Effects of Meteorological Factors and Air Pollutants on COVID-19 Transmission under the Action of Control Measures
Abstract
:1. Introduction
2. Materials and Methods
2.1. Study Area
2.2. Data Sources
2.3. Research Methods
2.3.1. Statistical Analysis
2.3.2. Geographically Weighted Regression (GWR)
2.3.3. Geographic Detector Model (Geodetector)
3. Results
3.1. Global Spatial Autocorrelation Analysis
3.2. Local Spatial Autocorrelation Analysis
3.3. Descriptive Analysis
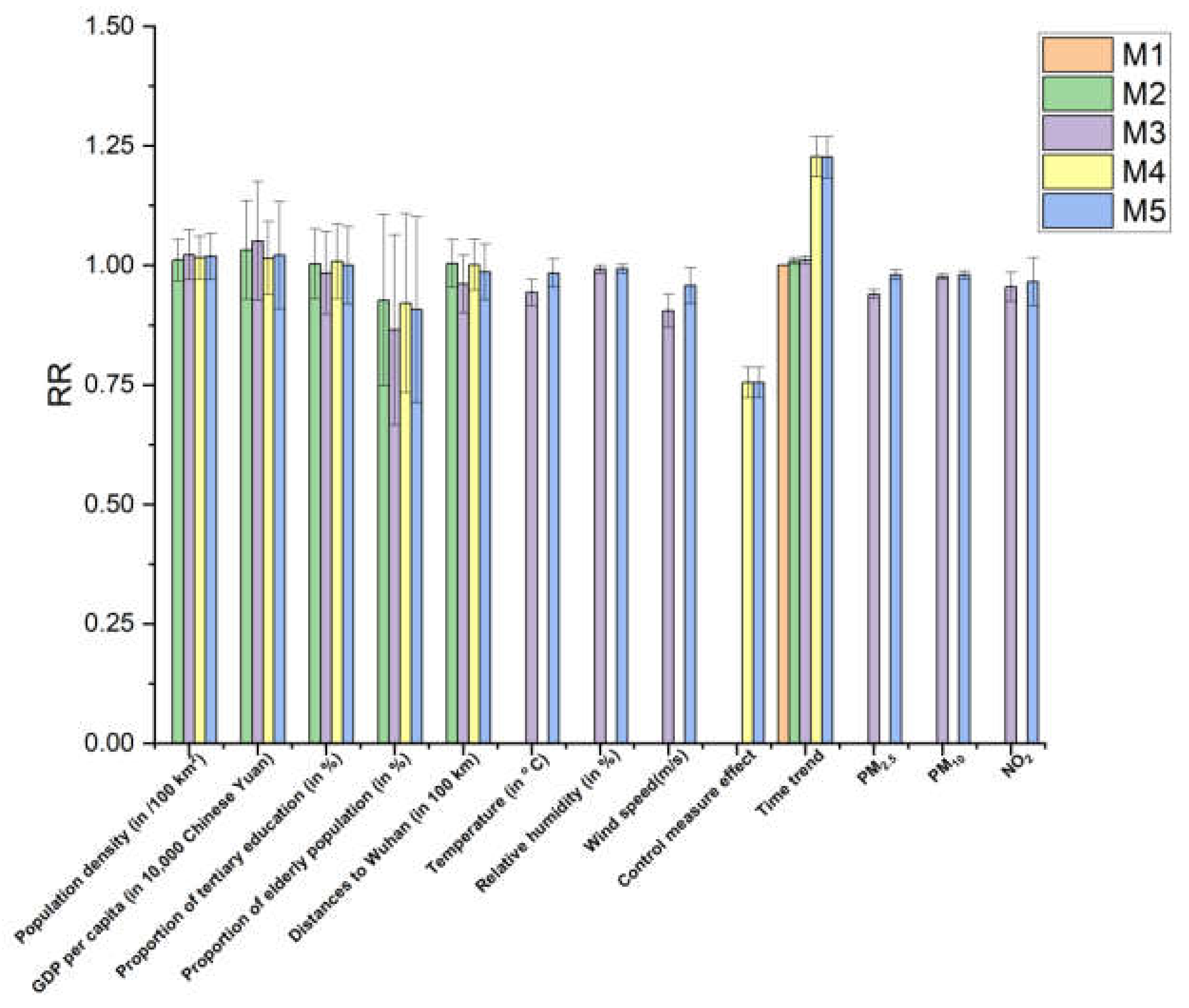
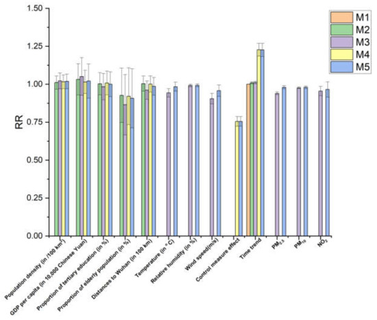
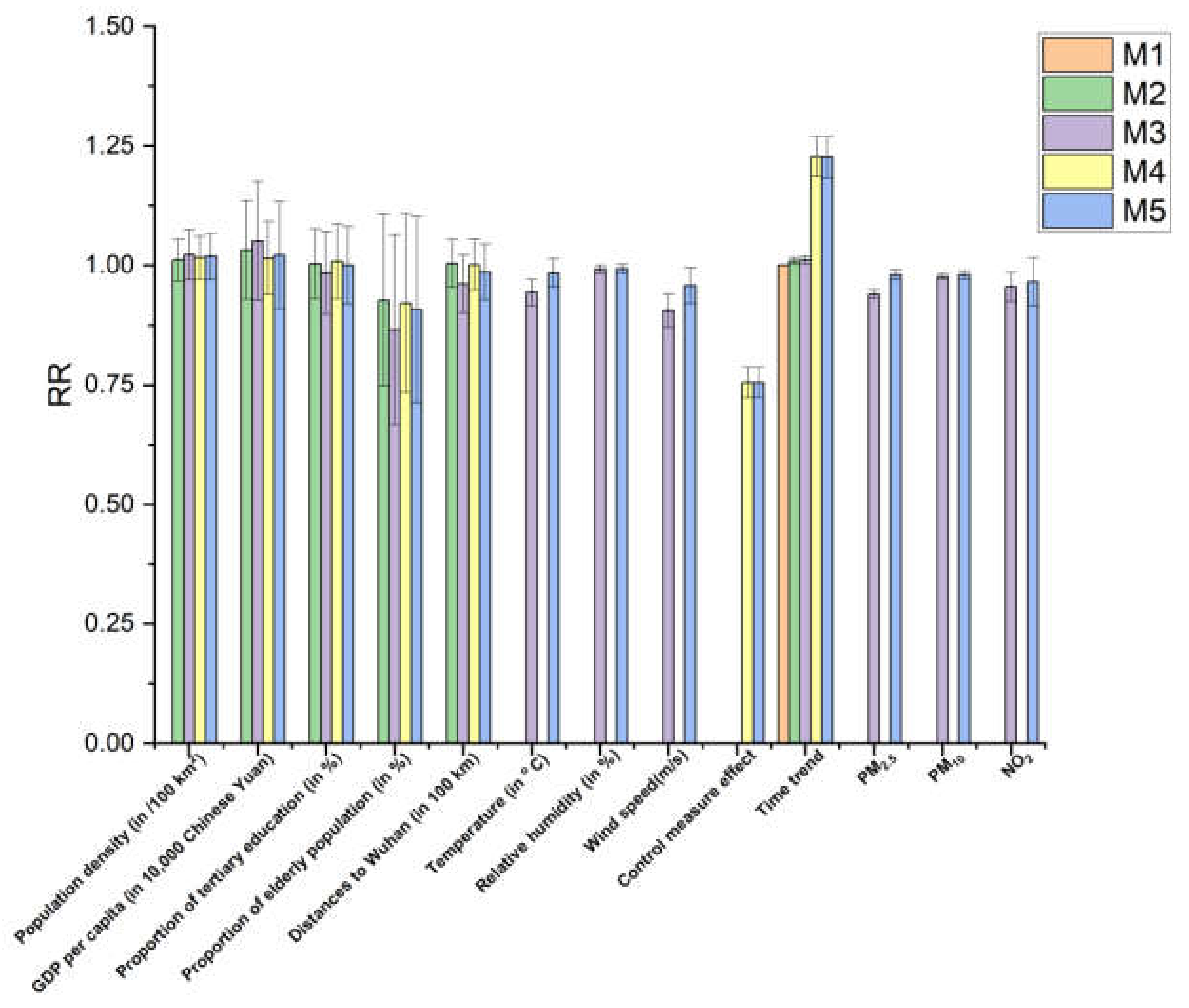
3.4. The Generalized Linear Mixed Effect Model (GLMM) Analysis Results
3.5. The Effect of Meteorological Factors and Air Pollutants on COVID-19 Incidence Rates
3.5.1. Spearman Correlation Analyses
3.5.2. Spatial Differences of Various Factors Based on GWR Model Analysis
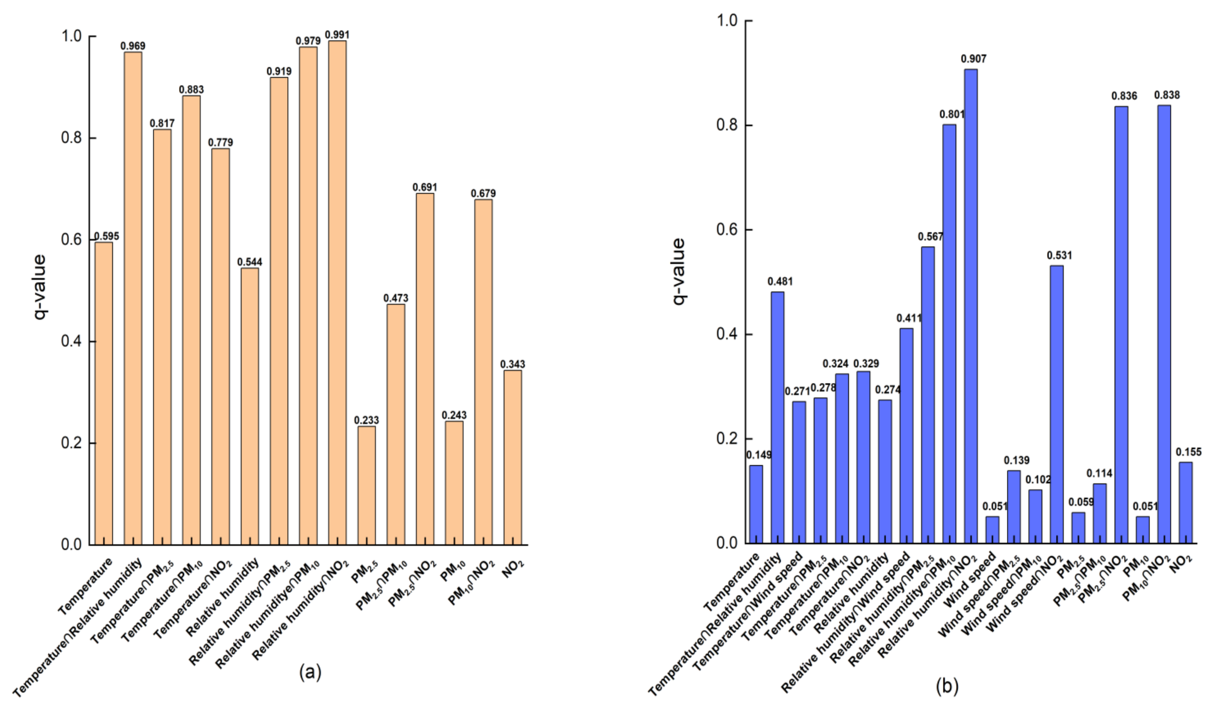
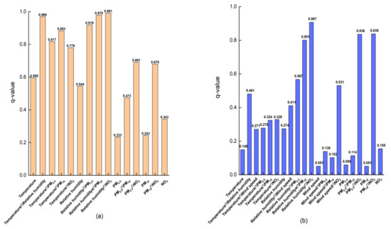
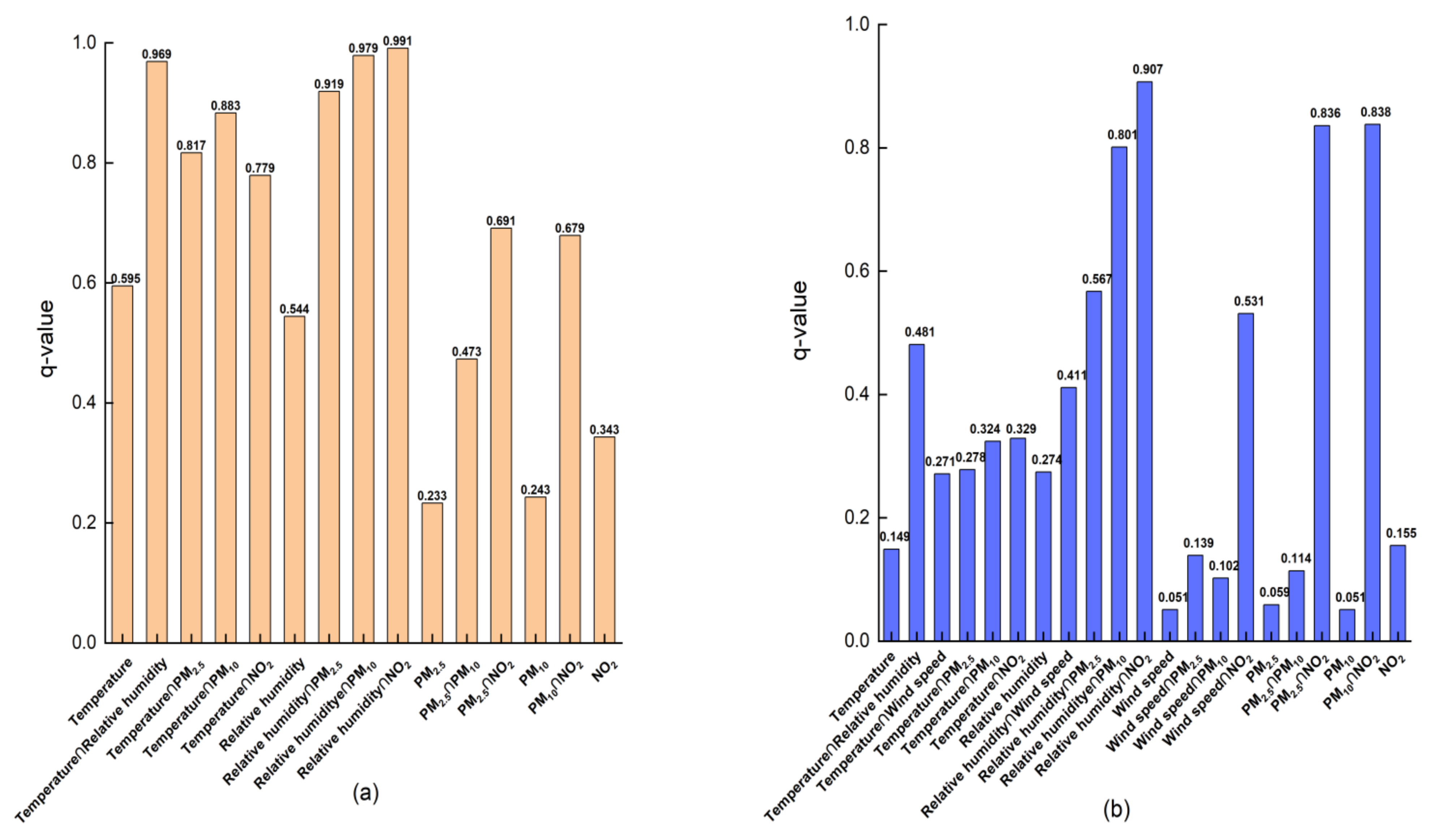
3.6. Interaction of Affecting Factors
4. Discussion
5. Conclusions
Author Contributions
Funding
Institutional Review Board Statement
Informed Consent Statement
Data Availability Statement
Conflicts of Interest
References
- Estrada, M.A.R.; Koutronas, E.; Lee, M. Stagpression: The Economic and Financial Impact of the COVID-19 Pandemic. Contemp. Econ. 2021, 15, 19–33. [Google Scholar] [CrossRef]
- Bashir, M.F.; Ma, B.; Bilal; Komal, B.; Bashir, M.A.; Tan, D.; Bashir, M. Correlation between climate indicators and COVID-19 pandemic in New York, USA. Sci. Total Environ. 2020, 728, 138835. [Google Scholar] [CrossRef] [PubMed]
- Fattorini, D.; Regoli, F. Role of the chronic air pollution levels in the COVID-19 outbreak risk in Italy. Environ. Pollut. 2020, 264, 114732. [Google Scholar] [CrossRef] [PubMed]
- Qi, H.; Xiao, S.; Shi, R.; Ward, M.P.; Chen, Y.; Tu, W.; Su, Q.; Wang, W.; Wang, X.; Zhang, Z. COVID-19 transmission in Mainland China is associated with temperature and humidity: A time-series analysis. Sci. Total Environ. 2020, 728, 138778. [Google Scholar] [CrossRef] [PubMed]
