New Pyridyl and Dihydroisoquinoline Alkaloids Isolated from the Chevron Nemertean Amphiporus angulatus
Abstract
1. Introduction
2. Results
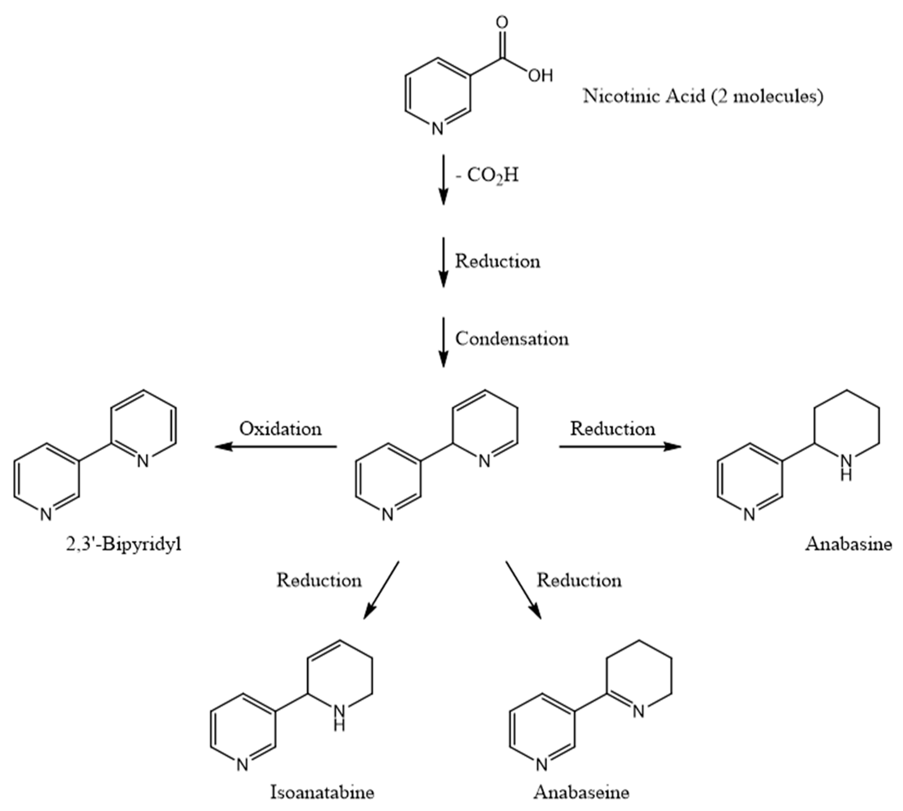
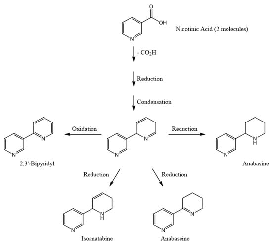
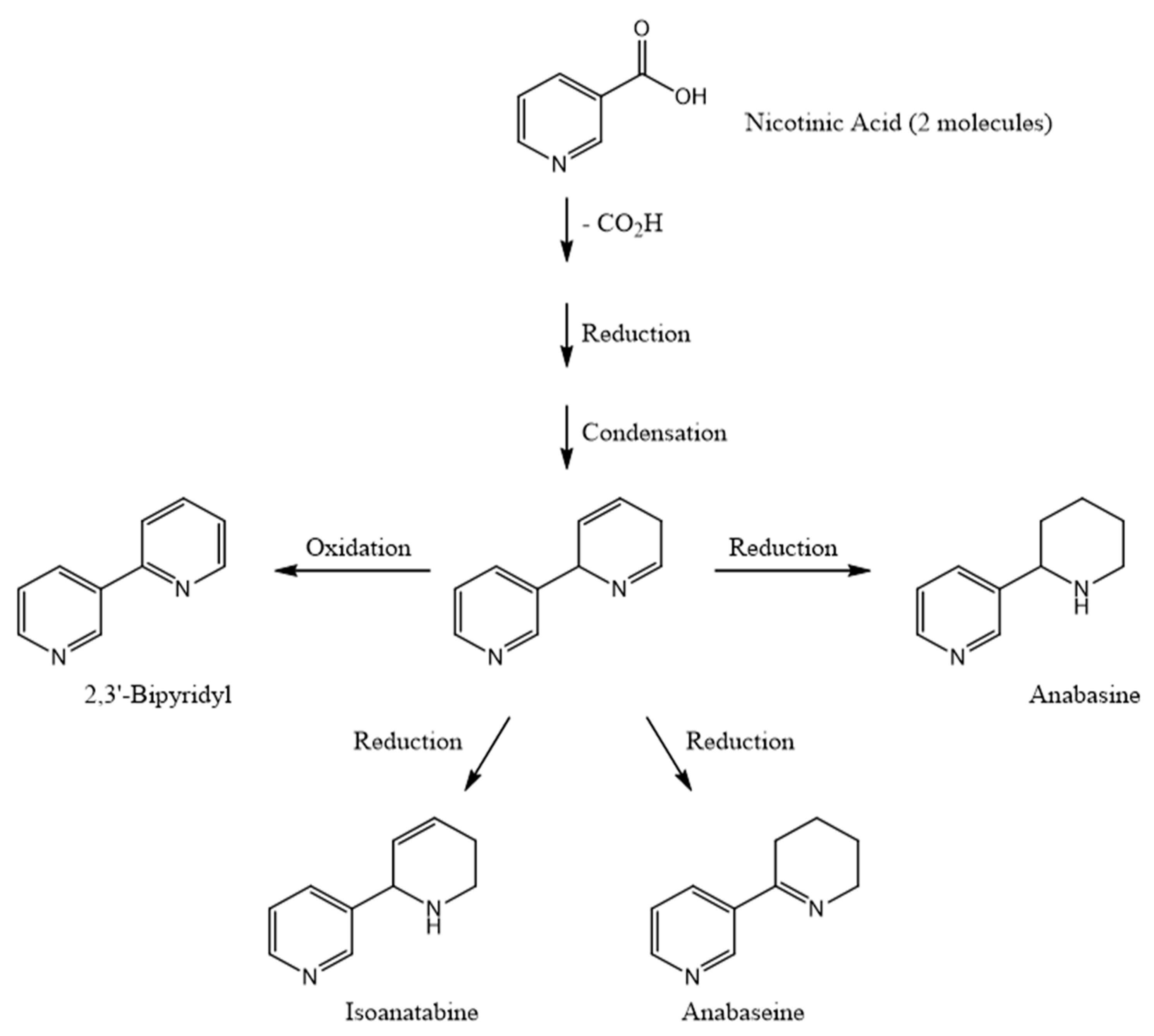
2.1. Bipyridyl Compounds
2.2. Angulatine, A Novel Dihydroisoquinoline Alkaloid
2.3. New Nemertellines
2.4. Two DehydroNemertellines
3. Discussion
3.1. Functional Considerations
3.2. Possible Pathways for Hoplonemertean Alkaloid Biosynthesis
4. Concluding Remarks
5. Materials and Methods
5.1. Animal Collection
5.2. Alkaloid Extraction and Purification
5.3. Gas Chromatographic Analysis of the Crude Alkaloid Fraction
5.4. LC-MS Analyses
5.5. NMR Spectroscopy
Supplementary Materials
Author Contributions
Funding
Institutional Review Board Statement
Data Availability Statement
Acknowledgments
Conflicts of Interest
References
- Bacq, Z.M. Les poisons des nemertiens. Bull. Cl. Sci. Acad. Roy. Belg. 1936, 22, 1072–1079. [Google Scholar]
- Bacq, Z.M. L”amphiporine” et la “nemertine,” poisons des vers nemertiens. Arch. Int. Physiol. 1937, 44, 190–204. [Google Scholar] [CrossRef]
- King, H. Amphiporine, an active base from the marine worm Amphiporus lactifloreus. J. Chem. Soc. 1939, 1365–1366. [Google Scholar]
- Kem, W.R. A Chemical Investigation of Nemertine Toxins. Ph.D. Dissertation, University of Illinois Urbana-Champaign, Champaign, IL, USA, 1969; pp. 1–113. [Google Scholar]
- Kem, W.R.; Abbott, B.C.; Coates, R.M. Isolation and structure of a hoplonemertine toxin. Toxicon 1971, 9, 15–22. [Google Scholar] [CrossRef] [PubMed]
- Kem, W.R. A study of the occurrence of anabaseine in Paranemertes and other nemertines. Toxicon 1971, 9, 23–32. [Google Scholar] [CrossRef]
- Kem, W.R.; Mahnir, V.M.; Papke, R.; Lingle, C. Anabaseine is a potent agonist upon muscle and neuronal alpha-bungarotoxin sensitive nicotinic receptors. J. Pharmacol. Exp. Ther. 1997, 283, 979–992. [Google Scholar] [PubMed]
- Kem, W.R.; Soti, F.; Wildeboer, K.; LeFrancois, S.; MacDougall, K.; Wei, D.-Q.; Chou, K.-C.; Arias, H.R. The nemertine toxin anabaseine and its derivative DMXBA (GTS-21): Chemical and pharmacological properties. Mar. Drugs 2006, 4, 255–273. [Google Scholar] [CrossRef]
