Post-activation Performance Enhancement after a Bout of Accentuated Eccentric Loading in Collegiate Male Volleyball Players
Abstract
:1. Introduction
2. Materials and Methods
2.1. Study Design
2.2. Participants
2.3. Procedures
2.3.1. Maximal Strength Testing
2.3.2. AEL and TR Exercise Protocol
2.3.3. Countermovement Jump Test
2.3.4. Spike jump test
2.3.5. Isometric Mid-thigh Pull Test
2.3.6. Muscle Soreness Test
2.4. Statistical Analyses
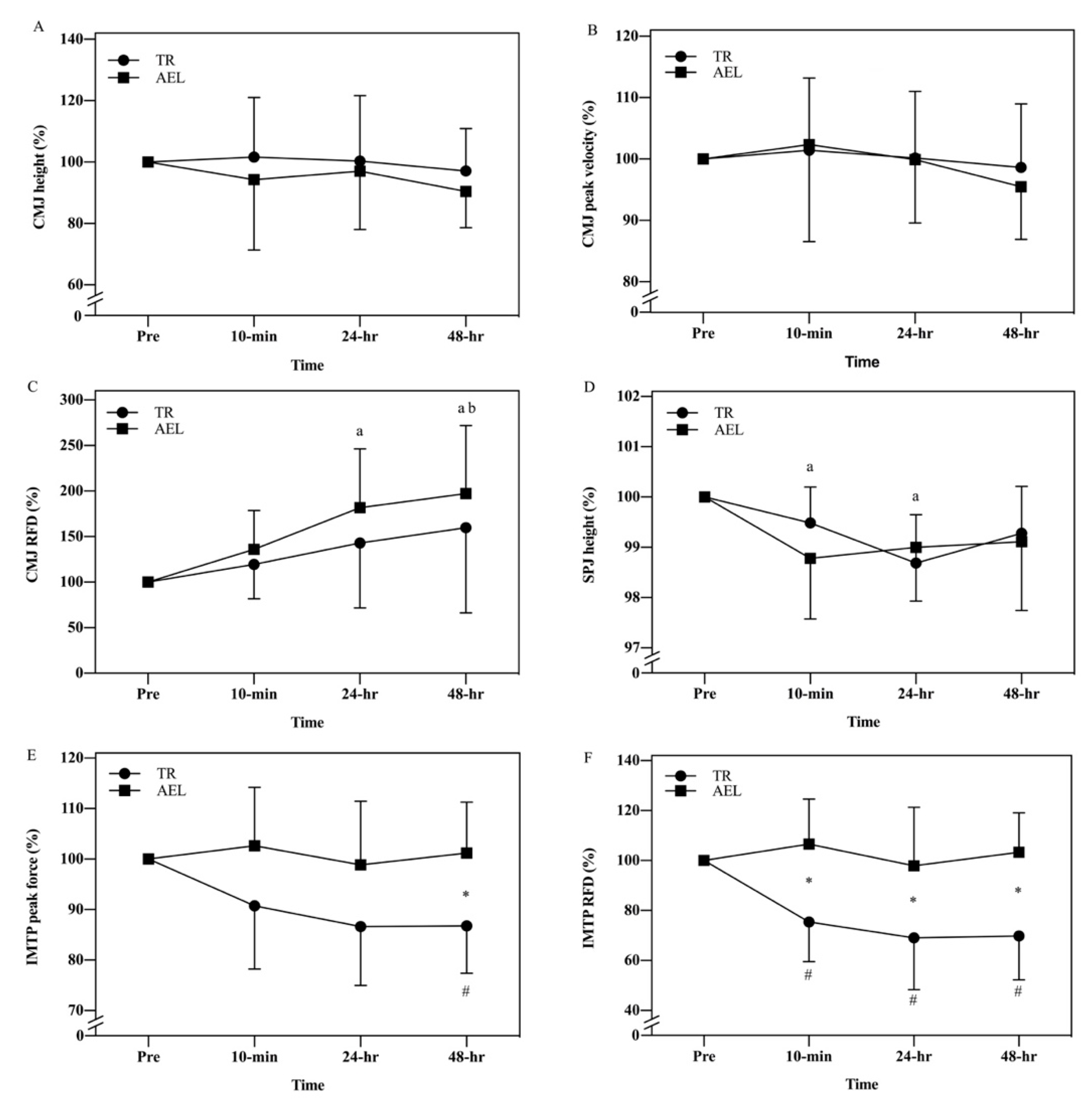
3. Results
4. Discussion
5. Conclusions
Author Contributions
Funding
Institutional Review Board Statement
Informed Consent Statement
Data Availability Statement
Acknowledgments
Conflicts of Interest
References
- Suchomel, T.J.; Nimphius, S.; Stone, M.H. The Importance of Muscular Strength in Athletic Performance. Sports Med. 2016, 46, 1419–1449. [Google Scholar] [CrossRef]
- Suchomel, T.J.; Nimphius, S.; Bellon, C.R.; Stone, M.H. The Importance of Muscular Strength: Training Considerations. Sports Med. 2018, 48, 765–785. [Google Scholar] [CrossRef] [PubMed]
- Walker, S.; Blazevich, A.J.; Haff, G.G.; Tufano, J.J.; Newton, R.U.; Häkkinen, K. Greater strength gains after training with accentuated eccentric than traditional isoinertial loads in already strength-trained men. Front. Physiol. 2016, 7, 149. [Google Scholar] [CrossRef] [PubMed] [Green Version]
- Wagle, J.P.; Taber, C.B.; Cunanan, A.J.; Bingham, G.E.; Carroll, K.M.; DeWeese, B.H.; Sato, K.; Stone, M.H. Accentuated eccentric loading for training and performance: A review. Sports Med. 2017, 47, 2473–2495. [Google Scholar] [CrossRef] [PubMed]
- Westing, S.H.; Seger, J.Y.; Karlson, E.; Ekblom, B. Eccentric and concentric torque-velocity characteristics of the quadriceps femoris in man. Eur. J. Appl. Physiol. Occup. Physiol. 1988, 58, 100–104. [Google Scholar] [CrossRef]
- Wagle, J.P.; Cunanan, A.J.; Carroll, K.M.; Sams, M.L.; Wetmore, A.; Bingham, G.E.; Taber, C.B.; DeWeese, B.H.; Sato, K.; Stuart, C.A.; et al. Accentuated Eccentric Loading and Cluster Set Configurations in the Back Squat: A Kinetic and Kinematic Analysis. J. Strength Cond. Res. 2018, 35, 420–427. [Google Scholar] [CrossRef]
- Sheppard, J.; Hobson, S.; Barker, M.; Taylor, K.; Chapman, D.; McGuigan, M.; Newton, R. The Effect of Training with Accentuated Eccentric Load Counter-Movement Jumps on Strength and Power Characteristics of High-Performance Volleyball Players. Int. J. Sports Sci. Coach. 2008, 3, 355–363. [Google Scholar] [CrossRef] [Green Version]