- Sweijd, N.; Zaitchik, B.F. The 2020 WMO Symposium on Climatological, Meteorological and Environmental factors in the COVID-19 pandemic: A special issue from symposium presentations. One Health 2020, 12, 100243. [Google Scholar] [CrossRef] [PubMed]
- Auler, A.C.; Cassaro, F.A.M.; da Silva, V.O.; Pires, L.F. Evidence that high temperatures and intermediate relative humidity might favor the spread of COVID-19 in tropical climate: A case study for the most affected Brazilian cities. Sci. Total Environ. 2020, 729, 139090. [Google Scholar] [CrossRef]
- Bashir, M.F.; Ma, B.J.; Bilal; Komal, B.; Bashir, M.A.; Farooq, T.H.; Iqbal, N.; Bashir, M. Correlation between environmental pollution indicators and COVID-19 pandemic: A brief study in Californian context. Environ. Res. 2020, 187, 109652. [Google Scholar] [CrossRef]
- Iqbal, N.; Fareed, Z.; Shahzad, F.; Xin, H.; Shahzad, U.; Ma, L. The nexus between COVID-19, temperature and exchange rate in Wuhan city: New findings from partial and multiple wavelet coherence. Sci. Total Environ. 2020, 729, 138916. [Google Scholar] [CrossRef]
- Shahzad, F.; Shahzad, U.; Fareed, Z.; Iqbal, N.; Hashmi, S.H.; Ahmad, F. Asymmetric nexus between temperature and COVID-19 in the top ten affected provinces of China: A current application of quantile-on-quantile approach. Sci. Total Environ. 2020, 736, 139115. [Google Scholar] [CrossRef]
- Guo, X.-J.; Zhang, H.; Zeng, Y.-P. Transmissibility of COVID-19 in 11 major cities in China and its association with temperature and humidity in Beijing, Shanghai, Guangzhou, and Chengdu. Infect. Dis. Poverty 2020, 9. [Google Scholar] [CrossRef]
- Liu, J.; Zhou, J.; Yao, J.; Zhang, X.; Li, L.; Xu, X.; He, X.; Wang, B.; Fu, S.; Niu, T.; et al. Impact of meteorological factors on the COVID-19 transmission: A multi-city study in China. Sci. Total Environ. 2020, 726, 138513. [Google Scholar] [CrossRef]
- Xie, J.; Zhu, Y. Association between ambient temperature and COVID-19 infection in 122 cities from China. Sci. Total Environ. 2020, 724, 138201. [Google Scholar] [CrossRef]
