Sign in to use this feature.

Years

Between: -

Subjects

remove_circle_outline
remove_circle_outline
remove_circle_outline
remove_circle_outline
remove_circle_outline
remove_circle_outline
remove_circle_outline
remove_circle_outline

Journals

Article Types

Countries / Regions

remove_circle_outline
remove_circle_outline
remove_circle_outline
remove_circle_outline
remove_circle_outline
remove_circle_outline

Search Results (408)

Search Parameters:
Keywords = SBRT

Order results
Result details
Results per page
Select all
Export citation of selected articles as:
15 pages, 480 KB  
Article
Clinical Outcomes and Patterns of Neurological Toxicity After Stereotactic Body Radiotherapy Reirradiation (reSBRT) of Spine Metastases Previously Treated with SBRT
by Ahmed N. Elguindy, Eric R. Cochran, Khaled N. Dibs, Katelyn Fernando, Mark Addington, Eugene Yap, Robyn Handschuh, Dominic J. DiCostanzo, Daniel Schneider, Brian Park, James B. Elder, Russell Lonser, Daniel Boulter, Eric C. Bourekas, David J. Konieczkowski, Sasha Beyer, Simeng Zhu, Raj Singh, Raju Raval, John C. Grecula, Arnab Chakravarti, Joshua D. Palmer and Dukagjin M. Blakajadd Show full author list remove Hide full author list
Cancers 2026, 18(8), 1301; https://doi.org/10.3390/cancers18081301 - 20 Apr 2026
Viewed by 219
Abstract
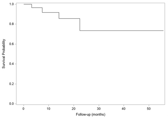
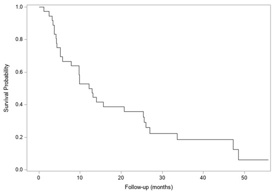
Background/Objectives: Stereotactic body radiation therapy (SBRT) provides improved pain response and local control for spinal metastases. However, management of local failure after initial SBRT is challenging. We report institutional outcomes, dosimetry, and toxicity for reSBRT following SBRT. Methods: We retrospectively reviewed 61 lesions [...] Read more.
Background/Objectives: Stereotactic body radiation therapy (SBRT) provides improved pain response and local control for spinal metastases. However, management of local failure after initial SBRT is challenging. We report institutional outcomes, dosimetry, and toxicity for reSBRT following SBRT. Methods: We retrospectively reviewed 61 lesions (55 patients) treated with reSBRT after prior SBRT. Both SBRT courses delivered a median dose of 27 Gy. Patients underwent clinical and radiological evaluation every three months. Toxicity was graded using CTCAE v5.0. Dosimetric parameters for the spinal cord (SC), cauda equina (CE), planning organ-at-risk volumes (PRV), and thecal sac were converted to equivalent dose in 2 Gy fractions (EQD2) using the linear–quadratic model (α/β = 2). Results: Median follow-up was 10.3 months. Forty lesions (65%) were cervicothoracic and 21 (35%) were lumbosacral. One- and two-year overall survival (OS) were 45% and 29%, respectively, and one- and two-year local control (LC) were 89% and 88%, respectively. Gastrointestinal primary tumors were associated with inferior LC (HR 2.41, 95% CI 1.11–5.23, p = 0.026). Fifteen patients (27%) reported myelitis/neuropathic symptoms during follow-up; four (7%) developed new post-radiation myelitis or neuropathy (RMN) without radiologic progression. Five patients (9%) developed vertebral compression fractures (VCF). Cumulative EQD2 was not significantly associated with RMN (p = 0.344); all affected patients had thecal sac EQD2 > 95.5 Gy and relevant nerve roots EQD2 > 108 Gy. Conclusions: ReSBRT provided a favorable LC with acceptable toxicity. High cumulative dose to the thecal sac and nerve roots may contribute to neurologic toxicity as peripheral nerve injury. Full article
(This article belongs to the Special Issue New Approaches in Radiotherapy for Cancer)
Show Figures

