australia, Turkey, and some other countries. The use of natural gas in the Chinese economy was particularly significant (from 108.9 billion cubic meters to 283 billion cubic meters, it means by 159.87%). At the same time, in many EU countries during 2010–2018, natural gas consumption decreased significantly. In particular, the volume of its consumption in 2018 compared to 2010 decreased in the Czech economy by 14.89% (from 9.4 to 8 billion cubic meters), in France by 13.91% (from 49.6 to 42.7 billion cubic meters), and in Romania by 12.8 % (from 12.5 to 10.9 billion cubic meters). However, in some EU countries, in particular in Germany and Poland, natural gas consumption increased during the study period.
Thus, the trend of changes in natural gas consumption differs significantly from country to country. Deeper patterns of these changes can be established by assessing the ratio between real gross domestic product (GDP) and natural gas consumption by individual countries. According to the data presented in Table 2, the value of this ratio during 2010–2018 in different countries varied differently. In particular, the ratio between real GDP and natural gas consumption volume (the level of energy efficiency by natural gas) during this period increased most significantly in Finland (by 125.45%), Ukraine (by 72.26%), Romania (by 55.67%), Hungary (by 47.28%), and the Netherlands (by 46.81%). At the same time, the growth rate of the ratio between real GDP and natural gas consumption was much lower in countries such as Poland (8.76%), the Russian Federation (6.37%), and Australia (1.2%), and in the USA and China, the ratio between real GDP and natural gas consumption generally decreased. The value of this ratio varies significantly from country to country. In particular, the ratio between real GDP and natural gas consumption in 2018 ranged from 3.83 US dollars per cubic meter of gas for the Russian Federation to 134.60 US dollars per cubic meter of gas for Finland (Table 2).
Thus, it follows that among the considered countries there are both countries in which there was energy saving in 2010–2018due to natural gas economic development, and countries in which this type of economic development was not observed (Table 2). The first group of countries includes Austria, Belgium, Czech Republic, Finland, France, Hungary, Italy, the Netherlands, Romania, Spain and the United Kingdom. The second group of countries includes the USA, China, Australia, Germany, Poland, the Russian Federation, Turkey, and Ukraine.
The division of the studied countries into these two groups, as well as information on the reasons that did not allow for energy saving due to the lack of natural gas economic development in individual countries, are presented in Table 3. At the same time, the countries in which this type of development took place meet Condition (1). Countries that do not meet this condition were divided into three groups:
(1) Countries for which the energy efficiency index for natural gas did not exceed one (for these taps the values in the last column of Table 2 are negative).
(2) Countries for which the energy efficiency index for natural gas exceeded one, but the GDP index was less than one (these countries include those that are not included in the previous groups and in which the GDP growth rate in Table 2 is negative).
(3) Countries for which the energy efficiency index for natural gas exceeded one, but the GDP index exceeded the energy efficiency index (these countries include those that are not included in any of the previous groups).
According to the data presented in Table 3, in most of the studied countries (in 11 out of 19) during 2010–2018, there was energy saving due to natural gas economic development. For countries where this type of development did not take place, for most of them the reason for this was that the GDP index of these countries exceeded the energy efficiency index for natural gas.
It is worth noting that in most countries of the second group, except for the USA and China, the level of energy efficiency of natural gas consumption increased during the study period, i.e., these countries implemented energy saving measures.

4.2. Assessment of Sustainable Energy Saving by Natural Gas Economic Development by Individual Countries

As noted above, sustainable energy-saving economic development is described by a number of characteristics. The information availability on these characteristics, obtained on the basis of their quantitative assessment, allows a better understanding of the patterns that underlie sustainable energy-saving economic development. In this regard, it seems appropriate to assess the sustainable energy saving by natural gas economic development in those countries for which this type of development took place during 2010–2018. The initial data required for the calculation of the assessment indicators of the countries sustainable energy-saving economic development for 2010–2018 are provided in Table 4, and the results of such assessment are summarized in Table 5. The formulas given in Section 3.2 were used to calculate the indicators presented in Table 5.
As follows from the data presented in Table 5, the values of the indicators for assessing the countries’ sustainable energy saving due to natural gas economic development for 2010–2018 are quite different for the studied countries. In particular, the level of this development ranged from 0.001 for Italy to 0.022 for Hungary. Regarding the level of uniformity of the sustainable energy-saving economic development of the studied countries, for most of them it was moderate and ranged from 0.059 for Italy to 0.909 for the Czech Republic. It is also important to note that for all countries considered in Table 5, the relative level of their economic growth potential exceeded the relative level of the potential of natural gas consumption reduction. However, for most countries, the actual use of the potential of natural gas consumption reduction was higher than the actual use of the potential of GDP growth. Moreover, for a number of countries (in particular, for Austria, Belgium, the Czech Republic, and Hungary) a high value of the balance indicator of the sustainable energy saving by natural gas economic development is typical. In general, this figure ranged from 0.040 for Italy to 0.984 for Hungary. Also, there is interest to the indicator of the minimum possible duration of the sustainable energy saving by natural gas economic development in the future, which was calculated by Formula (18). For some countries it is quite high. In particular, the value of this indicator for Italy was 133.6 years, and for Finland it was 72.1 years. However, these values are due to rather low rates of economic growth in these countries during 2010–2018. For most countries, the indicator of minimum possible expected duration of the sustainable energy saving by natural gas economic development in the future was about 6–14 years, which is also quite a lot. Accordingly, we should note big values for some countries of the minimum possible sustainability level of energy saving by natural gas economic development. This indicator, which was calculated by Formula (20), ranged from 1.8 to 3.4 for most countries. Thus, the sustainability of energy saving by natural gas economic development for most countries, as shown in Table 5, is quite high.

