Distributed Nonlinear Model Predictive Control for Connected Autonomous Electric Vehicles Platoon with Distance-Dependent Air Drag Formulation
Abstract
:1. Introduction
2. Math Preliminaries
3. E-Platoon Modelling and Control Objectives
3.1. Nonlinear Longitudinal EV Model
3.2. Battery Pack Model
3.3. Power-Based Energy Consumption Estimation Model
4. Design of Distributed Distance-Based Nonlinear Model Predictive Control
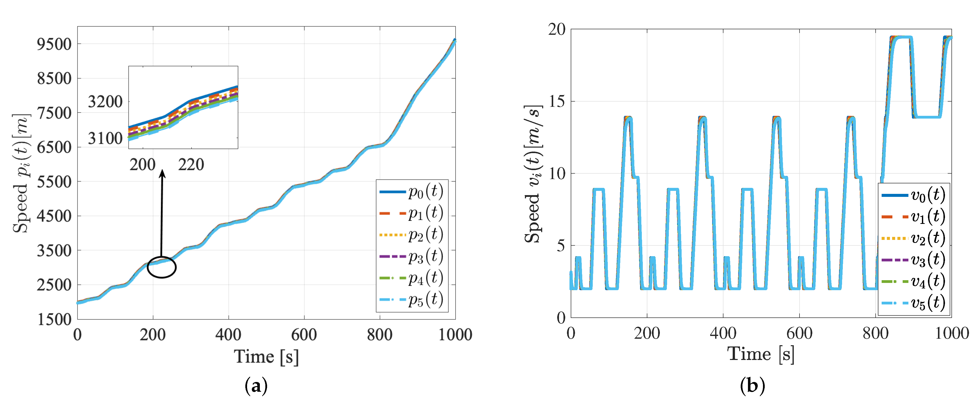
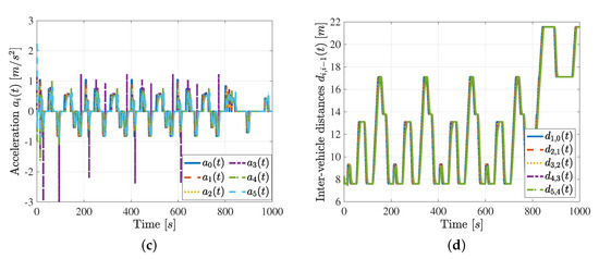
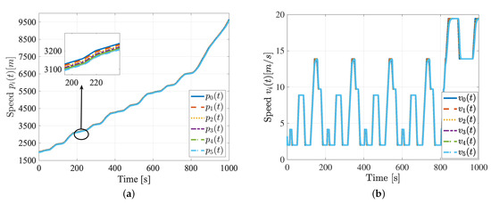
5. Case Study
DNMPC vs. Pure Diffusive Controller
6. Conclusions
Author Contributions
Funding
Institutional Review Board Statement
Informed Consent Statement
Conflicts of Interest
References
- Maia, R.; Silva, M.; Araújo, R.; Nunes, U. Electrical vehicle modeling: A fuzzy logic model for regenerative braking. Expert Syst. Appl. 2015, 42, 8504–8519. [Google Scholar] [CrossRef]
- Lekshmi, S.; Lal Priya, P.S. Mathematical modeling of Electric vehicles—A survey. Control Eng. Pract. 2019, 92, 104138. [Google Scholar]
- Zhang, T.; Pota, H.; Chu, C.C.; Gadh, R. Real-time renewable energy incentive system for electric vehicles using prioritization and cryptocurrency. Appl. Energy 2018, 226, 582–594. [Google Scholar] [CrossRef]
- Noel, L.; de Rubens, G.Z.; Kester, J.; Sovacool, B.K. Beyond emissions and economics: Rethinking the co-benefits of electric vehicles (EVs) and vehicle-to-grid (V2G). Transp. Policy 2018, 71, 130–137. [Google Scholar] [CrossRef]
- Ding, X.; Wang, Z.; Zhang, L. Hybrid Control-Based Acceleration Slip Regulation for Four-Wheel-Independently-Actuated Electric Vehicles. IEEE Trans. Transp. Electrif. 2020. [Google Scholar] [CrossRef]
- Zhang, L.; Wang, Y.; Wang, Z. Robust lateral motion control for in-wheel-motor-drive electric vehicles with network induced delays. IEEE Trans. Veh. Technol. 2019, 68, 10585–10593. [Google Scholar] [CrossRef]
- Zhang, L.; Wang, Z.; Ding, X.; Li, S.; Wang, Z. Fault-Tolerant Control for Intelligent Electrified Vehicles Against Front Wheel Steering Angle Sensor Faults During Trajectory Tracking. IEEE Access 2021, 9, 65174–65186. [Google Scholar] [CrossRef]
- Guo, J.; Wang, J.; Li, K.; Luo, Y. Adaptive non-linear coordinated optimal dynamic platoon control of connected autonomous distributed electric vehicles on curved roads. IET Intell. Transp. Syst. 2020, 14, 1626–1637. [Google Scholar] [CrossRef]
- He, X.; Wu, X. Eco-driving advisory strategies for a platoon of mixed gasoline and electric vehicles in a connected vehicle system. Transp. Res. Part D Transp. Environ. 2018, 63, 907–922. [Google Scholar] [CrossRef]
- Petrillo, A.; Pescape, A.; Santini, S. A secure adaptive control for cooperative driving of autonomous connected vehicles in the presence of heterogeneous communication delays and cyberattacks. IEEE Trans. Cybern. 2020, 51, 1134–1149. [Google Scholar] [CrossRef]
- Fiengo, G.; Lui, D.G.; Petrillo, A.; Santini, S.; Tufo, M. Distributed robust PID control for leader tracking in uncertain connected ground vehicles with V2V communication delay. IEEE/ASME Trans. Mechatron. 2019, 24, 1153–1165. [Google Scholar] [CrossRef]