Figure 1

10 pages, 417 KB  
Article
Phase II Study of Dose-Escalated and Convergent Stereotactic Body Radiotherapy for Liver and Pulmonary Oligometastases from Colorectal Cancer
by Shuichi Nishimura, Atsuya Takeda, Yuichiro Tsurugai, Naoko Sanuki, Takahisa Eriguchi and Takafumi Nemoto
Cancers 2026, 18(8), 1263; https://doi.org/10.3390/cancers18081263 - 16 Apr 2026
Viewed by 252
Abstract
Purpose: Surgical resection of liver or pulmonary oligometastases (LP-OMD) in colorectal cancer (CRC) has been shown to improve survival. Stereotactic body radiotherapy (SBRT) is a promising alternative for patients with primary lung cancer. However, the efficacy of SBRT for LP-OMD in CRC remains [...] Read more.
Purpose: Surgical resection of liver or pulmonary oligometastases (LP-OMD) in colorectal cancer (CRC) has been shown to improve survival. Stereotactic body radiotherapy (SBRT) is a promising alternative for patients with primary lung cancer. However, the efficacy of SBRT for LP-OMD in CRC remains inconclusive, and local control (LC) rates are often unsatisfactory. This prospective study aimed to evaluate the treatment outcomes of dose-escalated and convergent SBRT for patients with LP-OMD from CRC, with the goal of demonstrating its effectiveness as a treatment option for these patients. Methods and materials: This study included 23 CRC patients with LP-OMD who received SBRT between 2017 and 2022. The inclusion criteria were histologically confirmed colorectal adenocarcinoma, one to three oligometastases, and a tumor diameter of 5 cm or less. Patients who were inoperable or declined surgery were included. SBRT was delivered with total doses of 50–60 Gy administered over five fractions, covering the planning target volume surface within the 60% isodose line of the maximum dose. The primary endpoint was the 2-year LC rate, while secondary endpoints included overall survival (OS), progression-free survival (PFS), and toxicity. Results: The median follow-up duration was 41.0 months (range: 11.5–77.2). At the time of analysis, five patients had died from CRC, six were alive with disease, and twelve were alive without disease. Only one patient experienced local recurrence of a pulmonary oligometastasis. The 2-year LC, PFS, and OS rates were 95.0% (95% CI: 69.5–99.3), 61.3% (95% CI: 40.0–77.0), and 88.1% (95% CI: 67.6–96.0), respectively. Toxicity was acceptable, with no grade ≥ 3 adverse events. Conclusions: High-central-dose SBRT for LP-OMD from CRC achieved favorable local control with minimal toxicity. These findings should be interpreted cautiously and require validation in larger, multi-institutional studies. Full article
(This article belongs to the Special Issue New Approaches in Radiotherapy for Cancer)
Show Figures

