Improving Bioprocess Conditions for the Production of Prodigiosin Using a Marine Serratia rubidaea Strain
Abstract
1. Introduction
2. Results and Discussion
2.1. Enhancing Biomass and Product Production
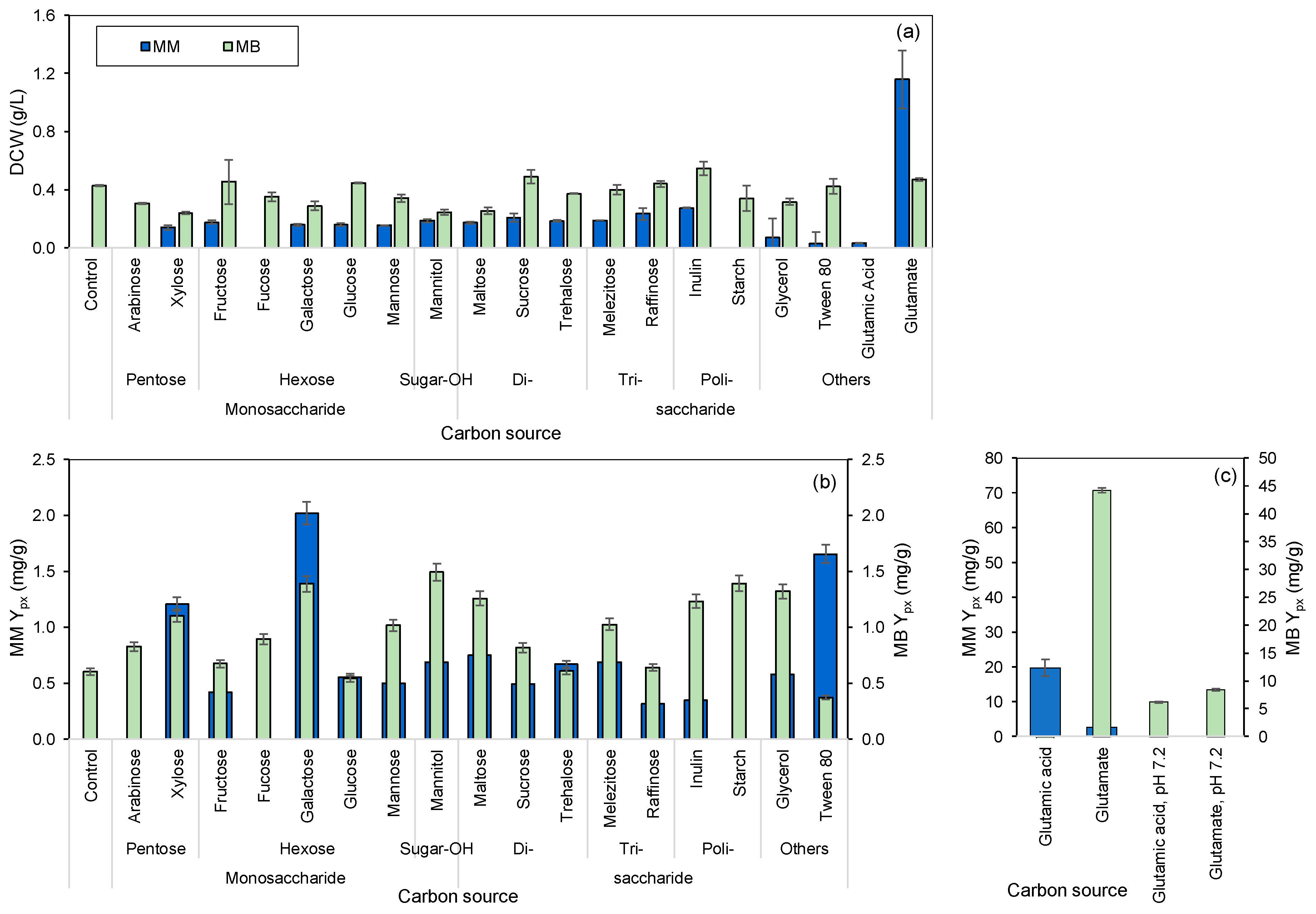
2.1.1. Effect of Carbon Sources
2.1.2. Effect of Nitrogen Sources
2.1.3. Effect of Metal Ions
2.1.4. Succinic Acid and Glycine
2.1.5. Effect of Salinity
2.1.6. Effect of Oxygen Availability
2.1.7. Growth Temperature
2.1.8. Effect of Light Exposure
2.2. Product Inhibition
2.3. Application of Supplemented MB in Serratia marcescens Cultures
2.4. Scale-Up to 2 L Bioreactor
3. Materials and Methods
3.1. Medium Composition Optimization
3.1.1. Conical Tubes (15 mL)
3.1.2. Shaken Flasks
3.1.3. Oxygen Monitoring
3.2. Medium Viscosity
3.3. Bioreactors
3.4. Oxygen Transfer
3.4.1. kLa Determination in Shake Flasks
3.4.2. kLa Determination in 2 L Bioreactors
3.5. Biomass and Product Production in 2 L Bioreactors
3.6. Phenotypic Adaption of Cells at the Lipid Level
3.7. Product Extraction
3.8. Analytical Methods
UV-VIS Spectroscopy
4. Conclusions
Author Contributions
Funding
Institutional Review Board Statement
Data Availability Statement
Acknowledgments
Conflicts of Interest
References
- Kawauchi, K.; Shibutani, K.; Yagisawa, H.; Kamata, H.; Nakatsuji, S.; Anzai, H.; Yokoyama, Y.; Ikegami, Y.; Moriyama, Y.; Hirata, H. A possible immunosuppressant, cycloprodigiosin hydrochloride, obtained from Pseudoalteromonas denitrificans. Biochem. Biophys. Res. Commun. 1997, 237, 543–547. [Google Scholar] [CrossRef]
- Amos-Tautua, B.; Songca, S.; Oluwafemi, O. Application of porphyrins in antibacterial photodynamic therapy. Molecules 2019, 24, 2456. [Google Scholar] [CrossRef]
- Song, C.; Xu, W.; Wu, H.; Wang, X.; Gong, Q.; Liu, C.; Liu, J.; Zhou, L. Photodynamic therapy induces autophagy-mediated cell death in human colorectal cancer cells via activation of the ROS/JNK signaling pathway. Cell Death Dis. 2020, 11, 938. [Google Scholar] [CrossRef]
- Tsolekile, N.; Nelana, S.; Oluwafemi, O.S. Porphyrin as diagnostic and therapeutic agent. Molecules 2019, 24, 2669. [Google Scholar] [CrossRef]
- Anwar, M.M.; Shalaby, M.; Embaby, A.M.; Saeed, H.; Agwa, M.M.; Hussein, A. Prodigiosin/PU-H71 as a novel potential combined therapy for triple negative breast cancer (TNBC): Preclinical insights. Sci. Rep. 2020, 10, 14706. [Google Scholar] [CrossRef]
- Zhang, S.; Zheng, W.; Wang, H. Physiological response and morphological changes of Heterosigma akashiwo to an algicidal compound prodigiosin. J. Hazard. Mater. 2020, 385, 121530. [Google Scholar] [CrossRef]
- Wei, J.; Xie, X.; Huang, F.; Xiang, L.; Wang, Y.; Han, T.; Massey, I.Y.; Liang, G.; Pu, Y.; Yang, F. Simultaneous Microcystis algicidal and microcystin synthesis inhibition by a red pigment prodigiosin. Environ. Pollut. 2020, 256, 113444. [Google Scholar] [CrossRef] [PubMed]