- Yao, Y.; Pan, J.; Liu, Z.; Meng, X.; Wang, W.; Kan, H.; Wang, W. No association of COVID-19 transmission with temperature or UV radiation in Chinese cities. Eur. Respir. J. 2020, 55. [Google Scholar] [CrossRef] [Green Version]
- Tosepu, R.; Gunawan, J.; Effendy, D.S.; Ahmad, L.O.A.I.; Lestari, H.; Bahar, H.; Asfian, P. Correlation between weather and Covid-19 pandemic in Jakarta, Indonesia. Sci. Total Environ. 2020, 725, 138436. [Google Scholar] [CrossRef]
- Briz-Redon, A.; Serrano-Aroca, A. A spatio-temporal analysis for exploring the effect of temperature on COVID-19 early evolution in Spain. Sci. Total Environ. 2020, 728, 138811. [Google Scholar] [CrossRef]
- Prata, D.N.; Rodrigues, W.; Bermejo, P.H. Temperature significantly changes COVID-19 transmission in (sub) tropical cities of Brazil. Sci. Total Environ. 2020, 729, 138862. [Google Scholar] [CrossRef]
- Jahangiri, M.; Jahangiri, M.; Najafgholipour, M. The sensitivity and speci ficity analyses of ambient temperature and population size on the transmission rate of the novel coronavirus (COVID-19) in different provinces of Iran. Sci. Total Environ. 2020, 728, 138872. [Google Scholar] [CrossRef]
- Ali, I.; Alharbi, O.M.L. COVID-19: Disease, management, treatment, and social impact. Sci. Total Environ. 2020, 728, 138861. [Google Scholar] [CrossRef]
- Sahin, M. Impact of weather on COVID-19 pandemic in Turkey. Sci. Total Environ. 2020, 728, 138810. [Google Scholar] [CrossRef]
- Ahmadi, M.; Sharifi, A.; Dorosti, S.; Ghoushchi, S.J.; Ghanbari, N. Investigation of effective climatology parameters on COVID-19 outbreak in Iran. Sci. Total Environ. 2020, 729, 138705. [Google Scholar] [CrossRef]
- Coccia, M. Factors determining the diffusion of COVID-19 and suggested strategy to prevent future accelerated viral infectivity similar to COVID. Sci. Total Environ. 2020, 729, 138474. [Google Scholar] [CrossRef]
- Setti, L.; Passarini, F.; De Gennaro, G.; Barbieri, P.; Licen, S.; Perrone, M.G.; Piazzalunga, A.; Borelli, M.; Palmisani, J.; Di Gilio, A.; et al. Potential role of particulate matter in the spreading of COVID-19 in Northern Italy: First observational study based on initial epidemic diffusion. BMJ Open 2020, 10, e039338. [Google Scholar] [CrossRef]