- Kitagawa, H.; Takenouchi, T.; Azuma, R.; Wesnes, K.A.; Kramer, W.G.; Clody, D.E.; Burnett, A.L. Safety, pharmacokinetics, and effects on cognitive function of multiple doses of GTS-21 in healthy, male volunteers. Neuropsychopharmacology 2003, 28, 542–551. [Google Scholar] [CrossRef]
- Olincy, A.; Harris, J.G.; Johnson, L.L.; Pender, V.; Kongs, S.; Allensworth, D.; Ellis, J.; Zerbe, G.O.; Leonard, S.; Stevens, K.E.; et al. Proof-of-concept trial of an alpha7 nicotinic agonist in schizophrenia. Arch. Gen. Psychiatry 2006, 63, 630–638. [Google Scholar] [CrossRef]
- Kem, W.R.; Olincy, A.; Johnson, L.; Harris, J.; Wagner, B.D.; Buchanan, R.W.; Christians, U.; Freedman, R. Pharmacokinetic Limitations on Effects of an Alpha7-Nicotinic Receptor Agonist in Schizophrenia: Randomized Trial with an Extended-Release Formulation. Neuropsychopharmacology 2017, 43, 583–589. [Google Scholar] [CrossRef]
- Park, J.-E.; Leem, Y.-H.; Park, J.-S.; Kim, D.-Y.; Kang, J.L.; Kim, H.-S. Anti-inflammatory and neuroprotective mechanisms of GTS-21, an α7 nicotinic acetylcholine receptor agonist, in neuroinflammation and Parkinson’s disease mouse models. Int. J. Mol. Sci. 2022, 23, 4420. [Google Scholar] [CrossRef] [PubMed]
- Douaoui, S.; Djidjik, R.; Bourbakeur, M.; Ghernaout, M.; Touil-boukoffa, C.; Aumonuna, M.; Derrar, F.; Amrani, Y. GTS-21, an α7nAChR agonist, suppressed the production of key inflammatory mediators by PBM that are elevated in COPD patients and associated with impaired lung function. Immunobiology 2020, 225, 151950. [Google Scholar] [CrossRef] [PubMed]
- Zhou, Y.; Leung-Pitt, Y.; Deng, H.; Ren, Y.; You, Z.; Kem, W.R.; Shen, S.; Zhang, W.; Mao, J.; Martyn, J.A. Nonopioid GTS-21 Mitigates Burn Injury Pain in Rats by Decreasing Spinal Cord Inflammatory Responses. J. Anesth. Analg. 2021, 132, 240–252. [Google Scholar] [CrossRef] [PubMed]
- Kem, W.R.; Scott, K.N.; Duncan, J.H. Hoplonemertine worms—A new source of pyridine neurotoxins. Experientia 1976, 32, 684–686. [Google Scholar] [CrossRef] [PubMed]
- Kem, W.R.; Rocca, J.; Garraffo, H.M.; Spande, T.F.; Daly, J.W.; Soti, F. Synthesis and spectroscopic comparison of the eight methyl-2,3′-bipyridyls and identification of a hoplonemertine alkaloid as 3-methyl-2,3′-bipyridyl. Heterocycles 2009, 79, 1025–1041. [Google Scholar] [CrossRef] [PubMed]
- Kem, W.R.; Soti, F. Amphiporus alkaloid multiplicity implies functional diversity: Initial studies on crustacean pyridyl receptors. Hydrobiologia 2001, 456, 221–231. [Google Scholar] [CrossRef]