- Metwally, R.A.; El Sikaily, A.; El-Sersy, N.A.; Ghozlan, H.A.; Sabry, S.A. Antimicrobial activity of textile fabrics dyed with prodigiosin pigment extracted from marine Serratia rubidaea RAM_Alex bacteria. Egypt. J. Aquat. Res. 2021, 47, 301–305. [Google Scholar] [CrossRef]
- Sundararajan, P.; Ramasamy, S.P. Development of sustainable, eco-friendly antimicrobial finishing of cotton fabric using prodigiosin of Serratia marcescens SP1. Prog. Org. Coat. 2024, 188, 108216. [Google Scholar] [CrossRef]
- Hu, D.X.; Withall, D.M.; Challis, G.L.; Thomson, R.J. Structure, chemical synthesis, and biosynthesis of prodiginine natural products. Chem. Rev. 2016, 116, 7818–7853. [Google Scholar] [CrossRef] [PubMed]
- Kaur, G.; Srivastava, A.K.; Chand, S. Determination of kinetic parameters of 1,3-propanediol fermentation by Clostridium diolis using statistically optimized medium. Bioprocess Biosyst. Eng. 2012, 35, 1147–1156. [Google Scholar] [CrossRef]
- Silva, R.G.; Souza, V.R.; Nucci, E.R.; Pinotti, L.M.; Cruz, A.J.G.; Giordano, R.C.; Giordano, R.L.C. Using a medium of free amino acids to produce penicillin G acylase in fed-batch cultivations of Bacillus megaterium ATCC 14945. Brazilian J. Chem. Eng. 2006, 23, 37–43. [Google Scholar] [CrossRef]
- Danquah, M.K.; Harun, R.; Halim, R.; Forde, G.M. Cultivation medium design via elemental balancing for Tetraselmis suecica. Chem. Biochem. Eng. Q. 2010, 24, 361–369. [Google Scholar]
- Kennedy, M.; Krouse, D. Strategies for improving fermentation medium performance: A review. J. Ind. Microbiol. Biotechnol. 1999, 23, 456–475. [Google Scholar] [CrossRef]
- Trigueros, D.E.G.; Fiorese, M.L.; Kroumov, A.D.; Hinterholz, C.L.; Nadai, B.L.; Assunção, G.M. Medium optimization and kinetics modeling for the fermentation of hydrolyzed cheese whey permeate as a substrate for Saccharomyces cerevisiae var. boulardii. Biochem. Eng. J. 2016, 110, 71–83. [Google Scholar] [CrossRef]
- Ivušić, F.; Šantek, B. Optimization of complex medium composition for heterotrophic cultivation of Euglena gracilis and paramylon production. Bioprocess Biosyst. Eng. 2015, 38, 1103–1112. [Google Scholar] [CrossRef]
- Nikerel, I.E.; Öner, E.T.; Kirdar, B.; Yildirim, R. Optimization of medium composition for biomass production of recombinant Escherichia coli cells using response surface methodology. Biochem. Eng. J. 2006, 32, 1–6. [Google Scholar] [CrossRef]
- van der Valk, J.; Brunner, D.; De Smet, K.; Fex Svenningsen, Å.; Honegger, P.; Knudsen, L.E.; Lindl, T.; Noraberg, J.; Price, A.; Scarino, M.L.; et al. Optimization of chemically defined cell culture media—Replacing fetal bovine serum in mammalian in vitro methods. Toxicol. Vitr. 2010, 24, 1053–1063. [Google Scholar] [CrossRef]
