Abstract
The inadequate vascularization seen in fast-growing solid tumors gives rise to hypoxic areas, fostering specific changes in gene expression that bolster tumor cell survival and metastasis, ultimately leading to unfavorable clinical prognoses across different cancer types. Hypoxia-inducible factors (HIF-1 and HIF-2) emerge as druggable pivotal players orchestrating tumor metastasis and angiogenesis, thus positioning them as prime targets for cancer treatment. A range of HIF inhibitors, notably natural compounds originating from marine organisms, exhibit encouraging anticancer properties, underscoring their significance as promising therapeutic options. Bioprospection of the marine environment is now a well-settled approach to the discovery and development of anticancer agents that might have their medicinal chemistry developed into clinical candidates. However, despite the massive increase in the number of marine natural products classified as ‘anticancer leads,’ most of which correspond to general cytotoxic agents, and only a few have been characterized regarding their molecular targets and mechanisms of action. The current review presents a critical analysis of inhibitors of HIF-1 and HIF-2 and hypoxia-selective compounds that have been sourced from marine organisms and that might act as new chemotherapeutic candidates or serve as templates for the development of structurally similar derivatives with improved anticancer efficacy.
Keywords:
caulerpin; discorhabdin; dolastatin-15; echinomycin; epolactaene; fascaplysin; kalkitoxin; latrunculin; plitidepsin; psammaplin 1. Introduction
1.1. Marine Natural Products in Cancer Therapy
Bioprospection of the marine environment has emerged as a new frontier in drug development due to the nearly unlimited potential of marine organisms as sources of lead structures that cover a wide range of pharmacological effects and biotechnological applications [1,2,3]. The vast repertoire of complex compounds with unconventional structural architectures, many possessing relevant and specific biological effects, turned the attention of organic chemists and pharmacologists to the depths of the oceans, leading to an exponential growth in the discovery of new marine natural products on the last 20 years [1,2,4,5,6].
Many of these compounds have been portrayed as ‘chemical weapons’ as they evolved to interact efficiently with biological targets, displaying an inherent degree of drug-likeness and frequently exerting relevant anticancer, antimicrobial, and immunosuppressive properties. For example, it is hypothesized that the decreased frequency of tumors in marine invertebrates may derive from an innate immune system [7]. Furthermore, there is also evidence that there is an inherent ability to overcome the sea dilution effect, which may partially explain the higher incidence of significant bioactivity compared with organisms from the terrestrial environment, with approximately half of the novel marine-derived natural products displaying biological activity [1,2,8,9].
It is clear that natural products have been the most successful source of anticancer agents ever [10,11,12]. Newman and Cragg have been updating the contribution of natural products to the development of drugs, with their latest review indicating that from all the chemotherapeutic drugs approved between 1946 and 2019, only 21% can be ascribed as truly synthetic, corroborating the major contribution of natural sources [13].
While most sources inspiring the development of anticancer agents have a terrestrial origin, marine-derived compounds are marking a milestone, providing new lead structures with unprecedented chemical diversity, striking anticancer properties and inspiring the design of several derivatives that keep feeding a constantly active marine pharmaceutical pipeline [1,13]. Cytarabine (Cytosar-U®) is traced back as the first marine-derived drug to receive market authorization from the Food and Drug Administration (FDA) in 1969. The development of cytarabine was inspired by the structural framework of two arabinose-containing nucleosides isolated from the sponge Cryptotethya crypta and completely transformed the approach to treating and handling hematological malignancies [14,15]. More than 50 years after cytarabine’s approval, thirteen additional marine-derived drugs received market approval, with 38 candidates currently in clinical development [16]. As reviewed by us in 2019, the clinical pipeline of marine-derived drugs, consisting of approved drugs and clinical candidates, has been particularly fruitful in cancer therapy, not only enabling the broadening of the scope of action in cancer treatment but also the discovery of new mechanisms of action and molecular targets [17].
Despite the apparent and exciting richness of new potential anticancer agents from marine sources [17,18,19,20,21], it should be taken into account that the early research on the chemistry of marine natural products was mainly directed to the identification of novel chemical structures rather than in their potential biological properties [22,23]. Early anticancer screening has been mainly focused on the mere evaluation of the cytotoxic properties against cancer cell lines, with no emphasis on the effective anticancer activity against multidrug-resistant (MDR) cell lines, selectivity, or elucidation of their mechanisms of action [1,2]. Consequently, only a disappointing fraction of compounds, determined as cytotoxic against human cancer cell lines, ultimately displayed in vivo activity and, subsequently, clinical relevance [24,25]. Indeed, the complexity of a tumor derives from the continuous crosstalk between the tumor cells and the microenvironment over time, adding the complication of temporal heterogeneity on top of spatial heterogeneity, and by no means a purely cytotoxic or proapoptotic agent is likely to translate into an anticancer drug [26]. Conceivably, distinct environmental landscapes within a given tumor select for mutations that engender survival and expansion, thereby creating tumor cell heterogeneity and a complex regional difference in selective pressures, including hypoxia, that actively shapes tumor development [26,27].
1.2. Hypoxic Signaling in Cancer Development
Due to insufficient vascularization, hypoxic regions form within rapidly growing solid tumor masses, specific alterations of gene expression in these hypoxic tumor cells helping to facilitate the survival and metastatic spread of solid tumors, being therefore associated with poor clinical outcomes in many types of human cancers [28,29,30]. Hypoxic cancer cells are, in fact, resistant to radiotherapy, chemotherapy, and targeted therapy [28,31,32].
The hypoxic environment sparks cancer development by inducing an intricate cellular signaling network within cancer cells, encompassing the HIF, PI3K, MAPK, and NFĸB pathways (Figure 1). These pathways interact with one another, leading to the formation of both positive and negative feedback loops, ultimately amplifying or reducing the impact of hypoxic conditions [33,34]. Hypoxia triggers the activation of HIFs, these factors consisting of hypoxia-regulated α and oxygen-insensitive β subunits, playing a crucial role in regulating gene expression during hypoxia, both in normal and solid tumor tissues (Figure 1) [28,35]. The HIF family comprises three members: HIF-1α, HIF-2α, and HIF-3α, each serving distinct functions. Unlike HIF-1α and HIF-2α, HIF-3α exhibits variations in protein structure and gene expression regulation. During hypoxia, HIF-3α exerts a transcriptional regulatory function that negatively impacts gene expression by competing with HIF-1α and HIF-2α for binding to transcriptional elements in target genes [35,36]. Additionally, HIF-1α plays a significant role in regulating mitochondrial homeostasis, as one of the essential adaptations to sustained hypoxia involves suppressing mitochondrial respiration and inducing glycolysis [37,38]. On the other hand, the activation of HIF-2α enhances peroxisome turnover through pexophagy, leading to changes in lipid composition akin to peroxisomal disorders [39,40,41].
Figure 1.
Pathways on hypoxia-inducible factor activation.
Activation of HIFs leads to a range of molecular effects, resulting in the transcription of numerous genes that play pivotal roles in processes such as angiogenesis, specification of cancer stem cells, cell motility, epithelial-mesenchymal transition, remodeling of the extracellular matrix, glucose and lipid metabolism, immune evasion, invasion, and metastasis (Figure 1) [42,43]. Such biochemical alterations evidence that the hypoxic tumor microenvironment influences the majority of hallmarks of aggressive cancer behavior, translating into clinical consequences that have been associated with increased patient mortality in several cancer types [42,44].
Considering such factors, inhibiting the activity of HIF-1 and HIF-2 in hypoxic regions of cancer could potentially increase the cancer’s responsiveness to radiotherapy and/or chemotherapy [42,45], but despite the pivotal role of HIFs, only a reduced number of marine natural products have been investigated on their impact upon these heterodimeric transcription factors. Previous reviews covering natural products that impact the HIF pathway are worth mentioning, mostly covering plant-derived and synthetic inhibitors of HIF-1 with a brief mention of marine-sourced compounds [46,47,48,49,50,51,52,53]. Readers are also invited to take a glimpse at the structure–activity relationship (SAR) analysis of ten chemotypes reported to be HIF-1 inhibitors [54], as well as to the patent survey by Nakamura and colleagues, summarizing the information about patented HIF inhibitors over the time period from 2011 to 2015 [55].
As far as we are aware, there is only a descriptive review by Nagle and Zhou dealing with marine natural products that were identified as inhibitors of HIF-1 activation as of December 2008 [56], justifying the updated comprehensive analysis herein delivered. In the current analysis, we provide critical input as the marine natural products that are known to inhibit HIF-1 and HIF-2 are also highlighted, considering other effects that cooperate with the overall ‘anticancer potential’. Our comprehensive literature search covers the period up to February 2024 without a start date restriction, with the keywords ‘marine natural products’, ‘hypoxia-inducible factor’, and ‘cancer’, as well as cross-referencing being used to expand the search criteria.
2. Marine Natural Products Acting as Inhibitors of HIF-1 and HIF-2
An expanding and motivating list of hundreds of additional lead structures produced by marine organisms currently feeds the preclinical pipeline, being expected that many new agents will step into clinical trials in the upcoming years. In the following sections, a comprehensive discussion will be presented on the most promising metabolites produced by marine organisms displaying anticancer properties via impact upon the HIF pathway.
2.1. Peptides
While originally discovered in terrestrial counterparts, actinomycin D (also known as dactinomycin) (1) (Figure 2) has also been reported from several marine strains of Streptomycetes [57,58]. The cyclic dipeptide antibiotic is a well-known chemotherapeutic and radiosensitizing agent (Cosmogen®) with anticancer effects mainly deriving from DNA intercalation and the subsequent impediment on the progression of RNA polymerases [59]. Actinomycin D (1) leads to an extremely fast action upon RNA polymerases but is a nonselective inhibitor of protein transcription, which determines some of the severe side effects [59]. Apart from the main anticancer mechanisms, 1 has been reported to inhibit HIF-1 binding activity to DNA in hepatocellular carcinoma Hep3B cells [60,61], but the effects in vascular smooth muscular cells demonstrated that actinomycin D (1) solely attenuated angiotensin II-mediated induction of HIF-1α protein expression levels and not the hypoxia-dependent induction [62].
Figure 2.
Structures of marine-derived peptides acting on the HIF pathway.
Also, the undecacyclopeptide cyclosporin A (2) (Figure 2) has been reported from marine-derived isolates of fungi [63]. The blockbuster immunosuppressant stimulates the activity of peptidylprolyl hydroxylases, ultimately modifying Pro-564 of the HIF-1α protein. The outcomes include the abolishment of hypoxic stabilization of HIF-1α and HIF-1α-mediated cellular responses in glioma C6 cells, being hypothesized that cyclosporin A (2) might limit adaptative responses to hypoxia [64].
Unlike actinomycin D (1) and cyclosporin A (2), the second-generation didemnin plitidepsin (3) (Figure 2), originally isolated from the Mediterranean tunicate Aplidium albicans, appears to be a strictly marine-derived metabolite [65]. Plitidepsin (3) received market approval under the trade name Aplidin® for the treatment of patients with relapsed and refractory multiple myeloma, acting as a pleiotropic chemotherapeutic agent [66]. While mainly acting as a disruptor of the translation elongation factor eEF1A2 protein complexes, leading to the induction of early oxidative stress and subsequent sustained activation of JNK in multiple myeloma cells, 3 was found to impact against angiogenic-related genes in anaplastic thyroid cancer xenografts [67]. Angiogenesis-related genes targeted by plitidepsin (3) include not only HIF-1 but also the transforming growth factor-β (TGFβ), TGFβR2, melanoma growth stimulating factor 1 (GRO1), cadherin and vasostatin, cumulatively inducing tumor starvation [67].
