PAEs Derivatives’ Design for Insulation: Integrated In-Silico Methods, Functional Assessment and Environmentally Friendly Molecular Modification
Abstract
:1. Introduction
2. Materials and Methods
2.1. Data Source
2.2. The Comprehensive Data of Insulativity, Toxicity, and Bioconcentration of PAEs Processed by Comprehensive Index Method
2.3. Construction of Comprehensive Model for PAEs’ Insulativity, Toxicity, and Bioconcentration
3. Results and Discussion
3.1. Calculation of the Comprehensive Effect Value of PAEs with Insulation, Toxicity, and Bioconcentration
3.2. Construction and Evaluation of the CoMSIA Model of PAEs’ Comprehensive Effect
3.2.1. Construction of CoMSIA Model of PAEs’ Molecular Comprehensive Effect
3.2.2. Analysis of Three-Dimensional Contour Maps of PAEs’ Comprehensive Effect Model
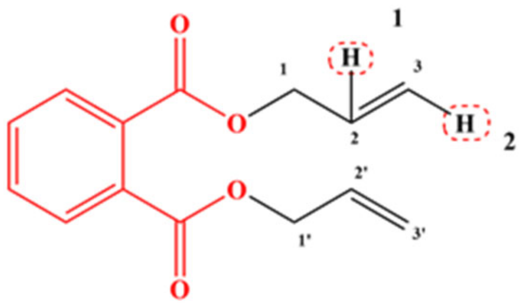
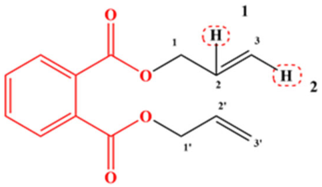
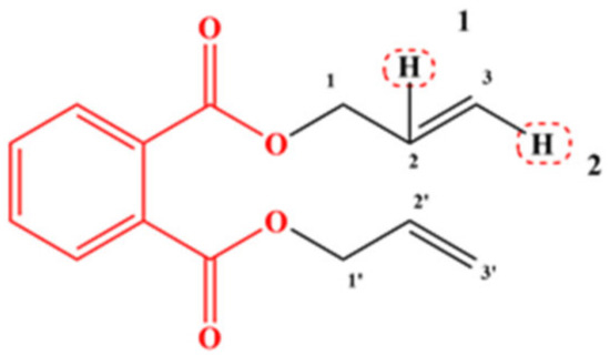
3.3. Modification and Evaluation of DAP Derivatives Based on the CoMSIA Model
3.4. Mechanism Analysis
3.4.1. Mechanism Analysis of Improvement of Molecular Toxicity and Bioconcentration of DAP Derivatives Based on Molecular Docking
3.4.2. Mechanism Analysis of Insulation Improvement of PAE Derivatives Based on Molecular Dynamics
4. Conclusions
Author Contributions
Funding
Institutional Review Board Statement
Informed Consent Statement
Acknowledgments
Conflicts of Interest
References
- Wang, T.; Hu, X.G.; Zhou, Q.X. The research progress in migration, distribution, biological eddects and analytical methods of microplastics. Chin. Sci. Bull. 2018, 63, 385–395. [Google Scholar] [CrossRef]
- Sadri, S.S.; Thompson, R.C. On the quantity and composition of floating plastic debris entering and leaving the Tamar Estuary, Southwest England. Mar. Pollut. Bull. 2014, 81, 55–60. [Google Scholar] [CrossRef] [PubMed]
- Benson, N.U.; Fred-Ahmadu, O.H. Microplastics distribution and characterization in epipsammic sediments of tropical Atlantic Ocean, Nigeria. Sci. Total Environ. 2020, 730, 139013. [Google Scholar] [CrossRef] [PubMed]
- Gorrasi, G.; Bugatti, V.; Viscusi, G.; Vittoria, V. Physical and barrier properties of chemically modified pectin with polycaprolactone through an environmentally friendly process. Colloid Polym. Sci. 2021, 299, 429–437. [Google Scholar] [CrossRef]
- Aaliya, B.; Sunooj, K.V.; Lackner, M. Biopolymer composites: A review. Int. J. Biochem. Plast. 2021, 3, 40–84. [Google Scholar] [CrossRef]
- Li, Y. Preparation of Isooctyl Copolymer and Its Plasticization on PVC Cable Compounds. Master’s Thesis, Zhejiang Sci-Tech University, Hangzhou, China, 2019. [Google Scholar]
