Sign in to use this feature.

Years

Between: -

Subjects

remove_circle_outline
remove_circle_outline
remove_circle_outline
remove_circle_outline
remove_circle_outline
remove_circle_outline
remove_circle_outline
remove_circle_outline
remove_circle_outline

Journals

Article Types

Countries / Regions

Search Results (51)

Search Parameters:
Keywords = eccentric overload

Order results
Result details
Results per page
Select all
Export citation of selected articles as:
24 pages, 1178 KB  
Review
Effects of Advanced Resistance Training Systems on Muscle Hypertrophy and Strength in Recreationally Trained Adults: A Systematic Review and Meta-Analysis
by Ioannis Tsartsapakis, Aglaia Zafeiroudi and Charilaos Kouthouris
J. Funct. Morphol. Kinesiol. 2026, 11(1), 80; https://doi.org/10.3390/jfmk11010080 - 16 Feb 2026
Viewed by 1377
Abstract
Background: Advanced resistance training systems are widely used in practice, yet their comparative effectiveness for hypertrophy and maximal strength in recreationally trained adults remains unclear. This systematic review and meta-analysis evaluated whether advanced methods provide superior adaptations to traditional multiple-set training and whether [...] Read more.
Background: Advanced resistance training systems are widely used in practice, yet their comparative effectiveness for hypertrophy and maximal strength in recreationally trained adults remains unclear. This systematic review and meta-analysis evaluated whether advanced methods provide superior adaptations to traditional multiple-set training and whether specific techniques confer distinct advantages for hypertrophy and maximal strength. Methods: A preregistered systematic search identified randomized and non-randomized controlled trials comparing advanced resistance training systems with traditional multiple-set protocols in recreationally trained adults aged 18–45 years. Outcomes included muscle hypertrophy and maximal strength. Random-effects and fixed-effects models with Knapp–Hartung adjustments were applied, and moderator analyses examined method type, volume equivalence and proximity to failure. Results: Twenty-three studies met the inclusion criteria. When all outcomes were pooled, advanced systems produced a small but statistically significant advantage over traditional training (g = 0.159). Strength outcomes showed a moderate, significant benefit for advanced methods (g = 0.351), whereas hypertrophy effects were small and non-significant (g = 0.046). Rest-pause training demonstrated a modest hypertrophic advantage, while velocity-based training and eccentric overload contributed primarily to strength improvements. Drop sets, tempo-controlled training and cluster-type protocols produced adaptations comparable to traditional sets when volume and effort were matched. Across models, τ2 estimates were near zero, indicating minimal between-study heterogeneity. Conclusions: Advanced resistance training systems can be used effectively in recreationally trained adults and may offer advantages for maximal strength without compromising hypertrophy. Their hypertrophic superiority is not supported at the aggregate level, and their use should be guided by specific goals, constraints and individual preferences rather than expectations of universally greater muscle growth. Full article
Show Figures

Figure 1

16 pages, 661 KB  
Article
Cross-Education Effects After Submaximal and Supramaximal Accentuated Eccentric Loading on Lean Mass and Function in Women
by Sergio Maroto-Izquierdo, Miguel Lauría-Martínez, Kayvan Khoramipour, Irati Jauregui-Fajardo, Paula Redondo-Delgado, José Antonio de Paz and David García-López
J. Funct. Morphol. Kinesiol. 2026, 11(1), 63; https://doi.org/10.3390/jfmk11010063 - 31 Jan 2026
Viewed by 436
Abstract
Objective: This study compared the effects of submaximal and supramaximal accentuated eccentric loading (AEL) on lean mass and function in the trained (TL) and contralateral non-trained (NTL) legs of women. Methods: Twenty recreationally trained women were randomly assigned to submaximal (90% 1-RM) or [...] Read more.
Objective: This study compared the effects of submaximal and supramaximal accentuated eccentric loading (AEL) on lean mass and function in the trained (TL) and contralateral non-trained (NTL) legs of women. Methods: Twenty recreationally trained women were randomly assigned to submaximal (90% 1-RM) or supramaximal (120% 1-RM) AEL leg press training (2/week, 10 weeks, 4 sets of 8 repetitions) with 30% 1-RM concentric loading. Total thigh lean mass (TTLM), unilateral leg press 1-RM, mechanical power at 40% (P40), 60% (P60), and 80% (P80) of 1-RM, unilateral countermovement (CMJ) and drop jump (DJ) height, and muscle endurance (XRM) were assessed for each leg before and after intervention. Results: Regarding the TL, the submaximal group showed significant (p < 0.05) increases in 1-RM, P40, CMJ, and DJ, while the supramaximal group showed increased TTLM, 1-RM, P40, P60, and XRM. No significant differences were observed between groups. In the NTL, both groups showed significant increases in 1-RM and P40. Additionally, the submaximal group demonstrated improvements in P60, while the supramaximal group showed significant increases in both P60 and P80, and in TTLM. TL and NTL changes correlated significantly for 1-RM, CMJ, and TTLM. However, TL and NTL changes differed significantly for 1-RM and P40 in the submaximal group and for TTLM in the supramaximal group. Conclusions: Submaximal and supramaximal AEL resulted in similar neuromuscular improvements in both TL and NTL in women. Supramaximal loading provided additional benefits in mechanical power lean mass, while submaximal loading improved explosive performance. Supramaximal loading may not be necessary for active women. Full article
(This article belongs to the Section Kinesiology and Biomechanics)
Show Figures

