Upfront Chemotherapy Followed by Stereotactic Body Radiation Therapy with or without Surgery in Older Patients with Localized Pancreatic Cancer: A Single Institution Experience and Review of the Literature
Abstract
:1. Introduction
2. Materials and Methods
2.1. Study Design
2.2. Definition of Clinical Outcomes
2.3. General Treatment Paradigm
2.4. SBRT Treatment Details
2.5. Statistical Analysis
3. Results
3.1. Patient, Disease, and Treatment Characteristics
3.2. Practice Patterns
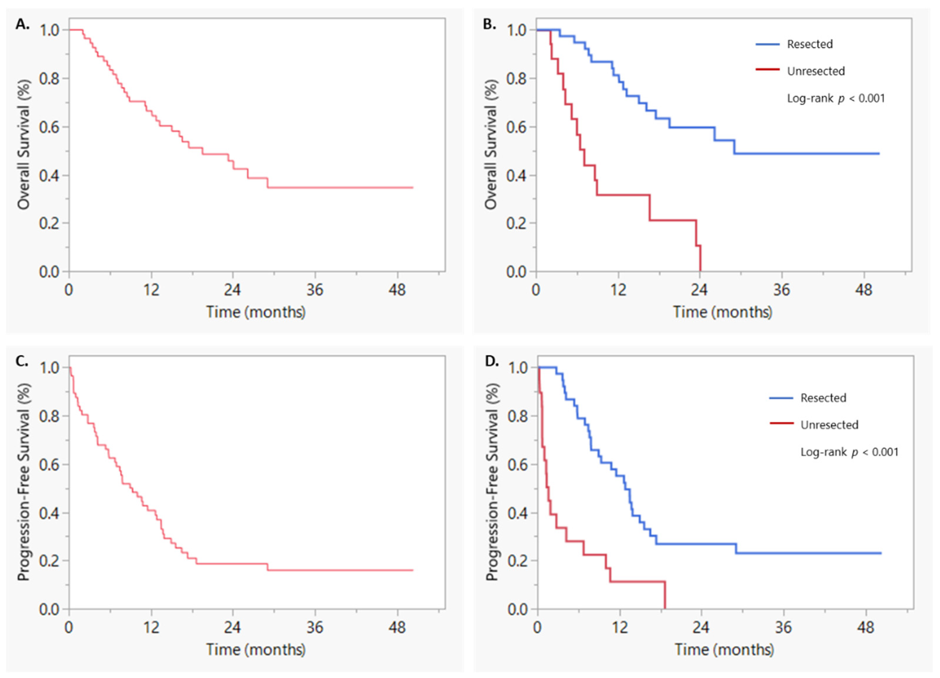
3.3. Clinical Outcomes
3.4. Toxicity
4. Discussion
5. Conclusions
Supplementary Materials
Author Contributions
Funding
Institutional Review Board Statement
Informed Consent Statement
Data Availability Statement
Conflicts of Interest
References
- Siegel, R.L.; Miller, K.D.; Fuchs, H.E.; Jemal, A. Cancer Statistics, 2021. CA Cancer J. Clin. 2021, 71, 7–33. [Google Scholar] [CrossRef]
- Rahib, L.; Wehner, M.R.; Matrisian, L.M.; Nead, K.T. Estimated Projection of US Cancer Incidence and Death to 2040. JAMA Netw Open 2021, 4, e214708. [Google Scholar] [CrossRef]
- National Comprehensive Cancer Network. Pancreatic Adenocarcinoma. Version 2.2021. Available online: https://www.nccn.org/professionals/physician_gls/pdf/pancreatic_blocks.pdf (accessed on 11 March 2021).
- Rawla, P.; Sunkara, T.; Gaduputi, V. Epidemiology of Pancreatic Cancer: Global Trends, Etiology and Risk Factors. World J. Oncol. 2019, 10, 10–27. [Google Scholar] [CrossRef]
- National Cancer Institute. SEER Cancer Statistics Review, 1975–2018; National Cancer Institute: Bethesda, MD, USA, 2008. Available online: https://seer.cancer.gov/csr/1975_2018/results_merged/sect_01_overview.pdf (accessed on 4 November 2021).