- Bourdrel, T.; Annesi-Maesano, I.; Alahmad, B.; Maesano, C.N.; Bind, M.-A. The impact of outdoor air pollution on COVID-19: A review of evidence from in vitro, animal, and human studies. Eur. Respir. Rev. 2021, 30. [Google Scholar] [CrossRef]
- Zhu, Y.; Xie, J.; Huang, F.; Cao, L. Association between short-term exposure to air pollution and COVID-19 infection: Evidence from China. Sci. Total Environ. 2020, 727, 138704. [Google Scholar] [CrossRef]
- Jiang, Y.; Wu, X.-J.; Guan, Y.-J. Effect of ambient air pollutants and meteorological variables on COVID-19 incidence. Infect. Control Hosp. Epidemiol. 2020, 41, 1011–1015. [Google Scholar] [CrossRef]
- Arab-Mazar, Z.; Sah, R.; Rabaan, A.A.; Dhama, K.; Rodriguez-Morales, A.J. Mapping the incidence of the COVID-19 hotspot in Iran—Implications for Travellers. Travel Med. Infect. Dis. 2020, 34, 101630. [Google Scholar] [CrossRef]
- Wang, Y.; Liu, Y.; Struthers, J.; Lian, M. Spatiotemporal Characteristics of the COVID-19 Epidemic in the United States. Clin. Infect. Dis. 2021, 72, 643–651. [Google Scholar] [CrossRef]
- Zhao, X.; Li, X.; Nie, C. Backtracking Transmission of COVID-19 in China Based on Big Data Source, and Effect of Strict Pandemic Control Policy. Bull. Chin. Acad. Sci. 2020, 35, 248–255. [Google Scholar]
- Liu, M.; Xu, H.L.; Yuan, M.; Liu, Z.R.; Wu, X.Y.; Zhang, Y.; Ma, L.Y.; Gong, L.; Gan, H.; Liu, W.W.; et al. Analysis on epidemic situation and spatiotemporal changes of COVID-19 in Anhui. Zhonghua Yu Fang Yi Xue Za Zhi [Chin. J. Prev. Med. ] 2020, 54, 630–633. [Google Scholar] [CrossRef]
- Jin, A.; Li, G.; Wang, J.; Xu, T.; Yu, Y.; Hu, Z.; Yang, J. Spatio-temporal evolution and control strategies of COVID-19 epidemic in Shenzhen, China. J. Shaanxi Norm. Univ. Nat. Sci. Ed. 2020, 48, 18–32. [Google Scholar]
- Anselin, L.; Syabri, I.; Kho, Y. GeoDa: An introduction to spatial data analysis. In Handbook of Applied Spatial Analysis; Springer: Berlin/Heidelberg, Germany, 2010; pp. 73–89. [Google Scholar] [CrossRef]