- Lee, W.J.; Kwag, S.I.; Ko, Y.D. The optimal eco-friendly platoon formation strategy for a heterogeneous fleet of vehicles. Transp. Res. Part D Transp. Environ. 2021, 90, 102664. [Google Scholar] [CrossRef]
- Petrillo, A.; Salvi, A.; Santini, S.; Valente, A.S. Adaptive multi-agents synchronization for collaborative driving of autonomous vehicles with multiple communication delays. Transp. Res. Part C Emerg. Technol. 2018, 86, 372–392. [Google Scholar] [CrossRef]
- Gong, S.; Zhou, A.; Peeta, S. Cooperative adaptive cruise control for a platoon of connected and autonomous vehicles considering dynamic information flow topology. Transp. Res. Rec. 2019, 2673, 185–198. [Google Scholar] [CrossRef]
- Zhang, D.; Shen, Y.P.; Zhou, S.Q.; Dong, X.W.; Yu, L. Distributed secure platoon control of connected vehicles subject to DoS attack: Theory and application. IEEE Trans. Syst. Man Cybern. Syst. 2020. [Google Scholar] [CrossRef]
- Chen, J.; Liang, H.; Li, J.; Xu, Z. A novel distributed cooperative approach for mixed platoon consisting of connected and automated vehicles and human-driven vehicles. Phys. A Stat. Mech. Appl. 2021, 573, 125939. [Google Scholar] [CrossRef]
- Di Vaio, M.; Fiengo, G.; Petrillo, A.; Salvi, A.; Santini, S.; Tufo, M. Cooperative shock waves mitigation in mixed traffic flow environment. IEEE Trans. Intell. Transp. Syst. 2019, 20, 4339–4353. [Google Scholar] [CrossRef]
- Luo, Q.; Nguyen, A.T.; Fleming, J.; Zhang, H. Unknown Input Observer Based Approach for Distributed Tube-Based Model Predictive Control of Heterogeneous Vehicle Platoons. IEEE Trans. Veh. Technol. 2021, 70, 2930–2944. [Google Scholar] [CrossRef]
- Ma, F.; Yang, Y.; Wang, J.; Liu, Z.; Li, J.; Nie, J.; Shen, Y.; Wu, L. Predictive energy-saving optimization based on nonlinear model predictive control for cooperative connected vehicles platoon with V2V communication. Energy 2019, 189, 116120. [Google Scholar] [CrossRef]
- Xu, L.; Zhuang, W.; Yin, G.; Bian, C. Energy-oriented cruising strategy design of vehicle platoon considering communication delay and disturbance. Transp. Res. Part C Emerg. Technol. 2019, 107, 34–53. [Google Scholar] [CrossRef]
- Ma, F.; Yang, Y.; Wang, J.; Li, X.; Wu, G.; Zhao, Y.; Wu, L.; Aksun-Guvenc, B.; Guvenc, L. Eco-driving-based cooperative adaptive cruise control of connected vehicles platoon at signalized intersections. Transp. Res. Part D Transp. Environ. 2021, 92, 102746. [Google Scholar] [CrossRef]
- Bian, Y.; Zheng, Y.; Ren, W.; Li, S.E.; Wang, J.; Li, K. Reducing time headway for platooning of connected vehicles via V2V communication. Transp. Res. Part C Emerg. Technol. 2019, 102, 87–105. [Google Scholar] [CrossRef]
- Chen, J.; Liang, H.; Li, J.; Lv, Z. Connected Automated Vehicle Platoon Control With Input Saturation and Variable Time Headway Strategy. IEEE Trans. Intell. Transp. Syst. 2020, 22, 4929–4940. [Google Scholar] [CrossRef]
- Köroğlu, H.; Mirzaei, M.; Falcone, P.; Krajnović, S. Platoon Control Under a Novel Leader and Predecessor Following Scheme with the Use of an Advanced Aerodynamic Model. J. Dyn. Syst. Meas. Control 2018, 140, 041006. [Google Scholar] [CrossRef]