- Pratt, W.B.; Gangavati, A.; Agarwal, K.; Schreiber, R.; Lipsitz, L.A.; Callery, M.P.; Vollmer, C.M. Establishing Standards of Quality for Elderly Patients Undergoing Pancreatic Resection. Arch. Surg. 2009, 144, 950–956. [Google Scholar] [CrossRef] [Green Version]
- Talarico, L.; Chen, G.; Pazdur, R. Enrollment of Elderly Patients in Clinical Trials for Cancer Drug Registration: A 7-Year Experience by the US Food and Drug Administration. J. Clin. Oncol. 2004, 22, 4626–4631. [Google Scholar] [CrossRef] [PubMed]
- Sedrak, M.S.; Freedman, R.A.; Cohen, H.J.; Muss, H.B.; Jatoi, A.; Klepin, H.D.; Wildes, T.M.; Le-Rademacher, J.G.; Kimmick, G.G.; Tew, W.P.; et al. Older Adult Participation in Cancer Clinical Trials: A Systematic Review of Barriers and Interventions. CA Cancer J. Clin. 2021, 71, 78–92. [Google Scholar] [CrossRef] [PubMed]
- Higuera, O.; Ghanem, I.; Nasimi, R.; Prieto, I.; Koren, L.; Feliu, J. Management of Pancreatic Cancer in the Elderly. World J. Gastroenterol. 2016, 22, 764–775. [Google Scholar] [CrossRef]
- Dindo, D.; Demartines, N.; Clavien, P.-A. Classification of Surgical Complications: A New Proposal with Evaluation in a Cohort of 6336 Patients and Results of a Survey. Ann. Surg. 2004, 240, 205–213. [Google Scholar] [CrossRef] [PubMed]
- Bouchardy, C.; Rapiti, E.; Blagojevic, S.; Vlastos, A.-T.; Vlastos, G. Older Female Cancer Patients: Importance, Causes, and Consequences of Undertreatment. J. Clin. Oncol. 2007, 25, 1858–1869. [Google Scholar] [CrossRef]
- Quaglia, A.; Tavilla, A.; Shack, L.; Brenner, H.; Janssen-Heijnen, M.; Allemani, C.; Colonna, M.; Grande, E.; Grosclaude, P.; Vercelli, M.; et al. The Cancer Survival Gap between Elderly and Middle-Aged Patients in Europe Is Widening. Eur. J. Cancer 2009, 45, 1006–1016. [Google Scholar] [CrossRef]
- Krzyzanowska, M.K.; Weeks, J.C.; Earle, C.C. Treatment of Locally Advanced Pancreatic Cancer in the Real World: Population-Based Practices and Effectiveness. J. Clin. Oncol. 2003, 21, 3409–3414. [Google Scholar] [CrossRef]
- Kim, C.H.; Ling, D.C.; Wegner, R.E.; Flickinger, J.C.; Heron, D.E.; Zeh, H.; Moser, A.J.; Burton, S.A. Stereotactic Body Radiotherapy in the Treatment of Pancreatic Adenocarcinoma in Elderly Patients. Radiat. Oncol. 2013, 8, 240. [Google Scholar] [CrossRef] [Green Version]
- Yechieli, R.L.; Robbins, J.R.; Mahan, M.; Siddiqui, F.; Ajlouni, M. Stereotactic Body Radiotherapy for Elderly Patients with Medically Inoperable Pancreatic Cancer. Am. J. Clin. Oncol. 2017, 40, 22–26. [Google Scholar] [CrossRef]
- Zhu, X.; Li, F.; Ju, X.; Cao, F.; Cao, Y.; Fang, F.; Qing, S.; Shen, Y.; Jia, Z.; Zhang, H. Prognostic Role of Stereotactic Body Radiation Therapy for Elderly Patients with Advanced and Medically Inoperable Pancreatic Cancer. Cancer Med. 2017, 6, 2263–2270. [Google Scholar] [CrossRef] [PubMed] [Green Version]