Figure 1

12 pages, 629 KB  
Article
Acute Effects of Flywheel Eccentric Overload on Vertical Jump, Change of Direction, and Isometric Mid-Thigh Pull Performance in Top-Level Team Sports Athletes
by Nikola Andrić, Tatjana Jezdimirović-Stojanović, Mladen Mikić, Bojan Međedović, Damjan Jakšić and Marko D. M. Stojanović
Sports 2026, 14(1), 6; https://doi.org/10.3390/sports14010006 - 1 Jan 2026
Viewed by 724
Abstract
We examined the acute effects of flywheel eccentric overload (FEO) on countermovement jumps (CMJs), changes of direction (COD), and isometric mid-thigh pulls (IMTPs) in top-level team sports athletes (three females and seven males). FEO was carried out by performing 3 × 6 reps [...] Read more.
We examined the acute effects of flywheel eccentric overload (FEO) on countermovement jumps (CMJs), changes of direction (COD), and isometric mid-thigh pulls (IMTPs) in top-level team sports athletes (three females and seven males). FEO was carried out by performing 3 × 6 reps with 0.025 kg·m2 inertia and a 2 min passive rest period. Its post-activation potentiation was compared to a control warm-up. Performance was tested at 0, 3, and 6 min post-intervention. Significant improvements were reported in the COD5m times for the left (F = 8.38, p < 0.001, ES = 1.92) and right legs (F = 11.3, p < 0.001, ES = 2.24), as well as for CMJ height (F = 12.4, p < 0.001, ES = 2.35). Significant differences were observed in COD5m between baseline and 3 min (p < 0.001, ES = 0.99 and p = 0.003, ES = 1.25) and 6 min (p = 0.04, ES = 1.19 and p < 0.001, ES = 1.09) for the left and right legs, respectively. Jump height increased significantly at 3 min (p < 0.001, ES = 1.62) and remained elevated at 6 min (p < 0.001, ES = 1.02). CMJ peak power (CMJPP) decreased significantly (F = 6.4, p = 0.002, ES = 1.68), with a drop at 0 min (p = 0.024, ES = 0.85) and a return to baseline at 3 min (p = 0.002, ES = 1.35). No significant effects were found for the CMJ eccentric rate of force development (CMJRFDecc) or IMTP. It was found that FEO can acutely enhance jumping and changes of direction but not strength in elite team sports athletes. A three-minute rest appears to maximize these effects. Full article
Show Figures