- Liu, D.; Zheng, X.; Zhang, L. Simulation of Spatiotemporal Relationship between COVID-19 Propagation and Regional Economic Development in China. Land 2021, 10, 599. [Google Scholar] [CrossRef]
- Chong, K.C.; Ran, J.; Lau, S.Y.F.; Goggins, W.B.; Zhao, S.; Wang, P.; Tian, L.; Wang, M.H.; Mohammad, K.N.; Wei, L.; et al. Limited role for meteorological factors on the variability in COVID-19 incidence: A retrospective study of 102 Chinese cities. PLoS Negl. Trop. Dis. 2021, 15, e0009056. [Google Scholar] [CrossRef] [PubMed]
- Zhang, J.; Litvinova, M.; Wang, W.; Wang, Y.; Deng, X.; Chen, X.; Li, M.; Zheng, W.; Yi, L.; Chen, X.; et al. Evolving epidemiology and transmission dynamics of coronavirus disease 2019 outside Hubei province, China: A descriptive and modelling study. Lancet Infect. Dis. 2020, 20, 793–802. [Google Scholar] [CrossRef]
- Nakagawa, S.; Johnson, P.C.D.; Schielzeth, H. The coefficient of determination R-2 and intra-class correlation coefficient from generalized linear mixed-effects models revisited and expanded. J. R. Soc. Interface 2017, 14. [Google Scholar] [CrossRef] [Green Version]
- Fotheringham, A.S.; Oshan, T.M. Geographically weighted regression and multicollinearity: Dispelling the myth. J. Geogr. Syst. 2016, 18, 303–329. [Google Scholar] [CrossRef]
- Guo, B.; Wang, Y.; Pei, L.; Yu, Y.; Liu, F.; Zhang, D.; Wang, X.; Su, Y.; Zhang, D.; Zhang, B.; et al. Determining the effects of socioeconomic and environmental determinants on chronic obstructive pulmonary disease (COPD) mortality using geographically and temporally weighted regression model across Xi’an during 2014–2016. Sci. Total Environ. 2021, 756, 143869. [Google Scholar] [CrossRef]
- Guo, B.; Wang, X.; Pei, L.; Su, Y.; Zhang, D.; Wang, Y. Identifying the spatiotemporal dynamic of PM2.5 concentrations at multiple scales using geographically and temporally weighted regression model across China during 2015–2018. Sci. Total Environ. 2021, 751, 141765. [Google Scholar] [CrossRef]