- Wang, L.H. Properties and application of new plasticizer dioctyl terephthalate. Plast. Sci. Technol. 1986, 2, 31–34. [Google Scholar]
- Nagy, A.; Tamus, Z.Á. Effect of dioctyl phthalate (DOP) plasticizing agent on the dielectric properties of PVC insulation. In Proceedings of the Conference on Diagnostics in Electrical Engineering (Diagnostika), Pilsen, Czech Republic, 6–8 September 2016; pp. 1–4. [Google Scholar]
- Bi, M.Y.; Liu, W.; Luan, X.Y.; Li, M.Y.; Liu, M.; Liu, W.Q.; Cui, Z.J. Production, Use, and Fate of Phthalic Acid Esters for Polyvinyl Chloride Products in China. Environ. Sci. Technol. 2021, 55, 13980–13989. [Google Scholar] [CrossRef]
- Wu, D.S.; Qin, X.Y.; Tan, Q.; Xu, X.Y. Reproductive toxicity and endocrine disrupting effects of phthalate esters. Carcinog. Teratog. Mutagenes. 2015, 27, 316–322. [Google Scholar]
- Liang, Z. Mechanism of Inhibitory Effects of Phthalate Esters on Karenia Brevis; Ocean University of China: Qingdao, China, 2015. [Google Scholar]
- Yang, F.; Wang, M.; Wang, Z.Y. Sorption behavior of 17 phthalic acid esters on three soils: Effects of pH and dissolved organic matter, sorption coefficient measurement and QSPR study. Chemosphere 2013, 93, 82–89. [Google Scholar] [CrossRef]
- Wang, Y.W. Contamination and Environmental Risk of Phthalate Esters in Typical Areas, China; North China Electric Power University: Beijing, China, 2016. [Google Scholar]
- Liu, Q.; Yang, H.J.; Shi, Y.X.; Shu, L. Research progress on phthalate esters (PAEs) organic pollutants in the encironment. Chin. J. Eco-Agric. 2012, 20, 968–975. [Google Scholar] [CrossRef]
- Kida, M.; Koszelnik, P.J. Investigation of the Presence and Possible Migration from Microplastics of Phthalic Acid Esters and Polycyclic Aromatic Hydrocarbons. Polym. Environ. 2021, 29, 599–611. [Google Scholar] [CrossRef]
- Dubaish, F.; Liebezeit, G. Suspended Microplastics and Black Carbon Particles in the Jade System, Southern North Sea. Water Air Soil Pollut. 2013, 224, 1352. [Google Scholar] [CrossRef]
- Zhou, Q.; Zhang, H.B.; Zhou, Y.; Li, Y.; Xue, Y.; Fu, C.C.; Tu, C.; Luo, Y.M. Occurrences and ecological risks of microplastics in the typical coastal beaches and seas. Chin. Sci. Bull. 2016, 61, 1604–1611. [Google Scholar] [CrossRef] [Green Version]
- Zhao, Y. Research on the Removal of Trace Organic Pollutants in Taihu Lake by Advanced Oxidation Processes and Biological Pretreatment; Southeast University: Nanjing, China, 2016. [Google Scholar]
- Wang, J.; Chen, G.C.; Christie, P.; Zhang, M.Y.; Luo, Y.M.; Teng, Y. Occurrence and risk assessment of phthalate esters (PAEs) in vegetables and soils of suburban plastic film greenhouses. Sci. Total Environ. 2015, 523, 129–137. [Google Scholar] [CrossRef]