Figure 1

27 pages, 2697 KB  
Article
High-Velocity, Accentuated Eccentric, or Maximal Elastic Band Resistance Training? Effects of Resistance Training Modalities on Bone Health, Isokinetic Strength, and Systemic Biomarkers in Sedentary Older Adults: A Comparative Study
by Angel Saez-Berlanga, Javier Gene-Morales, Ana María Teixeira, Ruth Jiménez-Castuera, Andrés Gené-Sampedro, Alvaro Juesas, Pedro Gargallo, Oscar Caballero, Julio Fernandez-Garrido, Carlos Alix-Fages, Pablo Jiménez-Martínez and Juan C. Colado
Healthcare 2025, 13(23), 3129; https://doi.org/10.3390/healthcare13233129 - 1 Dec 2025
Viewed by 1684
Abstract
Objectives: To examine three elastic band resistance training (EB-RT) modalities—high-velocity (HVRT), accentuated eccentric (Aecc), and maximal strength (Max)—on bone health, strength, redox-inflammatory profile, and neuroplasticity in sedentary older adults. Methods: Sixty-one participants (69.41 ± 4.61 years) were randomly assigned to HVRT [...] Read more.
Objectives: To examine three elastic band resistance training (EB-RT) modalities—high-velocity (HVRT), accentuated eccentric (Aecc), and maximal strength (Max)—on bone health, strength, redox-inflammatory profile, and neuroplasticity in sedentary older adults. Methods: Sixty-one participants (69.41 ± 4.61 years) were randomly assigned to HVRT (n = 21), Aecc (n = 13), Max (n = 10), or passive controls (n = 17). Training was conducted three times a week for 16 weeks. Sessions included four sets of alternating upper- and lower-limb EB exercises, with intensity guided by the OMNI–RES EB scale. HVRT emphasized explosive concentric actions [~70% one-repetition maximum (1RM); 3–4 rating of perceived exertion in the first repetition (RPE-1)]. Aecc performed 5 s eccentric overload [>100% 1RM; 7–8 RPE-1]. Max employed controlled 2 s concentric/eccentric actions [~80–85% 1RM; 7–8 RPE-1]. Results: All training groups improved isokinetic strength (p < 0.01, g = 0.91–2.40). HVRT increased brain-derived neurotrophic factor (BDNF) (p = 0.019, g = 0.42) and glutathione peroxidase (GPx) (p < 0.001, g = 0.31). Aecc elicited the strongest osteoanabolic and antioxidant effects (P1NP, p = 0.001, g = 1.21; β-CTX, p < 0.001, g = 1.82; F2-isoprostanes, p = 0.007, g = 0.94). Max induced moderate bone turnover benefits (P1NP, p = 0.005, g = 1.08; β-CTX, p < 0.001, g = 1.12), but no GPx or BDNF gains. Controls maintained or declined all variables. Conclusions: EB-RT over 16 weeks improved most outcomes overall, showing modality-specific trends: HVRT favored neuroplasticity, Aecc enhanced redox-inflammatory and bone remodeling responses, and Max improved strength and bone health. These findings support elastic band resistance training as a safe and individualized strategy for healthy aging. Full article
Show Figures

Figure 1

18 pages, 1892 KB  
Article
Neuromuscular Responses to Unilateral and Bilateral Execution of Eccentric Exercises: A Multidimensional sEMG Study
by Yanan You, Dai Sugimoto and Norikazu Hirose
Sports 2025, 13(10), 364; https://doi.org/10.3390/sports13100364 - 15 Oct 2025
Viewed by 1447
Abstract
Hamstring injuries are frequent in sports, often linked to eccentric overloading during sprinting. While eccentric strengthening, like Nordic curls and hip extensions, is common, the impact of exercise symmetry (unilateral vs. bilateral) on neuromuscular control remains unclear. This study aimed to investigate regional/task-specific [...] Read more.
Hamstring injuries are frequent in sports, often linked to eccentric overloading during sprinting. While eccentric strengthening, like Nordic curls and hip extensions, is common, the impact of exercise symmetry (unilateral vs. bilateral) on neuromuscular control remains unclear. This study aimed to investigate regional/task-specific neuromuscular strategies during unilateral and bilateral eccentric loading of the same exercises. Twenty-five healthy and physically active young men (age: 24.52 ± 3.82 years; height: 175.53 ± 5.44 cm; weight: 72.06 ± 7.44 kg) were recruited based on physical activity screening, with the exclusion criteria including recent lower limb injuries. Participants performed unilateral and bilateral curls and extensions with surface electromyography on hamstrings, gluteus maximus, and trunk stabilisers. Parameters like root mean square and median frequency were extracted and statistically compared. Unilateral execution generally elicited higher muscle activation, particularly in middle hamstring regions (30.65% to 38.38% in RMS, r = −0.84 to −0.77, pFDR < 0.001). Frequency differences revealed region-specific neuromuscular strategies. Intra-hamstring comparisons revealed significantly higher median frequencies in the BF50 and ST30 regions at their respective anatomical locations (dz = −1.90 to 1.34, all pFDR < 0.001). These findings suggest that exercise symmetry and anatomical specialisation jointly shape neuromuscular control, with implications for designing eccentric training to reduce injury risk. Full article
(This article belongs to the Special Issue Neuromuscular Performance: Insights for Athletes and Beyond)
Show Figures