Reported from both terrestrial and marine Streptomyces spp., oligomycin A (4) (Figure 2) is mainly reputed as a mitochondrial F0F1-ATPase inhibitor [68,69]. Microbial antibiotics have been extensively used to elucidate the mechanistic aspects of ATP formation and energy requirements in tumor cell biology [70]. The effects of oligomycin A (4) on short-term hypoxia were investigated on the highly resistant human uveal melanoma Mum2B and U87 glioblastoma cells, results suggesting that the anticancer effects might be enhanced by preventing HIF-1α protein accumulation [71].
Described as a marine natural product [72], the microbial metabolite antimycin A (5) (Figure 2) also acts as an inhibitor of oxidative phosphorylation, specifically through the binding to the quinone reduction site of the cytochrome bc1 complex [73]. Relevantly, the inhibitory effects of 5 upon the mitochondrial electron transport chain were followed by the inhibition of hypoxia-dependent HIF-1α protein induction by decreasing its half-life in osteosarcoma 143B cells [74]. Inhibition of HIF-1α protein induction was further suggested to occur independently of mitochondrial reactive oxygen species (ROS) production [74]. Together with the scientific outcomes delivered by Maeda and colleagues, antimycin A (5) is suggested to inhibit angiogenesis through the decreased production of the vascular endothelial growth factor (VEGF) caused by inhibition of HIF-1α activation [75].
While both triostin A (6) and echinomycin (7) (Figure 2) are labeled as competent HIF-1 inhibitors, the latter has been long into the spotlight as one of the most potent HIF-1 inhibitors, as well as impacting the coactivator/DNA interaction [76,77]. The anticancer effects of 6 and 7 derive from their DNA intercalating effects through the quinoxaline chromophores, preferentially binding at CpG steps in the minor groove of the double helix [77]. Echinomycin (7) was the first bifunctional intercalating agent proceeding to clinical development, but it was discontinued due to its poor effectiveness in patients with solid tumors [78,79]. While sharing the same structural backbone, 6 and 7 differ on the intrapeptide bridge between the two cysteine residues, determining a distinct HIF-1 inhibitory capacity [80]. Echinomycin (7) acts as a potent inhibitor of HIF-1α, blocking HIF-1 DNA binding of endogenous nuclear proteins but mainly the binding to the canonical hypoxia-responsive element (HRE) of VEGF promoter [80,81]. Triostatin (6), echinomycin (7), and a series of synthetic derivatives were evaluated for effects on the HIF-1 transcriptional activation under hypoxic conditions and cytotoxicity on MCF-7 cells, SAR analysis indicating that the cyclic depsipeptide architecture is as an attractive scaffold to develop selective anticancer agents targeting the hypoxic tumor microenvironment [80].
While both triostin A (6) and echinomycin (7) have been mainly reported from marine strains of bacterial isolates [82], epithiodiketopiperazines are almost exclusively reported from fungi, many of which obtained from marine sources and also impacting HIF-1 signaling [83]. The diketopiperazine dimers chetomin (8) and chaetocin (9) (Figure 2) occur both as terrestrial and marine-derived metabolites, being reported from marine strains of Chaetomium cristatum and Nectria inventa, respectively [84,85]. Both 8 and 9 are recognized for their ability to target the transcriptional coactivator p300 by displacing the zinc ion from its CH1 domain (C-TAD) [86,87]. This action disrupts the interactions with the C-terminal trans-activation domain of HIF-1, ultimately resulting in the attenuation of hypoxia-inducible transcription of downstream signaling components [88,89]. While chetomin (8) was identified as the first naturally occurring antagonist of the C-C chemokine receptor type 2 (CCR2) [90], it has played a significant role in uncovering the mechanisms that contribute to the invasiveness of specific cancer cell types, particularly highlighting the preponderant role of hypoxia in ovarian and triple-negative breast cancers [89,91]. Furthermore, the effective inhibition of HIF-1 by chetomin (8) leads to a reduction in CA9 and VEGF mRNA expression, enhancing the radiation response specifically under severely hypoxic conditions in HT 1080 human fibrosarcoma and U251MG and U343MG glioma cells [88,92]. Biological implications deriving from the disruption of the HIF-1/p300 complex include a direct antitumor effect but also antiangiogenic properties, with chaetocin (9) being more effective than chetomin (8) in this matter. The epithiodiketopiperazine dimer 9 is primarily acknowledged for its function as an epigenetic agent via the pharmacological inhibition of SUV39H, being the first histone lysine methyltransferase (HKMT) inhibitor [93,94,95], but several of its anticancer effects are also attributed to the disruption of the HIF-1α/p300 complex. For instance, chaetocin (9) exhibited a reduction in microvessel outgrowth in the low nM range, co-immunoprecipitation experiments providing additional evidence that these effects are, at least in part, a result of inhibiting the HIF-1/p300 interaction [96]. Downstream consequences include reduced levels of secreted VEGF and subsequent downregulation of glycolytic genes, namely LDHA and ENO1, suggesting a role in inhibiting cell survival under hypoxia and promoting cell death in hypoxic areas [96].
Described as the first member of epithiodiketopiperazines, gliotoxin (10) (Figure 2) has been progressively reported on its anticancer ability deriving from multiple targets, including the disruption of HIF-1 activity. The structurally simple epithiodiketopiperazine is commonly sourced from terrestrial and marine-derived strains of Aspergillus spp. [97,98,99]. Reece et al. (2014) also described the antiangiogenic effects of 10, indicating similar mechanisms as those observed for the dimeric epipolythiodiketopiperazines chetomin (8) and chaetocin (9): (i) disruption of the C-TAD domain of HIF-1 and (ii) downregulation of the target genes LDHA and ENO1. In contrast, gliotoxin (10) did not impact VEGF expression in PC3 prostate cancer cells, pointing to cell-specific effects that differ from those of 8 and 9 [96].
First described by Gerwick and colleagues as a neurotoxic agent and originally sourced from the marine cyanobacterium Lyngbya majuscula [100], kalkitoxin (11) (Figure 2) was later found to be a competent disruptor of hypoxic signaling [101]. The lipopeptide inhibited hypoxia-induced activation of HIF-1 in T47D breast ductal carcinoma cells in the low nM range, acting through the suppression of mitochondrial oxygen consumption at electron transport chain (ETC) complex I (NADH-ubiquinone oxidoreductase). Kalkitoxin (11) efficiently inhibited the hypoxic induction of VEGF or glucose transporter-1 (GLUT-1) mRNA expression in a concentration-dependent manner, displaying also antiangiogenic effects via the suppression of hypoxia-induced secreted VEGF protein [101].
The discovery of the pentapeptides dolastatins from the sea hare Dolabella auricularia prompted the development of the CD30-targeted antibody-drug conjugate brentuximab vedotin (Adcetris®) that is currently available for the treatment of Hodgkin lymphoma [17,102]. Dolastatin-15 (12) (Figure 2) was also originally reported by Pettit and colleagues from the Indian Ocean sea hare D. auricularia [103] but has been progressively labeled as a cyanobacterial symbiont metabolite [104,105]. The pentapeptide is predominantly reputed as a potent cytostatic agent that, along with a series of synthetic analogs, proceeded to clinical development [106,107,108,109,110,111]. Despite mainly acting as a microtubule-destabilizer [112,113], 12 also displays HIF-mediated antiangiogenic activity, with inhibitory effects upon HIF-1α being recorded in vitro and in vivo [114]. Experiments in the single knockout cells HCT116HIF-1α−/− and HCT116HIF-2α−/− suggested that dolastatin 15 (12) preferentially targeted HIF-1α but not HIF-2α, showing decrease in potency against HCT116HIF-1α−/− HIF-2α−/− and HCT116HIF-1α−/− in contrast to the parental and HCT116HIF-2α−/− cells [114]. Luesch’s group further reported that 12 is able to suppress aberrant transcriptional upregulation of HIF-1α target genes in a zebrafish model, significantly diminishing pathological vascularization [114].
2.2. Alkaloids
During a screening on the ability of more than 170 200 crude natural product extracts to inhibit the HIF-1α/p300 interaction, a series of pyrroloiminoquinone alkaloids (13–19) (Figure 3) sourced from Australian and New Zealand collections of marine sponges, Latrunculia sp., were identified as inhibitors of HIF-1α transcriptional activity [115]. The peculiar structural features of pyrroloiminoquinone alkaloids include the azacarbocyclic spirocyclohexanone and pyrroloiminoquinone redox active core structures that frequently underlie the reported bioactive effects [116]. Pyrroloiminoquinone alkaloids were first screened through a cell-free protein–protein assay by measuring displacement of the HIF-1α binding domain of p300 (CH1) from the p300 binding domain of HIF-1α (C-TAD), with (−)-discorhabdin B dimer (13), (+)-discorhabdin B (14), (−)-discorhabdin H (16), and (−)-discorhabdin L (17) featuring as the most effective with IC50 values under 5 µM [115]. Results were also obtained in three cancer cell lines transfected with an HIF-1 reporter plasmid containing a hypoxia response element that mediates HIF-1-dependent gene transcription, with all the alkaloids (13–19) proving to significantly decrease the transcriptional activity of HIF-1α in human colorectal carcinoma HCT 116 cells, and (−)-discorhabdin B dimer (13) featuring as the most competent [115]. While most of the sponge-derived pyrroloiminoquinone alkaloids also led to a reduction in luciferase activity in human prostate adenocarcinoma LNCaP cells, there is a clear cell-type specificity on the HIF-1α transcriptional activity, as none proved to be active in COLO 205 colon cancer cells [115]. (−)-Discorhabdin H (16) also interfered with the secretion of the downstream target VEGF in LNCaP cells cultured under hypoxic conditions [115]. In addition to the significant inhibition of endothelial cell proliferation and tube formation recorded in HUVEC cells, ex vivo experiments demonstrated that the antiangiogenic effects of (−)-discorhabdin L (17) are also related to the decrease in microvessel outgrowth, as demonstrated in the aortic ring assay, at concentrations as low as 1 µM [117].
Figure 3.
Structures of marine-derived alkaloids acting on the HIF pathway.
Bioassay-guided fractionation of an extract obtained from specimens of the marine ascidian Eudistoma sp., collected in Palau, yielded eudistidine A (20) (Figure 3), bearing an uncommon heterocyclic architecture comprising two pyrimidine rings and an imidazole ring that is fused in a tetracyclic core containing guanidine, amidine, and hemiaminal functionalities [118]. Eudistidine A (20) blocked the binding of soluble CH1 (p300) to immobilized C-TAD (HIF-1α) with concentration dependency, with an IC50 value of 75 μM being estimated [118].
Fascaplysin (21) (Figure 3), an indole alkaloid originally discovered from the marine sponge Fascaplysinopsis reticulata [119], has been reported as having a pleiotropic anticancer mechanism of action, including DNA intercalation [120], inhibition of angiogenesis [121], but mainly the selective inhibition of CDK4 [121,122,123,124]. The effects on tumor angiogenesis have been further elucidated in human melanoma A375 and colorectal carcinoma HCT116 cells, as well as in an A375 cell-injected xenograft model. Both in vitro and in vivo data suggested that the antiangiogenic effects of fascaplysin (21) derive from a strong suppression of VEGFR2 as well as of HIF-1α and its downstream genes [125].