- McMillen, D.P. Geographically weighted regression: The analysis of spatially varying relationships. Am. J. Agric. Econ. 2004, 86, 554–556. [Google Scholar] [CrossRef]
- Wang, J.; Xu, C. Geodetector: Principle and prospective. Acta Geogr. Sin. 2017, 72, 116–134. [Google Scholar]
- Wang, J.-F.; Li, X.-H.; Christakos, G.; Liao, Y.-L.; Zhang, T.; Gu, X.; Zheng, X.-Y. Geographical Detectors-Based Health Risk Assessment and its Application in the Neural Tube Defects Study of the Heshun Region, China. Int. J. Geogr. Inf. Sci. 2010, 24, 107–127. [Google Scholar] [CrossRef]
- Anselin, L.; Syabri, I.; Kho, Y. GeoDa: An introduction to spatial data analysis. Geogr. Anal. 2006, 38, 5–22. [Google Scholar] [CrossRef]
- Schober, P.; Boer, C.; Schwarte, L.A. Correlation Coefficients: Appropriate Use and Interpretation. Anesth. Analg. 2018, 126, 1763–1768. [Google Scholar] [CrossRef]
- Pozzer, A.; Dominici, F.; Haines, A.; Witt, C.; Munzel, T.; Lelieveld, J. Regional and global contributions of air pollution to risk of death from COVID-19. Cardiovasc. Res. 2020, 116, 2247–2253. [Google Scholar] [CrossRef]
- De Angel Sola, D.E.; Wang, L.; Vazquez, M.; Mendez-Lazaro, P.A. Weathering the pandemic: How the Caribbean Basin can use viral and environmental patterns to predict, prepare, and respond to COVID-19. J. Med. Virol. 2020, 92, 1460–1468. [Google Scholar] [CrossRef] [Green Version]
- Cai, Q.-C.; Lu, J.; Xu, Q.-F.; Guo, Q.; Xu, D.-Z.; Sun, Q.-W.; Yang, H.; Zhao, G.-M.; Jiang, Q.-W. Influence of meteorological factors and air pollution on the outbreak of severe acute respiratory syndrome. Public Health 2007, 121, 258–265. [Google Scholar] [CrossRef]
- Wu, Y.; Jing, W.; Liu, J.; Ma, Q.; Yuan, J.; Wang, Y.; Du, M.; Liu, M. Effects of temperature and humidity on the daily new cases and new deaths of COVID-19 in 166 countries. Sci. Total Environ. 2020, 729, 139051. [Google Scholar] [CrossRef]
- Wang, J.; Tang, K.; Feng, K.; Lin, X.; Lv, W.; Chen, K.; Wang, F. Impact of temperature and relative humidity on the transmission of COVID-19: A modelling study in China and the United States. BMJ Open 2021, 11, e043863. [Google Scholar] [CrossRef]