Figure 1

10 pages, 409 KB  
Article
Electromyographic Analysis of Lower Limb Muscles During Multi-Joint Eccentric Isokinetic Exercise Using the Eccentron Dynamometer
by Brennan J. Thompson, Merrill Ward, Brayden Worley and Talin Louder
Appl. Sci. 2025, 15(15), 8280; https://doi.org/10.3390/app15158280 - 25 Jul 2025
Viewed by 1819
Abstract
Eccentric muscle actions are integral to human movement, rehabilitation, and performance training due to their characteristic high force output (overload) and low energy cost and perceived exertion. Despite the growing use of eccentric devices, a gap in the research exists exploring multi-muscle activation [...] Read more.
Eccentric muscle actions are integral to human movement, rehabilitation, and performance training due to their characteristic high force output (overload) and low energy cost and perceived exertion. Despite the growing use of eccentric devices, a gap in the research exists exploring multi-muscle activation profiles during multi-joint eccentric-only, isokinetic exercise. This study aimed to quantify and compare surface electromyographic (EMG) activity of four leg muscles—vastus lateralis (VL), tibialis anterior (TA), biceps femoris (BF), and medial gastrocnemius (GM)—during a standardized (isokinetic) submaximal eccentric multi-joint exercise using the Eccentron dynamometer. Eighteen healthy adults performed eccentric exercise at 40% of their maximal eccentric strength. Surface EMG data were analyzed using root mean square (RMS) and integrated EMG (iEMG) variables. Repeated-measures ANOVAs and effect sizes (ES) were used to evaluate within-subject differences across muscles. Results showed significantly greater activation in the VL compared to all other muscles (p < 0.05; and ES of 1.28–3.17 versus all other muscles), with the TA also demonstrating higher activation than the BF (p < 0.05). The BF exhibited the lowest activation, suggesting limited hamstring engagement. These findings highlight the effectiveness of the multi-joint isokinetic eccentric leg press movement (via an Eccentron machine) in targeting the quadriceps and dorsiflexors, while indicating the possible need for supplementary hamstring and plantar flexor exercises when aiming for a comprehensive lower body training routine. This study provides important insights for optimizing eccentric training protocols and rehabilitation strategies. Full article
Show Figures

Figure 1

14 pages, 525 KB  
Review
Hypertensive Left Ventricular Hypertrophy: Pathogenesis, Treatment, and Health Disparities
by Sherldine Tomlinson
Hearts 2025, 6(3), 18; https://doi.org/10.3390/hearts6030018 - 17 Jul 2025
Cited by 1 | Viewed by 8927
Abstract
Hypertensive left ventricular hypertrophy (LVH) is an ominous cardiovascular sequel to chronic hypertension, marked by structural and functional alterations in the heart. Identified as a significant risk factor for adverse cardiovascular outcomes, LVH is typically detected through echocardiography and is characterized by pathological [...] Read more.
Hypertensive left ventricular hypertrophy (LVH) is an ominous cardiovascular sequel to chronic hypertension, marked by structural and functional alterations in the heart. Identified as a significant risk factor for adverse cardiovascular outcomes, LVH is typically detected through echocardiography and is characterized by pathological thickening of the left ventricular wall. This hypertrophy results from chronic pressure overload (increased afterload), leading to concentric remodelling, or from increased diastolic filling (preload), contributing to eccentric changes. Apoptosis, a regulated process of cell death, plays a critical role in the pathogenesis of LVH by contributing to cardiomyocyte loss and subsequent cardiac dysfunction. Given the substantial clinical implications of LVH for cardiovascular health, this review critically examines the role of cardiomyocyte apoptosis in its disease progression, evaluates the impact of pharmacological interventions, and highlights the necessity of a comprehensive, multifaceted treatment approach for the prevention and management of hypertensive LVH. Finally, we address the health disparities associated with LVH, with particular attention to the disproportionate burden faced by African Americans and other Black communities, as this remains a key priority in advancing equity in cardiovascular care. Full article
Show Figures

Graphical abstract

16 pages, 533 KB  
Review
Right Ventricular Dynamics in Tricuspid Regurgitation: Insights into Reverse Remodeling and Outcome Prediction Post Transcatheter Valve Intervention
by Philipp M. Doldi, Manuela Thienel and Kevin Willy
Int. J. Mol. Sci. 2025, 26(13), 6322; https://doi.org/10.3390/ijms26136322 - 30 Jun 2025
Viewed by 2342
Abstract
Tricuspid regurgitation (TR) represents a significant, often silently progressing, valvular heart disease with historically suboptimal management due to perceived high surgical risks. Transcatheter tricuspid valve interventions (TTVI) offer a promising, less invasive therapeutic avenue. Central to the success of TTVI is Right Ventricular [...] Read more.
Tricuspid regurgitation (TR) represents a significant, often silently progressing, valvular heart disease with historically suboptimal management due to perceived high surgical risks. Transcatheter tricuspid valve interventions (TTVI) offer a promising, less invasive therapeutic avenue. Central to the success of TTVI is Right Ventricular Reverse Remodelling (RVRR), defined as an improvement in RV structure and function, which strongly correlates with enhanced patient survival. The right ventricle (RV) undergoes complex multi-scale biomechanical maladaptations, progressing from adaptive concentric to maladaptive eccentric hypertrophy, coupled with increased stiffness and fibrosis. Molecular drivers of this pathology include early failure of antioxidant defenses, metabolic shifts towards glycolysis, and dysregulation of microRNAs. Accurate RV function assessment necessitates advanced imaging modalities like 3D echocardiography, Cardiac Magnetic Resonance Imaging (CMR), and Computed Tomography (CT), along with strain analysis. Following TTVI, RVRR typically manifests as a biphasic reduction in RV volume overload, improved myocardial strain, and enhanced RV-pulmonary arterial coupling. Emerging molecular biomarkers alongside advanced imaging-derived biomechanical markers like CT-based 3D-TAPSE and RV longitudinal strain, are proving valuable. Artificial intelligence (AI) and machine learning (ML) are transforming prognostication by integrating diverse clinical, laboratory, and multi-modal imaging data, enabling unprecedented precision in risk stratification and optimizing TTVI strategies. Full article
(This article belongs to the Special Issue Biomechanics of Cardiovascular Remodeling)
Show Figures