- Matthews, C.B.; Kuo, A.; Love, K.R.; Love, J.C. Development of a general defined medium for Pichia pastoris. Biotechnol. Bioeng. 2018, 115, 103–113. [Google Scholar] [CrossRef] [PubMed]
- Gallardo, K.; Candia, J.E.; Remonsellez, F.; Escudero, L.V.; Demergasso, C.S. The ecological coherence of temperature and salinity tolerance interaction and pigmentation in a non-marine Vibrio isolated from Salar de Atacama. Front. Microbiol. 2016, 7, 1–10. [Google Scholar] [CrossRef]
- Williams, R.P. Biosynthesis of prodigiosin, a secondary metabolite of Serratia marcescens. Appl. Microbiol. 1973, 25, 396–402. [Google Scholar] [CrossRef] [PubMed]
- Darshan, N.; Manonmani, H.K. Prodigiosin and its potential applications. J. Food Sci. Technol. 2015, 52, 5393–5407. [Google Scholar] [CrossRef]
- Zivkovic Zaric, R.; Zaric, M.; Sekulic, M.; Zornic, N.; Nesic, J.; Rosic, V.; Vulovic, T.; Spasic, M.; Vuleta, M.; Jovanovic, J.; et al. Antimicrobial treatment of Serratia marcescens invasive infections: Systematic review. Antibiotics 2023, 12, 367. [Google Scholar] [CrossRef] [PubMed]
- Jones, R.N. Microbial etiologies of hospital-acquired bacterial pneumonia and ventilator-associated bacterial pneumonia. Clin. Infect. Dis. 2010, 51, S81–S87. [Google Scholar] [CrossRef] [PubMed]
- Mills, J.; Drew, D. Serratia marcescens endocarditis: A regional illness associated with intravenous Drug Abuse. Ann. Intern. Med. 1976, 84, 29. [Google Scholar] [CrossRef]
- Domröse, A.; Klein, A.S.; Hage-Hülsmann, J.; Thies, S.; Svensson, V.; Classen, T.; Pietruszka, J.; Jaeger, K.E.; Drepper, T.; Loeschcke, A. Efficient recombinant production of prodigiosin in Pseudomonas putida. Front. Microbiol. 2015, 6, 1–10. [Google Scholar] [CrossRef] [PubMed]
- Vijay, D.; Baby, B.; Alhayer, M.S.; Vijayan, R.; Akhtar, M.K. Native production of prodigiosin in the estuarine bacterium, Vibrio gazogenes PB1, and identification of the associated pig Genes. Front. Mar. Sci. 2022, 9, 1–9. [Google Scholar] [CrossRef]
- Pereira, R.F.S.; Ferreira, M.J.; Oliveira, M.C.; Serra, M.C.; de Carvalho, C.C.C.R. Isolation and characterization of a Serratia rubidaea from a shallow water hydrothermal vent. Mar. Drugs 2023, 21, 599. [Google Scholar] [CrossRef]
- Buffing, M.F.; Link, H.; Christodoulou, D.; Sauer, U. Capacity for instantaneous catabolism of preferred and non-preferred carbon sources in Escherichia coli and Bacillus subtilis. Sci. Rep. 2018, 8, 11760. [Google Scholar] [CrossRef]
- Groisillier, A.; Labourel, A.; Michel, G.; Tonon, T. The mannitol utilization system of the marine bacterium Zobellia galactanivorans. Appl. Environ. Microbiol. 2015, 81, 1799–1812. [Google Scholar] [CrossRef]
- Romano, A.H.; Nickerson, W.J. Utilization of amino acids as carbon sources by Streptomyces fradiae. J. Bacteriol. 1958, 75, 161–166. [Google Scholar] [CrossRef]
