Combined ANFIS–Wavelet Technique to Improve the Estimation Accuracy of the Power Output of Neighboring PV Systems during Cloud Events
Abstract
1. Introduction
2. Variability and Correlation Coefficient
3. Proposed Technique
- PV system properties data: The developed model considers the PV areas (), which is divided into 6 sub-areas with specific power capacity () for each area (, , , , , ). In which represents the entire PV plant area while and are used to calculate the power density per unit area (). This division facilitates the application of the proposed model on various PV plants of different areas and capacities. The division is selected based on various parameters, such as the number of PV systems, their capacities and the area layout in which the PV systems are spread. The aim of this division is to improve the model’s accuracy in estimating the generated power by each small area. The value of can be calculated using the method described in [7,24,34].
- PV sensor data: This includes , that can be directly collected from the pyranometer sensor installed in the PV system site.
- data: obtained using wavelet timescales (modes) analysis.
4. Performance Evaluation of the Proposed Technique
4.1. Simulation Results
4.2. Discussion
4.3. Sensitivity Analysis
5. Conclusions
Author Contributions
Funding
Conflicts of Interest
Nomenclature
| humidity | |
| Incident direct irradiances on PV array (clear sky) | |
| Incident ground-reflected diffuse irradiances (clear sky) | |
| Incident sky diffuse irradiances (clear sky) | |
| wavelet periodogram | |
| Plane of the array irradiance | |
| Model-level | |
| Inverse DWT mode (level) | |
| Shift factor | |
| Time sample | |
| Number of the PV sites | |
| Number of PV modules | |
| Entire PV plant | |
| PVs plant power capacity | |
| Pyranometer power equivalent to module power | |
| Average output power of the overall PV plant | |
| Clear sky power model | |
| Normalized | |
| Normalized | |
| Could be or | |
| Wavelet high-frequency levels for | |
| Wavelet low-frequency levels for | |
| Wavelet high-frequency levels for | |
| Wavelet low-frequency levels for | |
| DWT-ANFIS high-frequency levels | |
| DWT-ANFIS low-frequency levels | |
| Estimation of equivalent normalized output power (entire PVs) | |
| Equivalent output power seen by the entire PV plant | |
| Timescale | |
| Ambient temperature | |
| Length of the time-series signal | |
| can be Hoff, Perez, Lave or ACM correlation model | |
| cloud speed | |
| Variability reduction index | |
| Variability power index | |
| for the pyranometer (or individual PV system) | |
| for the overall PV plant | |
| Mounting coefficient | |
| Mother wavelet | |
| Correlation coefficient |
References
- Emmanuel, M.; Rayudu, R.; Welch, I. Modelling impacts of utility-scale photovoltaic systems variability using the wavelet variability model for smart grid operations. Sustain. Energy Technol. Assess. 2019, 31, 292–305. [Google Scholar] [CrossRef]
- The Clean Energy Council. Clean Energy Australia Report; The Clean Energy Council: Sydney, SY, Australia, 2019. [Google Scholar]
- Blakers, A.; Stocks, M.; Lu, B. Australia: The Renewable Energy Superstar; Australian National University: Canberra, Australia, 2019. [Google Scholar]
- Gari da Silva Fonseca Junior, J.; Nishitsuji, Y.; Udagawa, Y.; Urabe, C.T.; Saito, T.; Uno, F.; Ohtake, H.; Oozeki, T.; Ogimoto, K. Regional photovoltaic power fluctuations within frequency regulation control time frames: A study with high-resolution data. Prog. Photovolt. Res. Appl. 2018, 26, 402–413. [Google Scholar]