The algal pigment caulerpin (22) (Figure 3), first reported in the 1970s from an ether extract of a Caulerpa sp. [126], was later identified as an inhibitor of HIF-1α activation in a human breast tumor T47D cell-based reporter assay [127]. Caulerpin (22) was able to inhibit both hypoxia (1% O2)- and chemical hypoxia (10 μM 1,10-phenanthroline)-induced HIF-1α activation with comparable potency, and while being unable to inhibit the induction of VEGF and GLUT-1 mRNAs by 1,10-phenanthroline in human breast cancer T47D cells, there was a marked decrease on the hypoxia-derived induction of both target genes [127]. Liu et al. [127] further reported that 22 selectively suppresses mitochondrial respiration at complex I (NADH-ubiquinone oxidoreductase), suggesting that, as previously reported with other complex I inhibitors, the blockage of hypoxic induction of HIF-1α protein is mediated by the inhibition of complex III superoxide anion generation.
Chemical analysis of an extract obtained from a Mycale sp. sponge yielded 26 alkylpyrroles with variable HIF-1 inhibitory potency [128]. The most active lipophylic pyrroles, mycalenitrile-6 (23) and -7 (24) (Figure 3), displayed selective HIF-1 inhibitory effects using the T47D cell-based HIF-1 activation reporter assay, preferentially inhibiting hypoxia-induced HIF-1 activation in comparison to the effects on chemical hypoxia/iron chelator-induced activation [128]. Analogously to caulerpin (22), the inhibition of HIF-1 activation is mediated through the selective inhibition of mitochondrial respiration at complex I, and both 23 and 24 appear to prevent hypoxic mitochondria from releasing ROS signaling molecules, consequently avoiding the stabilization of HIF-1α protein [128].
Since the first report on the isolation of lamellarins from the Palauan mollusk Lamellaria sp. in 1985 [129], more than 50 lamellarins have been reported, mainly from Didemnum spp. ascidians [130,131,132,133,134,135,136,137], as well as from sponges [138,139]. Lacking the planar pentacyclic chromophore and consequently differing from the prototype structure of lamellarins, 7-hydroxyneolamellarin A (25) (Figure 3) was originally reported from the sponge Dendrilla nigra [140]. Unlike most congeners from the subfamily of neolamellarins isolated from the same source, 7-hydroxyneolamellarin A (25) effectively inhibited hypoxia-induced HIF-1 activation in a T47D human breast tumor cell-based reporter assay, suppressing also the activation of VEGF [140]. Effects were also demonstrated through in vivo experiments, 25 being able to suppress tumor growth of 4T1 cells in BALB/c mice by inhibiting the accumulation of HIF-1α in tumor tissue [141]. Li and colleagues further suggested that 7-hydroxyneolamellarin A (25) targets the protein with the ability to stabilize HIF-1α in hypoxia, as no impact on the degradation of synthesis of HIF-1α was observed [141]. While less effective than the 7-hydroxylated derivative, neolamellarin A (26) (Figure 3) also demonstrated HIF-1 inhibitory activity in the reporter gene assay based on T47D human breast tumor cells [140] and prompted the synthesis of a series of derivatives to identify the structural requirements underlying the effects towards HIF-1 [142]. Both naturally occurring constituents (25 and 26) proved to be more active than the synthetic derivatives, with SAR analysis indicating that the methoxylation of p-hydroxy groups diminished the HIF-1 inhibitory capacity and that a two-carbon aliphatic carbon chain linker was more favorable to the HIF-1 inhibitory activity than a single or triple carbon chain [142].
Displaying an unusual skeleton with a five-membered acetal ring, wondonin A (27) (Figure 3) was sourced from a two-sponge association (Poecillastra wondoensis and Jaspis sp.) collected at Keomun Island, Korea [143]. Generally, wondonins are reputed for their strong ability to suppress the expression of HIF-1α and VEGF, but what sets them apart from most other antiangiogenic agents is their remarkable ability to inhibit angiogenesis without causing significant cytotoxicity [144]. Wondonin A (27) reduced the expression of HIF-1a and VEGF in endothelial cells and could suppress HIF-dependent transcription in HaCaT cells. Authors suggest that the enhancement of the assembly of pVHL and HIF-1α could be the underlying mechanism causing the proteasomal degradation of HIF-1 [144]. To optimize the antiangiogenic properties of wondonins, a series of synthetic analogs have been assayed on their effects towards VEGF-induced cell growth in HUVECs, replacement of benzodioxole and imidazole moieties by benzothiazole and 1,2,3-triazole rings, respectively, resulting in enhanced effects [145].
2.3. Polyketides
Psammaplin A (28) (Figure 4) is a spongean bromotyrosine-derived dimer with intriguing anticancer properties that has been gaining increased attention since its discovery in 1987. It was originally isolated independently from three research groups, from a Psammaplysilla sponge [146], two unidentified sponges [147,148], and later from additional sponge species such as Pseudoceratina purpurea [149,150], Aplysinella rhax [151], and from the two-sponge association Poecillastra wondoensis and Jaspis wondoensis [152,153]. Displaying significant in vitro cytotoxicity against a wide panel of human cancer cells namely A549, SK-OV-3, SK-MEL-2, XF498, HCT15 [154], and leukemia cell lines [146,151], as well as in vivo growth inhibitory activity in an A549 lung xenograft mouse model [149], psammaplin A (28) has been mainly highlighted as an epigenetic modulator due to its dual inhibitory activity against the chromatin-modifying enzymes histone deacetylases (HDAC) and DNA methyltransferase (DNMT) [149]. Later, in 2015, Kim and coworkers reported psammaplin A (28) ability to induce autophagic cell death, markedly increasing the expression of damage-regulated autophagy modulator (DRAM), as well as causing the reduced expression of SIRT1, suggesting an association between SIRT1 expression and p53 acetylation in chemorresistant cancer cells [155]. A series of psammaplins obtained from a lipid extract sample of the sponge Dendrilla lacunosa were assayed on a cell-based reporter assay carried out in T47D cells transfected with pHRE-luc for HIF-1 activity. The results revealed intriguing effects with psammaplins being generally characterized by a biphasic pattern of activation, psammaplin A (28) strongly activating HIF-1 at 3 µM but displaying reduced effects at lower concentrations [156]. On the other hand, at concentrations ranging from 0.1 to 30 µM, the biphenylic dimer of 28, bisaprasin (29) (Figure 4), inhibited HIF-1 in T47D cells [156].
Figure 4.
Structures of marine-derived polyketides acting on the HIF pathway.
Widely used in biological research, cycloheximide (30) (Figure 4) is mostly known as a transcription inhibitor that interferes with the translocation step and thus blocks translation elongation. Cycloheximide (30) was first reported as an antifungal agent by Whiffen-Barksdale of Upjohn Company in the mid-1940s from strains of Streptomyces griseus and remains commercially available as Actidione® [157]. Marine-derived strains of Actinomycetes are also reported to display the biosynthetic machinery to produce 30 [158,159]. Cycloheximide (30) was first reported to potently block HIF-1α protein expression and inhibit hypoxia- and iron chelator-induced HIF-1 activation in human liver adenocarcinoma Hep3B cells [160]. Semenza et al. (1994) later demonstrated that the induction of erythropoietin, a hormone encoded by a gene whose transcription is regulated by O2 tension, was also attenuated in Hep3B and HeLa cells [161].
Bioassay-guided fractionation of an extract obtained from cultures of a marine isolate of Penicillium sp. led to the isolation of the neuritogenic compound epolactaene (31) (Figure 4) [162]. Epolactaene (31) was later found to bind human heat shock protein (HSP) 60 Cys442, both in in vitro and in situ settings, inhibiting its chaperone activity [163] and supporting the identification of HSP60 as a regulator of the hypoxia-inducible factor subunit HIF-1α [163,164].
First described 50 years ago, the 16-membered macrolide toxin latrunculin A (32) (Figure 4) was early reported as a microfilament disruptor [165]. Originally isolated from the sponge Latruncula magnifica [166,167], the toxin was also reported from Spongia mycofijiensis [168] and curiously from associated nudibranchs [168,169]. Latrunculin A (32) forms reversible complexes with G-actin, preventing its polymerization, ultimately leading to the disruption of microfilament organization, with no effect on the organization of the microtubular system [165,170]. A potent anti-invasive activity was also observed in prostate cancer PC-3M cells treated with 32, attenuating their invasiveness and cell migration and selectively suppressing hypoxia-induced HIF-1 activation in T47D breast tumor cells [171]. Relevantly, the blockage of actin dynamics by latrunculin A (32), through the inhibition of either polymerization or depolymerization, appears to underlie the attenuation of HIF-1α protein expression via the mTOR/p70S6K/Mdm2 signaling pathway in a p53-independent manner [171,172].
Chemical analyses of an extract and fractions obtained from a saltern-derived halophilic Streptomyces strain collected on Shinui Island in the Republic of Korea yielded a series of cytotoxic salternamides [173,174]. Reported as the first chlorinated compound in the manumycin family, salternamide A (33) (Figure 4) displayed strong cytotoxicity towards a panel of cancer cell lines, being particularly active towards human colorectal carcinoma HCT-116 cells and human gastric carcinoma SNU638 cells, with IC50 values below 1 μM [173]. The anticancer activity of 33 towards HCT116 cells appears to derive from two distinct mechanisms involving G2/M cell cycle arrest and subsequent apoptotic cell death, but also via suppression of HIF-1α translation through the modulation of the mTOR signaling and the downregulation of the axis of the PI3K/ STAT3 signaling pathways [175].
Originally reported by Crews’s group in the sponge Spongia mycofijiensis [176] and later from the sponge Dactylospongia sp. [177], the thiazolo-polyene mycothiazole (34) (Figure 4) was initially described as an anthelminthic agent. NCI 60 tumor cell panel screening revealed a potent cytotoxic effect against several cancer cell lines with selective nM potency toward lung cancer cells, namely SCLC and NSCLC cancer lines [178]. Analogously to other HIF-1 inhibitors, 34 selectively disrupts the mitochondrial electron transport chain by suppressing mitochondrial respiration at complex I (NADH-ubiquinone oxidoreductase) and potently blocking hypoxia-induced HIF-1 activation (IC50 = 1 nM) [179]. Additionally, mycothiazole (34) was found not only to cause a decrease in ROS levels but also to suppress the hypoxic induction of the HIF-1 target genes, VEGF and GLUT-1 [179]. While its nM cytostatic effect in sensitive cells showing a hypoxic response is explained through the disruption of mitochondrial function and inhibition of mitochondrial electron transport complex I, a biphasic response was observed in some sensitive cells, suggesting an additional target. Furthermore, the mycothiazole (34) effect in mitochondrial genome-knock out ρo insensitive HL-60, LN18, and Jurkat cells, not affected by mitochondrial electron transport chain suppression, leads to a cytotoxic effect rather than cytostatic at µM concentrations, suggesting the involvement of a distinct nonmitochondrial mechanism of action [178].