- Kem, W.R.; Soti, F.; Rittschof, D. Inhibition of barnacle larval settlement and crustacean toxicity of some hoplonemertine pyridyl alkaloids. Biomol. Eng. 2003, 20, 355–361. [Google Scholar] [CrossRef]
- Kem, W.R.; Soti, F.; Rittschof, D. Materials and Methods for Inhibiting Fouling of Surfaces Exposed to Aquatic Environments. U.S. Patent 7,307,171, 8 August 2006. [Google Scholar]
- Kem, W.R. Pyridine alkaloid distribution in the hoplonemertines. Hydrobiologia 1988, 156, 145–151. [Google Scholar] [CrossRef]
- Wheeler, J.W.; Olubajo, O.; Storm, C.B. Anabaseine: Venom alkaloid of Aphaenogaster ants. Science 1981, 211, 152–153. [Google Scholar] [CrossRef] [PubMed]
- Flann, C.; Malone, T.C.; Overman, L.E. Iminium Ion and Acyliminium Ion Initiated Cyclization Reactions of Vinylsilanes. Regiocontrolled Synthesis of Tetrahydropyridines and Related Heterocycles. J. Am. Chem. Soc. 1987, 109, 6097–6107. [Google Scholar] [CrossRef]
- Rouchaud, A.; Kem, W.R. A convenient racemic synthesis of two isomeric tetrahydropyridyl alkaloids: Isoanatabine and anatabine. J. Heterocycl. Chem. 2010, 47, 569–581. [Google Scholar] [CrossRef]
- Cruskie, M.P.; Zoltewicz, J.A.; Abboud, K.A. Revised structure and convergent synthesis of nemertelline, the neurotoxic quaterpyridine isolated from the hoplonemertine sea worm. J. Org. Chem. 1995, 60, 7491–7495. [Google Scholar] [CrossRef]
- Bouillon, A.; Voisin, A.S.; Robie, A.; Lancelot, J.-C.; Collot, V.; Rauli, S. An efficient two-step synthesis of the quaterpyridine nemertelline. J. Org. Chem. 2003, 68, 10178–10180. [Google Scholar] [CrossRef] [PubMed]
- Zoltewicz, J.A.; Bloom, L.B.; Kem, W.R. Quantitative determination of the ring-chain hydrolysis equilibrium constant for anabaseine and related tobacco alkaloids. J. Org. Chem. 1989, 54, 4462–4468. [Google Scholar] [CrossRef]
- Andrud, K.; Xing, H.; Gabrielsen, B.; Bloom, L.; Mahnir, V.; Lee, S.; Green, B.T.; Lindstrom, J.; Kem, W.R. Investigation of the possible pharmacologically active forms of the nicotinic acetylcholine receptor agonist anabaseine. Mar. Drugs 2019, 17, 614. [Google Scholar] [CrossRef] [PubMed]
- Xing, H.; Keshwah, S.; Rouchaud, A.; Kem, W.R. A pharmacological comparison of two isomeric nicotinic receptor agonists: The marine toxin isoanatabine and the tobacco alkaloid anatabine. Mar. Drugs 2020, 18, 106. [Google Scholar] [CrossRef]