4.3. Assessment of the Impact of Individual Factors on the Parameters of Sustainable Energy-Saving Natural Gas Economic Development of Countries

Despite the fact that sustainable energy-saving economic development can be characterized by various properties, there are two main parameters of this type of economic development, namely the growth rate of the resulting economic growth rate and the growth rate of certain types of energy resources consumption. As follows from the Formula (15), the value of the last parameter can be represented as the product of two indicators—the magnitude of the potential of a particular type of energy resources consumption reduction and the actual level of this potential use. Taking this circumstance into account, we will perform a factor analysis of the growth rate of natural gas consumption during 2010–2018 in countries where there was sustainable energy saving due to natural gas economic development. In the future, all values of the growth rate of natural gas consumption will be taken according to the module. In this case, the factor analysis requires the selection of a country as a base, in relation to which there will be a decomposition of the growth of natural gas consumption in other countries. According to Table 6, it seems appropriate to choose Austria as the base country. This is due to the fact that for this country the modulus of the value of the growth rate of natural gas consumption in 2018 compared to 2010 was the lowest among all the countries studied.
Denote the indicators that characterize the economy of Austria, the index “a”, and the indicators that characterize the economy of another country, denote the index “j”. Then, according to Formula (15), the difference between the modules of growth rates of natural gas consumption in a given country and in Austria can be represented as follows:
Δ R j = E 1 j E n j E 1 j E 1 a E n a E 1 a = l 3 j · l 5 j l 3 a · l 5 a ,
or
Δ R j = l 3 j l 3 a · l 5 a + l 5 j l 5 a · l 3 a + l 3 j l 3 a · l 5 j l 5 a = Δ R 1 j + Δ R 2 j + Δ R 3 j ,
where ∆Rj—the difference between the modules of the growth rate of natural gas consumption in a given country and in Austria, unit fraction; ∆R1j, ∆R2j, ∆R3j—the difference between the modules of the growth rate of natural gas consumption in a given country and in Austria due to change accordingly: the relative level of gas consumption reduction potential, the actual level of use of gas consumption reduction potential, and the combined influence of both of these factors, unit fraction.
The results of calculations of indicators ∆Rj, ∆R1j та ∆R2j are presented in the Table 6.
According to the data presented in Table 6, for most countries, compared to Austria, the main reason for the stronger reduction in natural gas consumption is the higher level of relative potential for such a reduction (it means that higher growth rate of natural gas efficiency use). However, there are some countries, in particular Belgium, Italy and France, for which the main factor in the stronger reduction in natural gas consumption compared to Austria is the higher actual level of this reduction potential use (in these countries GDP growth did not influence strongly the volume of natural gas use).
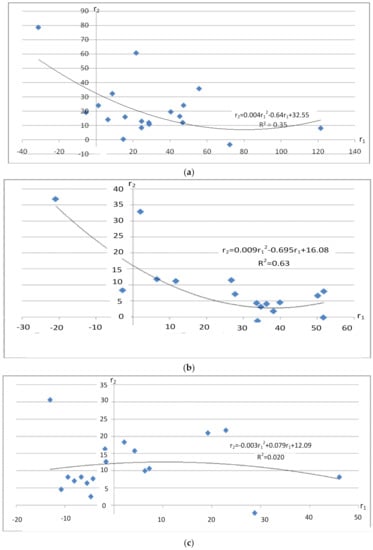
Regarding such a parameter of the sustainable energy-saving economic development of countries as the growth rate of their GDP, the issue on the nature of the impact on this parameter of natural gas consumption efficiency is interesting (the relative growth of the ratio between GDP and natural gas consumption by different economies). In order to estimate the impact for the selected time intervals on the basis of the data presented in Table 7, quadratic regression equations were created. Graphs of these equations are shown in Figure 3.
As can be seen from Figure 3 as well as from Table 8, the first two regression equations (especially the second of them) can fully approximate the empirical data.
Thus, at least for some time, higher growth rates of natural gas consumption efficiency at the level of national economies were accompanied by lower GDP growth rates. This empirical fact to some extent contradicts the effect of the rebound in energy consumption and may be related to structural shifts in natural gas consumption, in particular those described by the Model (22). Thus, it is possible to affirm that at some time there is a negative effect of the rebound in natural gas consumption at the level of national economies.