Previously used in clinical settings as an antistaphylococcal agent [180], the clinical utility of novobiocin (35) (Figure 4) continues to be repurposed, particularly as a chemotherapeutic agent [181,182]. Novobiocin (35) was first obtained from cultures of the actinomycete Streptomyces niveus [183,184,185] but is also known to occur in marine counterparts [186]. The antibiotic has been in the spotlight as a first-in-class polymerase theta (Polθ) inhibitor, acting as a noncompetitive inhibitor of ATP hydrolysis, and it is currently under clinical development in patients with tumors that harbor aberrant DNA repair genes [182,187]. However, the anticancer mechanism of 35 has long been recognized as being pleiotropic and also includes the inhibition of HSP90 autophosphorylation by interacting with a C-terminal ATP-binding pocket, consequently hampering hypoxia-induced HIF-1α accumulation [188,189,190]. Antiproliferative effects of novobiocin (35) in A549 and MCF-7 cells appear to derive from the disruptions between the HIF1α CTAD and p300 CH1 complex, which downregulates the transcriptional activation of HIF-responsive genes such as CA9, being also able to downregulate the mRNA expression of Akt1 and mTOR in both cell lines [191].
Currently available in Russia, echinochrome A (36) (Figure 4) is used as an active substance of the drug Histochrome®, clinically used on the prophylaxis of reperfusion damages after myocardial infarction for treating ischemia and infarction in acute forms and also as retinoprotector for dystrophic damages of the retina and diabetic retinopathy, for cataract, keratitis, and uveitis [192,193,194,195]. The polyhydroxylated 1,4-naphthoquinone was first described as a bactericidal agent by Mac Munn in 1885 from the coelomocytes of the sea urchin Echinus esculentus [196,197] but was recently reported to act as a SOD3 mimetic, controlling the expression of cell enzymes through the interference with HIFs, but also enhancing the transcription of PPAR-α and the coactivator1 PPAR-γ (PCG-1 α) [198].
While emodin (37) (Figure 4) is mainly reported from several plant genera [199,200], it is also commonly documented as a fungal natural product [201]. The anthraquinone has been isolated from several marine-derived strains of fungi [202,203], with Gomes and colleagues reporting its isolation from cultures of a marine-sponge-associated strain of Eurotium cristatum [204]. Emodin (37) is widely reputed for its anticancer effects and the interference with a series of molecular events underlying cancer development and progression [205]. The interference with the HIF-1 pathway emerges as a common mechanism underlying an array of potential therapeutic effects of 37, ranging from neuroprotection and anti-inflammatory effects to the preservation of intestinal barrier function and amelioration of pulmonary inflammation [206,207,208,209,210]. Similarly, the response to the hypoxic environment in the cancer microenvironment has also been commonly reported. Emodin (37) inhibited HIF-1α expression in five human pancreatic cancer cell lines, as well as attenuating cancer cachexia in in vivo models. Treatment of athymic mice xenografted with MiaPaCa2 cells resulted in diminishing cancer cell growth and enhancing energy homeostasis through the improvement of cancer-induced hepatic gluconeogenesis and skeletal muscle wasting [211]. Emodin (37) also demonstrated in vitro and in vivo suppressive effects against anaplastic thyroid cancer by affecting TRAF6-mediated pathways. Besides blocking angiogenesis by inhibiting the TRAF6/HIF-1α/VEGF pathway in 8505c and SW1736 cells, 37 also suppressed anaplastic thyroid cancer metastasis by inhibiting the TRAF6/CD147/MMP9 pathway [212]. Relevant effects were also noted in hypoxia-induced radioresistance in HepG2 cells, with emodin (37) synergistically improving irradiation effects through the inhibition of hypoxia-induced signaling factors such as HIF-1α and histone demethylase (JMJD1A), but mainly via increased PARP1 cleavage, activation of caspase-9, and inhibition of JMJD2B [213].
Labeled as the first naturally occurring HSP90 inhibitor and originally reported in the culture filtrates of Streptomyces hygroscopicus var. geldanus var. nova [214], the ansamycin antibiotic geldanamycin (38) (Figure 4) is commonly described in marine strains of Streptomyces [215,216,217,218]. The pivotal work of Whitesell and Neckers demonstrated that 38 inhibited the formation of a v-Src–HSP90 complex through binding to the ATP-binding site in the N-terminal domain of HSP90 [219,220]. Geldanamycin (38), the inaugural HSP90 inhibitor to undergo clinical trials, was unable to progress further clinical development due to its marked hepatotoxicity, likely linked to the electrophilic methoxybenzoquinone group [221]. As observed in prostate cancer PC-3 and LNCaP cells, the interaction of 38 with the N-terminal ATP binding domain of HSP90 induces destabilization and degradation of numerous HSP90 client proteins by the ubiquitin–proteasome pathway, among them HIF-1α [222,223]. Both in vitro studies and xenograft animal models employing various human tumor cell lines have demonstrated the therapeutic promise of geldanamycin (38) in cancer treatment, particularly in solid cancer types, not only due to potent cytotoxicity but also due to a significant decrease in cell invasion deriving from HIF-1α-mediated effects [224,225,226,227].
Despite bearing a dissimilar structural architecture, radicicol (39) (Figure 4) shares a close mechanistic similarity with geldanamycin (38), disrupting the folding of protein kinases dependent on HSP90, and implying the degradation of the client protein HIF-1α [220]. While less commonly reported from marine sources, Crews’ group described the isolation of 39 from an EtOAc extract obtained from cultures of the fungus Humicola fuscoatra isolated from sediments collected in Tutuila, American Samoa [228].
Convergent with the late identification of HIF-2 as a potential target for the development of alternative chemotherapeutic agents, only a limited number of marine-derived candidates have been identified as inhibitors. McKee and collaborators screened over 146,000 extracts of plants, microorganisms, and marine invertebrates on their effects upon HIF-2, and only three extracts from soft corals scored positively [229], ten sponge extracts being also selected for further studies [230]. The inseparable mixture of isomers N-formyl-1,2-dihydrorenierone (40a/40b) (Figure 4), isolated from Haliclona velinea, displayed selectivity for the HIF-2α induced transcription of mRNAs [230].
The potential of adociaquinones A (41) and B (42) (Figure 4) as lead structures for the development of chemotherapeutic agents dates back to 1988 with their discovery from an unspecified sponge from the genus Adocia and the first report on their in vitro cytotoxic effect against cancer cell lines [231]. Later, and being isolated from a Xestospongia sp. MeOH extract, both xestoquinones were found to inhibit topoisomerase II [232]. In a recent report, the bioassay-guided isolation of an extract of the sponge Petrosia alfiani yielded a new structurally related quinone, 14-hydroxymethylxestoquinone (43) (Figure 4), along with 41 and 42 [233]. Adociaquinones A (41) and B (42) selectively suppressed iron chelator-induced HIF-1 activation in T47D cells, each with IC50 values of 0.2 μM, and led to the suppression of secreted VEGF protein by 1,10-phenanthroline, causing a moderate increase in secreted VEGF under hypoxic condition. While both 41 and 42 promoted oxygen consumption without affecting mitochondrial membrane potential, 14-hydroxymethylxestoquinone (43) acted as a protonophoric uncoupler of oxidative phosphorylation and decreased mitochondrial membrane potential [233]. Furthermore, while the majority of the Cdc25B inhibitors are quinones, adociaquinone B (42) attracted special and increased attention due to its potent and remarkable selectivity, being identified as the most potent known Cdc25B inhibitor [234].
Herboxidiene (44) (Figure 4) was originally described as a metabolite of Streptomyces chromofuscus by researchers in Monsanto Company [235], being later rediscovered in cultures of the Streptomyces sp. GMY01 strain isolated from a marine sediment sample collected from Krakal beach in Yogyakarta, Indonesia [236]. On the initial reports, herboxidiene (44) displayed cytotoxicity in the low nM range against several human tumor cell lines, with the main mode of action being attributed to the targeted effects upon SF3B and interference with spliceosome assembly [237,238]. Cooperating with the effects towards SF3B1, 44 also causes a dual impact of the signaling mediated by VEGFR2 and the expression of HIF-1α, inhibiting the transcription and splicing of HIF-1α mRNA in HUVECs [239]. Furthermore, the antiangiogenic effects of herboxidiene (44) are also suggested based on the inhibition of neovascularization of the chorioallantoic membrane in developing chick embryos [239].
2.4. Phenolics
Bioassay-guided fractionation of a CH2Cl2/MeOH extract obtained from samples of the marine crinoid Comantheria rotula afforded a series of benzochromenones that were assayed on their inhibitory effects upon HIF-1α in cell-based reporter assay [240]. The benzochromenones 45–52 (Figure 5) significantly inhibited HIF-1 activation in T47D breast tumor cells with IC50 values ranging from 1.7 to 7.3 μM and from 0.6 to 3.0 μM for hypoxia-induced and 1,10-phenanthroline-induced activation, respectively [240]. However, solely comaparvin (52) led to a decrease in the hypoxic induction of secreted VEGF proteins. When assayed on the NCI 60-cell line panel, the dimeric neocomantherin derivative 45 decreased tumor cell growth with a low level of selectivity, but TMC-256A1 (51) was characterized by a unique pattern of anticancer activity as indicated by the COMPARE analysis [240].
Figure 5.
Structures of marine-derived phenolics acting on the HIF pathway.
While matairesinol (53) (Figure 5) has been restrictively described as a plant lignan, Urbatzka’s group reported the dibenzylbutyrolactone lignan in hexane extracts obtained from the leaves and stems of the marine seagrass Halophila stipulacea [241]. Now also labeled as a marine natural product, 53 reduced hypoxia-induced accumulation of HIF-1α protein with concentration dependency, with no effects upon the synthesis of cytoskeletal (tubulin) or cell cycle (cyclin D1) proteins in HeLa cells, inhibiting also tumor-conditioned media-induced angiogenesis via the diminished expression of VEGF [242]. Matairesinol (53) demonstrated efficient suppression of hypoxia and VEGF-induced angiogenesis at concentrations lower than those required to hinder HUVEC growth, suggesting that it might selectively disrupt angiogenic signaling pathways by suppressing mitochondrial ROS generation [242].
The phlorotannin 7-phloroeckol (54) (Figure 5) is a common metabolite of Ecklonia kelps and has been progressively reported as being active towards a series of biologically relevant targets [243,244,245,246]. 7-Phloroeckol (54) is acknowledged to inhibit tumor angiogenesis in HepG2 cells and HUVECs via inhibition of HIF-1α protein expression and the secretion of VEGF protein by blocking PI3K/AKT/mTOR/P70S6K and RAS/MEK/ERK/MNK mediated signal transduction pathways [247].
Chemical analysis of the aquatic plant Saururus cernuus led to the isolation of a series of neolignans with nM potency towards HIF-1α [248,249]. Manassantins A (55), B (56), and B1 (57) (Figure 5) potently inhibited hypoxia-activated HIF-1 with IC50 values of 3 nM, while 4-O-demethylmanassantin B (58) and 4-O-methylsaucerneol (59) (Figure 5) were weaker on their inhibitory capacity (IC50 values of 30 and 20 nM, respectively) [248,249]. The SAR analysis by Nagle and colleagues evidenced that the absence of both hydroxylated side chain segments is an essential structural requirement for the HIF-1 inhibitory activity by this series of lignans, absence of one side chain phenylpropyl unit, as in the sesquilignan 59, reducing also the inhibitory potency [249]. Additionally, the replacement of the methylenedioxyl moiety by O-methyl groups and the difference in relative configuration of at least one of the two side chains in 56 and 57 have only a slight influence on the potency of HIF-1 inhibition [249]. Hypoxic induction of VEGF was attenuated by the manassantins 55–58, with manassantin A (55) and B1 (57) also blocking the hypoxia-induced increase in CDKN1A and GLUT-1 mRNA levels [249].