- Turri, V. Look-Ahead Control for Fuel-Efficient and Safe Heavy-Duty Vehicle Platooning. Ph.D. Thesis, KTH Royal Institute of Technology, Stockholm, Sweden, 2018. [Google Scholar]
- Wasserburger, A.; Schirrer, A.; Hametner, C. Stochastic Optimization for Energy-Efficient Cooperative Platooning. In Proceedings of the 2019 IEEE Vehicle Power and Propulsion Conference (VPPC), Hanoi, Vietnam, 14–17 October 2019; pp. 1–6. [Google Scholar]
- Tie, S.F.; Tan, C.W. A review of energy sources and energy management system in electric vehicles. Renew. Sustain. Energy Rev. 2013, 20, 82–102. [Google Scholar] [CrossRef]
- Yanakiev, D.; Kanellakopoulos, I. Nonlinear spacing policies for automated heavy-duty vehicles. IEEE Trans. Veh. Technol. 1998, 47, 1365–1377. [Google Scholar] [CrossRef]
- Lui, D.G.; Petrillo, A.; Santini, S. An optimal distributed PID-like control for the output containment and leader-following of heterogeneous high-order multi-agent systems. Inf. Sci. 2020, 541, 166–184. [Google Scholar] [CrossRef]
- De Tommasi, G.; Lui, D.G.; Petrillo, A.; Santini, S. AL 2-gain robust PID-like protocol for time-varying output formation-containment of multi-agent systems with external disturbance and communication delays. IET Control Theory Appl. 2021, 15, 1169–1184. [Google Scholar] [CrossRef]
- Coelingh, E.; Solyom, S. All aboard the robotic road train. IEEE Spectr. 2012, 49, 34–39. [Google Scholar] [CrossRef] [Green Version]
- Castiglione, L.M.; Falcone, P.; Petrillo, A.; Romano, S.P.; Santini, S. Cooperative intersection crossing over 5G. IEEE/ACM Trans. Netw. 2020, 29, 303–317. [Google Scholar] [CrossRef]
- Ryu, J.; Gerdes, J.C. Integrating inertial sensors with global positioning system (GPS) for vehicle dynamics control. J. Dyn. Sys. Meas. Control 2004, 126, 243–254. [Google Scholar] [CrossRef]
- Wu, Y.; Li, S.E.; Cortés, J.; Poolla, K. Distributed sliding mode control for nonlinear heterogeneous platoon systems with positive definite topologies. IEEE Trans. Control Syst. Technol. 2019, 28, 1272–1283. [Google Scholar] [CrossRef]
- Manfredi, S.; Petrillo, A.; Santini, S. Distributed PI Control For Heterogeneous Nonlinear Platoon of Autonomous Connected Vehicles. IFAC-PapersOnLine 2020, 53, 15229–15234. [Google Scholar] [CrossRef]
- Pariota, L.; Coppola, A.; Di Costanzo, L.; Di Vico, A.; Andolfi, A.; D’Aniello, C.; Bifulco, G.N. Integrating tools for an effective testing of connected and automated vehicles technologies. IET Intell. Transp. Syst. 2020, 14, 1025–1033. [Google Scholar] [CrossRef]
- Hucho, W.; Sovran, G. Aerodynamics of road vehicles. Annu. Rev. Fluid Mech. 1993, 25, 485–537. [Google Scholar] [CrossRef]
- Hussein, A.A.; Rakha, H.A. Vehicle platooning impact on drag coefficients and energy/fuel saving implications. arXiv 2020, arXiv:2001.00560. [Google Scholar]
- Zabat, M.; Stabile, N.; Farascaroli, S.; Browand, F. The Aerodynamic Performance of Platoons: A Final Report; California Department of Transportation PATH PROGRAM, University of California: Berkeley, CA, USA, 1995. [Google Scholar]