- Halvorson, H. Utilization of single L-amino acids as sole source of carbon and nitrogen by bacteria. Can. J. Microbiol. 1972, 18, 1647–1650. [Google Scholar] [CrossRef] [PubMed]
- de Carvalho, C.C.C.R. Adaptation of Rhodococcus erythropolis cells for growth and bioremediation under extreme conditions. Res. Microbiol. 2012, 163, 125–136. [Google Scholar] [CrossRef] [PubMed]
- de Carvalho, C.C.C.R.; Marques, M.P.C.; Hachicho, N.; Heipieper, H.J. Rapid adaptation of Rhodococcus erythropolis cells to salt stress by synthesizing polyunsaturated fatty acids. Appl. Microbiol. Biotechnol. 2014, 98, 5599–5606. [Google Scholar] [CrossRef] [PubMed]
- de Carvalho, C.C.C.R.; Caramujo, M.J. The various roles of fatty acids. Molecules 2018, 23, 36. [Google Scholar] [CrossRef]
- Kharbush, J.J.; Close, H.G.; Van Mooy, B.A.S.; Arnosti, C.; Smittenberg, R.H.; Le Moigne, F.A.C.; Mollenhauer, G.; Scholz-Böttcher, B.; Obreht, I.; Koch, B.P.; et al. Particulate organic carbon deconstructed: Molecular and chemical composition of particulate organic carbon in the ocean. Front. Mar. Sci. 2020, 7, 1–10. [Google Scholar] [CrossRef]
- Thalayappil, S.; Mullungal, M.N.; Peediyakkathodi, S.; Ratheesh Kumar, C.S.; Panikkaveettil, R.; Salas, P.M.; Sujatha, C.H. Composition and vertical distribution of organic matter in Central Indian Ocean sediment cores. Sci. Rep. 2024, 14, 2157. [Google Scholar] [CrossRef] [PubMed]
- Williamson, N.R.; Fineran, P.C.; Leeper, F.J.; Salmond, G.P.C. The biosynthesis and regulation of bacterial prodiginines. Nat. Rev. Microbiol. 2006, 4, 887–899. [Google Scholar] [CrossRef]
- Han, R.; Xiang, R.; Li, J.; Wang, F.; Wang, C. High-level production of microbial prodigiosin: A review. J. Basic Microbiol. 2021, 61, 506–523. [Google Scholar] [CrossRef]
- Lin, C.; Jia, X.; Fang, Y.; Chen, L.; Zhang, H.; Lin, R.; Chen, J. Enhanced production of prodigiosin by Serratia marcescens FZSF02 in the form of pigment pellets. Electron. J. Biotechnol. 2019, 40, 58–64. [Google Scholar] [CrossRef]
- Parsons, J.B.; Rock, C.O. Bacterial lipids: Metabolism and membrane homeostasis. Prog. Lipid Res. 2013, 52, 249–276. [Google Scholar] [CrossRef]
- Shaikh, S.R.; Edidin, M. Polyunsaturated fatty acids and membrane organization: Elucidating mechanisms to balance immunotherapy and susceptibility to infection. Chem. Phys. Lipids 2008, 153, 24–33. [Google Scholar] [CrossRef]
- Lin, Y.-C.; Huang, C.; Lai, H.-C. Revealing the ultrastructure of the membrane pores of intact Serratia marcescens cells by atomic force microscopy. Heliyon 2019, 5, e02636. [Google Scholar] [CrossRef]
- Burdeau, C. Where the Olive Trees are Dying: A Front-Line Report on Xylella. Available online: https://www.oliveoiltimes.com/pt/olive-oil-business/europe/where-the-olive-trees-are-dying-report-on-xylella/59847 (accessed on 20 July 2023).