- Friedmann-Bette, B.; Bauer, T.; Kinscherf, R.; Vorwald, S.; Klute, K.; Bischoff, D.; Müller, H.; Weber, M.-A.; Metz, J.; Kauczor, H.-U. Effects of strength training with eccentric overload on muscle adaptation in male athletes. Eur. J. Appl. Physiol. 2010, 108, 821–836. [Google Scholar] [CrossRef]
- Ojasto, T.; Hakkinen, K. Effects of different accentuated eccentric load levels in eccentric-concentric actions on acute neuromuscular, maximal force, and power responses. J. Strength Cond. Res. 2009, 23, 996–1004. [Google Scholar] [CrossRef]
- Tillin, N.A.; Bishop, D. Factors modulating post-activation potentiation and its effect on performance of subsequent explosive activities. Sports Med. 2009, 39, 147–166. [Google Scholar] [CrossRef]
- Cuenca-Fernández, F.; Smith, I.C.; Jordan, M.J.; MacIntosh, B.R.; López-Contreras, G.; Arellano, R.; Herzog, W. Nonlocalized postactivation performance enhancement (PAPE) effects in trained athletes: A pilot study. Appl. Physiol. Nutr. Metab. 2017, 42, 1122–1125. [Google Scholar] [CrossRef]
- Bishop, D. Warm up I: Potential mechanisms and the effects of passive warm up on exercise performance. Sports Med. 2003, 33, 439–454. [Google Scholar] [CrossRef] [PubMed]
- Hughes, J.D.; Massiah, R.G.; Clarke, R.D. The Potentiating Effect of an Accentuated Eccentric Load on Countermovement Jump Performance. J. Strength Cond. Res. 2016, 30, 3450–3455. [Google Scholar] [CrossRef] [PubMed]
- Chiu, L.Z.; Fry, A.C.; Weiss, L.W.; Schilling, B.K.; Brown, L.E.; Smith, S.L. Postactivation potentiation response in athletic and recreationally trained individuals. J. Strength Cond. Res. 2003, 17, 671–677. [Google Scholar] [CrossRef]
- Burkett, L.N.; Phillips, W.T.; Ziuraitis, J. The best warm-up for the vertical jump in college-age athletic men. J. Strength Cond. Res. 2005, 19, 673–676. [Google Scholar] [CrossRef]
- Chatzopoulos, D.; Michailidis, C.; Giannakos, A.; Alexiou, K.; Patikas, D.; Antonopoulos, C.; Kotzamanidis, C. Postactivation Potentiation Effects After Heavy Resistance Exercise on Running Speed. J. Strength Cond. Res. 2007, 21, 1278–1281. [Google Scholar] [CrossRef]
- Golas, A.; Maszczyk, A.; Zajac, A.; Mikolajec, K.; Stastny, P. Optimizing post activation potentiation for explosive activities in competitive sports. J. Hum. Kinet. 2016, 52, 95–106. [Google Scholar] [CrossRef] [PubMed] [Green Version]
- MacIntosh, B.R.; Robillard, M.-E.; Tomaras, E.K. Should postactivation potentiation be the goal of your warm-up? Appl. Physiol. Nutr. Metab. 2012, 37, 546–550. [Google Scholar] [CrossRef] [PubMed]
- Seitz, L.B.; de Villarreal, E.S.; Haff, G.G. The temporal profile of postactivation potentiation is related to strength level. J. Strength Cond. Res. 2014, 28, 706–715. [Google Scholar] [CrossRef]