- Mirzaei, M.; Krajnović, S. Numerical Simulation of Two Vehicles at Short Distances in a Platoon. In Proceedings of the First International Conference in Numerical and Experimental Aerodynamics of Road Vehicles and Trains (Aerovehicles 1), Bordeaux, France, 23–25 June 2014; pp. 23–25. [Google Scholar]
- Fiori, C.; Ahn, K.; Rakha, H.A. Power-based electric vehicle energy consumption model: Model development and validation. Appl. Energy 2016, 168, 257–268. [Google Scholar] [CrossRef]
- Zheng, Y.; Li, S.E.; Li, K.; Borrelli, F.; Hedrick, J.K. Distributed model predictive control for heterogeneous vehicle platoons under unidirectional topologies. IEEE Trans. Control Syst. Technol. 2016, 25, 899–910. [Google Scholar] [CrossRef] [Green Version]
- Wu, C.; Xu, Z.; Liu, Y.; Fu, C.; Li, K.; Hu, M. Spacing policies for adaptive cruise control: A survey. IEEE Access 2020, 8, 50149–50162. [Google Scholar] [CrossRef]
- Cosimi, F.; Dini, P.; Giannetti, S.; Petrelli, M.; Saponara, S. Analysis and Design of a Non-linear MPC Algorithm for Vehicle Trajectory Tracking and Obstacle Avoidance. In Proceedings of the International Conference on Applications in Electronics Pervading Industry, Environment and Society, Virtual, 19–20 November 2020; pp. 229–234. [Google Scholar]
- Siampis, E.; Velenis, E.; Gariuolo, S.; Longo, S. A real-time nonlinear model predictive control strategy for stabilization of an electric vehicle at the limits of handling. IEEE Trans. Control Syst. Technol. 2017, 26, 1982–1994. [Google Scholar] [CrossRef]
- Jazar, R.N. Vehicle Dynamics: Theory and Application; Springer: Berlin/Heidelberg, Germany, 2017. [Google Scholar]
- Nowakowski, C.; O’Connell, J.; Shladover, S.E.; Cody, D. Cooperative adaptive cruise control: Driver acceptance of following gap settings less than one second. In Proceedings of the Human Factors and Ergonomics Society Annual Meeting, San Francisco, CA, USA, 27 September–1 October 2010; SAGE Publications: Los Angeles, CA, USA, 2010; Volume 54, pp. 2033–2037. [Google Scholar]
- Li, K.; Gao, F.; Li, S.E.; Zheng, Y.; Gao, H. Robust cooperation of connected vehicle systems with eigenvalue-bounded interaction topologies in the presence of uncertain dynamics. Front. Mech. Eng. 2018, 13, 354–367. [Google Scholar] [CrossRef]
- Alhajeri, M.; Soroush, M. Tuning guidelines for model-predictive control. Ind. Eng. Chem. Res. 2020, 59, 4177–4191. [Google Scholar] [CrossRef]
- Ali, E. Heuristic on-line tuning for nonlinear model predictive controllers using fuzzy logic. J. Process Control 2003, 13, 383–396. [Google Scholar] [CrossRef]
- Burk, D.; Völz, A.; Graichen, K. A modular framework for distributed model predictive control of nonlinear continuous-time systems (GRAMPC-D). Optim. Eng. 2021, 1–25. [Google Scholar] [CrossRef]
- Bernardeschi, C.; Dini, P.; Domenici, A.; Palmieri, M.; Saponara, S. Formal Verification and Co-Simulation in the Design of a Synchronous Motor Control Algorithm. Energies 2020, 13, 4057. [Google Scholar] [CrossRef]
- Chen, W.; Jacobson, B.J.; Ran, S. Design of interface in co-simulation for electric power assisted steering system development. In Proceedings of the 14th International Symposium on Advanced Vehicle Control, Beijing, China, 16–20 July 2018. [Google Scholar]