- Makemson, J.C.; Hastings, J.W. Glutamate functions in osmoregulation in a marine bacterium. Appl. Environ. Microbiol. 1979, 38, 178–180. [Google Scholar] [CrossRef]
- Velasquez, M.T.; Ramezani, A.; Manal, A.; Raj, D.S. Trimethylamine N-oxide: The good, the bad and the unknown. Toxins 2016, 8, 326. [Google Scholar] [CrossRef]
- Carvalho, M.D.R.; Mateus, A.; Nunes, J.C.; Carvalho, J.M. Chemistry of the Ferraria thermal water, S. Miguel Island, Azores: Mixing and precipitation processes. Environ. Earth Sci. 2011, 64, 539–547. [Google Scholar] [CrossRef]
- Furman, C.R.; Owusu, V.I.; Tsang, J.C. Inhibitory effect of some transition metal ions on growth and pigment formation of Serratia marcescens. Microbios 1984, 40, 45–51. [Google Scholar]
- Mamindy-Pajany, Y.; Hurel, C.; Géret, F.; Galgani, F.; Battaglia-Brunet, F.; Marmier, N.; Roméo, M. Arsenic in marine sediments from French Mediterranean ports: Geochemical partitioning, bioavailability and ecotoxicology. Chemosphere 2013, 90, 2730–2736. [Google Scholar] [CrossRef] [PubMed]
- Botté, A.; Zaidi, M.; Guery, J.; Fichet, D.; Leignel, V. Aluminium in aquatic environments: Abundance and ecotoxicological impacts. Aquat. Ecol. 2022, 56, 751–773. [Google Scholar] [CrossRef]
- Jaishankar, M.; Tseten, T.; Anbalagan, N.; Mathew, B.B.; Beeregowda, K.N. Toxicity, mechanism and health effects of some heavy metals. Interdiscip. Toxicol. 2014, 7, 60–72. [Google Scholar] [CrossRef]
- Pearce, D.A.; Sherman, F. Toxicity of copper, cobalt, and nickel salts is dependent on histidine metabolism in the yeast Saccharomyces cerevisiae. J. Bacteriol. 1999, 181, 4774–4779. [Google Scholar] [CrossRef] [PubMed]
- Laera, D.; HogenEsch, H.; O’Hagan, D.T. Aluminum adjuvants—‘Back to the Future’. Pharmaceutics 2023, 15, 1884. [Google Scholar] [CrossRef]
- Duggen, S.; Olgun, N.; Croot, P.; Hoffmann, L.; Dietze, H.; Delmelle, P.; Teschner, C. The role of airborne volcanic ash for the surface ocean biogeochemical iron-cycle: A review. Biogeosciences 2010, 7, 827–844. [Google Scholar] [CrossRef]
- Vraspir, J.M.; Butler, A. Chemistry of marine ligands and siderophores. Ann. Rev. Mar. Sci. 2009, 1, 43–63. [Google Scholar] [CrossRef] [PubMed]
- Li, M.; Toner, B.M.; Baker, B.J.; Breier, J.A.; Sheik, C.S.; Dick, G.J. Microbial iron uptake as a mechanism for dispersing iron from deep-sea hydrothermal vents. Nat. Commun. 2014, 5, 3192. [Google Scholar] [CrossRef] [PubMed]
- Williamson, P.; Wallace, D.W.R.; Law, C.S.; Boyd, P.W.; Collos, Y.; Croot, P.; Denman, K.; Riebesell, U.; Takeda, S.; Vivian, C.; et al. Ocean fertilization for geoengineering: A review of effectiveness, environmental impacts and emerging governance. Process Saf. Environ. Prot. 2012, 90, 475–488. [Google Scholar] [CrossRef]
- Chung, S.-Y.; Seo, K.-H.; Rhee, J. Il Influence of culture conditions on the production of extra-cellular 5-aminolevulinic acid (ALA) by recombinant E. coli. Process Biochem. 2005, 40, 385–394. [Google Scholar] [CrossRef]
- Sasaki, K.; Tanaka, T.; Nishizawa, Y.; Hayashi, M. Enhanced production of 5-aminolevulinic acid by repeated addition of levulinic acid and supplement of precursors in photoheterotrophic culture of Rhodobacter sphaeroides. J. Ferment. Bioeng. 1991, 71, 403–406. [Google Scholar] [CrossRef]
- Shrimpton, D.; Marks, G.S.; Bogorad, L. Studies on the biosynthesis of prodigiosin in Serratia marcescens. Biochim. Biophys. Acta 1963, 71, 408–415. [Google Scholar] [CrossRef][Green Version]
- Condalab. Data sheet for “Marine Broth”; Revision number 1, revised 24/02/2020; Condalab: Madrid, Spain.