- Bridgeman, L.A.; McGuigan, M.R.; Gill, N.D.; Dulson, D.K. The Effects of Accentuated Eccentric Loading on the Drop Jump Exercise and the Subsequent Postactivation Potentiation Response. J. Strength Cond. Res. 2017, 31, 1620–1626. [Google Scholar] [CrossRef]
- Munger, C.N.; Archer, D.C.; Leyva, W.D.; Wong, M.A.; Coburn, J.W.; Costa, P.B.; Brown, L.E. Acute Effects of Eccentric Overload on Concentric Front Squat Performance. J. Strength Cond. Res. 2017, 31, 1192–1197. [Google Scholar] [CrossRef]
- Sheppard, J.; Newton, R.; McGuigan, M. The effect of accentuated eccentric load on jump kinetics in high-performance volleyball players. Int. J. Sports Sci. Coach. 2007, 2, 267–273. [Google Scholar] [CrossRef]
- Moore, C.A.; Weiss, L.W.; Schilling, B.K.; Fry, A.C.; Li, Y. Acute effects of augmented eccentric loading on jump squat performance. J. Strength Cond. Res. 2007, 21, 372–377. [Google Scholar] [CrossRef] [PubMed]
- Boullosa, D.; Beato, M.; Dello Iacono, A.; Cuenca-Fernández, F.; Doma, K.; Schumann, M.; Zagatto, A.; Loturco, I.; Behm, D. A New Taxonomy for Post-activation Potentiation in Sport. Int. J. Sport Physiol. 2020, 15, 1197–1200. [Google Scholar] [CrossRef]
- Smith, I.C.; MacIntosh, B.R. A Comment on “A New Taxonomy for Postactivation Potentiation in Sport”. Int. J. Sports Physiol. Perform. 2021, 16, 163. [Google Scholar] [CrossRef] [PubMed]
- World Medical Association. World Medical Association Declaration of Helsinki: Ethical principles for medical research involving human subjects. JAMA 2013, 310, 2191–2194. [Google Scholar] [CrossRef] [PubMed] [Green Version]
- Hoffman, J. NSCA’s Guide to Program Design. Human Kinetics: Champaign, IL, USA, 2011. [Google Scholar]
- Douglas, J.; Pearson, S.; Ross, A.; McGuigan, M. Effects of Accentuated Eccentric Loading on Muscle Properties, Strength, Power, and Speed in Resistance-Trained Rugby Players. J. Strength Cond. Res. 2018, 32, 2750–2761. [Google Scholar] [CrossRef]
- Linthorne, N.P. Analysis of standing vertical jumps using a force platform. Am. J. Phys. 2001, 69, 1198–1204. [Google Scholar] [CrossRef] [Green Version]
- Sheppard, J.M.; Dingley, A.A.; Janssen, I.; Spratford, W.; Chapman, D.W.; Newton, R.U. The effect of assisted jumping on vertical jump height in high-performance volleyball players. J. Sci. Med. Sport 2011, 14, 85–89. [Google Scholar] [CrossRef]
- Guppy, S.N.; Brady, C.J.; Kotani, Y.; Stone, M.H.; Medic, N.; Haff, G.G. The Effect of Altering Body Posture and Barbell Position on the Between-Session Reliability of Force-Time Curve Characteristics in the Isometric Mid-Thigh Pull. Sports 2018, 6, 162. [Google Scholar] [CrossRef] [PubMed] [Green Version]