Figure 1

14 pages, 258 KB  
Article
Management of Complex CNS Tumours: Impact of Multiple Tumour Board Review
by Chalina Huynh, Pavanpreet Metley, Kent Powell, Matthew Larocque, Keith Aronyk and Alysa Fairchild
Radiation 2026, 6(2), 14; https://doi.org/10.3390/radiation6020014 - 7 Apr 2026
Viewed by 315
Abstract
Background. Patients with malignant or benign central nervous system (CNS) tumours are evaluated for suitability of treatment modality based on multiple clinical and tumour-related factors. To obtain multidisciplinary consensus, a patient’s file and imaging are commonly reviewed by a tumour board (TB). [...] Read more.
Background. Patients with malignant or benign central nervous system (CNS) tumours are evaluated for suitability of treatment modality based on multiple clinical and tumour-related factors. To obtain multidisciplinary consensus, a patient’s file and imaging are commonly reviewed by a tumour board (TB). There are three relevant weekly TB venues at our institute—gamma knife stereotactic radiosurgery (SRS) intake rounds, CNS rounds, and stereotactic body radiotherapy (SBRT) rounds—which are attended by non-overlapping clinician teams. We explored the clinical parameters prompting multiple TB reviews in patients with complex CNS tumours. Methods. Data were retrospectively obtained from electronic medical records. Patients referred for discussion at SRS rounds (November 2017–June 2020) were cross-referenced with those reviewed in CNS rounds and SBRT rounds. The cohort of interest included patients who underwent review at more than one TB for the same indication. Patient, tumour, and treatment factors were abstracted, and descriptive statistics were calculated. A sub-cohort of patients with pre-plans created for both SRS and conventionally fractionated external beam radiotherapy (EBRT) was identified. Dosimetric data were analyzed. Results. Of 1091 patients, 87 (8.0%) were discussed at more than one TB. 59/87 (67.8%) patients were reviewed at two TBs pertaining to the same CNS lesion and comprised the study cohort. The most common tumour type was meningioma (20/59), and the most common reason for multiple discussions was proximity to optic structures (19/59). After TB discussions, 25/59 patients were seen in consultation by one specialist, 29/59 by two, and 5/59 by none. Overall, the final treatment decisions were conventional EBRT in 21/59; SRS in 18/59; surveillance in 12/59; surgery in 3/59; systemic therapy in 3/59; proton referral in 1/59; and SBRT in 1/59. A total of 20/59 patients were treated with palliative intent. Among all patients who ultimately received radiotherapy, median interval between the first TB discussion and the first RT treatment was 56 days (IQR 7.5–65.5 d). The pre-plan sub-cohort consisted of four patients, all of whom were ultimately treated with conventional EBRT. Conclusions. Evidence to support optimal treatment for some complex CNS tumours can be limited. Multiple radiotherapy modalities may be equally favourable (or unfavourable) options. Proximity to the optic apparatus and previous CNS irradiation are common reasons for clinical equipoise. Tumour board review is an essential tool in formulating a multidisciplinary care plan; however, attention should be paid to ensuring that subsequent consultations and treatment initiation are not unduly delayed. Full article
12 pages, 276 KB  
Review
Role of MRI in Imaging Assessment of Radiation-Based Treatment of Hepatocellular Carcinoma
by Liang Meng Loy, Guo Yuan How, Uei Pua, Han Hwee Lawrence Quek and Cher Heng Tan
Cancers 2026, 18(7), 1089; https://doi.org/10.3390/cancers18071089 - 27 Mar 2026
Viewed by 508
Abstract
Magnetic Resonance Imaging (MRI) plays a pivotal role in evaluating treatment response following radiation-based therapies for hepatocellular carcinoma (HCC). As radiation modalities such as stereotactic body radiotherapy (SBRT) and transarterial radioembolization (TARE) gain prominence, understanding the underlying mechanisms of radiation-induced cellular senescence is [...] Read more.
Magnetic Resonance Imaging (MRI) plays a pivotal role in evaluating treatment response following radiation-based therapies for hepatocellular carcinoma (HCC). As radiation modalities such as stereotactic body radiotherapy (SBRT) and transarterial radioembolization (TARE) gain prominence, understanding the underlying mechanisms of radiation-induced cellular senescence is essential for accurate interpretation of imaging. The physiological changes of radiation treatment manifest as altered diffusion characteristics and delayed regression of enhancement and tumor volumes on MRI, challenging conventional response criteria. Herein, functional and temporal imaging biomarkers are necessary. However, current imaging strategies lack standardization and robust validation, underscoring the need for prospective studies to correlate MRI findings with treatment outcomes. This review synthesizes emerging evidence on MRI-based evaluation of radiation-treated HCC, explores the physiological rationale linking senescence to imaging phenotypes, and advocates for optimized imaging protocols and criteria to enhance post-treatment surveillance and therapeutic decision-making. Full article
(This article belongs to the Section Methods and Technologies Development)
16 pages, 287 KB  
Review
The Role of SBRT in Oligometastatic Prostate Cancer: Where We Are and Where We Are Heading
by Macarena Teja, Miguel Angel Berenguer Frances, Fernando López Campos, Nicolas Feltes Benítez, Alexandra Stoica, Andrea Puertas, Giulia Marvaso, Vedang Murthy and Felipe Couñago
Life 2026, 16(4), 550; https://doi.org/10.3390/life16040550 - 26 Mar 2026
Viewed by 886
Abstract
Oligometastatic prostate cancer represents a distinct biological state between localized and widely metastatic disease, characterized by a limited number of lesions. Stereotactic body radiotherapy (SBRT) has emerged as a key metastasis-directed therapy (MDT), enabling precise ablation of metastatic lesions with minimal toxicity. Prospective [...] Read more.
Oligometastatic prostate cancer represents a distinct biological state between localized and widely metastatic disease, characterized by a limited number of lesions. Stereotactic body radiotherapy (SBRT) has emerged as a key metastasis-directed therapy (MDT), enabling precise ablation of metastatic lesions with minimal toxicity. Prospective clinical trials such as SABR-COMET, STOMP, ORIOLE, RADIOSA, and EXTEND have shown that SBRT delays disease progression, prolongs progression-free survival, and postpones the need for systemic therapy, while maintaining a favorable safety profile. Nevertheless, methodological limitations persist, including heterogeneity in defining oligometastatic disease, variability in dosing and fractionation, and the lack of predictive biomarkers. Ongoing phase III trials aim to validate the integration of SBRT with modern systemic therapies, including next-generation androgen receptor pathway inhibitors, to optimize clinical outcomes in hormone-sensitive and castration-resistant oligometastatic prostate cancer. This review summarizes current evidence, clinical applications, and future directions for SBRT in this patient population. Full article
(This article belongs to the Special Issue Diagnosis, Treatment and Prognosis of Prostate Cancer)
18 pages, 2241 KB  
Article
Efficacy and Safety of Stereotactic Body Radiation Therapy Modalities for >5 cm Advanced Unresectable Hepatocellular Carcinoma: A Network Meta-Analysis
by Henry W. C. Leung, Shyh-Yau Wang, John Hang Leung, Yun-Sheng Tai and Agnes L. F. Chan
Cancers 2026, 18(6), 988; https://doi.org/10.3390/cancers18060988 - 18 Mar 2026
Viewed by 522
Abstract
Objective: Radiotherapy remodels the tumor microenvironment (TME) and may enhance the efficacy of immunotherapy in cancer treatment, particularly in patients with large, unresectable hepatocellular carcinoma (HCC) complicated by portal vein tumor thrombus (PVTT). Because of these unique effects, a growing body of [...] Read more.
Objective: Radiotherapy remodels the tumor microenvironment (TME) and may enhance the efficacy of immunotherapy in cancer treatment, particularly in patients with large, unresectable hepatocellular carcinoma (HCC) complicated by portal vein tumor thrombus (PVTT). Because of these unique effects, a growing body of research has found that stereotactic body radiation therapy (SBRT) combined with transcatheter arterial chemoembolization (TACE) or programmed death protein 1 (PD-1) inhibitors has a synergistic impact on unresectable advanced hepatocellular carcinomas (HCCs) larger than 5 cm in diameter. We aim to explore the efficacy of these treatment modalities through a network meta-analysis (NMA). Methods and Analysis: We evaluated the efficacy and safety of different SBRT-based treatment modalities for large advanced HCCs with PVTT (tumor diameter ≥ 5 cm), with primary endpoints including overall survival (OS), progression-free survival (PFS), and grade 3–4 severe adverse events (SAEs). Results: Eighteen studies comprising 2303 patients were included. SBRT combined with transcatheter arterial chemoembolization (SBRT + TACE) demonstrated significantly superior overall survival compared with other monotherapy or combination strategies. Most other treatment regimens showed comparable PFS outcomes. Notably, SBRT alone and SBRT combined with PD 1 inhibitors (SBRT + PD 1) were associated with significantly lower incidences of severe adverse events compared with other treatment modalities; all of these reported SAEs were manageable with appropriate clinical intervention. Conclusions: For patients with large (≥5 cm) advanced HCC with PVTT, SBRT combined with TACE was associated with superior OS and PFS compared with other treatment strategies. These findings suggest potential synergistic interactions between SBRT and TACE or immunotherapy. Further high-quality prospective trials are warranted to validate these observations and clarify the underlying molecular mechanisms. Our results provide evidence to inform therapeutic decision-making in advanced HCC. Full article
(This article belongs to the Section Methods and Technologies Development)
Show Figures