- Pathirana, C.; Andersen, R.J. Imbricatine, an unusual benzyltetrahydro-isoquinoline alkaloid isolated from the starfish Dermasterias imbricata. J. Am. Chem. Soc. 1986, 108, 8288–8289. [Google Scholar] [CrossRef]
- Nadar, V.M.; Manivannan, S.; Chinnaiyan, R.; Govarthanan, M.; Ponnuchamy, K. Review on marine sponge alkaloid, aaptamine: A potential antibacterial and anticancer drug. Chem. Biol. Drug Des. 2022, 99, 103–110. [Google Scholar] [CrossRef]
- Pelletier, J.C.; Gava, M.P. Synthesis of aaptamine, a novel marine alkaloid. Tetrahedron Lett. 1985, 26, 1259–1260. [Google Scholar] [CrossRef]
- Pham, C.-D.; Hartmann, R.; Muller, W.E.G.; de Voogd, N.; Lai, D.; Proksch, P. Aaptamine derivatives from the Indonesian sponge Aaptos suberitoides. J. Nat. Prod. 2013, 76, 103–106. [Google Scholar] [CrossRef]
- Sobarzo-Sanchez, E.; Castedo, L. Synthesis of anabaseine and anabasine derivatives: Structural modifications of possible nicotinic agonists. Synth. Commun. 2007, 37, 1331–1338. [Google Scholar] [CrossRef]
- Leete, E. The biogenesis of the Nicotiana alkaloids. VI. The piperidine ring of anabasine. J. Org. Chem. 1958, 80, 4393–4394. [Google Scholar]
- Leete, E.; Slattery, S.A. Incorporation of [2-14C]- and [6-14C]nicotinic acid into the tobacco alkaloids. Biosynthesis of anatabine and α,β-dipyridyl. J. Amer. Chem. Soc. 1976, 98, 6326–6330. [Google Scholar] [CrossRef] [PubMed]
- Whelan, N.V.; Kocot, K.M.; Santos, S.R.; Halanych, K.M. Nemertean toxin genes revealed through transcriptome sequencing. Genome Biol. Evol. 2014, 6, 3314–3325. [Google Scholar] [CrossRef] [PubMed]
- Von Reumont, E.A.B.; Luddecke, T.; Timm, T.; Lochnit, G.; Vilcinskas, A.; von Dohren, J.; Nilsson, M.A. Proteo-transcriptomic analysis identifies potential novel toxins secreted by the predatory, prey-piercing ribbon worm Amphiporus lactifloreus. Mar. Drugs 2020, 18, 407. [Google Scholar] [CrossRef]
- Verdes, A.; Taboada, S.; Hamilton, B.R.; Undheim, E.A.B.; Sonoda, G.G.; Andrade, S.C.S.; Morato, E.; Marina, A.I.; Cárdenas, C.A.; Riesgo, A. Evolution, expression patterns, and distribution of novel ribbon worm predatory and defensive toxins. Mol. Biol. Evol. 2022, 39, 1. [Google Scholar] [CrossRef]
- Sonoda, G.G.; Tobaruela, E.d.C.; Norenburg, I.; Fabi, J.P.; Andrade, S.C.S. Venomous noodles: The evolution of toxins in Nemertea through positive selection and gene duplication. Toxins 2023, 15, 650. [Google Scholar] [CrossRef]