- Ryan, J.F.; Rosati, L.M.; Groot, V.P.; Le, D.T.; Zheng, L.; Laheru, D.A.; Shin, E.J.; Jackson, J.; Moore, J.; Narang, A.K.; et al. Stereotactic Body Radiation Therapy for Palliative Management of Pancreatic Adenocarcinoma in Elderly and Medically Inoperable Patients. Oncotarget 2018, 9, 16427–16436. [Google Scholar] [CrossRef] [PubMed] [Green Version]
- Sutera, P.A.; Bernard, M.E.; Wang, H.; Heron, D.E. Prognostic Factors for Elderly Patients Treated With Stereotactic Body Radiation Therapy for Pancreatic Adenocarcinoma. Front Oncol. 2018, 8, 282. [Google Scholar] [CrossRef] [PubMed] [Green Version]
- Nagrial, A.M.; Chang, D.K.; Nguyen, N.Q.; Johns, A.L.; Chantrill, L.A.; Humphris, J.L.; Chin, V.T.; Samra, J.S.; Gill, A.J.; Pajic, M.; et al. Adjuvant Chemotherapy in Elderly Patients with Pancreatic Cancer. Br. J. Cancer 2014, 110, 313–319. [Google Scholar] [CrossRef] [Green Version]
- Sohn, T.A.; Yeo, C.J.; Cameron, J.L.; Lillemoe, K.D.; Talamini, M.A.; Hruban, R.H.; Sauter, P.K.; Coleman, J.; Ord, S.E.; Grochow, L.B.; et al. Should Pancreaticoduodenectomy Be Performed in Octogenarians? J. Gastrointest. Surg. 1998, 2, 207–216. [Google Scholar] [CrossRef]
- Meguid, R.A.; Ahuja, N.; Chang, D.C. What Constitutes a “High-Volume” Hospital for Pancreatic Resection? J. Am. Coll. Surg. 2008, 206, 622.e1–622.e9. [Google Scholar] [CrossRef]
- Blair, A.B.; Rosati, L.M.; Rezaee, N.; Gemenetzis, G.; Zheng, L.; Hruban, R.H.; Cameron, J.L.; Weiss, M.J.; Wolfgang, C.L.; Herman, J.M.; et al. Postoperative Complications after Resection of Borderline Resectable and Locally Advanced Pancreatic Cancer: The Impact of Neoadjuvant Chemotherapy with Conventional Radiation or Stereotactic Body Radiation Therapy. Surgery 2018, 163, 1090–1096. [Google Scholar] [CrossRef]
- Gemenetzis, G.; Groot, V.P.; Blair, A.B.; Laheru, D.A.; Zheng, L.; Narang, A.K.; Fishman, E.K.; Hruban, R.H.; Yu, J.; Burkhart, R.A.; et al. Survival in Locally Advanced Pancreatic Cancer After Neoadjuvant Therapy and Surgical Resection. Ann. Surg. 2019, 270, 340–347. [Google Scholar] [CrossRef] [PubMed]
- Cardillo, N.; Seible, D.M.; Fero, K.E.; Bruggeman, A.R.; Sarkar, R.R.; Azuara, A.; Simpson, D.R.; Murphy, J.D. Clinical Impact of Local Progression in Pancreatic Cancer. J. Natl. Compr. Cancer Netw. 2018, 16, 711–717. [Google Scholar] [CrossRef] [PubMed] [Green Version]
- Glimelius, B.; Hoffman, K.; Sjödén, P.O.; Jacobsson, G.; Sellström, H.; Enander, L.K.; Linné, T.; Svensson, C. Chemotherapy Improves Survival and Quality of Life in Advanced Pancreatic and Biliary Cancer. Ann. Oncol. 1996, 7, 593–600. [Google Scholar] [CrossRef]
- Reyngold, M.; O’Reilly, E.M.; Varghese, A.M.; Fiasconaro, M.; Zinovoy, M.; Romesser, P.B.; Wu, A.; Hajj, C.; Cuaron, J.J.; Tuli, R.; et al. Association of Ablative Radiation Therapy With Survival Among Patients With Inoperable Pancreatic Cancer. JAMA Oncol. 2021, 7, 735–738. [Google Scholar] [CrossRef]