5. Conclusions and Discussion

Sustainable energy-saving economic development should be understood as a process of long-term economic growth with a simultaneous reduction in the consumption of a certain type of energy resource (or a set of such resources), although this process has the potential to occur in the future.
In order for the process of energy-saving economic development to take place at the national level, it is necessary to meet two main conditions: (1) the energy efficiency index for the studied type of energy resources must exceed one; (2) the GDP index must exceed one but be less than the energy efficiency index. As for the sustainable energy saving development, these conditions must occur over previous years and be maintained in subsequent periods.
Sustainable energy-saving economic development is characterized by a variety of properties. These properties include such characteristics of this type of economic development as its level, uniformity, balance, frequency, projected duration, stability, etc. All these characteristics can be quantified. In addition, there are close links between the properties of sustainable energy-saving economic development. These results significantly develop and complement our previous works [25,30].
Despite the significant number of factors in the formation of sustainable energy-saving economic development of the enterprise, it seems appropriate to divide them into four main groups, namely: (1) factors that increase energy efficiency for certain types of energy resources used by the enterprise in its economic activity; (2) factors that ensure the growth of the enterprise added value for the whole set of products that the enterprise produces; (3) factors that ensure a simultaneous increase in the level of energy efficiency of the enterprise and its added value; (4) factors that determine the outpacing growth of energy efficiency level compared to the added value of the enterprise. This factor separation can be useful in identifying opportunities to increase the consumption of renewable energy sources and complements the published research results [44,45,46].
The paper analyzes relationship between economic growth and natural gas consumption in different countries. Among the 19 countries considered, there were both countries in which energy-saving economic development took place in 2010–2018 in terms of natural gas consumption, and countries in which this type of economic development was not observed. For countries where this type of development did not take place, the reason for most was that the GDP index of these countries exceeded the energy efficiency index for natural gas.
The indicator values for assessing the sustainable energy saving by natural gas economic development of countries for 2010–2018 are quite different for the studied countries. In particular, the level of this development ranged from 0.001 to 0.022. At the same time, the sustainability of energy saving by natural gas economic development for most countries where this type of development took place is quite high. It can also be argued that, at least for some time, higher growth rates of natural gas efficiency at the level of national economies are accompanied by lower growth rates of GDP. Thus, we may affirm that there is a negative effect of the rebound in natural gas consumption at the level of national economies. These results are quite new and differ from those obtained by the authors in [59,60,61].
The obtained theoretical and empirical results can be used in the development of measures of state regulatory policy in the field of energy consumption. In particular, governments can determine the conditions under which it is possible to ensure in the future a definite level of certain properties of energy-saving economic development. Thus, using Expressions (17)–(19), it is possible to estimate the necessary increase in energy efficiency in order to ensure the energy-saving economic development of the country over a period of time at the projected rate of GDP growth. Using Formulas (16), (20), and (21), it is possible to estimate the parameters by which certain levels of balance and sustainability of energy-saving economic development will be ensured. It is also possible to identify those countries for which the transition to this type of development requires a significant increase in energy efficiency. In particular, with regard to the use of natural gas for 2010–2018, these include the USA and China, as in these countries there was a tendency to reduce the efficiency of natural gas. At the same time, in countries such as Australia, Germany, Poland, the Russian Federation, and Turkey, the rate of growth of natural gas efficiency must be higher in order for these countries to be able to move to energy-saving economic growth. Ultimately, such a transition in Ukraine requires, first of all, ensuring stable growth of the country’s GDP. These results largely complement the conclusions obtained by other authors who have studied the relationship between economic growth and energy consumption [36,37,38].
The methodology proposed in this chapter has certain limitations. In particular, the built models concerned only one type of energy resource. In addition, when analyzing the dynamics of indicators, only the case of a constant base was considered, namely, the chain growth rate of indicator values was not calculated. Removing these limitations requires further research. Besides, further studies of the sustainable energy-saving economic development patterns at the level of national economies require a consideration of changes in the industry structure consumption of certain types of energy resources, including natural gas. In particular, this consideration is necessary for a more in-depth assessment of the individual factors that impact the sustainable energy-saving economic development of countries. Empirical research is also needed in order to identify the main factors in the formation of sustainable energy-saving economic development at the level of industries and enterprises. For this purpose, it is possible to use the previously mentioned Formulas (23)–(26). It is also necessary to study the empirical patterns of energy-saving economic development for fossil energy resources other than natural gas and consider the totality of these resources. In addition, it is necessary to establish the role played by energy saving technological changes in ensuring sustainable energy-saving economic development, as well as to determine the impact of price dynamics on energy resources on the parameters of this type of economic development.

Author Contributions

Conceptualization, O.Y. and L.L.; methodology, O.Y.; software, O.V.; validation, O.V., T.P. and A.S.; formal analysis, O.I., D.S., A.H. and T.D.; investigation, A.S., L.L. and T.P.; data curation, O.Y.; writing—original draft preparation, O.Y.; writing—review and editing, O.I., O.Y. and L.L.; visualization, T.P. and D.S.; supervision, O.Y.; project administration, O.Y. and L.L. All authors have read and agreed to the published version of the manuscript.

Funding

This research received no external funding.

Institutional Review Board Statement

Not applicable.

Informed Consent Statement

Not applicable.

Data Availability Statement

Not applicable.

Conflicts of Interest

The authors declare no conflict of interest.