- Hornsby, W.G.; Gentles, J.A.; MacDonald, C.J.; Mizuguchi, S.; Ramsey, M.W.; Stone, M.H. Maximum Strength, Rate of Force Development, Jump Height, and Peak Power Alterations in Weightlifters across Five Months of Training. Sports 2017, 5, 78. [Google Scholar] [CrossRef] [PubMed] [Green Version]
- Impellizzeri, F.; Maffiuletti, N. Convergent Evidence for Construct Validity of a 7-Point Likert Scale of Lower Limb Muscle Soreness. Clin. J. Sport Med. 2007, 17, 494–496. [Google Scholar] [CrossRef] [PubMed]
- Richardson, J.T.E. Eta squared and partial eta squared as measures of effect size in educational research. Rev. Educ. Res. 2011, 6, 135–147. [Google Scholar] [CrossRef]
- Cohen, J. A power primer. Psychol. Bull. 1992, 112, 155–159. [Google Scholar] [CrossRef] [PubMed]
- Cumming, G.; Finch, S. A Primer on the Understanding, Use, and Calculation of Confidence Intervals that are Based on Central and Noncentral Distributions. Educ. Psychol. Meas. 2001, 61, 532–574. [Google Scholar] [CrossRef]
- Rassier, D.E.; Macintosh, B.R. Coexistence of potentiation and fatigue in skeletal muscle. Braz. J. Med. Biol. Res. 2000, 33, 499–508. [Google Scholar] [CrossRef] [Green Version]
- Miyamoto, N.; Kanehisa, H.; Fukunaga, T.; Kawakami, Y. Effect of postactivation potentiation on the maximal voluntary isokinetic concentric torque in humans. J. Strength Cond. Res. 2011, 25, 186–192. [Google Scholar] [CrossRef]
- Doan, B.K.; Newton, R.U.; Marsit, J.L.; Triplett-McBride, N.T.; Koziris, L.P.; Fry, A.C.; Kraemer, W.J. Effects of increased eccentric loading on bench press 1RM. J. Strength Cond. Res. 2002, 16, 9–13. [Google Scholar] [CrossRef]
- Henneman, E. The size-principle: A deterministic output emerges from a set of probabilistic connections. J. Exp. Biol. 1985, 115, 105–112. [Google Scholar] [CrossRef]
- Gorassini, M.; Yang, J.F.; Siu, M.; Bennett, D.J. Intrinsic activation of human motoneurons: Possible contribution to motor unit excitation. J. Neurophysiol. 2002, 87, 1850–1858. [Google Scholar] [CrossRef] [Green Version]
- Blazevich, A.J.; Babault, N. Post-activation Potentiation Versus Post-activation Performance Enhancement in Humans: Historical Perspective, Underlying Mechanisms, and Current Issues. Front. Physiol. 2019, 10, 1359. [Google Scholar] [CrossRef] [Green Version]
- Jones, C.M.; Griffiths, P.C.; Mellalieu, S.D. Training Load and Fatigue Marker Associations with Injury and Illness: A Systematic Review of Longitudinal Studies. Sports Med. 2017, 47, 943–974. [Google Scholar] [CrossRef] [Green Version]