- Krishnan, S.; Chadha, A.S.; Suh, Y.; Chen, H.-C.; Rao, A.; Das, P.; Minsky, B.D.; Mahmood, U.; Delclos, M.E.; Sawakuchi, G.O.; et al. Focal Radiation Therapy Dose Escalation Improves Overall Survival in Locally Advanced Pancreatic Cancer Patients Receiving Induction Chemotherapy and Consolidative Chemoradiation. Int. J. Radiat. Oncol. Biol. Phys. 2016, 94, 755–765. [Google Scholar] [CrossRef] [Green Version]
- Golden, D.W.; Novak, C.J.; Minsky, B.D.; Liauw, S.L. Radiation Dose ≥54 Gy and CA 19-9 Response Are Associated with Improved Survival for Unresectable, Non-Metastatic Pancreatic Cancer Treated with Chemoradiation. Radiat. Oncol. 2012, 7, 156. [Google Scholar] [CrossRef] [PubMed] [Green Version]
- Liauw, S.L.; Ni, L.; Wu, T.; Arif, F.; Cloutier, D.; Posner, M.C.; Kozloff, M.; Kindler, H.L. A Prospective Trial of Stereotactic Body Radiation Therapy for Unresectable Pancreatic Cancer Testing Ablative Doses. J. Gastrointest. Oncol. 2020, 11, 1399–1407. [Google Scholar] [CrossRef] [PubMed]

| Characteristics | N (%) or Median (Range) |
|---|---|
| No. of Patients | 57 |
| Age (years) | 73.6 (70.1–84.1) |
| Sex | |
| Male | 31 (54.4) |
| Female | 26 (45.6) |
| ECOG | |
| 0 | 17 (29.8) |
| 1 | 38 (66.7) |
| 2 | 2 (3.5) |
| ACE-27 | |
| 0 | 11 (19.3) |
| 1 | 35 (61.4) |
| 2 | 9 (15.8) |
| 3 | 2 (3.5) |
| Histology | |
| Adenocarcinoma | 55 (96.4) |
| Acinar cell | 1 (1.8) |
| Undifferentiated carcinoma | 1 (1.8) |
| Location of primary tumor | |
| Head | 33 (57.9) |
| Other | 24 (42.1) |
| Disease extent | |
| Borderline resectable | 27 (47.4) |
| Locally advanced | 30 (52.6) |
| Baseline CA 19-9 (U/mL) | 233.3 (1.0–7358.4) |
| Baseline total bilirubin (U/m | 0.55 (0.2–15.2) |
| Induction chemotherapy duration (months) | 4 (2–18) |
| Induction chemotherapy | |
| mFFX | 30 (52.5) |
| GnP | 24 (42.1) |
| mFFX and capecitabine | 1 (1.8) |
| Gemcitabine and capecitabine | 1 (1.8) |
| Gemcitabine | 1 (1.8) |
| SBRT dose and fractionation | |
| 33 Gy in 5 fractions | 53 (93.0) |
| 30 Gy 5 fractions | 2 (3.5) |
| 36 Gy in 5 fractions | 2 (3.5) |
| PTV (cm3) | 108.8 (13.1–368.8) |
| Surgically Resected | 38 (66.7) |
| Whipple | 27 (71.1) |
| Distal | 10 (26.3) |
| Total pancreatectomy | 1 (2.6) |
| Post-SBRT/surgery chemotherapy | |
| Yes | 19 (33.3) |
| No | 38 (66.7) |
| Older Patients (≥70 Years) | Rest of the Source Population (<70 Years) | ||
|---|---|---|---|
| Variable | N (% or Range) | N (% or Range) | p Value |
| Total number | 57 | 125 | |
| Multi-agent chemotherapy | 56 (98.2) | 125 (100) | 0.127 |
| Chemotherapy regimen | |||
| mFFX | 31 (54.4) | 111 (88.8) | <0.001 |
| GnP | 24 (42.1) | 14 (12.2) | <0.001 |
| Gemcitabine/capecitabine | 1 (1.8) | 0 (0) | 0.127 |
| Gemcitabine | 1 (1.8) | 0 (0) | 0.127 |
| Median chemotherapy duration (months) | 4 (2–18) | 4 (1–15) | 0.233 |