References

  1. Afolayan, O.T.; Okodua, H.; Matthew, O.; Osabohien, R. Reducing unemployment malaise in Nigeria: The role of electricity consumption and human capital development. Int. J. Energy Econ. Policy 2019, 9, 63–73. [Google Scholar] [CrossRef]
  2. Kenny, B.; Rossiter, I. Transitioning from unemployment to self-employment for over 50s. Int. J. Entrep. Behav. Res. 2018, 24, 234–255. [Google Scholar] [CrossRef]
  3. Soylu, Ö.B.; Çakmak, I.; Okur, F. Economic growth and unemployment issue: Panel data analysis in Eastern European Countries. J. Int. Stud. 2018, 11, 93–107. [Google Scholar] [CrossRef]
  4. Usman, M.; Makhdum, M.S.A.; Kousar, R. Does financial inclusion, renewable and non-renewable energy utilization accelerate ecological footprints and economic growth? Fresh evidence from 15 highest emitting countries. Sustain. Cities Soc. 2021, 65, 102590. [Google Scholar] [CrossRef]
  5. Zafar, M.W.; Shahbaz, M.; Hou, F.; Sinha, A. From nonrenewable to renewable energy and its impact on economic growth: The role of research & development expenditures in Asia-Pacific Economic Cooperation countries. J. Clean. Prod. 2019, 212, 1166–1178. [Google Scholar] [CrossRef]
  6. Kahia, M.; Ben Aïssa, M.S.; Lanouar, C. Renewable and non-renewable energy use—economic growth nexus: The case of MENA Net Oil Importing Countries. Renew. Sustain. Energy Rev. 2017, 71, 127–140. [Google Scholar] [CrossRef]
  7. Lesinskyi, V.; Yemelyanov, O.; Zarytska, O.; Symak, A.; Koleshchuk, O. Substantiation of projects that account for risk in the resource-saving technological changes at enterprises. East. Eur. J. Enterp. Technol. 2018, 6, 6–16. [Google Scholar] [CrossRef]
  8. Tunn, V.; Bocken, N.; Hende, E.V.D.; Schoormans, J. Business models for sustainable consumption in the circular economy: An expert study. J. Clean. Prod. 2019, 212, 324–333. [Google Scholar] [CrossRef]
  9. Surya, B.; Muhibuddin, A.; Suriani, S.; Rasyidi, E.; Baharuddin, B.; Fitriyah, A.; Abubakar, H. Economic Evaluation, Use of Renewable Energy, and Sustainable Urban Development Mamminasata Metropolitan, Indonesia. Sustainability 2021, 13, 1165. [Google Scholar] [CrossRef]
  10. Vezzoli, C.; Manzini, E. Minimising Resource Consumption. In Design for Environmental Sustainability; Springer: London, UK, 2008; pp. 73–104. [Google Scholar] [CrossRef]
  11. Chalvatzis, K.J.; Ioannidis, A. Energy supply security in the EU: Benchmarking diversity and dependence of primary energy. Appl. Energy 2017, 207, 465–476. [Google Scholar] [CrossRef]
  12. Esen, Ö.; Bayrak, M. Does more energy consumption support economic growth in net energy-importing countries? J. Econ. Finance Adm. Sci. 2017, 22, 75–98. [Google Scholar] [CrossRef]
  13. Büyüközkan, G.; Güleryüz, S. Evaluation of Renewable Energy Resources in Turkey using an integrated MCDM approach with linguistic interval fuzzy preference relations. Energy 2017, 123, 149–163. [Google Scholar] [CrossRef]
  14. Di Maio, F.; Rem, P.C.; Baldé, K.; Polder, M. Measuring resource efficiency and circular economy: A market value approach. Resour. Conserv. Recycl. 2017, 122, 163–171. [Google Scholar] [CrossRef]
  15. Kalmykova, Y.; Rosado, L.; Patrício, J. Resource consumption drivers and pathways to reduction: Economy, policy and lifestyle impact on material flows at the national and urban scale. J. Clean. Prod. 2016, 132, 70–80. [Google Scholar] [CrossRef] [Green Version]
  16. Nabavi-Pelesaraei, A.; Bayat, R.; Hosseinzadeh-Bandbafha, H.; Afrasyabi, H.; Chau, K.W. Modeling of energy consumption and environmental life cycle assessment for incineration and landfill systems of municipal solid waste management—A case study in Tehran Metropolis of Iran. J. Clean. Prod. 2017, 148, 427–440. [Google Scholar] [CrossRef]
  17. Alvarado, R.; Deng, Q.; Tillaguango, B.; Méndez, P.; Bravo, D.; Chamba, J.; Alvarado-Lopez, M.; Ahmad, M. Do economic development and human capital decrease non-renewable energy consumption? Evidence for OECD countries. Energy 2021, 215, 119147. [Google Scholar] [CrossRef]
  18. Ponomarenko, T.; Nevskaya, M.; Jonek-Kowalska, I. Mineral Resource Depletion Assessment: Alternatives, Problems, Results. Sustainability 2021, 13, 862. [Google Scholar] [CrossRef]
  19. Antipova, O.V.; Suprun, O.M.; Gnevasheva, V.A.; Ignatyevs, S.; Batyrova, N. Sustainable Economic Development and Resource-Saving: Interrelation and Mutual Influence. Ind. Eng. Manag. Syst. 2020, 19, 26–34. [Google Scholar] [CrossRef]
  20. Gubaidullina, T.; Ivanova, N.; Absalyamova, S.; Yerina, T. Analysis of national strategies for sustainable development with regard to fundamental conceptual premise. J. Phys. Conf. Ser. 2018, 1141, 012018. [Google Scholar] [CrossRef]
  21. Brundtland, G.H.; Khalid, S.; Agnelli, M.; Al-Athel, S.; Chidzero, B. Our Common Future; Oxford University Press: Suffolk, UK, 1987. [Google Scholar]
  22. Álvarez Jaramillo, J.; Zartha Sossa, J.W.; Orozco Mendoza, G.L. Barriers to sustainability for small and medium enterprises in the framework of sustainable development—L iterature review. Bus. Strat. Environ. 2019, 28, 512–524. [Google Scholar] [CrossRef]
  23. Silva, S.; Soares, I.; Afonso, O. Economic and environmental effects under resource scarcity and substitution between renewable and non-renewable resources. Energy Policy 2013, 54, 113–124. [Google Scholar] [CrossRef]
  24. Camilleri, M.A. The market for socially responsible investing: A review of the developments. Soc. Responsib. J. 2021, 17, 412–428. [Google Scholar] [CrossRef]
  25. Yemelyanov, O.; Symak, A.; Petrushka, T.; Lesyk, R.; Lesyk, L. Evaluation of the Adaptability of the Ukrainian Economy to Changes in Prices for Energy Carriers and to Energy Market Risks. Energies 2018, 11, 3529. [Google Scholar] [CrossRef] [Green Version]
  26. Yemelyanov, O.; Petrushka, T.; Symak, A.; Trevoho, O.; Turylo, A.; Kurylo, O.; Danchak, L.; Symak, D.; Lesyk, L. Microcredits for Sustainable Development of Small Ukrainian Enterprises: Efficiency, Accessibility, and Government Contribution. Sustainability 2020, 12, 6184. [Google Scholar] [CrossRef]
  27. Camilleri, M.A. The circular economy’s closed loop and product service systems for sustainable development: A review and appraisal. Sustain. Dev. 2019, 27, 530–536. [Google Scholar] [CrossRef]
  28. Liu, X.; Chen, H. Sharing Economy: Promote Its Potential to Sustainability by Regulation. Sustainability 2020, 12, 919. [Google Scholar] [CrossRef] [Green Version]
