New Bioactive Polyketides from the Mangrove-Derived Fungus Penicillium sp. SCSIO 41411
Abstract
1. Introduction
2. Results and Discussion
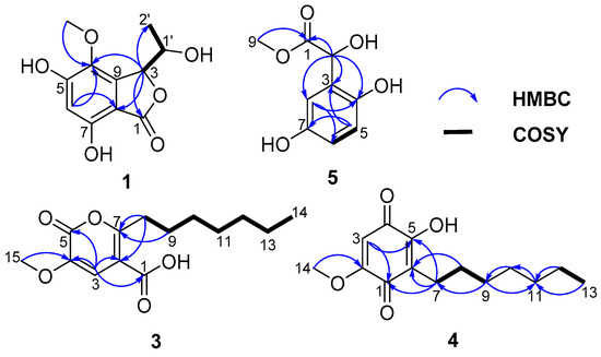
2.1. Structural Determination
2.2. Bioactivity Assay
3. Materials and Methods
3.1. General Experimental Procedures
3.2. Fungal Material
3.3. Fermentation and Extraction
3.4. Isolation and Purification
3.5. Spectroscopic Data of Compounds
3.6. X-ray Crystallographic Analysis
3.7. ECD Computation Section
3.8. Mosher’s Method
3.9. Antibacterial Activity Assay
3.10. Antioxidant Activity Assay
3.11. PDE4 Inhibitory Screening Assays
3.12. Cytotoxicity Bioassay
3.13. Molecular Docking
4. Conclusions
Supplementary Materials
Author Contributions
Funding
Institutional Review Board Statement
Informed Consent Statement
Data Availability Statement
Acknowledgments
Conflicts of Interest
References
- Chen, S.; Cai, R.; Liu, Z.; Cui, H.; She, Z. Secondary metabolites from mangrove-associated fungi: Source, chemistry and bioactivities. Nat. Prod. Rep. 2022, 39, 560–595. [Google Scholar] [CrossRef] [PubMed]
- Thatoi, H.; Behera, B.C.; Mishra, R.R.; Dutta, S.K. Biodiversity and biotechnological potential of microorganisms from mangrove ecosystems: A review. Ann. Microbiol. 2012, 63, 1–19. [Google Scholar] [CrossRef]
- She, J.; Zhou, X. New insights into the antitumor potential of natural piericidins. J. Holistic Integr. Pharm. 2021, 2, 153–162. [Google Scholar]
- Zhou, X. Mangrove soil-derived Streptomyces: An important resource of pharmaceutical active natural products. J. Holistic Integr. Pharm. 2022, 3, 300–314. [Google Scholar] [CrossRef]
- Hafez Ghoran, S.; Taktaz, F.; Sousa, E.; Fernandes, C.; Kijjoa, A. Peptides from marine-derived fungi: Chemistry and biological activities. Mar. Drugs 2023, 21, 510. [Google Scholar] [CrossRef] [PubMed]
- Huang, G.L.; Zhou, X.M.; Bai, M.; Liu, Y.X.; Zhao, Y.L.; Luo, Y.P.; Niu, Y.Y.; Zheng, C.J.; Chen, G.Y. Dihydroisocoumarins from the mangrove-derived fungus Penicillium citrinum. Mar. Drugs 2016, 14, 177. [Google Scholar] [CrossRef] [PubMed]
- Wang, J.W.; Liu, Y.Y.; Chen, G.Y.; Zheng, C.J.; Nong, X.H. Alkaloid-metabolites from the mangrove-derived fungus Penicillium robsamsonii HNNU0006. Fitoterapia 2024, 175, 105906. [Google Scholar] [CrossRef]
- Zhang, X.; Yin, Q.; Li, X.; Liu, X.; Lei, H.; Wu, B. Structures and bioactivities of secondary metabolites from Penicillium genus since 2010. Fitoterapia 2022, 163, 105349. [Google Scholar] [CrossRef]
- Gao, H.; Wang, Y.; Luo, Q.; Yang, L.; He, X.; Wu, J.; Kachanuban, K.; Wilaipun, P.; Zhu, W.; Wang, Y. Bioactive metabolites from acid-tolerant fungi in a Thai mangrove sediment. Front. Microbiol. 2020, 11, 609952. [Google Scholar] [CrossRef]
- Liu, S.Z.; Tang, X.X.; He, F.M.; Jia, J.X.; Hu, H.; Xie, B.Y.; Li, M.Y.; Qiu, Y.K. Two new compounds from a mangrove sediment-derived fungus Penicillium polonicum H175. Nat. Prod. Res. 2022, 36, 2370–2378. [Google Scholar] [CrossRef]