- Kem, W.R. Purification and characterization of a new family of polypeptide neurotoxins from the heteronemertine Cerebratulus lacteus (Leidy). J. Biol. Chem. 1976, 251, 4184–4192. [Google Scholar] [CrossRef]
- Kem, W.R.; Blumenthal, K.M. Purification and characterization of the cytolytic Cerebratulus A toxins. J. Biol. Chem. 1978, 253, 5752–5757. [Google Scholar] [CrossRef]
- Jacobsson, E.; Andersson, H.S.; Strand, M.; Peigneur, S.; Eriksson, C.; Loden, H.; Shariatgorji, M.; Andren, P.E.; Lebbe, E.K.M.; Rosengren, K.J.; et al. Peptide ion channel toxins from the bootlace worm, the longest animal on earth. Sci. Rep. 2018, 8, 4596. [Google Scholar] [CrossRef]
- Göransson, U.; Jacobsson, E.; Strand, M.; Andersson, H.S. The toxins of nemertean worms. Toxins 2019, 11, 120. [Google Scholar] [CrossRef] [PubMed]









| m/z | Aa Natural Product | Isoanatabine | Anatabine | Anabaseine |
|---|---|---|---|---|
| 160 M | 17 (C10H12N2) 1 | 15 | 100 | 100 |
| 159 M-1 | 41 C10H11N2) | 39 | 73 | |
| 145 M-15 | 44 | 52 | 19 | 23 |
| 132 M-28 | --- | --- | 45 | --- |
| 131 M-29 | 19 (C9H9N) | 33 | 46 | 38 |
| 130 M-30 | 78 (C9H8N) | 98 | 15 | --- |
| 118 M-42 | 10 | --- | 19 | --- |
| 117 M-43 | 13 | --- | --- | --- |
| 105 M-55 | 17 (C7H7N) | 26 | 17 | 25 |
| 104 M-56 | 17 (C7H6N) | 23 | 22 | 38 |
| 103 M-57 | 18 | 15 | --- | --- |
| 89 M-71 | 14 | --- | --- | --- |
| 82 M-78 | 100 (C5H8N) | 100 | 34 | --- |
| 80 M-80 | 83 (C5H6N) | 69 | 28 | --- |
| 79 M-81 | 11 | 11 | 31 | --- |
| 78 M-82 | 41 (C5H4N) | 50 | 25 | 11 |
| 77 M-93 | 43 | 23 | 13 | 13 |
| 76 M-94 | 15 | --- | 13 | --- |
| m/z | Nemertelline | Tetrahydro- Nemertelline | Methyl- Nemertelline | Hydroxy- Nemertelline |
|---|---|---|---|---|
| 326 | 56 1 M | |||
| 325 | 100 M-1 | |||
| 324 | 67 M | --- | ||
| 323 | 100 M-1 | --- | ||
| 314 | 74 M | --- | --- | |
| 313 | 47 M-1 | --- | --- | |
| 310 | 37 M | --- | --- | 15 M-16 |
| 309 | 100 M-1 | --- | --- | 48 M-17 |
| 298 | --- | --- | 10 1 M-28 | |
| 296 | --- | --- | 10 M-28 | --- |
| 294 | --- | --- | 16 M-30 | --- |
| 282 | 13 M-28 | --- | --- | --- |
| 281 | 10 M-29 | --- | --- | --- |
| 271 | --- | 18 M-43 | --- | --- |
| 270 | --- | 22 M-44 | --- | --- |
| 248 | --- | --- | --- | 13 1 M-78 |
| 246 | --- | --- | 52 M-78 | --- |