- De Souza, E.; Ardakanian, O.; Nikolaidis, I. A Co-simulation Platform for Evaluating Cyber Security and Control Applications in the Smart Grid. In Proceedings of the ICC 2020-2020 IEEE International Conference on Communications (ICC), Dublin, Ireland, 7–11 June 2020; pp. 1–7. [Google Scholar]
- Di Vaio, M.; Falcone, P.; Hult, R.; Petrillo, A.; Salvi, A.; Santini, S. Design and experimental validation of a distributed interaction protocol for connected autonomous vehicles at a road intersection. IEEE Trans. Veh. Technol. 2019, 68, 9451–9465. [Google Scholar] [CrossRef]








| Vehicle ID | (kg) | (m) | (m) | (m/s) | (m/s) | (Ah) | ||||
|---|---|---|---|---|---|---|---|---|---|---|
| 0 | 1545 | 0.89 | 0.3060 | 0.28 | 2.3315 | 2.5 | −6.0 | 65 | 96 | 0.97 |
| 1 | 1015 | 0.89 | 0.2830 | 0.30 | 2.1900 | 2.5 | −6.0 | 65 | 96 | 0.97 |
| 2 | 1375 | 0.89 | 0.2880 | 0.24 | 2.4000 | 2.5 | −6.0 | 65 | 96 | 0.97 |
| 3 | 1430 | 0.89 | 0.3284 | 0.28 | 2.4600 | 2.5 | −6.0 | 65 | 96 | 0.97 |
| 4 | 1067 | 0.89 | 0.2653 | 0.29 | 2.1400 | 2.5 | −6.0 | 65 | 96 | 0.97 |
| 5 | 1155 | 0.89 | 0.2880 | 0.33 | 2.0400 | 2.5 | −6.0 | 65 | 96 | 0.97 |
| Configuration | Vehicle 1 | Vehicle 2 | Vehicle 3 | Vehicle 4 | Vehicle 5 | Mean |
|---|---|---|---|---|---|---|
| Energy-oriented strategy | −2.1220 | −2.1971 | −2.2549 | −2.2686 | −2.2150 | −2.2115 |
| Configuration | Vehicle 1 | Vehicle 2 | Vehicle 3 | Vehicle 4 | Vehicle 5 | Mean |
|---|---|---|---|---|---|---|
| Energy-oriented strategy | −3.6553 | −3.3454 | −3.0981 | −2.8665 | −2.6365 | −3.1204 |
Publisher’s Note: MDPI stays neutral with regard to jurisdictional claims in published maps and institutional affiliations. |
© 2021 by the authors. Licensee MDPI, Basel, Switzerland. This article is an open access article distributed under the terms and conditions of the Creative Commons Attribution (CC BY) license (https://creativecommons.org/licenses/by/4.0/).
Share and Cite
Caiazzo, B.; Coppola, A.; Petrillo, A.; Santini, S. Distributed Nonlinear Model Predictive Control for Connected Autonomous Electric Vehicles Platoon with Distance-Dependent Air Drag Formulation. Energies 2021, 14, 5122. https://doi.org/10.3390/en14165122
Caiazzo B, Coppola A, Petrillo A, Santini S. Distributed Nonlinear Model Predictive Control for Connected Autonomous Electric Vehicles Platoon with Distance-Dependent Air Drag Formulation. Energies. 2021; 14(16):5122. https://doi.org/10.3390/en14165122
Chicago/Turabian StyleCaiazzo, Bianca, Angelo Coppola, Alberto Petrillo, and Stefania Santini. 2021. "Distributed Nonlinear Model Predictive Control for Connected Autonomous Electric Vehicles Platoon with Distance-Dependent Air Drag Formulation" Energies 14, no. 16: 5122. https://doi.org/10.3390/en14165122
APA StyleCaiazzo, B., Coppola, A., Petrillo, A., & Santini, S. (2021). Distributed Nonlinear Model Predictive Control for Connected Autonomous Electric Vehicles Platoon with Distance-Dependent Air Drag Formulation. Energies, 14(16), 5122. https://doi.org/10.3390/en14165122