Figure 1

21 pages, 6344 KB  
Article
Overturning and Reinforcement of Single-Column Pier Curved Girder Bridge Considering the Secondary Effect of Overturning
by Xinglian Huang, Lan Chen, Yang Quan and Xinfeng Yin
Buildings 2025, 15(11), 1773; https://doi.org/10.3390/buildings15111773 - 22 May 2025
Cited by 1 | Viewed by 1184
Abstract
The overturning resistance of curved single-column pier bridges has garnered increasing attention with the rise in infrastructure demands. However, aspects such as the secondary effects of overturning and the dynamic interactions between vehicles and bridges have not been fully explored. Hence, a refined [...] Read more.
The overturning resistance of curved single-column pier bridges has garnered increasing attention with the rise in infrastructure demands. However, aspects such as the secondary effects of overturning and the dynamic interactions between vehicles and bridges have not been fully explored. Hence, a refined finite element model incorporating Vehicle–Bridge Interaction (VBI) dynamics has been applied to a highway ramp bridge in this study, aiming to elucidate how VBI-induced vibrations contribute to bridge overturning and to develop effective reinforcement strategies for enhanced stability under eccentric loads. The analysis suggests that the rotation of the main girder, influenced by eccentric overload, is a significant factor in the overturning process. The initial overturning stability coefficient was found to be 0.948, pointing to potential areas for improvement. By implementing targeted reinforcement measures, specifically the addition of cover beams, the stability coefficient was improved to 2.626. The study provides insights into VBI-induced overturning in curved single-column pier bridges, offering a reinforcement strategy aimed at enhancing stability under eccentric loads. Full article
(This article belongs to the Section Building Structures)
Show Figures

Figure 1

18 pages, 1943 KB  
Article
Acute Effects of Different Intensities of Flywheel Half Squat Based on Velocity on Vertical Jump Performance in High-Level Athletes
by Xixuan Wang, Haiting Zhai and Hongwen Wei
Appl. Sci. 2025, 15(8), 4388; https://doi.org/10.3390/app15084388 - 16 Apr 2025
Cited by 4 | Viewed by 2544
Abstract
Coaches manipulate training variables to optimize and improve them, with intensity being crucial. Velocity-based training, measuring intensity by the movement speed, is advantageous over traditional methods. Flywheel training, offering concentric and eccentric loads, allows for supramaximal loading during the eccentric phase, enhancing muscle [...] Read more.
Coaches manipulate training variables to optimize and improve them, with intensity being crucial. Velocity-based training, measuring intensity by the movement speed, is advantageous over traditional methods. Flywheel training, offering concentric and eccentric loads, allows for supramaximal loading during the eccentric phase, enhancing muscle hypertrophy and performance and reducing injury risk. This study examines the specific effects of flywheel training on post-activation potentiation (PAP). Forty-one high-level male athletes performed flywheel half squats at fast (0.95–1.05 m/s), medium (0.65–0.75 m/s), and slow (0.35–0.45 m/s) speeds. Their drop jump performance was assessed at 30 s and 4, 8, and 12 min post-induction. Lower-limb kinematic data and ground reaction forces were recorded using infrared motion capture and force plates. Measures included peak collision force, peak extension force, knee joint extension moment, knee joint power, average power output, and vertical jump height. High-speed intensity significantly increased peak impact force, peak vertical ground reaction force, knee joint eccentric power, concentric power, and extension torque at 4, 8, and 12 min post-induction (p < 0.05). Fast- (0.95–1.05 m/s) and medium-speed (0.65–0.75 m/s) flywheel squats acutely improved lower-limb performance, especially vertical jump height, within 4–12 min post-stimulation. Fast-speed loading showed greater benefits for reactive strength and power output, while a medium speed also yielded meaningful gains. These findings support using movement velocity to guide flywheel training intensity. Full article
(This article belongs to the Special Issue Advances in Sports Science and Biomechanics)
Show Figures