- Ebrahim, W.; Aly, A.H.; Mandi, A.; Wray, V.; Essassi, E.M.; Ouchbani, T.; Bouhfid, R.; Lin, W.; Proksch, P.; Kurtan, T.; et al. O-heterocyclic embeurekols from Embellisia eureka, an endophyte of Cladanthus arabicus. Chirality 2013, 25, 250–256. [Google Scholar] [CrossRef]
- Guo, X.; Meng, Q.; Niu, S.; Liu, J.; Guo, X.; Sun, Z.; Liu, D.; Gu, Y.; Huang, J.; Fan, A.; et al. Epigenetic Manipulation to Trigger Production of Guaiane-Type Sesquiterpenes from a Marine-Derived Spiromastix sp. Fungus with Antineuroinflammatory Effects. J. Nat. Prod. 2021, 84, 1993–2003. [Google Scholar] [CrossRef] [PubMed]
- Chomcheon, P.; Wiyakrutta, S.; Sriubolmas, N.; Ngamrojanavanich, N.; Mahidol, C.; Ruchirawat, S.; Kittakoop, P. Metabolites from the endophytic mitosporic Dothideomycete sp. LRUB20. Phytochemistry 2009, 70, 121–127. [Google Scholar] [CrossRef] [PubMed]
- Chen, X.; Gao, M.; Jian, R.; Hong, W.D.; Tang, X.; Li, Y.; Zhao, D.; Zhang, K.; Chen, W.; Zheng, X.; et al. Design, synthesis and α-glucosidase inhibition study of novel embelin derivatives. J. Enzyme Inhib. Med. Chem. 2020, 35, 565–573. [Google Scholar] [CrossRef]
- Liu, D.S.; Liu, W.Z.; Lv, Z.H. Studies on secondary metabolites of Aspergillus aculeatus derived from coastal saline soil. Chin. J. Mar. Drugs 2014, 33, 28–32. [Google Scholar]
- Wen, H.; Chen, C.; Sun, W.; Zang, Y.; Li, Q.; Wang, W.; Zeng, F.; Liu, J.; Zhou, Y.; Zhou, Q.; et al. Phenolic C-Glycosides and Aglycones from Marine-Derived Aspergillus sp. and Their Anti-Inflammatory Activities. J. Nat. Prod. 2019, 82, 1098–1106. [Google Scholar] [CrossRef] [PubMed]
- Bringmann, G.; Lang, G.; Steffens, S.; Gunther, E.; Schaumann, K. Evariquinone, isoemericellin, and stromemycin from a sponge derived strain of the fungus Emericella variecolor. Phytochemistry 2003, 63, 437–443. [Google Scholar] [CrossRef]
- Sun, W.; Zhuang, C.; Li, X.; Zhang, B.; Lu, X.; Zheng, Z.; Dong, Y. Varic acid analogues from fungus as PTP1B inhibitors: Biological evaluation and structure-activity relationships. Bioorganic Med. Chem. Lett. 2017, 27, 3382–3385. [Google Scholar] [CrossRef]
- Hassan, H.A.; Abdelhafez, O.H.; Shady, N.H.; Yahia, R.; Mohamed, N.M.; Rateb, M.E.; Akil, L.; Khadra, I.; Glaeser, S.P.; Kampfer, P.; et al. The anti-infective potential of the endophytic fungi associated with Allium cepa supported by metabolomics analysis and docking studies. Nat. Prod. Res. 2023, 37, 4063–4068. [Google Scholar] [CrossRef]
- Kumagai, H.; Amemiya, M.; Naganawa, H.; Sawa, T.; Ishizuka, M.; Takeuchi, T. Biosynthesis of antitumor antibiotic, cytogenin. J. Antibiot. 1993, 47, 440–446. [Google Scholar] [CrossRef]
- Xu, Z.; Xiong, B.; Xu, J. Chemical Investigation of Secondary Metabolites Produced by Mangrove Endophytic Fungus Phyllosticta capitalensis. Nat. Prod. Res. 2021, 35, 1561–1565. [Google Scholar] [CrossRef] [PubMed]