- Garcia-Ochoa, F.; Gomez, E.; Santos, V.E.; Merchuk, J.C. Oxygen uptake rate in microbial processes: An overview. Biochem. Eng. J. 2010, 49, 289–307. [Google Scholar] [CrossRef]
- Büchs, J. Introduction to advantages and problems of shaken cultures. Biochem. Eng. J. 2001, 7, 91–98. [Google Scholar] [CrossRef]
- Meier, K.; Klöckner, W.; Bonhage, B.; Antonov, E.; Regestein, L.; Büchs, J. Correlation for the maximum oxygen transfer capacity in shake flasks for a wide range of operating conditions and for different culture media. Biochem. Eng. J. 2016, 109, 228–235. [Google Scholar] [CrossRef]
- Klöckner, W.; Tissot, S.; Wurm, F.; Büchs, J. Power input correlation to characterize the hydrodynamics of cylindrical orbitally shaken bioreactors. Biochem. Eng. J. 2012, 65, 63–69. [Google Scholar] [CrossRef]
- Ogut, A.; Hatch, R.T. Oxygen transfer into newtonian and non-newtonian fluids in mechanically agitated vessels. Can. J. Chem. Eng. 1988, 66, 79–85. [Google Scholar] [CrossRef]
- Büchs, J.; Lotter, S.; Milbradt, C. Out-of-phase operating conditions, a hitherto unknown phenomenon in shaking bioreactors. Biochem. Eng. J. 2001, 7, 135–141. [Google Scholar] [CrossRef]
- Ryazantseva, I.N.; Andreyeva, I.N.; Klementyeva, G.S.; Ogorodnikova, T.I.; Petrov, V.Y. Pigment-dependent light influence on the energetics of Serratia marcescens. Thermochim. Acta 1995, 251, 63–67. [Google Scholar] [CrossRef]
- Borić, M.; Danevčič, T.; Stopar, D. Prodigiosin from Vibrio sp. DSM 14379; A new UV-protective pigment. Microb. Ecol. 2011, 62, 528–536. [Google Scholar] [CrossRef] [PubMed]
- Richert, I.; Dinasquet, J.; Logares, R.; Riemann, L.; Yager, P.L.; Wendeberg, A.; Bertilsson, S. The influence of light and water mass on bacterial population dynamics in the Amundsen Sea Polynya. Elem. Sci. Anthr. 2015, 3, 44. [Google Scholar] [CrossRef]
- Hellingwerf, K.J. The molecular basis of sensing and responding to light in microorganisms. Antonie Van Leeuwenhoek 2002, 81, 51–59. [Google Scholar] [CrossRef]
- Sakai-Kawada, F.E.; Ip, C.G.; Hagiwara, K.A.; Awaya, J.D. Biosynthesis and bioactivity of prodiginine analogs in marine bacteria, Pseudoalteromonas: A mini review. Front. Microbiol. 2019, 10, 452936. [Google Scholar] [CrossRef]
- Van Houdt, R.; Givskov, M.; Michiels, C.W. Quorum sensing in Serratia. FEMS Microbiol. Rev. 2007, 31, 407–424. [Google Scholar] [CrossRef] [PubMed]
- Giri, A.V.; Anandkumar, N.; Muthukumaran, G.; Pennathur, G. A novel medium for the enhanced cell growth and production of prodigiosin from Serratia marcescens isolated from soil. BMC Microbiol. 2004, 4, 11. [Google Scholar] [CrossRef] [PubMed]
- Bae, J.; Moon, H.; Oh, K.K.; Kim, C.H.; Sil Lee, D.; Kim, S.W.; Hong, S.I. A novel bioreactor with an internal adsorbent for integrated fermentation and recovery of prodigiosin-like pigment produced from Serratia sp. KH-95. Biotechnol. Lett. 2001, 23, 1315–1319. [Google Scholar] [CrossRef]