Figure 1

14 pages, 1221 KB  
Article
Acute Effects of Low vs. High Inertia During Flywheel Deadlifts with Equal Force Impulse on Vertical Jump Performance
by Athanasios Tsoukos, Margarita Tsoukala, Dimitra Mirto Papadimitriou, Gerasimos Terzis and Gregory C. Bogdanis
Sensors 2025, 25(4), 1125; https://doi.org/10.3390/s25041125 - 13 Feb 2025
Cited by 5 | Viewed by 4379
Abstract
Background: Flywheel resistance training has gained popularity due to its ability to induce eccentric overload and improve strength and power. This study examined the acute effects of low- (0.025 kg·m2) versus high-inertia (0.10 kg·m2) flywheel deadlifts, matched for force [...] Read more.
Background: Flywheel resistance training has gained popularity due to its ability to induce eccentric overload and improve strength and power. This study examined the acute effects of low- (0.025 kg·m2) versus high-inertia (0.10 kg·m2) flywheel deadlifts, matched for force impulse, on the countermovement jump (CMJ) performance, reactive strength index (RSI) during drop jumps (DJs), and rating of perceived exertion (RPE). Methods: Sixteen trained participants (twelve men, and four women) performed three conditions in a randomized, counterbalanced order: low-inertia (LOW), high-inertia (HIGH), and control (CTRL). In the LOW and HIGH conditions, we used force plates to measure and equalize the force impulse in the two conditions (HIGH: 20182 ± 2275 N∙s vs. LOW: 20076 ± 2526 N∙s; p > 0.05), by calculating the number of deadlift repetitions required to achieve it (HIGH: 5 repetitions and LOW: 9.8 ± 0.4 repetitions). The RSI and CMJ performance were measured pre-exercise, immediately post-exercise, and at 3, 6, 9, and 12 min post-exercise. Results: Both the RSI and CMJ performance improved equally after LOW and HIGH flywheel deadlifts compared to baseline and CTRL (p < 0.01). Specifically, the RSI increased from baseline at 3 to 12 min in both conditions (LOW: 12.8 ± 14.9% to 15.4 ± 14.8%, HIGH: 12.1 ± 17.0% to 12.2 ± 11.7%, p < 0.01), while the CMJ increased from 3 to 9 min in LOW (4.3 ± 3.2% to 4.6 ± 4.7%, p < 0.01) and from 6 to 9 min in HIGH (3.8 ± 4.2% to 4.2 ± 4.9%, p < 0.05). No significant differences were observed between LOW and HIGH conditions (p > 0.05), suggesting similar effectiveness of both inertial loads for enhancing performance. The RPE increased similarly after both conditions from baseline to immediately post-conditioning (LOW: from 2.2 ± 1.2 to 5.8 ± 1.4, HIGH: from 1.5 ± 1.0 to 6.1 ± 1.5, p < 0.01) and decreased by the end of the session, although values remained higher than baseline (LOW: 4.1 ± 1.4, p < 0.01, HIGH: 4.5 ± 2.0, p < 0.01). Conclusions: These findings highlight the potential of flywheel deadlift exercise as an effective method to potentiate explosive performance of the lower limbs, regardless of inertia, provided that the total force impulse is equal. Full article
(This article belongs to the Section Physical Sensors)
Show Figures