- Dewi, R.T.; Tachibana, S.; Fajriah, S.; Hanafi, M. α-Glucosidase inhibitor compounds from Aspergillus terreus RCC1 and their antioxidant activity. Med. Chem. Res. 2014, 24, 737–743. [Google Scholar] [CrossRef]
- Zou, K.; Komatsu, K.; Zhu, S. A novel compound from Hedysarum polybotrys. J. Asian Nat. Prod. Res. 2007, 9, 699–703. [Google Scholar] [CrossRef] [PubMed]
- Chen, S.; Liu, Y.; Liu, Z.; Cai, R.; Lu, Y.; Huang, X.; She, Z. Isocoumarins and benzofurans from the mangrove endophytic fungus Talaromyces amestolkiae possess α-glucosidase inhibitory and antibacterial activities. RSC Adv. 2016, 6, 26412–26420. [Google Scholar] [CrossRef]
- Peng, Q.; Chen, W.; Lin, X.; Xiao, J.; Liu, Y.; Zhou, X. Butenolides from the coral-derived fungus Aspergillius terreus SCSIO41404. Mar. Drugs 2022, 20, 212. [Google Scholar] [CrossRef] [PubMed]
- Demyttenaere, J.C.; Willemen, H.M. Biotransformation of linalool to furanoid and pyranoid linalool oxides by Aspergillus niger. Phytochemistry 1998, 47, 1029–1036. [Google Scholar] [CrossRef]
- Song, Z.; Huang, Y.Y.; Hou, K.Q.; Liu, L.; Zhou, F.; Huang, Y.; Wan, G.; Luo, H.B.; Xiong, X.F. Discovery and structural optimization of toddacoumalone derivatives as novel PDE4 inhibitors for the topical treatment of psoriasis. J. Med. Chem. 2022, 65, 4238–4254. [Google Scholar] [CrossRef]
- Duan, M.; Long, Y.; Yang, C.; Wu, X.; Sun, Y.; Li, J.; Hu, X.; Lin, W.; Han, D.; Zhao, Y.; et al. Selection and characterization of DNA aptamer for metastatic prostate cancer recognition and tissue imaging. Oncotarget 2016, 7, 36436–36446. [Google Scholar] [CrossRef] [PubMed]
- Gao, J.; Leon, F.; Radwan, M.M.; Dale, O.R.; Husni, A.S.; Manly, S.P.; Lupien, S.; Wang, X.; Hill, R.A.; Dugan, F.M.; et al. Benzyl derivatives with in vitro binding affinity for human opioid and cannabinoid receptors from the fungus Eurotium repens. J. Nat. Prod. 2011, 74, 1636–1639. [Google Scholar] [CrossRef]
- Wu, W.I.; Voegtli, W.C.; Sturgis, H.L.; Dizon, F.P.; Vigers, G.P.; Brandhuber, B.J. Crystal structure of human AKT1 with an allosteric inhibitor reveals a new mode of kinase inhibition. PLoS ONE 2010, 5, e12913. [Google Scholar] [CrossRef]
- Fu, Y.; Cao, T.; Zou, X.; Ye, Y.; Liu, Y.; Peng, Y.; Deng, T.; Yin, L.; Li, X. AKT1 regulates UHRF1 protein stability and promotes the resistance to abiraterone in prostate cancer. Oncogenesis 2023, 12, 1. [Google Scholar] [CrossRef] [PubMed]
- Luo, X.; Lin, X.; Tao, H.; Wang, J.; Li, J.; Yang, B.; Zhou, X.; Liu, Y. Isochromophilones A-F, Cytotoxic Chloroazaphilones from the Marine Mangrove Endophytic Fungus Diaporthe sp. SCSIO 41011. J. Nat. Prod. 2018, 81, 934–941. [Google Scholar] [CrossRef] [PubMed]
- Wan, Z.; Fang, W.; Shi, L.; Wang, K.; Zhang, Y.; Zhang, Z.; Wu, Z.; Yang, Z.; Gu, Y. Novonestmycins A and B, two new 32-membered bioactive macrolides from Streptomyces phytohabitans HBERC-20821. J. Antibiot. 2015, 68, 185–190. [Google Scholar] [CrossRef] [PubMed]