| Surgical Exploration | 43 (75.4) | 111 (88.8) | 0.025 |
| Resected | 38 (66.7) | 86 (68.8) | 0.775 |
| Post-SBRT/surgery chemotherapy | 19 (33.3) | 45 (36.0) | 0.726 |
| UVA | MVA | |||||
|---|---|---|---|---|---|---|
| HR | 95% CI | p | HR | 95% CI | p | |
| Age (years) | 1.06 | 0.96–1.16 | 0.259 | |||
| Sex (male vs. female) | 0.45 | 0.21–0.97 | 0.042 | 1.51 | 0.61–3.69 | 0.371 |
| ECOG (0 vs. 1–2) | 0.99 | 0.45–2.20 | 0.981 | |||
| ACE-27 (0–1 vs. 2–3) | 0.35 | 0.16–0.74 | 0.007 | 0.82 | 0.28–2.39 | 0.722 |
| Disease extent (BRPC vs. LAPC) | 1.36 | 0.66–2.81 | 0.403 | |||
| Tumor location (head vs. other) | 0.66 | 0.32–1.35 | 0.256 | |||
| Induction CT duration (>4 vs. ≤4 months) | 0.63 | 0.29–1.34 | 0.229 | |||
| Induction CT (mFFX vs. GnP) | 1.29 | 0.60–2.76 | 0.516 | |||
| Resected (yes vs. no) | 0.20 | 0.092–0.42 | <0.001 | 0.30 | 0.12–0.91 | 0.031 |
| Baseline CA 19-9 (U/mL) | 0.99 | 0.99–1.00 | 0.883 | |||
| Pre-SBRT CA 19-9 (U/mL) | 1.00 | 0.99–1.00 | 0.633 | |||
| Baseline Total Bilirubin (mg/dL) | 1.00 | 0.88–1.10 | 0.989 | |||
| Post-SBRT/surgery chemotherapy (yes vs. no) | 0.26 | 0.11–0.64 | 0.004 | 0.41 | 0.15–1.14 | 0.087 |
| UVA | MVA | |||||
|---|---|---|---|---|---|---|
| HR | 95% CI | p | HR | 95% CI | p | |
| Age (years) | 1.09 | 1.01–1.18 | 0.034 | 1.02 | 0.93–1.12 | 0.791 |
| Sex (male vs. female) | 1.89 | 1.04–3.46 | 0.038 | 1.49 | 0.74–3.00 | 0.261 |
| ECOG (0 vs. 1–2) | 0.65 | 0.33–1.25 | 0.196 | |||
| ACE-27 (0–1 vs. 2–3) | 0.33 | 0.16–0.66 | 0.002 | 0.56 | 0.23–1.34 | 0.193 |
| Disease extent (BRPC vs. LAPC) | 1.24 | 0.69–2.23 | 0.476 | |||
| Tumor location (head vs. other) | 0.94 | 0.52–1.69 | 0.827 | |||
| Induction CT duration (>4 vs. ≤4 months) | 0.95 | 0.52–1.72 | 0.861 | |||
| Induction CT (mFFX vs. GnP) | 0.99 | 0.54–1.82 | 0.980 | |||
| Resected (yes vs. no) | 0.25 | 0.13–0.47 | <0.001 | 0.40 | 0.17–0.93 | 0.034 |
| Baseline CA 19-9 (U/mL) | 1.00 | 0.99–1.00 | 0.387 | |||
| Pre-SBRT CA 19-9 (U/mL) | 1.00 | 1.00–1.00 | 0.405 | |||
| Baseline Total Bilirubin (mg/dL) | 1.02 | 0.91–1.10 | 0.729 | |||
| Post-SBRT/surgery chemotherapy (yes vs. no) | 0.43 | 0.22–0.82 | 0.011 | 0.58 | 0.28–1.19 | 0.140 |
| N (%) | Description | |
|---|---|---|
| Chemotherapy toxicity | ||
| Grade 3 | 12 (21.1%) | Diarrhea (4), dehydration (3), febrile neutropenia (3), pneumonitis (1), neuropathy (1), CHF exacerbation (1), fatigue (1), nausea (1) |
| Surgical toxicity (<90 days) | ||
| Clavien-Dindo grade ≤ 3a | 22 (57.9%) | |
| Clavien-Dindo grade 3b | 2 (5.3%) | Gastroduodenal artery pseudoaneurysm, gastrocutaneous fistula |
| Radiation toxicity | ||
| Acute | ||
| Grade 1 | 26 (45.6%) | Fatigue (16), nausea/vomiting (15), constipation (7), anorexia (4), pain (4) |
| Grade 2 | 4 (7.0%) | Pain (2), fatigue (1), anorexia (1) |
| Grade 3 | 0 (0%) | |
| Grade 4 | 0 (0%) | |
| Late | ||
| Grade 1 | 0 (0%) | |
| Grade 2 | 0 (0%) | |