Figure 1

13 pages, 1816 KB  
Article
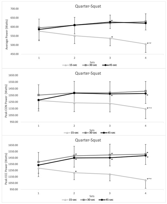
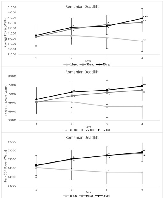
The Acute Effect of Different Cluster Set Intra-Set Rest Interval Configurations on Mechanical Power Measures During a Flywheel Resistance Training Session
by Shane Ryan, Declan Browne, Rodrigo Ramirez-Campillo, Jeremy Moody and Paul J. Byrne
Sports 2024, 12(12), 324; https://doi.org/10.3390/sports12120324 - 27 Nov 2024
Cited by 2 | Viewed by 7481
Abstract
The aim of this study was to compare the acute effect of three cluster set (CS) intra-set rest intervals (15 s, 30 s, and 45 s) on mechanical performance measures during a flywheel resistance training session. Twelve amateur male field sport athletes attended [...] Read more.
The aim of this study was to compare the acute effect of three cluster set (CS) intra-set rest intervals (15 s, 30 s, and 45 s) on mechanical performance measures during a flywheel resistance training session. Twelve amateur male field sport athletes attended three training measurement sessions (separated by 14 days of wash-out), consisting of four sets of nine repetitions (as cluster-blocks: 3 + 3 + 3), using a 0.050 kg·m−2 inertial load. The flywheel quarter-squat (QS) and the flywheel Romanian deadlift (RDL) were selected as resistance training exercises. Participants were randomly allocated different CS intra-set rest durations: 15 s, 30 s, or 45 s. The mean power (MP), peak concentric power (PPcon), peak eccentric power (PPecc), and eccentric overload (EO) were measured. A two-way (within–within) repeated-measures ANOVA reported that MP, PPcon, PPecc, and EO achieved similar values during the QS and RDL sessions involving 30 s and 45 s CS intra-set rest durations. It was noted that the first set did not always result in the greatest performance output for the 30 s and 45 s intervals. Compared to 15 s, the 30 s and 45 s CS intra-set rest durations showed greater MP, PPcon, and PPecc during set 2 (all p ≤ 0.05), set 3 (all p < 0.001), and set 4 (all p < 0.001) for both QS and RDL, and greater EO in the QS exercise (the four sets combined). Compared to shorter (15 s) cluster set intra-set rest intervals, longer (30–45 s) configurations allow greater physical performance outcome measures during flywheel QS and RDL resistance training sessions. The implications for longer-term interventions merit further research. Full article
Show Figures

Figure 1

13 pages, 4057 KB  
Article
No Post-Activation Performance Enhancement Following a Single Set of Plyometric or Flywheel Exercises in National Team Rugby Players
by Irineu Loturco, Lucas A. Pereira, Santiago Zabaloy, Valter P. Mercer, Túlio B. M. A. Moura, Tomás T. Freitas and Daniel Boullosa
Appl. Sci. 2024, 14(21), 9786; https://doi.org/10.3390/app14219786 - 25 Oct 2024
Cited by 4 | Viewed by 2892
Abstract
Post-activation performance enhancement (PAPE) is a key objective following regular warm-up routines, especially in sports that rely heavily on sprinting speed and power. Rugby is a team sport characterized by a range of repeated high-intensity efforts, irrespective of positional roles or match demands. [...] Read more.
Post-activation performance enhancement (PAPE) is a key objective following regular warm-up routines, especially in sports that rely heavily on sprinting speed and power. Rugby is a team sport characterized by a range of repeated high-intensity efforts, irrespective of positional roles or match demands. In this study, we examined and compared the effects of two different conditioning activities (CAs) on the power- and speed-related abilities of National Team rugby players. Thirteen male rugby union players sequentially performed countermovement jump (CMJ), 30 m sprint, and change-of-direction (COD) tests (pre-testing session) 5 min before executing either one set of six repetitions of 45 cm drop jumps or one set of six repetitions of flywheel eccentric-overload squats. In addition to the sport-specific tests, the muscle mechanical properties of the athletes were also assessed through the use of tensiomyography (TMG). At post-testing sessions conducted 5 and 10 min after the PAPE protocols, no significant changes were observed in any of the assessed variables, either in positions as backs or forwards. However, some meaningful variations were detected at the individual level when using the “true-changes” analysis. Despite some positive individual changes, it can be concluded that these specific protocols did not elicit the expected responses typically observed in other team-sport athletes. Practitioners are encouraged to implement more comprehensive (but not exhaustive) and tailored PAPE interventions prior to training sessions and competitions. Full article
Show Figures