In an attempt to elucidate the constituents underlying the effects of an extract obtained from a Lendenfeldia sp. sponge on hypoxia-induced HIF-1 activation in T47D breast tumor cells, Dai and colleagues carried out the isolation of a series of structurally dissimilar constituents [250]. In addition to a series of active constituents, the naphthalene dimer 60 (Figure 5) also significantly inhibited both hypoxia- and 1,10-phenanthrolin-induced HIF-1 activation in T47D breast tumor cells, with an IC50 value of 4.3 µM [250].
2.5. Terpenes
The trichothecene-type mycotoxin diacetoxyscirpenol (61) (Figure 6) is a well-known metabolite from phytopathogenic Fusarium spp. [251,252]. However, it was also reported from a marine bacterial parasite Bacillus licheniformis isolated from the red alga Gelidium pacificum [253]. While several mycotoxins are able to upregulate the HIF pathway [254], diacetoxyscirpenol (61) dampened the activation of hypoxic genes by HIF, thereby reducing anchorage-independent colony formation, endothelial tube formation, and tumor growth in mice [253]. The impact of 61 upon HIF-1 is suggested to occur either through the inhibition of HIF-1α translation or its dimerization with ARNT, as well as by hampering the hypoxia-induced production of VEGF [253].
Figure 6.
Structures of marine-derived sesquiterpenes (61–64) and diterpenes (65–71) acting on the HIF pathway.
Kobayashi’s group reported the isolation of several sesquiterpene phenols, namely dictyoceratins A (also known as smenospondiol) (62) and C (63) (Figure 6) from the sponge Dactylospongia elegans [255]. While 62 was originally described from an Okinawan Hippospongia sp. [256], its congener dictyoceratin C (63) was initially reported from a Dactylospongia sp. [257], both being reported later from the sponges Polyfibrospongia australis [258] and Spongia sp. [259]. Both 62 and 63 were originally described as antimicrobial agents; however, they were found later to display hypoxia-selective antiproliferative effects, inhibiting the proliferation of human prostate cancer DU145 cells under hypoxic conditions in low µM concentrations [255] and also showing a strong antitumor effect in mice xenografted with sarcoma S180 cells upon oral administration [260,261]. Molecular studies performed with dictyoceratins A (62) and C (63) revealed that their selective antiproliferative activity was derived from their inhibitory effects toward HIF-1α, inhibiting the accumulation of HIF-1α in hypoxia-adapted DU145 cells [255]. Kawachi and coauthors further detailed the mode of action of dictyoceratins A (62) and C (63), demonstrating that both HIF inhibitors bind to RNA polymerase II-associated protein 3 (RPAP3) in the vicinity of the TRP1 domain and disturbed the R2TP/PEDL/HSP90 complex, consequently leading to dysfunction of mTOR and the reduced accumulation of HIF-1 [262].
The bioassay-guided screening on HIF-2 inhibitors by McKee and coworkers also led to the isolation of the meroterpene puupehenone (64) (Figure 6) from the sponge Hyrtios reticulatus [230]. However, analogously to the remaining HIF-2 inhibitors isolated from the active sponge extracts, puupehenone’s (64) effect on VEGF secretion was coupled with a decrease in total protein, suggesting that it was related to cellular toxicity [230]. The sesquiterpene quinone and several analogs have been repeatedly described in various sponges from distinct genera such as Heteronema [263], Hyrtios [264,265,266,267], Stronglyphora [268], Xestospongia [269], Dysidea [270,271] and from Dactylospongia [272]. Concomitantly, 64 has also been documented to have a wide range of biological properties, namely as a potent and selective human 5-lipoxygenase inhibitor [267,273]. Puupehenone (64) was further assayed as a potential antiangiogenic agent, inhibiting the endothelial cell differentiation in bovine aortic endothelial (BAE) cells in vitro with an IC50 value of 10 ± 2 μM, but without apparent selectivity since, at the same range of concentrations, it was also cytotoxic against a panel of human cancer cell lines [274]. Interestingly, puupehenone (64) was also reported as useful in tumor immunotherapy, being attached to a modified antigenic peptide derived from Melan-A/MART-1 protein, frequently recognized by MHC class I-restricted CD8+ cytotoxic T-lymphocytes (CTL). Despite the low affinity for HLA-A2 molecules, the resulting adduct fitted on the TCR/HLA-A2 interface, leading to the stimulation of CTL [275].
Displaying an uncommon 7-oxabicyclo[2.2.1]heptane ring system, lauranditerpenol (65) (Figure 6) was reported from an extract of samples of the red alga Laurencia intricata collected in Discovery Bay, Jamaica [276]. The algal metabolite enhanced the degradation of HIF-1α in breast cancer T47D cells, with an IC50 value as low as 0.4 μM, exhibiting selective anticancer effects under hypoxic conditions without affecting normoxic cell growth [276]. Lauranditerpenol (65) also inhibited the mitochondrial electron transport pathway as a complex I inhibitor, evidencing that the inhibitory effects on hypoxia-induced HIF-1 activation were dependent on the increase in cellular O2 availability under hypoxia [276].
The chemical family strongylophorines has been gaining attention since the first report on the isolation of the first members from the sponge Strongylophora durissima in the late 1970s [277]. Several strongylophorines have been into the spotlight due to the reports on their versatile modes of action towards cancer cells, acting as Rho-dependent inhibitors of tumor cell invasion [278], proteasome inhibitors [279], and as inhibitors of the HIF-1 transcriptional pathway [280]. The bioassay-oriented isolation of strongylophorine-2, -3, and -8 (66–68) (Figure 6) from the MeOH extract obtained from the sponge Petrosia (Strongylophora) strongylata enabled their identification as inhibitors of the HIF-1-dependent luciferase expression in U251-HRE glioblastoma cells without interference with luciferase expression in U251-pGL3 control cells [280]. While the study was limited to strongylophorine-2, -3, and -8 (66–68) and chromanol, a preliminary SAR analysis suggests that the presence of the A-ring lactone is a structural requirement that enhances the HIF-1 inhibitory activity of strongylophorines [280]. Besides their HIF-1 selectivity, the strongylophorines 66–68 also effectively decreased the expression of VEGF [280].
Chemical analysis of an extract obtained from the soft coral Asteropicularia laurae, collected from a large reef west of Mabul in Malaysia, yielded a series of cembrane diterpenes [229]. While most proved to be inactive, 13-epi-9-deacetylxenicin (69), 13-epi-9-deacetoxyxenicin (70) and its hydroperoxide (71) (Figure 6) effectively suppressed HIF-2α activity in renal carcinoma 786-0 cells with IC50 values of 6.2, 3.4, and 11.8 μM, without exhibiting significant cytotoxicity [229].
Diacarnoxide B (72) (Figure 7), a norsesterterpene peroxide isolated from the Papua New Guinea sponge Diacarnus levii, was found to inhibit hypoxia-induced HIF-1 activation in T47D cells with an IC50 value of 12.7 μM [281]. Interestingly, while diacarnoxide B (72) inhibited prostate DU145 and PC-3 cells and breast MCF-7 and MDA-MB-231 cell proliferation, both under normoxic and hypoxic conditions, it caused an unusual enhanced and selective inhibitory effect at low concentration in MCF-7 and MDA-MB-231 cells under hypoxic conditions [281].
Figure 7.
Structures of marine-derived sesterterpenes acting on the HIF pathway.
In addition to its potent and selective inhibitory effect toward Cdc25A [282] and in vitro cytotoxicity against a set of isogenic HCT-116 colon cancer cell lines [283], the spongean metabolite furospinosulin-1 (73) (Figure 7) has been claiming much attention for its hypoxia-selective growth inhibitory effect. Furospinosulin-1 (73) is a furanosesterterpene originally described from an Ircinia sp. sponge more than 50 years ago [284] but has also been widely reported from other spongean genera such as Hippospongia [256], Fasciospongia [285], Spongia [282,286], and Smenospongia [283,287]. In 2010, on the report on its isolation from the Indonesian sponge Dactylospongia elegans, 73 was found to lead to concentration-dependent and selective suppression of human prostate cancer DU145 cells under hypoxic conditions, as well as displaying in vivo antitumor effects in mice xenografted with mouse sarcoma S180 cells, with no side effects being recorded upon oral administration [288]. Curiously, despite its hypoxia-selective growth inhibitory effect, furospinosulin-1 (73) did not inhibit the accumulation of HIF-1 or VEGF, instead modulating the activation of several genes involved in the hypoxia signaling pathway. The selective growth inhibitory effect of 73 against hypoxia-adaptable cancer cells was initially attributed to the suppression of the insulin-like growth factor-2 (IGF-2) gene transcription, selectively induced under hypoxic conditions [288]. Recently, the same group further detailed the mechanism of action of furospinosulin-1 (73), reporting an effective and selective effect against hypoxic regions of tumors, stemming from the direct binding to the transcriptional regulators p54nrb and LEDGF/p75, both known as mediators of hypoxia adaptation in cancer cells [289].
Discovered more than 35 years ago as a metabolic product of the Red Sea sponge Dysidea herbacea [290] and later from the sponges Lendenfeldia sp. [291] and Spongia officinalis [292], furospongolide (74) (Figure 7) was reported as the first marine-derived furanolipid able to inhibit hypoxia-induced HIF-1 activation [291]. During a screening on extracts from natural sources with the ability to inhibit HIF-1 activation, the lipid extract of Lendenfeldia sp. was found to be active, and the subsequent bioassay-guided isolation afforded three scalarene-type sesterterpenes with similar activity and selectivity profile as HIF-1 inhibitors along with furospongolide (74) [291]. Unlike the co-isolated sesterterpenes displaying significant cytotoxicity, only 74 preferentially inhibited HIF-1 activation with a 10-fold selectivity compared to its antiproliferative/cytotoxic effect against T47D cells, as well as blocking VEGF induction. The HIF-1 inhibitory activity of furospongolide (74) is mediated through the suppression of tumor cell respiration via the blockade of NADH-ubiquinone oxidoreductase (complex I)-mediated mitochondrial electron transfer, consequently blocking the HIF-1 transcription regulator protein HIF-1α [291].
Bioassay-guided isolation of the Palau sponge Hyrtios communis afforded several sesterterpenes with HIF-1 inhibitory activity [293]. Among them, the new sesterterpenes thorectidaeolide A (75), 4-acetoxythorectidaeolide A (76), and the previously reported luffariellolide (77) (Figure 7) were found to be the most potent inhibitors of hypoxia-induced HIF-1 activation with IC50 values of 3.2, 3.5, and 3.6 μM, respectively [293]. Unlike the other sesterterpenes, 77 displayed a significant antiproliferative effect in T47D and MDA-MR-231 breast cancer cells [293]. Luffariellolide (77) has been previously reported in several sponge species from the genera Luffariella [294], Cacospongia [295], Acanthodendrilla [296], and Thorectandra [297], being initially reported as a reversible phospholipase A2 inhibitor [294] and later as a weak inhibitor of the protein tyrosine phosphatase Cdc25 [298]. More relevant, its in vitro cytotoxicity against human cancer cell lines was attributed to its agonistic effect on retinoic acid receptors (RARs) [299]. Unlike other RAR ligands, luffariellolide (77) adopts a distinct binding mode in RARα through a covalent modification with its unusual i-hydroxybutenolide ring terminus, stabilizing the interaction of RARs with its ligands. It displayed significant cytotoxic effects against monocytic leukemia and promyeloid leukemic cell lines, as well as against MCF-7 breast cancer cells [299]. Furthermore, 77 was also effective against the retinoic acid-resistant colon cancer HCT-116 cell line, inducing the expression of the tumor suppressors RARβ and CRABPII [299].