| Interaction Categories | Description |
|---|---|
| Enhance | q (X1 ∩ X2) > q (X1) or q (X2) |
| Bi-enhance | q (X1 ∩ X2) > q (X1) and q (X2) |
| Enhance, nonlinear | q (X1 ∩ X2) > q (X1) + q (X2) |
| Weaken | q (X1 ∩ X2) < q (X1) + q (X2) |
| Weaken, uni-enhance | q (X1 ∩ X2) < q (X1) or q (X2) |
| Weaken, nonlinear | q (X1 ∩ X2) < q (X1) and q (X2) |
| Independent | q (X1 ∩ X2) = q (X1) + q (X2) |
| Mean | Min | Max | |
|---|---|---|---|
| City-specific characteristics | |||
| Population (in 10,000) | 605 | 60 | 3397 |
| Population density (in people/km2) | 514 | 66 | 6523 |
| GDP per capita (in 10,000 Chinese Yuan) | 6.3 | 2.2 | 19 |
| Proportion of population with higher education (%) | 12.0 | 8.5 | 42.3 |
| Proportion of elderly population (%) | 10.8 | 7.4 | 12.9 |
| Distances to Wuhan (in 100 km) | 9.3 | 2.1 | 32.7 |
| Meteorological factors | |||
| Mean temperature (°C) | 6.46 | −33.8 | 26.5 |
| Relative humidity (%) | 67.26 | 17 | 100 |
| Wind speed (m/s) | 1.27 | 0 | 15.4 |
| Air pollution | |||
| PM2.5 (μg/m3) | 39.86 | 2 | 554 |
| PM10 (μg/m3) | 53.99 | 4 | 632 |
| NO2 (μg/m3) | 16.74 | 2 | 86 |
| Stringency Index | 29.87 | 5.56 | 79.17 |
| Dominant Interaction Factor | q Value | Interact Result |
|---|---|---|
| Temperature ∩ Relative humidity | 0.969 | Bi-enhance |
| Temperature ∩ PM2.5 | 0.817 | Bi-enhance |
| Temperature ∩ PM10 | 0.883 | Enhance, nonlinear |
| Temperature ∩ NO2 | 0.779 | Bi-enhance |
| Relative humidity ∩ PM2.5 | 0.919 | Enhance, nonlinear |
| Relative humidity ∩ PM10 | 0.979 | Enhance, nonlinear |
| Relative humidity ∩ NO2 | 0.991 | Enhance, nonlinear |
| PM2.5 ∩ PM10 | 0.474 | Bi-enhance |
| PM2.5 ∩ NO2 | 0.691 | Enhance, nonlinear |
| PM10 ∩ NO2 | 0.679 | Enhance, nonlinear |
| Dominant Interaction Factor | q Value | Interact Result |
|---|---|---|
| Temperature ∩ Relative humidity | 0.481 | Enhance, nonlinear |
| Temperature ∩ Wind speed | 0.271 | Enhance, nonlinear |
| Temperature ∩ PM2.5 | 0.278 | Enhance, nonlinear |
| Temperature ∩ PM10 | 0.324 | Enhance, nonlinear |
| Temperature ∩ NO2 | 0.329 | Enhance, nonlinear |