| Grade 3 | 3 (5.3%) | Upper gastrointestinal bleeding (2), gastric outlet obstruction (1) |
| Grade 4 | 0 (0%) |
| Reference | Relevant Patients | Median Age (Years) | Median SBRT Dose/Fractions | Surgical Resection | Acute Radiation ≥ G3 Toxicity | Late Radiation ≥ G3 Toxicity | Median Survival after SBRT (Months) |
|---|---|---|---|---|---|---|---|
| Kim et al. (2013) [14] | 24 | 86 | 24 Gy/1 fraction | No | 1 (4%) | 0 (0%) | 7.6 |
| Yechieli et al. (2017) [15] | 20 | 83 | 35 Gy/5 fractions | No | 1 (10%) | 2 (10%) | 6.4 |
| Zhu et al. (2017) [16] | 323 | 73 | 30–46.8 Gy/5–8 fractions | Yes (10%) | 2 (0.5%) | 0 (0%) | 10.0–13.0 |
| Ryan et al. (2017) [17] | 29 | 74 | 28 Gy/5 fractions | No | 2 (7%) | 1 (3%) | 8.0 |
| Sutera et al. (2018) [18] | 145 | 79 | 36 Gy/3 fractions | Yes (34%) | 1 (1%) | 3 (2%) | 14.0 |
| Current Study | 57 | 74 | 33 Gy/5 fractions | Yes (67%) | 0 (0%) | 3 (5%) | 19.6 |
Publisher’s Note: MDPI stays neutral with regard to jurisdictional claims in published maps and institutional affiliations. |
© 2022 by the authors. Licensee MDPI, Basel, Switzerland. This article is an open access article distributed under the terms and conditions of the Creative Commons Attribution (CC BY) license (https://creativecommons.org/licenses/by/4.0/).
Share and Cite
Reddy, A.V.; Sehgal, S.; Hill, C.S.; Zheng, L.; He, J.; Herman, J.M.; Meyer, J.; Narang, A.K. Upfront Chemotherapy Followed by Stereotactic Body Radiation Therapy with or without Surgery in Older Patients with Localized Pancreatic Cancer: A Single Institution Experience and Review of the Literature. Curr. Oncol. 2022, 29, 308-320. https://doi.org/10.3390/curroncol29010028
Reddy AV, Sehgal S, Hill CS, Zheng L, He J, Herman JM, Meyer J, Narang AK. Upfront Chemotherapy Followed by Stereotactic Body Radiation Therapy with or without Surgery in Older Patients with Localized Pancreatic Cancer: A Single Institution Experience and Review of the Literature. Current Oncology. 2022; 29(1):308-320. https://doi.org/10.3390/curroncol29010028
Chicago/Turabian StyleReddy, Abhinav V., Shuchi Sehgal, Colin S. Hill, Lei Zheng, Jin He, Joseph M. Herman, Jeffrey Meyer, and Amol K. Narang. 2022. "Upfront Chemotherapy Followed by Stereotactic Body Radiation Therapy with or without Surgery in Older Patients with Localized Pancreatic Cancer: A Single Institution Experience and Review of the Literature" Current Oncology 29, no. 1: 308-320. https://doi.org/10.3390/curroncol29010028
APA StyleReddy, A. V., Sehgal, S., Hill, C. S., Zheng, L., He, J., Herman, J. M., Meyer, J., & Narang, A. K. (2022). Upfront Chemotherapy Followed by Stereotactic Body Radiation Therapy with or without Surgery in Older Patients with Localized Pancreatic Cancer: A Single Institution Experience and Review of the Literature. Current Oncology, 29(1), 308-320. https://doi.org/10.3390/curroncol29010028