In addition to the naphthalene dimer 60 (Figure 5), the homoscalarane sesterterpenes 78–80 (Figure 7) were obtained from the lipid extract of Indonesian samples of Lendenfeldia sp. [250]. While the three homoscalarane sesterterpenes proved to be efficient inhibitors of hypoxia-induced HIF-1 activation in T47D cells, 79 featured as the most active, with an IC50 value as low as 0.64 µM [250], evidencing that the free C-25 aldehyde moiety is essential for HIF-1 inhibition and that its lactonization markedly decreases the inhibitory potency [250].
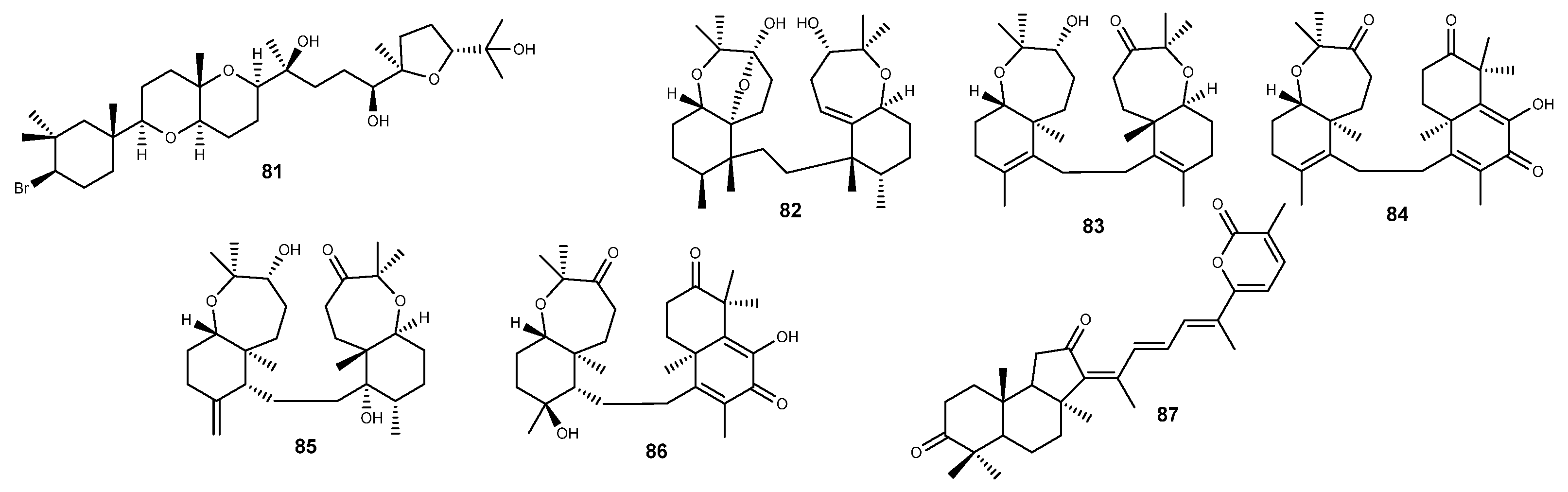
Mainly reported from the red algae Laurencia spp. [300,301,302,303,304,305], thyrsiferol (81) (Figure 8) selectively suppresses mitochondrial respiration at complex I, inhibiting also the hypoxia-induced HIF-1 activation in T47D human breast tumor cells at the same concentration (3 µM) [306]. Roussis and colleagues further described the ability to counteract the hypoxic induction of the HIF-1 target genes VEGF and GLUT-1 in a concentration-dependent manner [306]. The variance in cytotoxicity observed between the sensitive breast cancer T47D cells, which heavily depend on mitochondrial oxidative phosphorylation, and the relatively unresponsive breast cancer MDA-MB-231 cells, which primarily utilize glycolysis, can be explained by the impact of thyrsiferol (81) on mitochondrial function [306].
Figure 8.
Structures of marine-derived triterpenoids acting on the HIF pathway.
A series of cytotoxic triterpenoids bearing an uncommon condensed oxepane-cyclohexane scaffold have been widely reported in sponges from the genera Axinella [307,308,309,310,311,312,313,314] and Ptilocaulis [311,315], with several members from this series of spongean terpenoids being reported as HIF-1 inhibitors. Sodwanone V (82) (Figure 8) is featured as the most active, inhibiting both hypoxia- and phenanthroline-induced HIF-1 activation in T47D breast tumor cells and being the only sodwanone derivative suppressing hypoxia-induced HIF-1 activation in PC-3 prostate tumor cells [314]. Displaying weaker inhibitory effects, with IC50 values in the range 20–25 µM, sodwanone T (83) and 10,11-dihydrosodwanone B (84) (Figure 8) inhibited both hypoxia- and phenanthroline-induced HIF-1 activation in T47D cells, while 3-epi-sodwanone K (85) and sodwanone A (86) (Figure 8) could only inhibit the hypoxia-induced activation [314].
There is an increasing number of reports describing the anticancer effects of stellettin B (87) (Figure 8), an isomalabaricane-type triterpene commonly reported from sponges of the genera Geodia [316,317], Jaspis [318,319], Rhabdastrella [320,321], and Stelletta [322,323]. Stellettin B (87) appears to act mainly due to the induction of autophagy and apoptosis by interfering with the PI3K/Akt, Stat3, and mTOR signaling pathways in glioblastoma [324,325] and chronic myeloid leukemia cells [319]. The antiproliferative effects upon the oral squamous cell carcinoma cells OC2 and SCC4 derive from autophagic cell death, dropping the expression levels of p62 and increasing Beclin-1 and LC3-II levels [326]. In addition to the modes of action mentioned above, 87 treatment led to antiangiogenic effects in human glioblastoma U87MG and GBM8401 cells, being observed to significantly downregulate p-Stat3 and HIF-1α and culminating in the diminished expression and secretion of VEGF [325]. The antiangiogenic effects of stellettin B (87) were confirmed in two in vivo models, with VEGF mRNA expression being decreased in zebrafish embryos and reduction in angiogenesis also being recorded in murine Matrigel Plug models [325].
3. Discussion
As demonstrated above, a considerable number of marine natural products prove to be effective in interfering with HIFs and might have potential utility in treating various types of tumors (Table S1), particularly those with a negative prognosis due to hypoxia-induced resistance and metastasis. However, as already demonstrated, some are accompanied by severe toxicity that limits their translation to clinical use, while others are in the preliminary phase of characterizing their mechanisms of action and validation in disease models more indicative of therapeutic utility.
For example, the clinical development of diacetoxyscirpenol (61) ceased after a phase II clinical trial for cancer treatment demonstrated severe side effects [327,328]. However, it should be noted that 61 proved to inhibit HIF-1 at concentrations 20-fold lower than those displaying cytotoxicity [253,329]. The clinical development of echinomycin (7) was also discontinued due to the lack of anticancer efficacy in patients with solid tumors [330,331,332], but its incorporation in liposomes has been recently suggested as a safe and effective therapeutic option, profiting from the HIF-1α inhibition in metastatic cancers [333]. The same applies to gliotoxin (10), whose clinical use has been precluded despite its discovery more than 80 years ago. Its clinical use has been revisited in recent years, with a particular focus on investigating the possible strategies to reduce toxicity, such as the targeted delivery of 10 through nanoparticles [334] or the use of lower doses in combination with other anticancer drugs [335]. In other instances, as in the case of kalkitoxin (11), it is possible to anticipate toxicity even in the absence of clinical data, as the sodium channel and mitochondria-associated neurotoxicity may limit the therapeutic potential [101]. It is also unlikely that radicicol (39) might become a chemotherapeutic agent despite the HSP90 inhibitory ability and anticancer effects observed in vitro, as it was found to be devoid of any in vivo activity in animal models [336].
Certainly, there will be other limitations, particularly those inherent in obtaining active constituents from marine natural sources that are scarce or produced in limited quantities. The inhibitory mode of action of strongylophorine-2 (66) for the HIF-1 oriented transcription pathway has not been properly elucidated because of the scarcity of isolating the same from natural sources, prompting its total synthesis [337]. However, there will still be cases where the synthesis of synthetic analogs may not overcome limitations inherent to the structural architecture itself. For example, wondonin (27) and derivatives are highly unstable in acidic environments due to the five-membered acetal ring and the vinyl sulfate moieties [145].
However, in analogy to the numerous successful cases associated with the development of drugs inspired by natural molecules, particularly those obtained from marine sources, many of the HIF inhibitors presented here are bona fide leads for the translation into therapy. This could occur either in their original structural form or, more likely, through the synthesis of synthetic derivatives optimized for efficacy, toxicity, and pharmacokinetic parameters.
Supplementary Materials
The following supporting information can be downloaded at: https://www.mdpi.com/article/10.3390/md22040143/s1, Table S1: Marine derived HIF inhibitors.
Author Contributions
Conceptualization, N.G.M.G.; validation, N.G.M.G., P.B.A. and F.L.; formal analysis, M.R.G.; writing—original draft preparation, M.R.G.; writing—review and editing, N.G.M.G., P.B.A. and F.L.; supervision, N.G.M.G. All authors have read and agreed to the published version of the manuscript.
Funding
This work received financial support from PT national funds (FCT/MCTES, Fundação para a Ciência e Tecnologia and Ministério da Ciência, Tecnologia e Ensino Superior) through the project UIDB/50006/2020 of REQUIMTE/LAQV.
Institutional Review Board Statement
Not applicable.
Data Availability Statement
Not applicable.
Acknowledgments
Nelson G. M. Gomes thanks FCT (Fundação para a Ciência e Tecnologia) for funding through the Scientific Employment Stimulus Individual Call (Ref. 2022.07375.CEECIND); https://doi.org/10.54499/2022.07375.CEECIND/CP1724/CT0013 accessed on 20 January 2024.
Conflicts of Interest
The authors declare no conflicts of interest.