| Relative humidity ∩ Wind speed | 0.411 | Enhance, nonlinear |
| Relative humidity ∩ PM2.5 | 0.567 | Enhance, nonlinear |
| Relative humidity ∩ PM10 | 0.801 | Enhance, nonlinear |
| Relative humidity ∩ NO2 | 0.907 | Enhance, nonlinear |
| Wind speed ∩ PM2.5 | 0.139 | Enhance, nonlinear |
| Wind speed ∩ PM10 | 0.102 | Bi-enhance |
| Wind speed ∩ NO2 | 0.531 | Enhance, nonlinear |
| PM2.5 ∩ PM10 | 0.114 | Bi-enhance |
| PM2.5 ∩ NO2 | 0.836 | Enhance, nonlinear |
| PM10 ∩ NO2 | 0.838 | Enhance, nonlinear |
Publisher’s Note: MDPI stays neutral with regard to jurisdictional claims in published maps and institutional affiliations. |
© 2022 by the authors. Licensee MDPI, Basel, Switzerland. This article is an open access article distributed under the terms and conditions of the Creative Commons Attribution (CC BY) license (https://creativecommons.org/licenses/by/4.0/).
Share and Cite
Han, F.; Zheng, X.; Wang, P.; Liu, D.; Zheng, M. Effects of Meteorological Factors and Air Pollutants on COVID-19 Transmission under the Action of Control Measures. Int. J. Environ. Res. Public Health 2022, 19, 9323. https://doi.org/10.3390/ijerph19159323
Han F, Zheng X, Wang P, Liu D, Zheng M. Effects of Meteorological Factors and Air Pollutants on COVID-19 Transmission under the Action of Control Measures. International Journal of Environmental Research and Public Health. 2022; 19(15):9323. https://doi.org/10.3390/ijerph19159323
Chicago/Turabian StyleHan, Fei, Xinqi Zheng, Peipei Wang, Dongya Liu, and Minrui Zheng. 2022. "Effects of Meteorological Factors and Air Pollutants on COVID-19 Transmission under the Action of Control Measures" International Journal of Environmental Research and Public Health 19, no. 15: 9323. https://doi.org/10.3390/ijerph19159323
APA StyleHan, F., Zheng, X., Wang, P., Liu, D., & Zheng, M. (2022). Effects of Meteorological Factors and Air Pollutants on COVID-19 Transmission under the Action of Control Measures. International Journal of Environmental Research and Public Health, 19(15), 9323. https://doi.org/10.3390/ijerph19159323