Figure 1

11 pages, 1596 KB  
Systematic Review
Conventionally Fractionated Radiotherapy (CFRT) Versus Stereotactic Body Radiotherapy (SBRT) for Locally Advanced Pancreatic Cancer: A Systematic Review and Meta-Analysis of Comparative Studies
by Giampaolo Montesi, Marcin Miszczyk, Rita Marina Niespolo, Giorgia Capezzali, Francesco Cellini, Nunziata D’Abbiero, Michele Fiore, Domenico Genovesi, Mariangela La Macchia, Marco Lupattelli, Giovanna Mantello, Fabio Matrone, Luca Nicosia, Nicola Simoni, Pierfrancesco Franco and Francesca De Felice
Cancers 2026, 18(6), 971; https://doi.org/10.3390/cancers18060971 - 17 Mar 2026
Viewed by 653
Abstract
Background: Stereotactic body radiotherapy (SBRT) has gained increasing interest in the treatment of locally advanced pancreatic cancer (LAPC), although its effectiveness has not been defined in randomized trials. This systematic review and meta-analysis aimed to compare clinical outcomes and treatment-related toxicity between SBRT [...] Read more.
Background: Stereotactic body radiotherapy (SBRT) has gained increasing interest in the treatment of locally advanced pancreatic cancer (LAPC), although its effectiveness has not been defined in randomized trials. This systematic review and meta-analysis aimed to compare clinical outcomes and treatment-related toxicity between SBRT and CFRT in LAPC. Methods: This analysis was performed in accordance with PRISMA guidelines (PROSPERO: CRD420251128943). MEDLINE and Scopus were searched for comparative studies published between January 2015 and July 2025. Five retrospective studies comprising 768 patients fulfilled the eligibility criteria. Pooled hazard ratios (HRs) were calculated for overall survival (OS) and progression-free survival (PFS), while risk ratios (RRs) were estimated for severe (grade ≥ 3) acute toxicity using random-effects models. Study quality was evaluated using the ROBINS-I tool. Results: No significant OS or PFS differences were observed between SBRT and CFRT. SBRT was associated with a lower incidence of severe acute toxicity. The overall risk of bias across studies was moderate. Conclusions: SBRT appears to achieve survival outcomes comparable to CFRT with a favorable acute toxicity profile in patients with LAPC. Nevertheless, the current evidence is limited by retrospective designs and heterogeneity, highlighting the need for prospective randomized trials to define the role of SBRT in this setting. Full article
(This article belongs to the Special Issue Image Assisted High Precision Radiation Oncology)
Show Figures

Figure 1

13 pages, 1576 KB  
Article
Differential Cytokine Profiles in Prostate Cancer Under Treatment: Implications for Prognosis and Synergistic Therapy Design
by Aaron E. Katz, Maryann Johnson, Lora J. Kasselman, Saba Ahmed, Ankita Srivastava, David J. Grossfeld, Heather A. Renna, Kathleen Li and Allison B. Reiss
Cancers 2026, 18(6), 967; https://doi.org/10.3390/cancers18060967 - 17 Mar 2026
Viewed by 461
Abstract
Background/Objectives: Localized prostate cancer may be treated with total cryotherapy, focal cryotherapy, stereotactic body radiotherapy (SBRT), or radical prostatectomy (RP). However, the immune response to these therapies is not fully understood despite its potential importance in determining extent and timing of recovery, [...] Read more.
Background/Objectives: Localized prostate cancer may be treated with total cryotherapy, focal cryotherapy, stereotactic body radiotherapy (SBRT), or radical prostatectomy (RP). However, the immune response to these therapies is not fully understood despite its potential importance in determining extent and timing of recovery, disease control and cancer recurrence rate. This exploratory study measured cytokine expression changes in the urine and blood of prostate cancer patients as a means of monitoring immune response to these four alternative treatments. Methods: Urine and blood multiplex ELISA cytokine assays were performed in 37 men with histologically confirmed prostate adenocarcinoma before, 2 weeks after, and 3 months after therapy. Results: Treatment method alone significantly affected levels of plasma but not urine cytokines. Both plasma and urine showed significant changes across visit number and significant interactions between treatment and visit number for some cytokines. In plasma, SBRT was associated with the highest cytokine levels when compared to RP and cryotherapy. Urinary IL-8 levels increased over time following cryoablation, whereas they remained relatively stable across visits after SBRT and RP (β = 1.51, 95% CI [0.89–2.13], p < 0.001). Urinary IL-6 levels reached their highest point at visit three following both SBRT and cryoablation, whereas after RP, the peak occurred earlier at visit two (β = 0.07, 95%CI [0.04–0.11], p < 0.001). The pattern of plasma levels of IL-10 differed by time elapsed after treatment depending upon treatment group (β = −0.05, 95%CI [−0.08–−0.01], p = 0.005). Conclusions: These findings show that the prostate cancer treatment method employed may affect post-operative inflammatory mechanisms. This small study encourages expansion to determine the prognostic utility of urine and plasma cytokine expression patterns based on prostate cancer treatment and time elapsed following treatment. Understanding these changes may inform a personalized medicine approach to prostate cancer immunotherapies. Full article
(This article belongs to the Section Cancer Informatics and Big Data)
Show Figures