- Hirooka, D.; Murata, N.; Fujimoto, Y.; Hayashi, Y. Temporal Interpolation of Gridded Solar Radiation Data for Evaluation of PV Fluctuations. Energy Procedia 2018, 155, 259–268. [Google Scholar] [CrossRef]
- Júnior, C.F.M.; Waenga, A.F.C.; Pinto, D.A.F. Effects of the Photovoltaic Distributed Generation on Electricity Distribution System Voltage-Updated Review. Braz. Arch. Biol. Technol. 2018, 61. [Google Scholar] [CrossRef]
- Al-Hilfi, H.; Shahnia, F.; Abu-Siada, A. An Improved Technique to Estimate the Total Generated Power by Neighboring Photovoltaic Systems Using Single-point Irradiance Measurement and Correlational Models. IEEE Trans. Ind. Inform. 2019, 16, 3905–3917. [Google Scholar] [CrossRef]
- Al-Hilfi, H.A.; Shahnia, F.; Abu-Siada, A. Comparison of different correlational techniques in estimating the total generated power of neighboring photovoltaic systems. In Proceedings of the 2016 Australasian Universities Power Engineering Conference (AUPEC), Brisbane, QLD, Australia, 25–28 September 2016; pp. 1–6. [Google Scholar]
- Rodríguez-Benítez, F.J.; Arbizu-Barrena, C.; Santos-Alamillos, F.J.; Tovar-Pescador, J.; Pozo-Vázquez, D. Analysis of the intra-day solar resource variability in the Iberian Peninsula. Sol. Energy 2018, 171, 374–387. [Google Scholar] [CrossRef]
- Lohmann, G.M.; Monahan, A.H. Effects of temporal averaging on short-term irradiance variability under mixed sky conditions. Atmos. Meas. Tech. 2018, 11, 3131–3144. [Google Scholar] [CrossRef]
- Lohmann, G.M.; Monahan, A.H.; Heinemann, D. Local short-term variability in solar irradiance. Atmos. Chem. Phys. 2016, 16, 6365–6379. [Google Scholar] [CrossRef]
- Rowlands, I.H.; Kemery, B.P.; Beausoleil-Morrison, I. Managing solar-PV variability with geographical dispersion: An Ontario (Canada) case-study. Renew. Energy 2014, 68, 171–180. [Google Scholar] [CrossRef]
- Palmer, D.; Koubli, E.; Cole, I.; Betts, T.; Gottschalg, R. Comparison of solar radiation and PV generation variability: System dispersion in the UK. IET Renew. Power Gener. 2017, 11, 550–557. [Google Scholar] [CrossRef]
- Lauret, P.; Perez, R.; Aguiar, L.M.; Tapachès, E.; Diagne, H.M.; David, M. Characterization of the intraday variability regime of solar irradiation of climatically distinct locations. Sol. Energy 2016, 125, 99–110. [Google Scholar] [CrossRef]
- Lave, M.; Broderick, R.J.; Reno, M.J. Solar variability zones: Satellite-derived zones that represent high-frequency ground variability. Sol. Energy 2017, 151, 119–128. [Google Scholar] [CrossRef]
- Gagné, A.; Turcotte, D.; Goswamy, N.; Poissant, Y. High resolution characterisation of solar variability for two sites in Eastern Canada. Sol. Energy 2016, 137, 46–54. [Google Scholar] [CrossRef]
- Lave, M.; Reno, M.J.; Broderick, R.J. Characterizing local high-frequency solar variability and its impact to distribution studies. Sol. Energy 2015, 118, 327–337. [Google Scholar] [CrossRef]
- Madanchi, A.; Absalan, M.; Lohmann, G.; Anvari, M.; Tabar, M.R.R. Strong short-term non-linearity of solar irradiance fluctuations. Sol. Energy 2017, 144, 1–9. [Google Scholar] [CrossRef]
- Klima, K.; Apt, J. Geographic smoothing of solar PV: Results from Gujarat. Environ. Res. Lett. 2015, 10, 104001. [Google Scholar] [CrossRef]
- Tang, Y.; Cheng, J.W.; Duan, Q.; Lee, C.W.; Zhong, J. Evaluating the variability of photovoltaics: A new stochastic method to generate site-specific synthetic solar data and applications to system studies. Renew. Energy 2019, 133, 1099–1107. [Google Scholar] [CrossRef]