- Li, L.; Xie, J.; Wang, M.; Zhang, K. Colossal permittivity (Nb, Mg) co-doped BaTiO3 ceramics with excellent temperature stability and high insulation resistivity. Ceram. Int. 2021, 47, 10072–10078. [Google Scholar] [CrossRef]
- Han, Z.Z.; Yang, L.Z.; Du, M.J.; Li, Y. A novel pharmacophore model on PAEs’ estrogen and thyroid hormone activities using the TOPSIS and its application in molecule modification. Environ. Sci. Pollut. Res. 2020, 27, 38805–38818. [Google Scholar] [CrossRef] [PubMed]
- Saillenfait, A.M.; Sabaté, J.P.; Robert, A.; Rouiller, F.V.; Roudot, A.C.; Moison, D.; Denis, F. Dose-dependent alterations in gene expression and testosterone production in fetal rat testis after exposure to di-n-hexyl phthalate. J. Appl. Toxicol. 2013, 33, 1027–1035. [Google Scholar] [CrossRef] [PubMed]
- Shi, H.J.; Shen, Q.; Zhang, Y.H.; Zhang, Z.; Cao, Y.J. Association Between Urinary Phthalates and Pubertal Timing in Chinese Adolescents. J. Epidemiol. 2015, 25, 574–582. [Google Scholar] [CrossRef] [Green Version]
- Wang, X.D.; Du, X.Y.; Sun, W.L.; Zhan, J.L. Investigation and analysis of production in a given area of PVC material in plastic food containers by PAEs plasticizer pollution. Grain Distrib. Technol. 2015, 23, 47–49. [Google Scholar]
- Aakre, T.G.; Torbjørn, A.V.; Hestad, Ø.L. Conductivity and permittivity of midel 7131: Effect of temperature, moisture content, hydrostatic pressure and electric field. IEEE Trans. Dielectr. Electr. Insul. 2016, 23, 2957–2964. [Google Scholar] [CrossRef]
- Laue, H.; Gfeller, H.; Jenner, K.J.; Nichols, J.W.; Kern, S.; Natsch, A. Predicting the bioconcentration of fragrance ingredients by rainbow trout using measured rates of in vitro intrinsic clearance. Environ. Sci. Technol. 2014, 48, 9486–9495. [Google Scholar] [CrossRef] [PubMed]
- Li, X.X.; Gu, W.W.; Chen, B.; Zhu, Z.W.; Zhang, B.Y. Functional modification of HHCB: Strategy for obtaining environmentally friendly derivatives. J. Hazard. Mater. 2021, 416, 126116. [Google Scholar] [CrossRef] [PubMed]
- Peng, X.C.; Zhu, M.Y.; Xu, D.; Sun, Z.Q. Application of comprehensive index method in evaiuating growth and development of preschool children. Pract. Prev. Med. 2007, 6, 1709–1711. [Google Scholar]
- Zong, W.J. Evaluation about the Core Authors Based on Price Law and Comprehensive Index Method—Take Journal of Library Development as an Example. Sci. Technol. Manag. Res. 2012, 2, 57–60. [Google Scholar]
- Wu, Z.G.; Shen, M.X.; Sun, Z.Q.; Xu, L.Y. Application of synthetical evaluation methods to service quality of level-three hospitals in Hunan province. China J. Mod. Med. 2012, 22, 98–101. [Google Scholar]