Figure 1

16 pages, 487 KB  
Article
Role of Cytokines in Oligometastatic Non-Small-Cell Lung Cancer Treated with Stereotactic Radiation Therapy: An Observational Pilot Study
by Giorgio Facheris, Alessio Bruni, Valerio Nardone, Andrea Emanuele Guerini, Lorenzo Granello, Anna Gogna, Luca Triggiani, Michela Buglione di Monale e Bastia, Elisa D’Angelo, Stefania Bettelli, Francesca Di Pressa, Antonella Colosini, Giorgio Biasiotto, Roberto Bresciani and Paolo Borghetti
Biomolecules 2026, 16(3), 423; https://doi.org/10.3390/biom16030423 - 13 Mar 2026
Viewed by 504
Abstract
Introduction: Stereotactic radiotherapy (SRT) is increasingly used in oligometastatic non-small-cell lung cancer (NSCLC) and is known to elicit systemic immune effects, although the underlying mechanisms remain not fully understood. Methods: In this prospective pilot study, we evaluated plasma cytokine variations in 19 patients [...] Read more.
Introduction: Stereotactic radiotherapy (SRT) is increasingly used in oligometastatic non-small-cell lung cancer (NSCLC) and is known to elicit systemic immune effects, although the underlying mechanisms remain not fully understood. Methods: In this prospective pilot study, we evaluated plasma cytokine variations in 19 patients with oligometastatic or oligoprogressive NSCLC undergoing SRT. Peripheral blood samples were collected before treatment (T0) and one month after SRT (T1) and the concentrations of nine cytokines (IFN-γ, IL-1β, IL-2, IL-4, IL-6, IL-10, IL-12p70, IL-17A and TNF-α) were quantified using a multiplex Luminex assay. Non-parametric tests and Cox regression models were used to investigate associations between cytokine levels, clinical variables, systemic treatments, and survival outcomes. SRT induced significant post-treatment increases in IFN-γ, IL-2, and IL-6, consistent with systemic pro-inflammatory activation and T-cell stimulation. Cytokine dynamics were influenced by patient- and tumor-related factors: female sex was associated with higher IL-2 and TNF-α levels; oncogene-addicted tumors showed lower IL-6 levels; and oligoprogressive disease exhibited attenuated cytokine variations compared with metachronous oligometastatic disease. Tyrosine kinase inhibitors were associated with globally reduced cytokine levels and blunted IL-1/IL-2 changes, whereas patients receiving immune checkpoint inhibitors displayed higher IL-2 and IL-6 concentrations and greater post-SRT increases in IFN-γ. Oncogene-addicted status and IL-12 variation emerged as independent predictors of overall survival and a composite model integrating these variables significantly stratified prognosis. Conclusions: These findings suggest that SRT triggers measurable systemic immune activation in oligometastatic NSCLC, which is further shaped by tumor biology, disease burden, and concomitant systemic therapies. Although limited by the small sample size, this study supports the feasibility and potential utility of cytokine profiling to refine patient selection and guide biomarker-driven combinations of SRT with targeted and immune-based treatments, warranting validation in larger prospective cohorts. Full article
(This article belongs to the Special Issue Lung Cancer: From Molecular Basis to Therapy)
Show Figures