  29. Dvořáková, L.; Zborkova, J. Integration of Sustainable Development at Enterprise Level. Procedia Eng. 2014, 69, 686–695. [Google Scholar] [CrossRef] [Green Version]
  30. Yemelyanov, O.; Symak, A.; Petrushka, T.; Zahoretska, O.; Kusiy, M.; Lesyk, R.; Lesyk, L. Changes in Energy Consumption, Economic Growth and Aspirations for Energy Independence: Sectoral Analysis of Uses of Natural Gas in Ukrainian Economy. Energies 2019, 12, 4724. [Google Scholar] [CrossRef] [Green Version]
  31. Ayres, R.U.; Turton, H.; Casten, T. Energy efficiency, sustainability and economic growth. Energy 2007, 32, 634–648. [Google Scholar] [CrossRef]
  32. Zaharia, A.; Diaconeasa, M.C.; Brad, L.; Ladaru, R.; Ioanăș, C. Factors Influencing Energy Consumption in the Context of Sustainable Development. Sustainability 2019, 11, 4147. [Google Scholar] [CrossRef] [Green Version]
  33. Richler, J. Barriers to energy-efficiency. Nat. Energy 2018, 3, 356. [Google Scholar] [CrossRef]
  34. Johansson, M.T.; Thollander, P. A review of barriers to and driving forces for improved energy efficiency in Swedish industry—Recommendations for successful in-house energy management. Renew. Sustain. Energy Rev. 2018, 82, 618–628. [Google Scholar] [CrossRef]
  35. Bhowmik, C.; Bhowmik, S.; Ray, A.; Pandey, K.M. Optimal green energy planning for sustainable development: A review. Renew. Sustain. Energy Rev. 2017, 71, 796–813. [Google Scholar] [CrossRef]
  36. Salahuddin, M.; Alam, K. Information and Communication Technology, electricity consumption and economic growth in OECD countries: A panel data analysis. Int. J. Electr. Power Energy Syst. 2016, 76, 185–193. [Google Scholar] [CrossRef] [Green Version]
  37. Furuoka, F. Natural gas consumption and economic development in China and Japan: An empirical examination of the Asian context. Renew. Sustain. Energy Rev. 2016, 56, 100–115. [Google Scholar] [CrossRef]
  38. Rafindadi, A.A.; Ozturk, I. Natural gas consumption and economic growth nexus: Is the 10th Malaysian plan attainable within the limits of its resource? Renew. Sustain. Energy Rev. 2015, 49, 1221–1232. [Google Scholar] [CrossRef]
  39. Fadiran, G.; Adebusuyi, A.T.; Fadiran, D. Natural gas consumption and economic growth: Evidence from selected natural gas vehicle markets in Europe. Energy 2019, 169, 467–477. [Google Scholar] [CrossRef]
  40. Solarin, S.A.; Ozturk, I. The relationship between natural gas consumption and economic growth in OPEC members. Renew. Sustain. Energy Rev. 2016, 58, 1348–1356. [Google Scholar] [CrossRef]
  41. Menegaki, A.N.; Tugcu, C.T. Energy consumption and Sustainable Economic Welfare in G7 countries; A comparison with the conventional nexus. Renew. Sustain. Energy Rev. 2017, 69, 892–901. [Google Scholar] [CrossRef]
  42. Paramati, S.R.; Bhattacharya, M.; Ozturk, I.; Zakari, A. Determinants of energy demand in African frontier market economies: An empirical investigation. Energy 2018, 148, 123–133. [Google Scholar] [CrossRef] [Green Version]
  43. Cucchiella, F.; D’Adamo, I.; Gastaldi, M. Future Trajectories of Renewable Energy Consumption in the European Union. Resources 2018, 7, 10. [Google Scholar] [CrossRef] [Green Version]
  44. Bhattacharya, M.; Paramati, S.R.; Ozturk, I.; Bhattacharya, S. The effect of renewable energy consumption on economic growth: Evidence from top 38 countries. Appl. Energy 2016, 162, 733–741. [Google Scholar] [CrossRef]
  45. Alper, A.; Oguz, O. The role of renewable energy consumption in economic growth: Evidence from asymmetric causality. Renew. Sustain. Energy Rev. 2016, 60, 953–959. [Google Scholar] [CrossRef]
  46. Koçak, E.; Şarkgüneşi, A. The renewable energy and economic growth nexus in Black Sea and Balkan countries. Energy Policy 2017, 100, 51–57. [Google Scholar] [CrossRef]
  47. Kostka, G.; Moslener, U.; Andreas, J. Barriers to increasing energy efficiency: Evidence from small-and medium-sized enterprises in China. J. Clean. Prod. 2013, 57, 59–68. [Google Scholar] [CrossRef]
  48. Rohdin, P.; Thollander, P. Barriers to and driving forces for energy efficiency in the non-energy intensive manufacturing industry in Sweden. Energy 2006, 31, 1836–1844. [Google Scholar] [CrossRef] [Green Version]
  49. Zhang, Z.; Jin, X.; Yang, Q.; Zhang, Y. An empirical study on the institutional factors of energy conservation and emissions reduction: Evidence from listed companies in China. Energy Policy 2013, 57, 36–42. [Google Scholar] [CrossRef]
  50. Lesinskyi, V.; Yemelyanov, O.; Zarytska, O.; Symak, A.; Petrushka, T. Development of a toolkit for assessing and overcoming barriers to the implementation of energy saving projects. East. Eur. J. Enterp. Technol. 2020, 5, 24–38. [Google Scholar] [CrossRef]
  51. Barriers to Industrial Energy Efficiency. Report to Congress. United States Department of Energy Washington. June. Available online: https://www.energy.gov/sites/prod/files/2015/06/f23/EXEC-2014–005846_6%20Report_signed_0.pdf (accessed on 20 August 2021).
  52. Kangas, H.-L.; Lazarevic, D.; Kivimaa, P. Technical skills, disinterest and non-functional regulation: Barriers to building energy efficiency in Finland viewed by energy service companies. Energy Policy 2018, 114, 63–76. [Google Scholar] [CrossRef] [Green Version]
  53. Palm, J.; Backman, F. Energy efficiency in SMEs: Overcoming the communication barrier. Energy Effic. 2020, 13, 809–821. [Google Scholar] [CrossRef] [Green Version]
  54. Overcoming Barriers to Investing in Energy Efficiency. Energy Series No. United Nations Economic Commission for Europe. United Nations New York and Geneva. Available online: https://www.unece.org/fileadmin/DAM/energy/se/pdfs/geee/pub/Overcoming_barriers-energy_efficiency-FINAL.pdf (accessed on 20 August 2021).
  55. Chiaroni, D.; Chiesa, V.; Franzò, S.; Frattini, F.; Latilla, V.M. Overcoming internal barriers to industrial energy efficiency through energy audit: A case study of a large manufacturing company in the home appliances industry. Clean Technol. Environ. Policy 2017, 19, 1031–1046. [Google Scholar] [CrossRef]
  56. Chai, K.H.; Yeo, C. Overcoming energy efficiency barriers through systems approach—A conceptual framework. Energy Policy 2012, 46, 460–472. [Google Scholar] [CrossRef]