- Madhavan, B.L.; Deneke, H.; Witthuhn, J.; Macke, A. Multiresolution analysis of the spatiotemporal variability in global radiation observed by a dense network of 99 pyranometers. Atmos. Chem. Phys. 2017, 17, 3317–3338. [Google Scholar] [CrossRef]
- Emmanuel, M.; Rayudu, R.; Welch, I. Impacts of power factor control schemes in time series power flow analysis for centralized PV plants using wavelet variability model. IEEE Trans. Ind. Inform. 2017, 13, 3185–3194. [Google Scholar] [CrossRef]
- Lave, M.; Kleissl, J.; Stein, J.S. A wavelet-based variability model (WVM) for solar PV power plants. IEEE Trans. Sustain. Energy 2012, 4, 501–509. [Google Scholar] [CrossRef]
- Al-Hilfi, H.A.; Shahnia, F.; Abu-Siada, A. Enhancing the estimation of the overall produced power by several adjacent photovoltaic systems using existing correlational factors. In Proceedings of the 2018 IEEE 27th International Symposium on Industrial Electronics (ISIE), Cairns, QLD, Australia, 13–15 June 2018; pp. 43–47. [Google Scholar]
- O’Rourke, N.; Hatcher, L. A Step-by-Step Approach to Using SAS for Factor Analysis and Structural Equation Modeling; Sas Institute: Cary, NC, USA, 2013. [Google Scholar]
- Hoff, T.E.; Perez, R. Modeling PV fleet output variability. Sol. Energy 2012, 86, 2177–2189. [Google Scholar] [CrossRef]
- Perez, R. Wind Field and Solar Radiation Characterization and Forecasting: A Numerical Approach for Complex Terrain; Springer: Berlin, Germany, 2018. [Google Scholar]
- Arias-Castro, E.; Kleissl, J.; Lave, M. A Poisson model for anisotropic solar ramp rate correlations. Sol. Energy 2014, 101, 192–202. [Google Scholar] [CrossRef]
- Hasanain, F.S.; Al-Hilfi, A.H.; Abu-Siada, A. Employing a Gene Expression-Based Technique to Improve the Accuracy of Estimating the Total Generated Power by Neighboring Photovoltaic Systems. In Proceedings of the ICPES 2019 Conference Perth, Perth, Australia, 10–12 December 2019. [Google Scholar]
- Solgi, A.; Nourani, V.; Pourhaghi, A. Forecasting daily precipitation using hybrid model of wavelet-artificial neural network and comparison with adaptive neurofuzzy inference system (case study: Verayneh station, Nahavand). Adv. Civ. Eng. 2014, 2014, 279368. [Google Scholar] [CrossRef]
- Alizdeh, M.J.; Joneyd, P.M.; Motahhari, M.; Ejlali, F.; Kiani, H. A wavelet-ANFIS model to estimate sedimentation in dam reservoir. Int. J. Comput. Appl. 2015, 114, 19–25. [Google Scholar]
- Fuzzy Logic Toolbox User’s Guide; The Mathworks Inc.: Massachusetts, MA, USA, 2018.
- Abdulshahed, A.M.; Longstaff, A.P.; Fletcher, S. The application of ANFIS prediction models for thermal error compensation on CNC machine tools. Appl. Soft Comput. 2015, 27, 158–168. [Google Scholar] [CrossRef]
- Lave, M.; Kleissl, J. Cloud speed impact on solar variability scaling–Application to the wavelet variability model. Sol. Energy 2013, 91, 11–21. [Google Scholar] [CrossRef]
- CAMS McClear, Website. Retrieved 2018. Available online: http://www.soda-pro.com/web-services/radiation/cams-mcclear (accessed on 23 September 2018).
- Seo, Y.; Kim, S.; Kisi, O.; Singh, V.P. Daily water level forecasting using wavelet decomposition and artificial intelligence techniques. J. Hydrol. 2015, 520, 224–243. [Google Scholar] [CrossRef]
- Lave, M.; Kleissl, J.; Arias-Castro, E. High-frequency irradiance fluctuations and geographic smoothing. Sol. Energy 2012, 86, 2190–2199. [Google Scholar] [CrossRef]
- UQ Solar Photovoltaic Data. Website of the University of Queensland. Reterived 2018. Available online: http://solar.uq.edu.au/user/reportpower.php (accessed on 1 September 2018).