- Zhou, M.Y.; Yang, J.W.; Li, Y. A model for phthalic acid esters’ biodegradability and biotoxicity multi-effect pharmacophore and its application in molecular modification. J. Environ. Sci. Health-Part A Toxic/Hazard. Subst. Environ. Eng. 2021, 56, 361–378. [Google Scholar] [CrossRef]
- Yang, R.; Liu, R.; Xu, K. Detection of urea in milk using two-dimensional correlation spectroscopy and partial least square method. Trans. Chin. Soc. Agric. Eng. 2012, 28, 259–263. [Google Scholar]
- Chang, M.W.; Lin, C. Leave-One-Out Bounds for Support Vector Regression Model Selection. Neural Comput. 2005, 17, 1188–1222. [Google Scholar] [CrossRef] [Green Version]
- Gu, W.W.; Chen, Y.; Zhang, L.; Li, Y. Prediction of octanol-water partition coefficient for polychlorinated naphthalenes through three-dimensional QSAR models. Hum. Ecol. Risk Assess. 2017, 23, 40–55. [Google Scholar] [CrossRef]
- Mahapatra, M.K.; Bera, K.; Singh, D.V.; Kumar, R.; Kumar, M. In silico modelling and molecular dynamics simulation studies of thiazolidine based PTP1B inhibitors. J. Biomol. Struct. Dyn. 2017, 36, 1195–1211. [Google Scholar] [CrossRef]
- Luze, Y.; Miao, L. 3D-QSAR model of polybrominated biphenyls tri-effect modified by standard deviation standardization method and its application in environmentally friendly molecular modification. Chem. J. Chin. Univ. 2019, 40, 2471–2479. [Google Scholar]
- Liu, S.C.; Sun, S. Combined QSAR/QSPR, Molecular Docking, and Molecular Dynamics Study of Environmentally Friendly PBDEs with Improved Insulating Properties. J. Chem. Res. Chin. Univ. 2019, 35, 478–484. [Google Scholar] [CrossRef]
- Hennig, C.; Cooper, D.D. Brief communication: The relation between standard error of the estimate and sample size of histomorphometric aging methods. Am. J. Phys. Anthropol. 2011, 145, 658–664. [Google Scholar] [CrossRef] [PubMed]
- Halder, A.K.; Saha, A.; Jha, T. Exploring QSAR and pharmacophore mapping of structurally diverse selective matrix metalloproteinase-2 inhibitors. J. Pharm. Pharmacol. 2013, 65, 1541–1554. [Google Scholar] [CrossRef] [PubMed]
- Khan, N.; Halim, S.A.; Khan, W.; Zafar, S.K.; Ul-Haq, Z. In-silico designing and characterization of binding modes of two novel inhibitors for CB1 receptor against obesity by classical 3D-QSAR approach. J. Mol. Graph. Modell. 2019, 89, 199–214. [Google Scholar] [CrossRef] [PubMed]
- Xu, Z.; Chen, Y.; Qiu, Y.L.; Gu, W.W.; Li, Y. Prediction of stability for Polychlorinated Biphenyls (PCBs) in transformer insulation oil through 3D QSAR pharmacophore model assisted with full factor experimental eesign. Chem. Res. Chin. Univ. 2016, 32, 348–356. [Google Scholar] [CrossRef]