- Hatano, T.; Kagawa, H.; Yasuhara, T.; Okuda, T. Two new flavonoids and other constituents in licorice root: Their relative astringency and radical scavenging effects. Chem. Pharm. Bull. 1988, 36, 2090–2097. [Google Scholar] [CrossRef] [PubMed]
- Yen, G.; Chen, H. Antioxidant activity of various tea extracts in relation to their antimutagenicity. J. Agric. Food Chem. 1995, 43, 27–32. [Google Scholar] [CrossRef]
- Lin, T.T.; Huang, Y.Y.; Tang, G.H.; Cheng, Z.B.; Liu, X.; Luo, H.B.; Yin, S. Prenylated coumarins: Natural phosphodiesterase-4 inhibitors from Toddalia asiatica. J. Nat. Prod. 2014, 77, 955–962. [Google Scholar] [CrossRef] [PubMed]
- Wang, X.; Zhu, J.; Yan, H.; Shi, M.; Zheng, Q.; Wang, Y.; Zhu, Y.; Miao, L.; Gao, X. Kaempferol inhibits benign prostatic hyperplasia by resisting the action of androgen. Eur. J. Pharmacol. 2021, 907, 174251. [Google Scholar] [CrossRef] [PubMed]
- Miao, L.; Jiao, C.; Shao, R.; Qi, Y.; Fan, G.; Li, X.; Wang, Y.; Zhu, Y.; Zhang, J.; Gao, X. Bakuchiol suppresses oestrogen/testosterone-induced Benign Prostatic Hyperplasia development through up-regulation of epithelial estrogen receptor β and down-regulation of stromal aromatase. Toxicol. Appl. Pharmacol. 2019, 381, 114637. [Google Scholar] [CrossRef]
- Liang, Z.; Gu, T.; Wang, J.; She, J.; Ye, Y.; Cao, W.; Luo, X.; Xiao, J.; Liu, Y.; Tang, L.; et al. Chromene and chromone derivatives as liver X receptors modulators from a marine-derived Pestalotiopsis neglecta fungus. Bioorganic Chem. 2021, 112, 104927. [Google Scholar] [CrossRef]
- Long, J.; Chen, Y.; Chen, W.; Wang, J.; Zhou, X.; Yang, B.; Liu, Y. Cyclic peptides from the soft coral-derived fungus Aspergillus sclerotiorum SCSIO 41031. Mar. Drugs 2021, 19, 701. [Google Scholar] [CrossRef]
- She, J.; Chen, Y.; Ye, Y.; Lin, X.; Yang, B.; Xiao, J.; Liu, Y.; Zhou, X. New carboxamides and a new polyketide from the sponge-derived fungus Arthrinium sp. SCSIO 41421. Mar. Drugs 2022, 20, 475. [Google Scholar] [CrossRef] [PubMed]
- Wang, J.; Liang, Z.; Li, K.; Yang, B.; Liu, Y.; Fang, W.; Tang, L.; Zhou, X. Ene-yne hydroquinones from a marine-derived strain of the fungus Pestalotiopsis neglecta with effects on Liver X receptor alpha. J. Nat. Prod. 2020, 83, 1258–1264. [Google Scholar] [CrossRef] [PubMed]







| Pos. | 1 a | 5 b | ||
|---|---|---|---|---|
| δC Type | δH (J in Hz) | δC Type | δH (J in Hz) | |
| 1 | 168.3, C | 173.3, C | ||
| 2 | 67.0, CH | 5.27, s | ||
| 3 | 81.5, CH | 5.26, br s | 126.6, C | |
| 4 | 134.3, C | 146.9, C | ||
| 5 | 157.3, C | 115.8, CH | 6.60, d (8.5) | |
| 6 | 104.2, CH | 6.41, s | 115.2, CH | 6.50, dd (8.5, 3.0) |
| 7 | 153.7, C | 149.7, C | ||
| 8 | 103.4, C | 114.2, CH | 6.67, d (3.0) | |
| 9 | 141.5, C | 51.5, CH3 | 3.57, s | |