  57. Hui, J.; Cai, W.; Wang, C.; Ye, M. Analyzing the penetration barriers of clean generation technologies in China’s power sector using a multi-region optimization model. Appl. Energy 2017, 185, 1809–1820. [Google Scholar] [CrossRef]
  58. Yemelyanov, O.; Petrushka, T.; Lesyk, L.; Symak, A.; Vovk, O. Modelling and Information Support for the Development of Government Programs to Increase the Accessibility of Small Business Lending. In Proceedings of the 2020 IEEE 15th International Conference on Computer Sciences and Information Technologies (CSIT), Zbarazh, Ukraine, 23–26 September 2020; pp. 229–232. [Google Scholar] [CrossRef]
  59. Zhang, J.; Lawell, C.-Y.C.L. The macroeconomic rebound effect in China. Energy Econ. 2017, 67, 202–212. [Google Scholar] [CrossRef]
  60. Howarth, R.B. Energy efficiency and economic growth. Contemp. Econ. Policy 1997, 15, 1–9. [Google Scholar] [CrossRef]
  61. Orea, L.; Llorca, M.; Filippini, M. A new approach to measuring the rebound effect associated to energy efficiency improvements: An application to the US residential energy demand. Energy Econ. 2015, 49, 599–609. [Google Scholar] [CrossRef] [Green Version]
  62. BP Statistical Review of World Energy. Available online: https://www.bp.com/content/dam/bp/business-sites/en/global/corporate/pdfs/energy-economics/statistical-review/bp-stats-review-2019-full-report.pdf. (accessed on 20 August 2021).
  63. GDP, at Constant 2010 Prices (US $). 2020. Available online: https://knoema.com/atlas. (accessed on 20 August 2021).
Figure 1. Relationships between the properties of the sustainable energy-saving economic development.
Figure 1. Relationships between the properties of the sustainable energy-saving economic development.
Energies 14 05999 g001
Figure 2. The impact of factors on the overall level of the enterprise energy efficiency.
Figure 2. The impact of factors on the overall level of the enterprise energy efficiency.
Energies 14 05999 g002
Figure 3. Scatter diagrams and graphs of quadratic regression equations, which characterize the relationship between the growth rate of natural gas use efficiency (r1, %) and GDP growth rate according (r2, %) to the countries: (a) in 2018 compared to 2010; (b) in 2014 compared to 2010; (c) in 2018 compared to 2014.
Figure 3. Scatter diagrams and graphs of quadratic regression equations, which characterize the relationship between the growth rate of natural gas use efficiency (r1, %) and GDP growth rate according (r2, %) to the countries: (a) in 2018 compared to 2010; (b) in 2014 compared to 2010; (c) in 2018 compared to 2014.
Energies 14 05999 g003
Table 1. Dynamics of natural gas consumption in some countries in 2010–2018, billion cubic meters 1.
Table 1. Dynamics of natural gas consumption in some countries in 2010–2018, billion cubic meters 1.
Countries201020112012201320142015201620172018
USA648.2658.2688.1707.0722.3743.6749.1739.5817.1
China108.9135.2150.9171.9188.4194.7209.4240.4283.0
Australia33.835.335.437.240.142.141.741.941.4
Austria9.69.08.68.27.58.08.39.18.7
Belgium19.416.516.716.514.515.816.216.416.9
Czech Republic9.47.98.08.17.27.58.28.48.0
Finland4.13.63.23.02.72.32.01.82.0
France49.643.044.445.137.940.844.544.842.7
Germany88.180.981.185.073.977.084.989.788.3
Hungary11.410.99.79.18.18.79.39.99.6
Italy79.174.271.466.759.064.367.571.669.2
Netherlands46.840.939.339.134.534.135.236.135.7
Poland16.216.517.417.417.017.118.319.219.7
Romania12.512.912.511.411.010.410.511.210.9
Russian Federation423.9435.6428.6424.9422.2408.7420.6431.1454.5
Spain36.233.633.230.327.528.529.131.731.5
Turkey35.841.843.344.046.646.044.551.647.3
Ukraine54.656.151.847.740.332.031.430.230.6
United Kingdom98.581.976.976.370.172.081.278.878.9
1 Source of information: Reproduced from [62], BP Statistical Review of World Energy: 2019.
Table 2. Input data and results of ratio calculating between real GDP and natural gas consumption by individual countries.
Table 2. Input data and results of ratio calculating between real GDP and natural gas consumption by individual countries.
CountriesReal GDP (at Constant Prices of 2010), Billion USD 1Natural Gas Consumption, Billion Cubic Meters 1The Ratio of Real GDP to Natural Gas Consumption, USD per Cubic Meter of Gas
20102018Growth Rate, %20102018Growth Rate, %20102018Growth Rate, %
USA14,922.017,865.019.11648.2817.126.0623.1321.85−5.51
China6087.210,873.078.62108.9283.0159.8755.9038.42−31.27
Australia1146.11420.623.9533.841.422.4933.9134.311.20
Austria391.9442.512.929.68.7−9.3840.8250.8624.59
Belgium481.0538.411.9419.416.9−12.8924.7931.8628.49
Czech Republic207.5247.919.509.48.0−14.8922.0730.9940.38
Finland249.2269.28.034.12.0−51.2260.78134.60121.45
France2642.62927.810.7949.642.7−13.9153.2868.5728.70
Germany3396.43937.215.9388.188.30.2338.5544.5915.66
Hungary131.1162.624.0211.49.6−15.7911.5016.9447.28
Italy2134.02141.00.3379.169.2−12.5226.9830.9414.68
Netherlands846.6948.111.9946.835.7−23.7218.0926.5646.81
Poland479.3633.932.2516.219.721.6029.5932.188.76
Romania166.2225.635.7312.510.9−12.8013.3020.7055.67
Russian Federation1524.91739.114.05423.9454.57.223.603.836.37
Spain1420.71539.58.3636.231.5−12.9839.2548.8724.53
Turkey771.91240.560.7035.847.332.1221.5626.2321.63
Ukraine136.0131.3−3.4754.630.6−43.962.494.2972.26
United Kingdom2475.22879.316.3398.578.9−19.9025.1336.4945.22
1 Source of information: Reproduced from [63], Knoema: 2020.
Table 3. Division of the studied countries into groups depending on the presence of energy-saving economic development in 2010–2018 by natural gas consumption and the reasons for the lack of this type of economic development.
Table 3. Division of the studied countries into groups depending on the presence of energy-saving economic development in 2010–2018 by natural gas consumption and the reasons for the lack of this type of economic development.
Countries GroupsCountriesNumber of Countries
Countries in which during 2010–2018 there was an energy-saving economic development in terms of natural gas consumptionAustria, Belgium, Czech Republic, Finland, France, Hungary, Italy, Netherlands, Romania, Spain, UK11
Countries in which during 2010–2018 there was no energy saving by natural gas economic developmentUSA, China, Australia, Germany, Poland, Russian Federation, Turkey, Ukraine8
Including due to the fact that:
– the energy efficiency index for natural gas did not exceed oneUSA, China2
– the energy efficiency index for natural gas exceeded one, but the GDP index was less than oneUkraine1