- Li, X.X.; Zhao, Y.Y.; Chen, B.; Zhu, Z.W.; Kang, Q.; Husain, T.; Zhang, B. Inhalation and ingestion of synthetic musks in pregnant women: In silico spontaneous abortion risk evaluation and control. Environ. Int. 2022, 158, 106911. [Google Scholar] [CrossRef]
- Zhu, F.X.; Doyle, E.; Zhu, C.Y.; Zhou, D.M.; Gu, C. Metagenomic analysis exploring microbial assemblages and functional genes potentially involved in di (2-ethylhexyl phthalate degradation in soil. Sci. Total Environ. 2020, 715, 137037. [Google Scholar] [CrossRef]
- Ge, J.; Lin, F.; Deng, T.L.; Hu, H.J.; Zhao, J.; Liu, Y.; Wang, M.X.; Han, B.Y. Migration of phthalate esters (PAEs) in food simulacrum and their effect on the expression of enzymes (CYP3A4 and Aromatase). J. Chin. Inst. Food Sci. Technol. 2014, 14, 165–170. [Google Scholar]
- Cao, Y.M.; Xu, L.; Jia, L.Y. Analysis of PCBs degradation abilities of biphenyl dioxygenase derived from Enterobacter sp. LY402 by molecular simulation. New Biotechnol. 2012, 29, 90–98. [Google Scholar] [CrossRef]
- Ye, Y.; Guo, S.; Li, F.; Wu, B.; Yang, X.; Xuan, L. Coupling electrokinetics with microbial biodegradation enhances the removal of cycloparaffinic hydrocarbons in soils. J. Hazard. Mater. 2016, 320, 591–601. [Google Scholar]
- Tiehm, A.; Augenstein, T.; Ilieva, D.; Schell, H.; Weidlich, C.; Mangold, K.M. Bio-electro-remediation: Electrokinetic transport of nitrate in a flow-through system for enhanced toluene biodegradation. J. Appl. Electrochem. 2010, 40, 1263–1268. [Google Scholar] [CrossRef]


| PAEs | Permittivity | Toxicity | Bioconcentration |
|---|---|---|---|
| (F/m) | LC50 to Fish (mg/L) | logBCF | |
| DAP | 1.00184 | 5.323 | 1.798 |
| DEP | 1.00109 | 12.471 | 1.264 |
| DHP | 1.01600 | 0.095 | 2.793 |
| DIBP | 1.00560 | 1.356 | 2.379 |
| DIHP | 1.00023 | 0.028 | 3.255 |
| DIHXP | 1.00115 | 0.116 | 3.908 |
| DIPP | 1.00016 | 0.398 | 3.260 |
| DIPRP | 1.00005 | 4.568 | 1.534 |
| DMP | 1.00310 | 40.822 | 0.402 |
| DPP | 1.00459 | 0.327 | 2.988 |
| DPRP | 1.00214 | 3.749 | 2.001 |
| DTDP | 1.04921 | 1.000 × 10−5 | 1.825 |
| DMEP | 1.00087 | 124.130 | 1.330 |
| PAEs | Permittivity (F/m) | Toxicity Fish LC50 (µg/L) | Predictive Value of Bioconcentration | I |
|---|---|---|---|---|
| a DAP | 0.81 | 42.882 | 0.60 | 0.52 |
| a DEP | 1.00 | 100.467 | 0.75 | 0.66 |
| a DHP | 0.67 | 0.765 | 0.32 | 0.33 |
| a DIBP | 0.82 | 10.924 | 0.44 | 0.44 |
| b DIHP | 0.84 | 0.225 | 0.19 | 0.31 |
| a DIHXP | 0.96 | 0.934 | 0.18 | 0.33 |
| b DIPP | 0.96 | 3.206 | 0.18 | 0.33 |
| a DIPRP | 0.79 | 36.800 | 0.68 | 0.56 |
| a, b DMP | 1.00 | 328.865 | 1.00 | 0.85 |
| a DPP | 0.65 | 2.634 | 0.26 | 0.30 |
| a DPRP | 0.91 | 30.202 | 0.54 | 0.52 |
| a DTDP | 0.75 | 0.000 | 0.59 | 0.49 |
| b DMEP | 0.96 | 1000 | 0.74 | 0.85 |
| Model | n | q2 | r2 | SEE | F | S | E | H | D | A |