Figure 1

13 pages, 3625 KB  
Article
Reirradiation of Local Recurrences of Prostate Cancer: PROSTARE (PROstate Cancer STereotActic REirradiation) Early Safety Analysis of a Phase 2 Study with a Limited Cohort
by Wojciech Majewski, Aleksandra Napieralska, Marcin Miszczyk, Anna Misiorowska-Gołosz, Marcela Krzempek, Małgorzata Stąpór-Fudzińska, Justyna Rembak-Szynkiewicz and Jerzy Wydmański
Cancers 2026, 18(5), 848; https://doi.org/10.3390/cancers18050848 - 6 Mar 2026
Viewed by 700
Abstract
Objective: This study aims to report the early safety outcomes from an ongoing single-center, non-randomized phase 2 trial on focal salvage stereotactic radiotherapy (s-SBRT) for local prostate cancer recurrence. Materials and methods: This prospective phase 2 study includes patients with local [...] Read more.
Objective: This study aims to report the early safety outcomes from an ongoing single-center, non-randomized phase 2 trial on focal salvage stereotactic radiotherapy (s-SBRT) for local prostate cancer recurrence. Materials and methods: This prospective phase 2 study includes patients with local recurrence after conventional or hypofractionated radiotherapy, ultrahypofractionated radiotherapy, or post-prostatectomy radiotherapy. The present analysis includes an initial subset of 21 out of 55 planned patients. All patients undergo mpMRI and PSMA-PET; biopsy is not required if imaging results are unambiguous. Focal s-SBRT is delivered to the recurrent lesion with a dose of 5 × 6.75 Gy. The primary endpoint is the rate of treatment-related CTCAE v5.0 grade ≥ 3 genitourinary (GU) or gastrointestinal (GI) toxicity. Secondary endpoints include early biochemical response (BR), defined as any PSA decline at 3 months. Results: With a median follow-up of 14 months (range: 4.5–25), one patient (4.8%) experienced both early and persistent late Grade 3 GU toxicity (bladder bleeding). Late Grade 2 GU and GI toxicities occurred in five (23.8%) and one (4.8%) patients, respectively. In exploratory univariable analysis, PTV volume 13 cc was identified as a marginal predictor for increased GU/GI radiation reactions (p < 0.1). Regarding efficacy, all 21 patients (100%) demonstrated an early biochemical response, with 15 patients (71.4%) achieving a PSA reduction of 50%. Conclusions: Focal s-SBRT demonstrates a favorable early safety profile and consistent biochemical response, supporting the preliminary safety of this ongoing study. Full article
(This article belongs to the Special Issue Radiation Therapy in Oncology)
Show Figures

Figure 1

22 pages, 909 KB  
Review
Artificial Intelligence in the Diagnosis and Prognostic Stratification of Hepatocellular Carcinoma: Current Evidence, Clinical Applications, and Future Perspectives
by Emily L. Pfahl, Nooruddin S. Pracha, Mohamed H. Emlemdi, Phuoc-Hanh D. Le and Mina S. Makary
Biomedicines 2026, 14(3), 505; https://doi.org/10.3390/biomedicines14030505 - 25 Feb 2026
Viewed by 709
Abstract
The integration of artificial intelligence (AI) into medicine, oncology, and radiology represents a marked shift in the diagnosis, prognostication, and management of hepatocellular carcinoma (HCC), a malignancy with high global incidence and poor prognosis. This review examines the application of AI, including machine [...] Read more.
The integration of artificial intelligence (AI) into medicine, oncology, and radiology represents a marked shift in the diagnosis, prognostication, and management of hepatocellular carcinoma (HCC), a malignancy with high global incidence and poor prognosis. This review examines the application of AI, including machine learning (ML) and deep learning (DL), across the spectrum of HCC care. As AI advances, new convolutional neural networks (CNNs) and other models are enhancing diagnostic accuracy, reducing interpretation times, and improving the characterization of liver lesions across major imaging modalities including ultrasound, computed tomography (CT), and magnetic resonance imaging (MRI). Beyond diagnosis, the transformative role of AI in prognostication is also improving, where AI can now noninvasively predict critical factors such as microvascular invasion, genetic mutation status, tumor recurrence, and treatment response. Furthermore, AI has shown promise in facilitating patient-specific treatment planning by stratifying patients for interventions such as transarterial chemoembolization (TACE) and stereotactic body radiation therapy (SBRT). The review also addresses the emerging fields of pathomics and the use of AI in positron emission tomography (PET), while critically evaluating the cost-effectiveness of these technologies. Despite its promise, the widespread clinical adoption of AI faces challenges, including limited generalizability, maintaining patient privacy, ethical considerations, and the need for robust prospective validation. Ultimately, this review illustrates that the future of HCC management lies in a collaborative, hybrid-intelligence model, where AI-driven insights augment clinical expertise to optimize diagnostic pathways, personalize therapy, and improve patient outcomes. Full article
(This article belongs to the Special Issue Advances in Hepatology)
Show Figures