References
- Mayer, A.M.S.; Pierce, M.L.; Howe, K.; Rodríguez, A.D.; Taglialatela-Scafati, O.; Nakamura, F.; Fusetani, N. Marine Pharmacology in 2018: Marine Compounds with Antibacterial, Antidiabetic, Antifungal, Anti-Inflammatory, Antiprotozoal, Antituberculosis and Antiviral Activities; Affecting the Immune and Nervous Systems, and Other Miscellaneous Mechanisms of Action. Pharmacol. Res. 2022, 183, 106391. [Google Scholar] [CrossRef]
- Carroll, A.R.; Copp, B.R.; Davis, R.A.; Keyzers, R.A.; Prinsep, M.R. Marine Natural Products. Nat. Prod. Rep. 2023, 40, 275–325. [Google Scholar] [CrossRef]
- Kijjoa, A.; Sawangwong, P. Drugs and Cosmetics from the Sea. Mar. Drugs 2004, 2, 73–82. [Google Scholar] [CrossRef]
- Pecoraro, C.; Terrana, F.; Panzeca, G.; Parrino, B.; Cascioferro, S.; Diana, P.; Giovannetti, E.; Carbone, D. Nortopsentins as Leads from Marine Organisms for Anticancer and Anti-Inflammatory Agent Development. Molecules 2023, 28, 6450. [Google Scholar] [CrossRef]
- Molinski, T.F.; Dalisay, D.S.; Lievens, S.L.; Saludes, J.P. Drug Development from Marine Natural Products. Nat. Rev. Drug Discov. 2009, 8, 69–85. [Google Scholar] [CrossRef] [PubMed]
- Gomes, N.G.M.; Madureira-Carvalho, Á.; Dias-da-Silva, D.; Valentão, P.; Andrade, P.B. Biosynthetic Versatility of Marine-Derived Fungi on the Delivery of Novel Antibacterial Agents against Priority Pathogens. Biomed. Pharmacother. 2021, 140, 111756. [Google Scholar] [CrossRef] [PubMed]
- Robert, J. Comparative Study of Tumorigenesis and Tumor Immunity in Invertebrates and Nonmammalian Vertebrates. Dev. Comp. Immunol. 2010, 34, 915–925. [Google Scholar] [CrossRef]
- Montaser, R.; Luesch, H. Marine Natural Products: A New Wave of Drugs? Future Med. Chem. 2011, 3, 1475–1489. [Google Scholar] [CrossRef]
- Munro, M.H.G.; Blunt, J.W.; Dumdei, E.J.; Hickford, S.J.H.; Lill, R.E.; Li, S.; Battershill, C.N.; Duckworth, A.R. The Discovery and Development of Marine Compounds with Pharmaceutical Potential. J. Biotechnol. 1999, 70, 15–25. [Google Scholar] [CrossRef]
- Atanasov, A.G.; Zotchev, S.B.; Dirsch, V.M.; Orhan, I.E.; Banach, M.; Rollinger, J.M.; Barreca, D.; Weckwerth, W.; Bauer, R.; Bayer, E.A.; et al. Natural Products in Drug Discovery: Advances and Opportunities. Nat. Rev. Drug Discov. 2021, 20, 200–216. [Google Scholar] [CrossRef]
- Cech, N.B.; Oberlies, N.H. From Plant to Cancer Drug: Lessons Learned from the Discovery of Taxol. Nat. Prod. Rep. 2023, 40, 1153–1157. [Google Scholar] [CrossRef]
- Newman, D.J. Natural Products and Drug Discovery. Natl. Sci. Rev. 2022, 9, nwac206. [Google Scholar] [CrossRef]
- Newman, D.J.; Cragg, G.M. Natural Products as Sources of New Drugs over the Nearly Four Decades from 01/1981 to 09/2019. J. Nat. Prod. 2020, 83, 770–803. [Google Scholar] [CrossRef] [PubMed]
- Bergmann, W.; Burke, D.C. Contributions to the Study of Marine Products. XXXIX. The Nucleosides of Sponges. III.1 Spongothymidine and Spongouridine. J. Org. Chem. 1955, 20, 1501–1507. [Google Scholar] [CrossRef]
- Lichtman, M.A. A Historical Perspective on the Development of the Cytarabine (7days) and Daunorubicin (3 days) Treatment Regimen for Acute Myelogenous Leukemia: 2013 the 40th Anniversary of 7+3. Blood Cells Mol. Dis. 2013, 50, 119–130. [Google Scholar] [CrossRef]
- Mayer, A.M.S. The Global Marine Pharmaceuticals Pipeline. Available online: https://www.marinepharmacology.org/ (accessed on 24 July 2023).
- Pereira, R.B.; Evdokimov, N.M.; Lefranc, F.; Valentaõ, P.; Kornienko, A.; Pereira, D.M.; Andrade, P.B.; Gomes, N.G.M. Marine-Derived Anticancer Agents: Clinical Benefits, Innovative Mechanisms, and New Targets. Mar. Drugs 2019, 17, 329. [Google Scholar] [CrossRef] [PubMed]
- Gomes, N.; Lefranc, F.; Kijjoa, A.; Kiss, R. Can Some Marine-Derived Fungal Metabolites Become Actual Anticancer Agents? Mar. Drugs 2015, 13, 3950–3991. [Google Scholar] [CrossRef] [PubMed]
- Barreca, M.; Spanò, V.; Montalbano, A.; Cueto, M.; Díaz Marrero, A.R.; Deniz, I.; Erdoğan, A.; Lukić Bilela, L.; Moulin, C.; Taffin-de-Givenchy, E.; et al. Marine Anticancer Agents: An Overview with a Particular Focus on Their Chemical Classes. Mar. Drugs 2020, 18, 619. [Google Scholar] [CrossRef] [PubMed]
- Jimenez, P.C.; Wilke, D.V.; Branco, P.C.; Bauermeister, A.; Rezende-Teixeira, P.; Gaudêncio, S.P.; Costa-Lotufo, L. V Enriching Cancer Pharmacology with Drugs of Marine Origin. Br. J. Pharmacol. 2020, 177, 3–27. [Google Scholar] [CrossRef]
- Lefranc, F.; Koutsaviti, A.; Ioannou, E.; Kornienko, A.; Roussis, V.; Kiss, R.; Newman, D. Algae Metabolites: From: In Vitro Growth Inhibitory Effects to Promising Anticancer Activity. Nat. Prod. Rep. 2019, 36, 810–841. [Google Scholar] [CrossRef]
- Faulkner, D.J. Marine Natural Products. Nat. Prod. Rep. 1997, 14, 259–302. [Google Scholar] [CrossRef]
- John Faulkner, D. Highlights of Marine Natural Products Chemistry (1972–1999). Nat. Prod. Rep. 2000, 17, 1–6. [Google Scholar] [CrossRef]
- Blunden, G. Biologically Active Compounds from Marine Organisms. Phyther. Res. 2001, 15, 89–94. [Google Scholar] [CrossRef]
- Kinghorn, A.D.; Chin, Y.-W.; Swanson, S.M. Discovery of Natural Product Anticancer Agents from Biodiverse Organisms. Curr. Opin. Drug Discov. Devel. 2009, 12, 189–196. [Google Scholar]
- Junttila, M.R.; de Sauvage, F.J. Influence of Tumour Micro-Environment Heterogeneity on Therapeutic Response. Nature 2013, 501, 346–354. [Google Scholar] [CrossRef]
- Dagogo-Jack, I.; Shaw, A.T. Tumour Heterogeneity and Resistance to Cancer Therapies. Nat. Rev. Clin. Oncol. 2018, 15, 81–94. [Google Scholar] [CrossRef]
- Karakashev, S.V.; Reginato, M.J. Progress toward Overcoming Hypoxia-Induced Resistance to Solid Tumor Therapy. Cancer Manag. Res. 2015, 7, 253–264. [Google Scholar] [CrossRef]
- Matuszewska, K.; Pereira, M.; Petrik, D.; Lawler, J.; Petrik, J. Normalizing Tumor Vasculature to Reduce Hypoxia, Enhance Perfusion, and Optimize Therapy Uptake. Cancers 2021, 13, 4444. [Google Scholar] [CrossRef]
- Chen, Z.; Han, F.; Du, Y.; Shi, H.; Zhou, W. Hypoxic Microenvironment in Cancer: Molecular Mechanisms and Therapeutic Interventions. Signal Transduct. Target. Ther. 2023, 8, 70. [Google Scholar] [CrossRef]
- Bouleftour, W.; Rowinski, E.; Louati, S.; Sotton, S.; Wozny, A.-S.; Moreno-Acosta, P.; Mery, B.; Rodriguez-Lafrasse, C.; Magne, N. A Review of the Role of Hypoxia in Radioresistance in Cancer Therapy. Med. Sci. Monit. Int. Med. J. Exp. Clin. Res. 2021, 27, e934116. [Google Scholar] [CrossRef]
- Codony, V.L.; Tavassoli, M. Hypoxia-Induced Therapy Resistance: Available Hypoxia-Targeting Strategies and Current Advances in Head and Neck Cancer. Transl. Oncol. 2021, 14, 101017. [Google Scholar] [CrossRef] [PubMed]
- Muz, B.; de la Puente, P.; Azab, F.; Azab, A.K. The Role of Hypoxia in Cancer Progression, Angiogenesis, Metastasis, and Resistance to Therapy. Hypoxia 2015, 3, 83–92. [Google Scholar] [CrossRef]
- Tímár, J.; Sebestyén, A.; Kopper, L.; Dankó, T. Hypoxia Signaling in Cancer: From Basics to Clinical Practice. Pathol. Oncol. Res. 2021, 27, 1609802. [Google Scholar] [CrossRef]
- Koh, M.Y.; Powis, G. Passing the Baton: The HIF Switch. Trends Biochem. Sci. 2012, 37, 364–372. [Google Scholar] [CrossRef] [PubMed]
- Yang, S.-L.; Wu, C.; Xiong, Z.-F.; Fang, X. Progress on Hypoxia-Inducible Factor-3: Its Structure, Gene Regulation and Biological Function (Review). Mol. Med. Rep. 2015, 12, 2411–2416. [Google Scholar] [CrossRef] [PubMed]
- Schönenberger, M.; Kovacs, W. Hypoxia Signaling Pathways: Modulators of Oxygen-Related Organelles. Front. Cell Dev. Biol. 2015, 3, 42. [Google Scholar] [CrossRef] [PubMed]
- Bao, X.; Zhang, J.; Huang, G.; Yan, J.; Xu, C.; Dou, Z.; Sun, C.; Zhang, H. The Crosstalk between HIFs and Mitochondrial Dysfunctions in Cancer Development. Cell Death Dis. 2021, 12, 215. [Google Scholar] [CrossRef]
- Germain, K.; Kim, P.K. Pexophagy: A Model for Selective Autophagy. Int. J. Mol. Sci. 2020, 21, 578. [Google Scholar] [CrossRef]
- Kim, J.-A. Peroxisome Metabolism in Cancer. Cells 2020, 9, 1692. [Google Scholar] [CrossRef]
- Tiburcio, P.D.; Choi, H.; Huang, L.E. Complex Role of HIF in Cancer: The Known, the Unknown, and the Unexpected. Hypoxia 2014, 2, 59–70. [Google Scholar] [CrossRef]
- Wicks, E.E.; Semenza, G.L. Hypoxia-Inducible Factors: Cancer Progression and Clinical Translation. J. Clin. Investig. 2022, 132, e159839. [Google Scholar] [CrossRef]
- Sharma, A.; Sinha, S.; Shrivastava, N. Therapeutic Targeting Hypoxia-Inducible Factor (HIF-1) in Cancer: Cutting Gordian Knot of Cancer Cell Metabolism. Front. Genet. 2022, 13, 849040. [Google Scholar] [CrossRef]
- Semenza, G.L. Targeting HIF-1 for Cancer Therapy. Nat. Rev. Cancer 2003, 3, 721–732. [Google Scholar] [CrossRef]