- Juneja, H.; Verma, S.K.; Khanna, G.L. Isometric Strength and Its Relationship to Dynamic Performance: A Systematic Review. J. Exerc. Sci. Physiother. 2010, 6, 60–69. [Google Scholar]
- Thomas, C.; Comfort, P.; Chiang, C.-Y.; Jones, P. Relationship between isometric mid-thigh pull variables and sprint and change of direction performance in collegiate athletes. J. Trainol. 2015, 4, 6–10. [Google Scholar] [CrossRef] [Green Version]
- De Witt, J.; English, K.; Crowell, J.; Kalogera, K.; Guilliams, M.; Nieschwitz, B.; Hanson, A.; Ploutz-Snyder, L. Isometric Mid-Thigh Pull Reliability and Relationship to Deadlift 1RM. J. Strength Cond. Res. 2016, 32, 1. [Google Scholar] [CrossRef]
- Beato, M.; Stiff, A.; Coratella, G. Effects of Postactivation Potentiation After an Eccentric Overload Bout on Countermovement Jump and Lower-Limb Muscle Strength. J. Strength Cond. Res. 2021, 35, 1825–1832. [Google Scholar] [CrossRef] [PubMed]
- Beato, M.; Bigby, A.E.J.; De Keijzer, K.L.; Nakamura, F.Y.; Coratella, G.; McErlain-Naylor, S.A. Post-activation potentiation effect of eccentric overload and traditional weightlifting exercise on jumping and sprinting performance in male athletes. PLoS ONE 2019, 14, e0222466. [Google Scholar] [CrossRef] [PubMed]
- Aboodarda, S.J.; Byrne, J.M.; Samson, M.; Wilson, B.D.; Mokhtar, A.H.; Behm, D.G. Does performing drop jumps with additional eccentric loading improve jump performance? J. Strength Cond. Res. 2014, 28, 2314–2323. [Google Scholar] [CrossRef]
- Merrigan, J.; Tufano, J.; Falzone, M.; Jones, M. Effectiveness of Accentuated Eccentric Loading: Contingent on Concentric Load. Int. J. Sport Physiol. 2020, 16, 66–72. [Google Scholar] [CrossRef]
- Curty, V.M.; Melo, A.B.; Caldas, L.C.; Guimarães-Ferreira, L.; de Sousa, N.F.; Vassallo, P.F.; Vasquez, E.C.; Barauna, V.G. Blood flow restriction attenuates eccentric exercise-induced muscle damage without perceptual and cardiovascular overload. Clin. Physiol. Funct. Imaging 2018, 38, 468–476. [Google Scholar] [CrossRef]



| Pre | 10-min | 24-h | 48-h | |
|---|---|---|---|---|
| CMJ Height (cm) | ||||
| AEL | 35.06 ± 4.14 | 33.01 ± 8.80 | 34.08 ± 7.90 | 31.70 ± 5.46 |
| TR | 35.91 ± 7.15 | 35.79 ± 5.66 | 35.33 ± 6.26 | 34.19 ± 4.11 |
| CMJ PV (m/s) | ||||
| AEL | 2.81 ± 0.23 | 2.87 ± 0.48 | 2.80 ± 0.33 | 2.68 ± 0.30 |
| TR | 2.87 ± 0.27 | 2.90 ± 0.26 | 2.86 ± 0.24 | 2.81 ± 0.18 |
| CMJ RFD (N/s) | ||||
| AEL | 2946.38 ± 761.71 | 3370.96 ± 883.47 | 4319.09 ± 3122.46 | 4517.08 ± 2650.05 |
| TR | 2642.96 ± 767.05 | 3449.13 ± 944.01 | 4521.40 ± 1670.13 | 4889.81 ± 1714.18 |
| SPJ Height (cm) | ||||