|---|---|---|---|---|---|---|---|---|---|---|
| CoMSIA | 6 | 0.747 | 0.929 | 0.100 | 26.209 | 31.5% | 13.3% | 30.9% | 0.00% | 12.3% |
| PAEs and Their Derivatives | Predicted Value of Comprehensive Model | Change Percentage (%) | Predicted Value of Insulation | Change Percentage (%) | Predictive Value of Toxicity | Change Percentage (%) | Predicted Value of Enrichment | Change Percentage (%) |
|---|---|---|---|---|---|---|---|---|
| DAP | 0.61 | - | 1.002 | - | 0.73 | - | 1.80 | - |
| DAP-1-Br | 0.65 | 6.23 | 1.002 | 0.00 | 0.87 | 18.49 | 1.64 | −8.62 |
| DAP-1-CH2C6H5 | 0.71 | 17.05 | 1.003 | 0.10 | 0.92 | 26.30 | 1.47 | −18.19 |
| DAP-1-CH2NO2 | 0.87 | 43.11 | 1.002 | 0.00 | 2.28 | 212.47 | 1.01 | −43.99 |
| DAP-1-F | 0.72 | 18.03 | 1.002 | 0.00 | 1.11 | 52.05 | 1.35 | −24.69 |
| DAP-1-NO2 | 0.73 | 19.02 | 1.002 | 0.00 | 2.01 | 174.79 | 1.48 | −17.58 |
| DAP-1-SH | 0.73 | 19.18 | 1.002 | 0.00 | 1.13 | 54.52 | 1.36 | −24.36 |
| DAP-2-Br | 0.75 | 22.62 | 1.004 | 0.20 | 1.22 | 66.71 | 1.28 | −28.92 |
| DAP-2-CH2NO2 | 0.97 | 59.34 | 1.004 | 0.20 | 2.27 | 210.41 | 0.16 | −90.99 |
| DAP-2-CL | 0.67 | 9.51 | 1.002 | 0.00 | 0.81 | 10.68 | 1.78 | −0.78 |
| DAP-2-COOCH3 | 0.73 | 19.34 | 1.004 | 0.20 | 0.83 | 14.11 | 1.21 | −32.93 |
| DAP-2-F | 0.73 | 19.84 | 1.002 | 0.00 | 1.00 | 36.85 | 1.39 | −22.69 |
| DAP-2-NO2 | 0.97 | 58.85 | 1.003 | 0.10 | 1.94 | 165.89 | 0.18 | −89.82 |
| DAP-2-SH | 0.69 | 13.77 | 1.002 | 0.00 | 0.94 | 28.63 | 1.60 | −10.79 |
| DAP-1-NO2-2-C6H5 | 0.77 | 26.89 | 1.003 | 0.10 | 1.06 | 44.66 | 1.35 | −25.08 |
| DAP-1-NO2-2-CH2C6H5 | 0.85 | 39.34 | 1.003 | 0.10 | 1.06 | 127.81 | 1.18 | −34.26 |
| 0.79 | 29.51 | 1.005 | 0.30 | 0.91 | 24.52 | 0.83 | −53.78 | |
| DAP-1-NO2-2-CH2CH3 | 0.82 | 34.43 | 1.004 | 0.20 | 1.88 | 157.95 | 1.48 | −17.58 |
| DAP-1-NO2-2-CH2NO2 | 1.10 | 79.84 | 1.004 | 0.20 | 2.55 | 249.45 | 1.32 | −26.36 |
| DAP-1-NO2-2-CH3 | 0.79 | 30.16 | 1.005 | 0.30 | 0.92 | 26.30 | 0.83 | −53.84 |
| DAP-1-NO2-2-CH=CH2 | 0.89 | 45.57 | 1.005 | 0.30 | 2.03 | 177.81 | 0.70 | −61.29 |
| DAP-1-NO2-2-CL | 0.87 | 42.46 | 1.003 | 0.10 | 1.23 | 68.08 | 1.29 | −28.31 |
| DAP-1-NO2-2-COOCH3 | 1.07 | 74.92 | 1.002 | 0.00 | 0.93 | 27.26 | 1.35 | −25.08 |
| DAP-1-NO2-2-F | 1.05 | 72.46 | 1.002 | 0.00 | 2.04 | 178.90 | 0.72 | −59.73 |
| DAP-1-NO2-2-NO2 | 1.31 | 114.43 | 1.003 | 0.10 | 3.20 | 338.22 | 0.76 | −57.68 |
| DAP-1-NO2-2-OCH3 | 0.84 | 37.21 | 1.006 | 0.40 | 1.83 | 150.96 | 1.40 | −22.08 |
| DAP-2-CH=CH2-1-CH2NO2 | 0.83 | 36.39 | 1.003 | 0.10 | 0.95 | 30.41 | 0.90 | −50.06 |
| DAP-2-CH=CH2-1-CH3 | 0.69 | 12.46 | 1.004 | 0.20 | 0.90 | 23.70 | 1.37 | −24.03 |
| DAP-2-CH=CH2-1-NO2 | 0.88 | 44.26 | 1.006 | 0.40 | 1.67 | 128.49 | 1.17 | −35.15 |