Figure 1

11 pages, 1395 KB  
Article
Prostate–Rectum Spacing from Apex to Base and Its Impact on Organs-At-Risk Dosimetry in Prostate Cancer SBRT
by Victor C. Ng, Jill Steele and Edward Soffen
Radiation 2026, 6(1), 8; https://doi.org/10.3390/radiation6010008 - 24 Feb 2026
Viewed by 719
Abstract
Stereotactic body radiation therapy (SBRT) for localized prostate cancer delivers high doses per fraction, making dose constraints for the rectum and other organs at risk critical during treatment planning. This study evaluated the association between prostate–rectum separation, achieved with a biodegradable balloon rectal [...] Read more.
Stereotactic body radiation therapy (SBRT) for localized prostate cancer delivers high doses per fraction, making dose constraints for the rectum and other organs at risk critical during treatment planning. This study evaluated the association between prostate–rectum separation, achieved with a biodegradable balloon rectal spacer at different anatomical levels, and corresponding organ-at-risk dose patterns. Thirty-three patients underwent transperineal balloon spacer implantation followed by SBRT to 36.25 Gy in five fractions. Prostate–rectum separation at the apex, mid-gland, and base were measured on CT and/or MRI and categorized as <10 mm, 10–14 mm, or ≥14 mm. Rectal dose–volume parameters and mean doses to the rectum, bladder, and penile bulb were assessed using linear regression analyses and group comparisons at 14 mm separation. Mean prostate–rectum separation was 16.6 mm overall, with minimal high-dose rectal exposure observed. Increasing separation was associated with reduced rectal dose–volume parameters at the apex and mid-gland, while greater base separation corresponded primarily to lower bladder mean dose. Increased apical separation was also associated with reduced penile bulb mean dose. No acute gastrointestinal toxicity was observed, and genitourinary toxicity was limited to low-grade events. These findings indicate that prostate–rectum separation varies by anatomical level and is associated with distinct organ-at-risk dose relationships in prostate SBRT. Full article
Show Figures

Figure 1

14 pages, 1526 KB  
Article
The Value of Stereotactic Radiotherapy After FOLFIRINOX in Patients with Pancreatic Cancer with Vascular Contact—A Nationwide, Retrospective Cohort Study
by Freek R. van ‘t Land, Leonard W. F. Seelen, Maaike Verheij, Thomas F. Stoop, Olivier R. Busch, Marc G. H. Besselink, Lois A. Daamen, Marcel den Dulk, Sebastiaan Festen, Ignace H. J. T. de Hingh, Marjolein Y. V. Homs, Martijn P. W. Intven, Daan J. Lips, Maartje Los, Vincent E. de Meijer, Joost J. Nuyttens, Martijn W. J. Stommel, Roeland F. de Wilde, Johanna W. Wilmink, I. Quintus Molenaar, Hjalmar C. van Santvoort, Bas Groot Koerkamp and Casper H. J. van Eijckadd Show full author list remove Hide full author list
Cancers 2026, 18(4), 700; https://doi.org/10.3390/cancers18040700 - 20 Feb 2026
Viewed by 630
Abstract
Background/Objectives: Stereotactic body radiotherapy (SBRT) aims to prolong overall survival (OS) in patients with pancreatic ductal adenocarcinoma (PDAC) with vascular contact without progression of disease after (m)FOLFIRINOX. The primary objective of this study was to determine the potential value of SBRT. Methods: This [...] Read more.
Background/Objectives: Stereotactic body radiotherapy (SBRT) aims to prolong overall survival (OS) in patients with pancreatic ductal adenocarcinoma (PDAC) with vascular contact without progression of disease after (m)FOLFIRINOX. The primary objective of this study was to determine the potential value of SBRT. Methods: This nationwide, retrospective cohort study included patients with PDAC without progression of disease after at least four cycles of (m)FOLFIRINOX. The study comprised two cohorts, the SBRT and the No SBRT group. A landmark analysis excluded patients with a follow-up or OS time less than 12 months to minimize immortal time bias in the SBRT group. The primary outcome was OS from diagnosis. Secondary outcomes were the histopathological characteristics after resection. Results: Overall, 331 patients were included, of whom 231 were in the landmark analysis. In the overall cohort, the median OS was 20.7 months in the SBRT group versus 15.7 months in the No SBRT group (p = 0.004). In the landmark analysis, the median OS was 23.2 months in the SBRT group compared to 22.3 months in the No SBRT group (p = 0.554). These results indicate the presence of immortal time bias in the overall cohort in favor of the SBRT group. In the subgroup after resection, ypT0-2 (95% versus 76.5% [p = 0.026]), ypN0 (75% versus 37.3% [p < 0.004]), and absence of perineural invasion (50% versus 68.6% [p = 0.015]) were more prevalent in the SBRT group. Conclusions: In a landmark analysis, including only patients who survived at least 12 months after diagnosis, we found no difference in median OS between (m)FOLFIRINOX-only and (m)FOLFIRINOX with consecutive SBRT. Full article
(This article belongs to the Section Cancer Therapy)
Show Figures