– the energy efficiency index for natural gas exceeded one, but the GDP index exceeded energy efficiency indexAustralia, Germany, Poland, Russian Federation, Turkey5
Table 4. Input data 1 required for the calculation of indicators for the assessment of the sustainable energy saving by natural gas of countries economic development for 2010–2018.
Table 4. Input data 1 required for the calculation of indicators for the assessment of the sustainable energy saving by natural gas of countries economic development for 2010–2018.
CountriesAverage GDP Growth Rate, Unit FractionAverage Rate of Decline in Natural Gas Consumption, Unit FractionEfficiency Growth Rate Use of Natural GasGDP Growth IndexNatural Gas Consumption Growth IndexYears of Energy-Saving Economic Development
Austria0.0150.0121.2461.1290.9068
Belgium0.0140.0171.2851.1190.8718
Czech Republic0.0220.0201.4041.1950.8518
Finland0.0100.0942.2151.0800.4887
France0.0130.0191.2871.1080.8618
Hungary0.0270.0221.4731.2400.8428
Italy0.0010.0171.1471.0030.8752
Netherlands0.0140.0341.4681.1200.7638
Romania0.0390.0171.5561.3570.8726
Spain0.0100.0181.2451.0840.8703
United Kingdom0.0190.0281.4521.1630.8018
1 Source of information: calculated by the authors. Reproduced from [62], BP Statistical Review of World Energy: 2019; [63], Knoema: 2020.
Table 5. Values of the assessment indicators of sustainable energy saving by natural gas countries economic development for 2010–2018 1.
Table 5. Values of the assessment indicators of sustainable energy saving by natural gas countries economic development for 2010–2018 1.
CountriesLevel of the Sustainable Energy-Saving Economic Development (l), Unit FractionThe Degree of the Sustainable Energy-Saving Economic Development Uniformity (l1), Share of OneRelative Capacity LevelsThe Actual Level of Capacity UtilizationAn Indicator of the Sustainable Energy-Saving Economic Development Balance (l6), Unit FractionFrequency of the Sustainable Energy-Saving Economic DevelopmentThe Minimum Possible Duration of the Sustainable Energy-Saving Economic Development in the Future (Tmin), YearsThe Minimum Possible Level of the Energy-Saving Economic Development Sustainability (l8), Unit Fraction
Economic Growth (l2), Unit FractionReduction of Natural Gas Consumption (l3), Unit FractionEconomic Growth (l4), Unit FractionReduction of Natural Gas Consumption (l5), Unit Fraction
Austria0.0120.8000.2460.1970.5240.4760.9521.0006.631.829
Belgium0.0140.8240.2850.2220.4180.5820.8361.0009.932.242
Czech Republic0.0200.9090.4040.2880.4830.5180.9661.0007.411.927
Finland0.0100.1061.2150.5490.0660.9330.1320.87572.109.888
France0.0130.6840.2870.2230.3760.6230.7521.00011.592.448
Hungary0.0220.8150.4730.3210.5070.4920.9841.0006.461.807
Italy0.0010.0590.1470.1280.0200.9750.0400.250133.6016.95
Netherlands0.0140.4120.4680.3190.2560.7430.5121.00019.463.432
Romania0.0170.4360.5560.3570.6420.3580.7160.7503.581.197
Spain0.0100.5560.2450.1970.3430.6610.6860.37514.002.124
United Kingdom0.0190.6790.4520.3110.3610.6390.7221.00011.792.474
1 Source of information calculated by the authors using the models presented in Section 3.2.
Table 6. Input data and results of calculating the individual factors impact on the growth rate of natural gas consumption according to the countries for 2010–2018.
Table 6. Input data and results of calculating the individual factors impact on the growth rate of natural gas consumption according to the countries for 2010–2018.
CountriesModule of Growth Rate of Natural Gas Consumption in 2018 Compared to 2010, Unit FractionRelative Level of Natural Gas Consumption Reduction Potential, Unit FractionThe Actual Level of Use of Natural Gas Consumption Reduction Potential, Unit FractionThe Difference between the Modules of the Growth Rate of Natural Gas Consumption in a Given Country and in Austria, Unit Fraction
TotalIncluding Due to Change
The Relative Level of Gas Consumption Reduction PotentialThe Actual Level of Use of Gas Consumption Reduction Potential
Austria0.0940.1970.4760.0000.0000.000
Belgium0.1290.2220.5820.0350.0120.021
Czech Republic0.1490.2880.5180.0550.0430.008
Finland0.5120.5490.9330.4180.1680.090
France0.1390.2230.6230.0450.0120.029
Hungary0.1580.3210.4920.064 0.0590.003
Italy0.1250.1280.9750.031−0.0330.098
Netherlands0.2370.319 0.7430.1430.0580.053
Romania0.1280.3570.3580.034 0.076−0.023
Spain0.1300.1970.6610.0360.0000.036
United Kingdom0.1990.3110.6390.1050.0540.032
Table 7. Data on growth rates of natural gas efficiency and GDP growth rates for certain time periods according to the countries.
Table 7. Data on growth rates of natural gas efficiency and GDP growth rates for certain time periods according to the countries.
CountriesGrowth Rates of Indicators in 2018 Compared to 2010Growth Rates of Indicators in 2014 Compared to 2010Growth Rates of INDICATORS in 2018 Compared to 2014
Efficiency of Natural Gas Use, Unit FractionGDP, Unit FractionEfficiency of Natural Gas Use, Unit FractionGDP, Unit FractionEfficiency of Natural Gas Use, Unit FractionGDP, Unit Fraction
Austria0.0940.1970.4760.0000.0000.000
Belgium0.1290.2220.5820.0350.0150.024
Czech Republic0.1490.2880.5180.055 0.0470.012
Finland0.5120.5490.9330.418 0.3280.251
France0.1390.2230.6230.0450.0160.033
Hungary0.1580.3210.4920.0640.0610.005
Italy0.1250.1280.9750.031−0.0670.064
Netherlands0.2370.3190.7430.1430.0910.085
Romania0.1280.3570.3580.034 0.057−0.042
Spain0.1300.1970.6610.0360.0000.036
United Kingdom0.1990.311 0.6390.1050.0730.051
Table 8. The results of the regression analysis of the relationship between the growth rate of natural gas efficiency and the growth rate of GDP by country.
Table 8. The results of the regression analysis of the relationship between the growth rate of natural gas efficiency and the growth rate of GDP by country.
The Relationship between the Growth Rate of Natural Gas Use Efficiency (r1, %) and the Growth Rate of GDP by Countries (r2, %)Coefficients of the Quadratic Regression Equation
r 2 = β 0 + β 1 · r 1 + β 2 · r 1 2
R2F-Valuet-Value
β0β1β2tβ0tβ1tβ2
In 2018 compared to 201032.547−0.6360.0040.3454.2175.8062.7001.747
In 2014 compared to 201016.080−0.6950.0090.63013.6236.3504.4072.441
In 2018 compared to 201412.0920.079−0.0030.0200.1655.6250.3370.531
Publisher’s Note: MDPI stays neutral with regard to jurisdictional claims in published maps and institutional affiliations.