| AEL | 317.75 ± 15.54 | 315.09 ± 13.81 | 313.06 ± 14.75 | 314.71 ± 13.58 |
| TR | 314.61 ± 15.46 | 312.07 ± 14.91 | 312.88 ± 15.17 | 311.27 ± 13.26 |
| IMTP PF (N) | ||||
| AEL | 3143.47 ± 528.24 | 2915.02 ± 366.81 | 2893.59 ± 666.10 | 2764.42 ± 449.96 |
| TR | 2993.5 ± 386.24 | 3026.97 ± 490.84 | 2834.33 ± 459.97 | 2866.66 ± 357.58 |
| IMTP RFD (N/s) | ||||
| AEL | 331.41 ± 17.65 | 307.51 ± 15.56 | 308.23 ± 16.76 | 308.50 ± 14.87 |
| TR | 315.33 ± 10.01 | 313.69 ± 9.82 | 311.15 ± 9.22 | 313.00 ± 8.51 |
| Quadriceps soreness (mm) | ||||
| AEL | 0.62 ± 1.77 | 12.13 ± 16.47 | 11.88 ± 18.01 | 9.63 ± 10.60 |
| TR | 2.25 ± 6.36 | 9.00 ± 14.50 | 8.13 ± 15.64 | 1.75 ± 4.95 |
| Hamstring soreness (mm) | ||||
| AEL | 0.00 ± 0.00 | 4.50 ± 6.09 | 6.88 ± 10.64 | 0.00 ± 0.00 |
| TR | 0.00 ± 0.00 | 1.50 ± 3.21 | 7.13 ± 17.85 | 0.00 ± 0.00 |
Publisher’s Note: MDPI stays neutral with regard to jurisdictional claims in published maps and institutional affiliations. |
© 2021 by the authors. Licensee MDPI, Basel, Switzerland. This article is an open access article distributed under the terms and conditions of the Creative Commons Attribution (CC BY) license (https://creativecommons.org/licenses/by/4.0/).
Share and Cite
Tseng, K.-W.; Chen, J.-R.; Chow, J.-J.; Tseng, W.-C.; Condello, G.; Tai, H.-L.; Fu, S.-K. Post-activation Performance Enhancement after a Bout of Accentuated Eccentric Loading in Collegiate Male Volleyball Players. Int. J. Environ. Res. Public Health 2021, 18, 13110. https://doi.org/10.3390/ijerph182413110
Tseng K-W, Chen J-R, Chow J-J, Tseng W-C, Condello G, Tai H-L, Fu S-K. Post-activation Performance Enhancement after a Bout of Accentuated Eccentric Loading in Collegiate Male Volleyball Players. International Journal of Environmental Research and Public Health. 2021; 18(24):13110. https://doi.org/10.3390/ijerph182413110
Chicago/Turabian StyleTseng, Kuo-Wei, Jyun-Ru Chen, Jun-Jie Chow, Wei-Chin Tseng, Giancarlo Condello, Hsia-Ling Tai, and Szu-Kai Fu. 2021. "Post-activation Performance Enhancement after a Bout of Accentuated Eccentric Loading in Collegiate Male Volleyball Players" International Journal of Environmental Research and Public Health 18, no. 24: 13110. https://doi.org/10.3390/ijerph182413110
APA StyleTseng, K.-W., Chen, J.-R., Chow, J.-J., Tseng, W.-C., Condello, G., Tai, H.-L., & Fu, S.-K. (2021). Post-activation Performance Enhancement after a Bout of Accentuated Eccentric Loading in Collegiate Male Volleyball Players. International Journal of Environmental Research and Public Health, 18(24), 13110. https://doi.org/10.3390/ijerph182413110