Figure 1

14 pages, 999 KB  
Article
Relationship between Countermovement Jump and Sprint Performance in Professional Football Players
by Łukasz Oleksy, Anna Mika, Maciej Kuchciak, Artur Stolarczyk, Olga Adamska, Miłosz Szczudło, Renata Kielnar, Paweł Wolański, Jarosław Michał Deszczyński and Paweł Reichert
J. Clin. Med. 2024, 13(15), 4581; https://doi.org/10.3390/jcm13154581 - 5 Aug 2024
Cited by 3 | Viewed by 8670
Abstract
Objectives: The aim of this study was to assess the relationship between the countermovement jump (CMJ) and sprint performance of professional football players, and to determine which strength and speed elements assessed by the CMJ translate into effective running. Methods: The research sample [...] Read more.
Objectives: The aim of this study was to assess the relationship between the countermovement jump (CMJ) and sprint performance of professional football players, and to determine which strength and speed elements assessed by the CMJ translate into effective running. Methods: The research sample comprised 87 male professional football players (age 23.7 ± 4.20 years; body mass 82.33 ± 6.56 kg; body height 1.86 ± 0.05 m) who performed the CMJ on a dual-force platform, as well as the 30 m sprint test. The time and velocity of the run were recorded by photocells at 0, 5, 10, and 30 m of the distance. Results: No significant differences were noted in the time or velocity of the sprint over the initial 5 m between the groups of football players with a higher and lower braking rate of force development (RFD) in the CMJ (p > 0.05). However, at subsequent intervals (5–10 m and 10–30 m), players with a higher braking RFD achieved significantly better time and velocity than those with a lower RFD. Significant correlations in the group with a lower braking RFD between the CMJ and sprint variables occurred in the propulsion phase of the CMJ and most of them were in the first interval (0–5 m). In the group with a higher braking RFD, significant relationships were visible in both the propulsion (concentric) and braking (eccentric) phases of the CMJ, mainly during the second and third intervals of the sprint test. Conclusions: The noted observations may suggest that the relationship between strength and running performance is more complex than previously indicated, and that higher strength in the CMJ does not fully correlate with better sprinting. Therefore, it has been hypothesized that training aimed at generally increasing strength may not always be fully beneficial for running performance in football players and hence specific training guidelines are suggested for targeted strengthening of the required muscle performance characteristics. This may possibly contribute to reducing the unnecessary muscle overload during both training and matches, thereby preventing sports-related injuries. Full article
(This article belongs to the Special Issue Sports Exercise: How It Benefits Health and Disease)
Show Figures

Figure 1

22 pages, 7585 KB  
Review
Comparing the Effect of Isoinertial Flywheel Training and Traditional Resistance Training on Maximal Strength and Muscle Power in Healthy People: A Systematic Review and Meta-Analysis
by Zhongzhong Hu, Yuhang Liu, Keke Huang, Hao Huang, Feng Li and Xiaoyi Yuan
Life 2024, 14(7), 908; https://doi.org/10.3390/life14070908 - 21 Jul 2024
Cited by 9 | Viewed by 8473
Abstract
Background: This systematic review and meta-analysis aimed to analyze whether isoinertial flywheel training (FWT) is superior to traditional resistance training (TRT) in enhancing maximal strength and muscle power in healthy individuals. Methods: Electronic searches were conducted in the Web of Science, PubMed, Cochrane [...] Read more.
Background: This systematic review and meta-analysis aimed to analyze whether isoinertial flywheel training (FWT) is superior to traditional resistance training (TRT) in enhancing maximal strength and muscle power in healthy individuals. Methods: Electronic searches were conducted in the Web of Science, PubMed, Cochrane Library, SPORTDiscus, and Scopus databases up to 21 April 2024. Outcomes were analyzed as continuous variables using either a random or fixed effects model to calculate the standardized mean difference (SMD) and 95% confidence intervals (CI). Results: A total of sixteen articles, involving 341 subjects, met the inclusion criteria and were included in the statistical analyses. The pooled results indicate no statistically significant differences between FWT and TRT in developing maximal strength in healthy individuals (SMD = 0.24, 95% CI [−0.26, 0.74], p = 0.35). Additionally, the pooled outcomes showed a small-sized effect in muscle power with FWT (SMD = 0.47, 95% CI [0.10, 0.84]), which was significantly higher than that with TRT (p = 0.01) in healthy individuals. Subgroup analysis revealed that when the total number of FWT sessions is between 12 and 18 (1–3 times per week), it significantly improves muscle power (SMD = 0.61, 95% CI [0.12, 1.09]). Significant effects favoring FWT for muscle power were observed in both well-trained (SMD = 0.58, 95% CI [0.04, 1.13]) and untrained individuals (SMD = 1.40, 95% CI [0.23, 2.57]). In terms of exercise, performing flywheel training with squat and lunge exercises significantly enhances muscle power (SMD = 0.43; 95% CI: 0.02–0.84, and p = 0.04). Interestingly, FWT was superior to weight stack resistance training (SMD = 0.61, 95% CI [0.21, 1.00]) in enhancing muscle power, while no significant differences were found compared to barbell free weights training (SMD = 0.36, 95% CI [−0.22, 0.94]). Conclusions: This meta-analysis confirms the superiority of FWT compared to TRT in promoting muscle power in both healthy untrained and well-trained individuals. Squats and lunges for FWT are more suitable for improving lower limb explosive power. It is recommended that coaches and trainers implement FWT for six weeks, 2–3 times per week, with at least a 48 h interval between each session. Although FWT is not superior to free weights training, it is advisable to include FWT in sport periodization to diversify the training stimuli for healthy individuals. Full article
(This article belongs to the Special Issue Focus on Exercise Physiology and Sports Performance)
Show Figures

Figure 1

Back to TopTop