- Pereira, R.F.S.; de Carvalho, C.C.C.R. Optimization of multiparameters for increased yields of cytochrome B5 in bioreactors. Molecules 2021, 26, 4148. [Google Scholar] [CrossRef]
- Cortes, M.A.L.R.M.; de Carvalho, C.C.C.R. Effect of carbon sources on lipid accumulation in Rhodococcus cells. Biochem. Eng. J. 2015, 94, 100–105. [Google Scholar] [CrossRef]
- Marques, M.P.C.; Walshe, K.; Doyle, S.; Fernandes, P.; de Carvalho, C.C.C.R. Anchoring high-throughput screening methods to scale-up bioproduction of siderophores. Process Biochem. 2012, 47, 416–421. [Google Scholar] [CrossRef][Green Version]
- Doran, P.M. Bioprocess Engineering Principles; Academic Press: London, UK, 1995; ISBN 0-12-220855-2. [Google Scholar]
- de Carvalho, C.C.C.R.; Teixeira, R.; Fernandes, P. Mycobacterium vaccae adaptation to disinfectants and hand sanitisers, and evaluation of cross-tolerance with antimicrobials. Antibiotics 2020, 9, 544. [Google Scholar] [CrossRef]
- Kunitsky, C.; Osterhout, G.; Sasser, M. Identification of microorganisms using fatty acid methyl ester (FAME) analysis and the MIDI Sherlock Microbial Identification System. Encycl. Rapid Microbiol. Methods 2006, 3, 1–17. [Google Scholar]
- Leeper, F.J. The biosynthesis of porphyrins, chlorophylls, and vitamin B12. Nat. Prod. Rep. 1989, 6, 171–203. [Google Scholar] [CrossRef]
















| Bioreactor | µmax (h−1) | Td (h) | PrBiomass (mg/(L.h)) | PrProdigiosins (mg/(L.h)) |
|---|---|---|---|---|
| BE | 0.28 | 2.52 | 113.05 | 12.21 |
| BI | 0.22 | 3.16 | 43.25 | 1.63 |
Disclaimer/Publisher’s Note: The statements, opinions and data contained in all publications are solely those of the individual author(s) and contributor(s) and not of MDPI and/or the editor(s). MDPI and/or the editor(s) disclaim responsibility for any injury to people or property resulting from any ideas, methods, instructions or products referred to in the content. |
© 2024 by the authors. Licensee MDPI, Basel, Switzerland. This article is an open access article distributed under the terms and conditions of the Creative Commons Attribution (CC BY) license (https://creativecommons.org/licenses/by/4.0/).
Share and Cite
Pereira, R.F.S.; de Carvalho, C.C.C.R. Improving Bioprocess Conditions for the Production of Prodigiosin Using a Marine Serratia rubidaea Strain. Mar. Drugs 2024, 22, 142. https://doi.org/10.3390/md22040142
Pereira RFS, de Carvalho CCCR. Improving Bioprocess Conditions for the Production of Prodigiosin Using a Marine Serratia rubidaea Strain. Marine Drugs. 2024; 22(4):142. https://doi.org/10.3390/md22040142
Chicago/Turabian StylePereira, Ricardo F. S., and Carla C. C. R. de Carvalho. 2024. "Improving Bioprocess Conditions for the Production of Prodigiosin Using a Marine Serratia rubidaea Strain" Marine Drugs 22, no. 4: 142. https://doi.org/10.3390/md22040142
APA StylePereira, R. F. S., & de Carvalho, C. C. C. R. (2024). Improving Bioprocess Conditions for the Production of Prodigiosin Using a Marine Serratia rubidaea Strain. Marine Drugs, 22(4), 142. https://doi.org/10.3390/md22040142