- Moghaddasi, H.; Mahmoudi, I.; Sajadi, S. Comparing the Efficiency of Artificial Neural Network and Gene Expression Programming in Predicting Coronary Artery Disease. J. Health Med. Informat. 2017, 8. [Google Scholar] [CrossRef]
- Sadrossadat, E.; Ghorbani, B.; Oskooei, R.; Kaboutari, M. Use of adaptive neuro-fuzzy inference system and gene expression programming methods for estimation of the bearing capacity of rock foundations. Eng. Comput. 2018, 35, 2078–2106. [Google Scholar] [CrossRef]
- Wang, T.; Dyer, J.S.; Hahn, W.J. Sensitivity analysis of decision making under dependent uncertainties using copulas. EURO J. Decis. Process. 2017, 5, 117–139. [Google Scholar] [CrossRef]









| Reference | Investigated System | Method | Findings |
|---|---|---|---|
| [9] | 4 PV systems, Spain and Portugal with 200 to 500 km2 and 1 and 5 min resolution. | Standard deviation, Hierarchical clustering method. | Classified the variability into low pressure, transient, local and high-pressure modes |
| [10] | 24 PV systems, Canada, Germany and USA with 0.1–1 s resolution | Standard deviation | 1-s resolution is a marking point. Less resolution is difficult to manage and control |
| [11] | 99 PV systems, UK, 10 km distance and 1-s resolution | Average data and standard deviation | Distinguished three cases, clear, overcast and partly cloudy sky conditions. |
| [12] | 16 PV systems Canada, few meters, 1500 km distance 1-h resolution | Correlation model, standard deviation and energy simulation program. | Increasing the area mitigates the power output variability. |
| [13] | 89 PV systems, UK, 2 to 50 km distance 1-h resolution. | Standard deviation to calculate the variability | Aggregated PV systems can mitigate the variability |
| [14] | 20 PV systems in the USA, with 1-h time resolution. | Standard deviation and probability density function. | Model to calculate the variability using a clear-sky index. |
| [15] | 9 PV systems, USA, 100 km2 area, 1–30-s and 1-h resolution. | variability score and cumulative distribution function | New model to calculate the high frequencies of power variability |
| [16] | 2 PV systems, Canada, with 41 sensors, distance of 400 km and 10-ms data time resolution. | Employed variability score and variability index. | Classified daily irradiance into 4 classes: clear, overcast, low and high frequencies solar variability. |
| [17] | 10 PV systems in USA, with hundreds of km distance and 30-s time resolution | Variability score method | Variability score is a useful estimation metric. However, it is a poor predictor for PV tracking systems. |
| [18] | 20 PV systems in Hawaii, 1 PV system in Spain, 1 PV system in Algeria, 1 PV system in Germany. | Correlation and the multifractal detrended fluctuation analysis. The study focused on temporal variability. | Variability is not stationary in which it was the highest in Hawaii and the lowest in Algeria. |
| [19] | 50 PV systems, India, 400 km distance, 1-min resolution. | Fourier transform analysis and correlation coefficient. | Good smoothing in short-time events. Improvement for more added PV systems. |