Share and Cite

MDPI and ACS Style

Yemelyanov, O.; Symak, A.; Petrushka, T.; Vovk, O.; Ivanytska, O.; Symak, D.; Havryliak, A.; Danylovych, T.; Lesyk, L. Criteria, Indicators, and Factors of the Sustainable Energy-Saving Economic Development: The Case of Natural Gas Consumption. Energies 2021, 14, 5999. https://doi.org/10.3390/en14185999

AMA Style

Yemelyanov O, Symak A, Petrushka T, Vovk O, Ivanytska O, Symak D, Havryliak A, Danylovych T, Lesyk L. Criteria, Indicators, and Factors of the Sustainable Energy-Saving Economic Development: The Case of Natural Gas Consumption. Energies. 2021; 14(18):5999. https://doi.org/10.3390/en14185999

Chicago/Turabian Style

Yemelyanov, Olexandr, Anastasiya Symak, Tetyana Petrushka, Olena Vovk, Oksana Ivanytska, Dmytro Symak, Anatolii Havryliak, Taras Danylovych, and Lilia Lesyk. 2021. "Criteria, Indicators, and Factors of the Sustainable Energy-Saving Economic Development: The Case of Natural Gas Consumption" Energies 14, no. 18: 5999. https://doi.org/10.3390/en14185999

APA Style

Yemelyanov, O., Symak, A., Petrushka, T., Vovk, O., Ivanytska, O., Symak, D., Havryliak, A., Danylovych, T., & Lesyk, L. (2021). Criteria, Indicators, and Factors of the Sustainable Energy-Saving Economic Development: The Case of Natural Gas Consumption. Energies, 14(18), 5999. https://doi.org/10.3390/en14185999

Note that from the first issue of 2016, this journal uses article numbers instead of page numbers. See further details here.

Article Metrics

Back to TopTop