| 236 | --- | 7 M-78 | --- | --- |
| 232 | 7 M-78 | --- | --- | --- |
| 221 | --- | --- | --- | 12 M-105 |
| 219 | --- | --- | 22 M-105 | --- |
| 210 | --- | 15 M-104 | --- | --- |
| 209 | --- | 43 M-105 | --- | 16 1 M-116 |
| 206 | 9 M-104 | --- | --- | --- |
| 205 | 36 M-105 | --- | --- | --- |
| 197 | --- | --- | --- | 42 1 M-129 |
| 195 | --- | 22 M-119 | --- | --- |
| 194 | --- | 20 M-120 | --- | 14 M-132 |
| 183 | --- | 28 M-131 | --- | 22 1 M-143 |
| 182 | --- | 22 M-132 | --- | --- |
| 181 | --- | 100 M-133 | --- | --- |
| 169 | --- | --- | 18 M-155 | --- |
| 168 | --- | 20 M-146 | --- | 16 M-158 |
| 167 | --- | 11 M-147 | --- | --- |
| 166 | --- | 12 M-148 | --- | --- |
| 159 | --- | 23 M-155 | --- | --- |
| 156 | 5 M-155 | 10 M-158 | --- | --- |
| 155 | --- | 10 M-159 | --- | --- |
Disclaimer/Publisher’s Note: The statements, opinions and data contained in all publications are solely those of the individual author(s) and contributor(s) and not of MDPI and/or the editor(s). MDPI and/or the editor(s) disclaim responsibility for any injury to people or property resulting from any ideas, methods, instructions or products referred to in the content. |
© 2024 by the authors. Licensee MDPI, Basel, Switzerland. This article is an open access article distributed under the terms and conditions of the Creative Commons Attribution (CC BY) license (https://creativecommons.org/licenses/by/4.0/).
Share and Cite
Kem, W.R.; Soti, F.; Rocca, J.R.; Johnson, J.V. New Pyridyl and Dihydroisoquinoline Alkaloids Isolated from the Chevron Nemertean Amphiporus angulatus. Mar. Drugs 2024, 22, 141. https://doi.org/10.3390/md22040141
Kem WR, Soti F, Rocca JR, Johnson JV. New Pyridyl and Dihydroisoquinoline Alkaloids Isolated from the Chevron Nemertean Amphiporus angulatus. Marine Drugs. 2024; 22(4):141. https://doi.org/10.3390/md22040141
Chicago/Turabian StyleKem, William R., Ferenc Soti, James R. Rocca, and Jodie V. Johnson. 2024. "New Pyridyl and Dihydroisoquinoline Alkaloids Isolated from the Chevron Nemertean Amphiporus angulatus" Marine Drugs 22, no. 4: 141. https://doi.org/10.3390/md22040141
APA StyleKem, W. R., Soti, F., Rocca, J. R., & Johnson, J. V. (2024). New Pyridyl and Dihydroisoquinoline Alkaloids Isolated from the Chevron Nemertean Amphiporus angulatus. Marine Drugs, 22(4), 141. https://doi.org/10.3390/md22040141