| 10 | 59.7, CH3 | 3.69, s | ||
| 1′ | 65.1, CH | 4.18, q (5.9) | ||
| 2′ | 20.6, CH3 | 1.28, d (6.5) | ||
| Pos. | 3 a | 4 b | ||
|---|---|---|---|---|
| δC Type | δH (J in Hz) | δC Type | δH (J in Hz) | |
| 1 | 172.7, C | 183.6, C | ||
| 2 | 144.2, C | 161.9, C | ||
| 3 | 115.6, CH | 6.96, s | 104.0, CH | 5.88, s |
| 4 | 160.0, C | 184.5, C | ||
| 5 | 150.2, C | 156.1, C | ||
| 6 | 120.1, C | |||
| 7 | 153.0, C | 23.3, CH2 | 2.40, t (7.7) | |
| 8 | 27.5, CH2 | 2.68, t (7.5) | 29.2, CH2 | 1.43, m |
| 9 | 26.1, CH2 | 1.61, m | 30.2, CH2 | 1.32, m |
| 10 | 28.3, CH2 | 1.30, m | 30.6, CH2 | 1.29, m |
| 11 | 28.4, CH2 | 1.30, m | 33.0, CH2 | 1.29, m |
| 12 | 31.1, CH2 | 1.24, m | 23.7, CH2 | 1.32, m |
| 13 | 22.0, CH2 | 1.24, m | 14.4, CH3 | 0.90, t (7.1) |
| 14 | 13.9, CH3 | 0.85, t (6.8) | 57.2, CH3 | 3.83, s |
| 15 | 53.3, CH3 | 3.87, s | ||
| Compounds | Antibacterial (MIC, µg/mL) | Cytotoxicity (IC50, µM) | |||
|---|---|---|---|---|---|
| S. aureus | S. suis | PC-3 | LNCaP | DU145 | |
| 1 | - a | - | - | - | - |
| 3 | - | 100 | - | - | - |
| 4 | - | - | 18.69 | 31.62 | >100 |
| 7 | 100 | 100 | - | - | - |
| 8 | - | 100 | - | - | - |
| 9 | 100 | 100 | - | - | - |
| 12 | - | - | - | - | - |
| Positive | 25 b | 50 c | 0.12 d | 0.0018 d | 0.0033 d |
Disclaimer/Publisher’s Note: The statements, opinions and data contained in all publications are solely those of the individual author(s) and contributor(s) and not of MDPI and/or the editor(s). MDPI and/or the editor(s) disclaim responsibility for any injury to people or property resulting from any ideas, methods, instructions or products referred to in the content. |
© 2024 by the authors. Licensee MDPI, Basel, Switzerland. This article is an open access article distributed under the terms and conditions of the Creative Commons Attribution (CC BY) license (https://creativecommons.org/licenses/by/4.0/).
Share and Cite
Chen, Y.; Cai, J.; Xia, Z.; Chen, C.; Liu, Y.; Jayasinghe, L.; Wang, X.; Zhou, X. New Bioactive Polyketides from the Mangrove-Derived Fungus Penicillium sp. SCSIO 41411. Mar. Drugs 2024, 22, 384. https://doi.org/10.3390/md22090384
Chen Y, Cai J, Xia Z, Chen C, Liu Y, Jayasinghe L, Wang X, Zhou X. New Bioactive Polyketides from the Mangrove-Derived Fungus Penicillium sp. SCSIO 41411. Marine Drugs. 2024; 22(9):384. https://doi.org/10.3390/md22090384
Chicago/Turabian StyleChen, Yi, Jian Cai, Ziwei Xia, Chunmei Chen, Yonghong Liu, Lalith Jayasinghe, Xueni Wang, and Xuefeng Zhou. 2024. "New Bioactive Polyketides from the Mangrove-Derived Fungus Penicillium sp. SCSIO 41411" Marine Drugs 22, no. 9: 384. https://doi.org/10.3390/md22090384
APA StyleChen, Y., Cai, J., Xia, Z., Chen, C., Liu, Y., Jayasinghe, L., Wang, X., & Zhou, X. (2024). New Bioactive Polyketides from the Mangrove-Derived Fungus Penicillium sp. SCSIO 41411. Marine Drugs, 22(9), 384. https://doi.org/10.3390/md22090384