| [1,20] | 3 PV systems, Hong Kong, 14 to 18km distance and 1-min resolution. | Using system advisor model | An improved model to generate spatial synthetic PV data |
| [21] | 99 PV systems, Germany, 10 to 12 km distance, 1-s. resolution. | Discrete wavelet transform model | Distinguished three conditions, clear, partly cloudy and overcast. |
| [22] | One PV plant, USA, 60 km. 1-s resolution | Discrete wavelet technique | Variability is higher at the end of the feeder. |
| [23] | 550 PV systems, Japan and Nevada, 1–6 km2 respectively, 1-s resolution. | Discrete wavelet transform model and variability reduction index. | Estimation of the power output with errors of 8% to 20%. |
| Input Parameters | Output | ANFIS Models after Training | |
|---|---|---|---|
| (could be for , , , , or ), , | |||
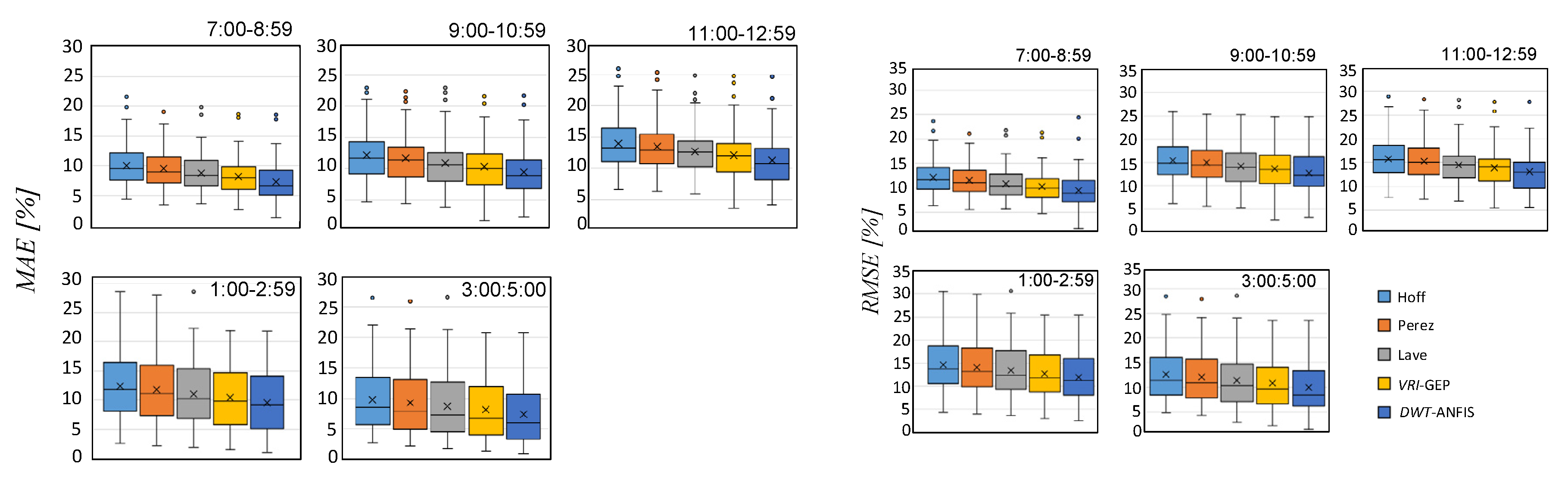
| Models | 7:00–8:59 a.m. | 9:00–10:59 a.m. | 11:00–12:59 p.m. | 1:00–2:59 p.m. | 3:00–5:00 p.m. | |||||
|---|---|---|---|---|---|---|---|---|---|---|
| MAE | RMES | MAE | RMES | MAE | RMES | MAE | RMES | MAE | RMES | |
| Hoff | 10.05 | 12.11 | 12.18 | 15.48 | 13.96 | 15.75 | 12.32 | 14.62 | 9.78 | 12.58 |
| Perez | 9.5 | 15.80 | 11.64 | 14.94 | 13.43 | 15.22 | 11.76 | 14.08 | 9.26 | 12.04 |
| Lave | 8.8 | 10.86 | 10.92 | 14.23 | 12.71 | 14.50 | 11.04 | 13.36 | 8.72 | 11.40 |
| VRI-GEP | 8.18 | 10.24 | 10.31 | 13.61 | 12.10 | 13.88 | 10.43 | 12.75 | 8.12 | 10.78 |
| DWT-ANFIS | 7.34 | 9.52 | 9.47 | 12.77 | 11.25 | 13.04 | 9.56 | 11.91 | 7.35 | 10.01 |
| Minimum improvement (%) | 11.44 | 7.641 | 8.87 | 6.58 | 7.46 | 6.44 | 9.03 | 7.05 | 10.41 | 7.84 |
| Maximum improvemen (%) | 36.89 | 27.26 | 28.6 | 21.20 | 24.06 | 20.76 | 28.81 | 22.74 | 33.07 | 25.83 |
| Parameters | Minimum | Maximum |
|---|---|---|
| 1 | 0 | |
| 10 | 95 | |
| 1 | 13 | |
| 8 | 36 | |
| 3 | 8 |
© 2020 by the authors. Licensee MDPI, Basel, Switzerland. This article is an open access article distributed under the terms and conditions of the Creative Commons Attribution (CC BY) license (http://creativecommons.org/licenses/by/4.0/).
Share and Cite
Al-Hilfi, H.A.H.; Abu-Siada, A.; Shahnia, F. Combined ANFIS–Wavelet Technique to Improve the Estimation Accuracy of the Power Output of Neighboring PV Systems during Cloud Events. Energies 2020, 13, 1613. https://doi.org/10.3390/en13071613
Al-Hilfi HAH, Abu-Siada A, Shahnia F. Combined ANFIS–Wavelet Technique to Improve the Estimation Accuracy of the Power Output of Neighboring PV Systems during Cloud Events. Energies. 2020; 13(7):1613. https://doi.org/10.3390/en13071613
Chicago/Turabian StyleAl-Hilfi, Hasanain A. H., Ahmed Abu-Siada, and Farhad Shahnia. 2020. "Combined ANFIS–Wavelet Technique to Improve the Estimation Accuracy of the Power Output of Neighboring PV Systems during Cloud Events" Energies 13, no. 7: 1613. https://doi.org/10.3390/en13071613
APA StyleAl-Hilfi, H. A. H., Abu-Siada, A., & Shahnia, F. (2020). Combined ANFIS–Wavelet Technique to Improve the Estimation Accuracy of the Power Output of Neighboring PV Systems during Cloud Events. Energies, 13(7), 1613. https://doi.org/10.3390/en13071613