| DAP-2-CH=CH2-1-OCH3 | 0.74 | 21.97 | 1.003 | 0.10 | 0.94 | 28.08 | 1.39 | −22.53 |
| DAP-2-CH=CH2-1-SH | 0.76 | 24.92 | 1.002 | 0.00 | 0.84 | 14.38 | 1.46 | −18.85 |
| Molecular | Scoring Function Value of Insulation | Percentage Change (%) | Scoring Function Value of Toxicity | Percentage Change (%) | Scoring Function Value of Bioconcentration | Percentage Change (%) |
|---|---|---|---|---|---|---|
| DAP | 69.56 | - | 70.49 | - | 65.46 | - |
| DAP-1-NO2-2-C6H5 | 84.33 | 21.23 | 73.12 | 3.73 | 58.44 | −10.72 |
| DAP-1-NO2-2-CH2C6H5 | 100.31 | 44.20 | 88.95 | 26.19 | 64.83 | −0.95 |
| DAP-1-NO2-2-CH2CH2CH3 | 79.05 | 13.65 | 80.06 | 13.58 | 62.49 | −4.54 |
| DAP-1-NO2-2-OCH3 | 87.28 | 25.47 | 77.89 | 10.49 | 62.56 | −4.43 |
| Molecular | ΔG0V (kJ/mol) | Percentage Change (%) | ΔG5V (kJ/mol) | Percentage Change (%) |
|---|---|---|---|---|
| DAP | −80.027 | - | −35.095 | - |
| DAP-1-NO2-2-CH2C6H5 | −91.797 | −14.71 | −22.167 | 36.84 |
| DAP-1-NO2-2-CH2CH2CH3 | −136.126 | −70.10 | −137.160 | −290.82 |
| DAP-1-NO2-2-OCH3 | −117.931 | −47.36 | −73.976 | −110.79 |
Publisher’s Note: MDPI stays neutral with regard to jurisdictional claims in published maps and institutional affiliations. |
© 2022 by the authors. Licensee MDPI, Basel, Switzerland. This article is an open access article distributed under the terms and conditions of the Creative Commons Attribution (CC BY) license (https://creativecommons.org/licenses/by/4.0/).
Share and Cite
Zhang, H.; Zhao, C.; Na, H. PAEs Derivatives’ Design for Insulation: Integrated In-Silico Methods, Functional Assessment and Environmentally Friendly Molecular Modification. Int. J. Environ. Res. Public Health 2022, 19, 3232. https://doi.org/10.3390/ijerph19063232
Zhang H, Zhao C, Na H. PAEs Derivatives’ Design for Insulation: Integrated In-Silico Methods, Functional Assessment and Environmentally Friendly Molecular Modification. International Journal of Environmental Research and Public Health. 2022; 19(6):3232. https://doi.org/10.3390/ijerph19063232
Chicago/Turabian StyleZhang, Haigang, Chengji Zhao, and Hui Na. 2022. "PAEs Derivatives’ Design for Insulation: Integrated In-Silico Methods, Functional Assessment and Environmentally Friendly Molecular Modification" International Journal of Environmental Research and Public Health 19, no. 6: 3232. https://doi.org/10.3390/ijerph19063232
APA StyleZhang, H., Zhao, C., & Na, H. (2022). PAEs Derivatives’ Design for Insulation: Integrated In-Silico Methods, Functional Assessment and Environmentally Friendly Molecular Modification. International Journal of Environmental Research and Public Health, 19(6), 3232. https://doi.org/10.3390/ijerph19063232