Figure 1

13 pages, 383 KB  
Article
Toxicity of Ablative Radiation Therapy in the Management of Patients with Child-Pugh B/C Liver Function and Unresectable Hepatocellular Carcinoma (HCC)
by William Sperduto, Taofik Oyekunle, Donna Niedzwiecki, Christine E. Eyler, Brian Czito, Christopher G. Willett, Devon Godfrey, Joseph K. Salama, Manisha Palta and Sarah J. Stephens
Cancers 2026, 18(4), 681; https://doi.org/10.3390/cancers18040681 - 19 Feb 2026
Viewed by 439
Abstract
Background/Objectives: Hypofractionated ablative radiation is an increasingly popular option for patients with hepatocellular carcinoma (HCC). However, concern remains about the risk for radiation-induced liver toxicity in patients with decompensated liver function. Methods: We retrospectively identified patients with underlying Child-Pugh (CP) B or C [...] Read more.
Background/Objectives: Hypofractionated ablative radiation is an increasingly popular option for patients with hepatocellular carcinoma (HCC). However, concern remains about the risk for radiation-induced liver toxicity in patients with decompensated liver function. Methods: We retrospectively identified patients with underlying Child-Pugh (CP) B or C liver function treated at our University and Veterans Affairs (VA) departments from 2014 to 2019. Primary endpoints included treatment-related toxicity and dosimetric parameters. Results: 38 patients were included in the analysis. Most patients (98%) had CP B or Albumin-Bilirubin (ALBI) grade 2–3 (100%) liver disease. The median dose was 50 Gy (range 30–50) delivered in 5 or 10 fractions. Most patients had a single tumor treated (66%) with a median size of 3.1 cm (Interquartile Range (IQR) 2.3–4.1). The mean liver dose was 9.28 Gy (IQR 6.76–13.64) with a liver D800cc of 3.99 Gy (IQR 1.41–8.02). All patients completed their intended course with a median follow-up of 43 months. Four patients (10.3%) developed non-classical radiation-induced liver disease (RILD), comparable to the rate for patients with CP A function treated contemporaneously (8.3%). Otherwise, one patient (2.6%) experienced acute grade 3+ (non-RILD) hepatobiliary toxicity, while one patient (2.6%) experienced late grade 3+ hepatobiliary toxicity. Local control was promising with 2-year freedom from progression in the treated lesion of 73% (95% CI 38–91%). Median overall survival was 12 months (95% CI 5–25 months). Conclusions: Ablative radiation for patients with decompensated liver function and HCC appears well tolerated with low rates of RILD and encouraging local control. With careful selection, these patients should be considered for inclusion in future randomized trials. Full article
(This article belongs to the Special Issue Ablation Treatment for Malignant Tumors)
Show Figures

Figure 1

17 pages, 766 KB  
Article
Real-World Data on the Safety and Efficacy of SBRT for Central and Ultra-Central Lung Tumors: A Retrospective Multi-Center Cohort
by Anna Zygogianni, Andromachi Kougioumtzopoulou, Kalliopi Platoni, Maria Protopapa, Zoi Liakouli, Ioannis M. Koukourakis, Despoina Alexiou, Theodoros Stroubinis, Christina Armpilia, Christos Antypas, Michalis Psarras, Despoina Stasinou, Ioannis Georgakopoulos and Vasileios Kouloulias
Cancers 2026, 18(4), 653; https://doi.org/10.3390/cancers18040653 - 17 Feb 2026
Viewed by 722
Abstract
Background/Objectives: The use of stereotactic body radiotherapy (SBRT) for centrally and ultra-centrally located early-stage non-small cell lung cancer (NSCLC) remains clinically challenging due to the proximity of critical mediastinal organs at risk and the limited prospective evidence, particularly for ultra-central disease. Real-world [...] Read more.
Background/Objectives: The use of stereotactic body radiotherapy (SBRT) for centrally and ultra-centrally located early-stage non-small cell lung cancer (NSCLC) remains clinically challenging due to the proximity of critical mediastinal organs at risk and the limited prospective evidence, particularly for ultra-central disease. Real-world data are needed to better define the safety and efficacy of SBRT when delivered according to contemporary protocol-based planning principles. Methods: This retrospective cohort study included patients treated at two radiotherapy centers, with centralized follow-up and outcome adjudication at a single academic institution. We evaluated patients with centrally or ultra-centrally located, early-stage NSCLC treated with SBRT according to dose-fractionation and planning principles derived from the NRG Oncology/RTOG 0813 protocol. Tumors were classified as central or ultra-central according to the International Association for the Study of Lung Cancer and HILUS definitions, respectively. The prescribed dose was 50 Gy in five fractions. Primary endpoints were treatment-related toxicity and local progression-free survival (LPFS). Secondary endpoints included overall survival (OS), progression-free survival (PFS), and dosimetric outcomes. Survival endpoints were analyzed using the Kaplan–Meier method. Results: Seventy-eight patients were included, of whom 52 had centrally located and 26 ultra-centrally located tumors. Median follow-up was 57 months. The overall objective response rate was 92.3%. The estimated 4-year LPFS was 97.4% for the entire cohort, with rates of 100% for central and 91.6% for ultra-central tumors (p < 0.001). Four-year OS was 98.7%, with no treatment-related deaths observed. Treatment-related toxicity was minimal, with grade ≥ 2 events occurring in only one patient (1.3%) and no grade ≥ 3 toxicity. All treatment plans met predefined organ-at-risk dose constraints. Conclusions: In this real-world cohort, SBRT delivered according to RTOG 0813 planning principles achieved excellent local control with minimal clinically relevant toxicity in patients with centrally and ultra-centrally located early-stage NSCLC. These findings support the safe implementation of SBRT in carefully selected patients when stringent organ-at-risk constraints and conservative treatment planning are employed. Full article
(This article belongs to the Special Issue Advances in Thoracic Oncology Research)
Show Figures

Graphical abstract

Back to TopTop