- Infantino, V.; Santarsiero, A.; Convertini, P.; Todisco, S.; Iacobazzi, V. Cancer Cell Metabolism in Hypoxia: Role of HIF-1 as Key Regulator and Therapeutic Target. Int. J. Mol. Sci. 2021, 22, 5703. [Google Scholar] [CrossRef]
- Nagle, D.G.; Zhou, Y.-D. Natural Product-Based Inhibitors of Hypoxia-Inducible Factor-1 (HIF-1). Curr. Drug Targets 2006, 7, 355–369. [Google Scholar] [CrossRef]
- Nagle, D.G.; Zhou, Y.-D. Natural Product-Derived Small Molecule Activators of Hypoxia-Inducible Factor-1 (HIF-1). Curr. Pharm. Des. 2006, 12, 2673–2688. [Google Scholar] [CrossRef]
- Ikeda, H.; Kakeya, H. Targeting Hypoxia-Inducible Factor 1 (HIF-1) Signaling with Natural Products toward Cancer Chemotherapy. J. Antibiot. 2021, 74, 687–695. [Google Scholar] [CrossRef]
- Zhong, J.-C.; Li, X.-B.; Lyu, W.-Y.; Ye, W.-C.; Zhang, D.-M. Natural Products as Potent Inhibitors of Hypoxia-Inducible Factor-1α in Cancer Therapy. Chin. J. Nat. Med. 2020, 18, 696–703. [Google Scholar] [CrossRef]
- Manolescu, B.; Oprea, E.; Busu, C.; Cercasov, C. Natural Compounds and the Hypoxia-Inducible Factor (HIF) Signalling Pathway. Biochimie 2009, 91, 1347–1358. [Google Scholar] [CrossRef]
- Ma, Z.; Xiang, X.; Li, S.; Xie, P.; Gong, Q.; Goh, B.-C.; Wang, L. Targeting Hypoxia-Inducible Factor-1, for Cancer Treatment: Recent Advances in Developing Small-Molecule Inhibitors from Natural Compounds. Semin. Cancer Biol. 2022, 80, 379–390. [Google Scholar] [CrossRef]
- Jones, D.T.; Harris, A.L. Small-Molecule Inhibitors of the HIF Pathway and Synthetic Lethal Interactions. Expert Opin. Ther. Targets 2012, 16, 463–480. [Google Scholar] [CrossRef] [PubMed]
- Ghosh, R.; Samanta, P.; Sarkar, R.; Biswas, S.; Saha, P.; Hajra, S.; Bhowmik, A. Targeting HIF-1α by Natural and Synthetic Compounds: A Promising Approach for Anti-Cancer Therapeutics Development. Molecules 2022, 27, 5192. [Google Scholar] [CrossRef]
- Bhattarai, D.; Xu, X.; Lee, K. Hypoxia-Inducible Factor-1 (HIF-1) Inhibitors from the Last Decade (2007 to 2016): A “Structure–Activity Relationship” Perspective. Med. Res. Rev. 2018, 38, 1404–1442. [Google Scholar] [CrossRef] [PubMed]
- Ban, H.S.; Uto, Y.; Won, M.; Nakamura, H. Hypoxia-Inducible Factor (HIF) Inhibitors: A Patent Survey (2011–2015). Expert Opin. Ther. Pat. 2016, 26, 309–322. [Google Scholar] [CrossRef] [PubMed]
- Nagle, D.G.; Zhou, Y.-D. Marine Natural Products as Inhibitors of Hypoxic Signaling in Tumors. Phytochem. Rev. 2009, 8, 415–429. [Google Scholar] [CrossRef]
- Govindarajan, G.; Yao, Z.; Zhou, Z.; Zheng, X.; Ma, J.; Kumar, P.S.; Ju, J.; Sun, C. Genome Sequencing of Streptomyces griseus SCSIO PteL053, the Producer of 2,2′-Bipyridine and Actinomycin Analogs, and Associated Biosynthetic Gene Cluster Analysis. J. Mar. Sci. Eng. 2023, 11, 396. [Google Scholar] [CrossRef]
- Liu, M.; Jia, Y.; Xie, Y.; Zhang, C.; Ma, J.; Sun, C.; Ju, J. Identification of the Actinomycin D Biosynthetic Pathway from Marine-Derived Streptomyces costaricanus SCSIO ZS0073. Mar. Drugs 2019, 17, 240. [Google Scholar] [CrossRef] [PubMed]
- Bensaude, O. Inhibiting Eukaryotic Transcription: Which Compound to Choose? How to Evaluate Its Activity? Transcription 2011, 2, 103–108. [Google Scholar] [CrossRef]
- Berra, E.; Richard, D.E.; Gothié, E.; Pouysségur, J. HIF-1-Dependent Transcriptional Activity Is Required for Oxygen-Mediated HIF-1α Degradation. FEBS Lett. 2001, 491, 85–90. [Google Scholar] [CrossRef]
- Wang, G.L.; Semenza, G.L. Characterization of Hypoxia-Inducible Factor 1 and Regulation of DNA Binding Activity by Hypoxia. J. Biol. Chem. 1993, 268, 21513–21518. [Google Scholar] [CrossRef]
- Pagé, E.L.; Robitaille, G.A.; Pouysségur, J.; Richard, D.E. Induction of Hypoxia-Inducible Factor-1α by Transcriptional and Translational Mechanisms J. Biol. Chem. 2002, 277, 48403–48409. [Google Scholar] [CrossRef] [PubMed]
- Bhosale, S.H.; Patil, K.B.; Parameswaran, P.S.; Naik, C.G.; Jagtap, T.G. Active Pharmaceutical Ingredient (Api) from an Estuarine Fungus, Microdochium nivale (Fr.). J. Environ. Biol. 2011, 32, 653–658. [Google Scholar] [PubMed]
- D’Angelo, G.; Duplan, E.; Vigne, P.; Frelin, C. Cyclosporin A Prevents the Hypoxic Adaptation by Activating Hypoxia-Inducible Factor-1α Pro-564 Hydroxylation. J. Biol. Chem. 2003, 278, 15406–15411. [Google Scholar] [CrossRef] [PubMed]
- Rinehart, K.L.J.; Gloer, J.B.; Cook, J.C.J.; Mizsak, S.A.; Scahill, T.A. Structures of the Didemnins, Antiviral and Cytotoxic Depsipeptides from a Caribbean Tunicate. J. Am. Chem. Soc. 1981, 103, 1857–1859. [Google Scholar] [CrossRef]
- Gomes, N.G.M.; Valentaõ, P.; Andrade, P.B.; Pereira, R.B. Plitidepsin to Treat Multiple Myeloma. Drugs Today 2020, 56, 337–347. [Google Scholar] [CrossRef]
- Straight, A.M.; Oakley, K.; Moores, R.; Bauer, A.J.; Patel, A.; Tuttle, R.M.; Jimeno, J.; Francis, G.L. Aplidin Reduces Growth of Anaplastic Thyroid Cancer Xenografts and the Expression of Several Angiogenic Genes. Cancer Chemother. Pharmacol. 2006, 57, 7–14. [Google Scholar] [CrossRef]
- Symersky, J.; Osowski, D.; Walters, D.E.; Mueller, D.M. Oligomycin Frames a Common Drug-Binding Site in the ATP Synthase. Proc. Natl. Acad. Sci. USA 2012, 109, 13961–13965. [Google Scholar] [CrossRef]
- Dame, Z.T.; Islam, M.T.; Helmke, E.; von Tiedemann, A.; Laatsch, H. Oligomycins and Pamamycin Homologs Impair Motility and Induce Lysis of Zoospores of the Grapevine Downy Mildew Pathogen, Plasmopara Viticola. FEMS Microbiol. Lett. 2016, 363, fnw167. [Google Scholar] [CrossRef]
- Nagle, D.G.; Zhou, Y.-D. 2.20—Natural Products as Probes of Selected Targets in Tumor Cell Biology and Hypoxic Signaling. In Comprehensive Natural Products II; Liu, H.-W., Mander, L., Eds.; Elsevier: Oxford, UK, 2010; pp. 651–683. ISBN 978-0-08-045382-8. [Google Scholar]
- Gong, Y.; Agani, F.H. Oligomycin Inhibits HIF-1α Expression in Hypoxic Tumor Cells. Am. J. Physiol. Physiol. 2005, 288, C1023–C1029. [Google Scholar] [CrossRef] [PubMed]
- Paul, S.K.; Chakraborty, M.; Rahman, M.; Gupta, D.R.; Mahmud, N.U.; Rahat, A.A.M.; Sarker, A.; Hannan, M.A.; Rahman, M.M.; Akanda, A.M.; et al. Marine Natural Product Antimycin A Suppresses Wheat Blast Disease Caused by Magnaporthe Oryzae Triticum. J. Fungi 2022, 8, 618. [Google Scholar] [CrossRef] [PubMed]
- Huang, L.-S.; Cobessi, D.; Tung, E.Y.; Berry, E.A. Binding of the Respiratory Chain Inhibitor Antimycin to the Mitochondrial Bc1 Complex: A New Crystal Structure Reveals an Altered Intramolecular Hydrogen-Bonding Pattern. J. Mol. Biol. 2005, 351, 573–597. [Google Scholar] [CrossRef]
- Chua, Y.L.; Dufour, E.; Dassa, E.P.; Rustin, P.; Jacobs, H.T.; Taylor, C.T.; Hagen, T. Stabilization of Hypoxia-Inducible Factor-1alpha Protein in Hypoxia Occurs Independently of Mitochondrial Reactive Oxygen Species Production. J. Biol. Chem. 2010, 285, 31277–31284. [Google Scholar] [CrossRef]
- Maeda, M.; Hasebe, Y.; Egawa, K.; Shibanuma, M.; Nose, K. Inhibition of Angiogenesis and HIF-1alpha Activity by Antimycin A1. Biol. Pharm. Bull. 2006, 29, 1344–1348. [Google Scholar] [CrossRef]
- Vlaminck, B.; Toffoli, S.; Ghislain, B.; Demazy, C.; Raes, M.; Michiels, C. Dual effect of echinomycin on hypoxia-inducible factor-1 activity under normoxic and hypoxic conditions. FEBS J. 2007, 274, 5533–5542. [Google Scholar] [CrossRef] [PubMed]
- Waring, M.J. Echinomycin, Triostin, and Related Antibiotics. In Mechanism of Action of Antieukaryotic and Antiviral Compounds; Hahn, F.E., Ed.; Springer: Berlin/Heidelberg, Germany, 1979; pp. 173–194. ISBN 978-3-642-46407-2. [Google Scholar]
- Park, Y.-S.; Shin, W.-S.; Kim, C.-S.; Ahn, C.M.; Qi, X.-F.; Kim, S.-K. Molecular and Cellular Toxicological Profiling of DNA Bis-Intercalator, Quinoxaline Compounds: Echinomycin as the Versatile Lead. Mol. Cell. Toxicol. 2018, 14, 9–18. [Google Scholar] [CrossRef]
- Foster, B.J.; Clagett-Carr, K.; Shoemaker, D.D.; Suffness, M.; Plowman, J.; Trissel, L.A.; Grieshaber, C.K.; Leyland-Jones, B. Echinomycin: The First Bifunctional Intercalating Agent in Clinical Trials. Investig. New Drugs 1985, 3, 403–410. [Google Scholar] [CrossRef] [PubMed]
- Hattori, K.; Koike, K.; Okuda, K.; Hirayama, T.; Ebihara, M.; Takenaka, M.; Nagasawa, H. Solution-Phase Synthesis and Biological Evaluation of Triostin A and Its Analogues. Org. Biomol. Chem. 2016, 14, 2090–2111. [Google Scholar] [CrossRef] [PubMed]
- Kong, D.; Park, E.J.; Stephen, A.G.; Calvani, M.; Cardellina, J.H.; Monks, A.; Fisher, R.J.; Shoemaker, R.H.; Melillo, G. Echinomycin, a Small-Molecule Inhibitor of Hypoxia-Inducible Factor-1 DNA-Binding Activity. Cancer Res. 2005, 65, 9047–9055. [Google Scholar] [CrossRef] [PubMed]
- Fernández, J.; Marín, L.; Álvarez-Alonso, R.; Redondo, S.; Carvajal, J.; Villamizar, G.; Villar, C.J.; Lombó, F. Biosynthetic Modularity Rules in the Bisintercalator Family of Antitumor Compounds. Mar. Drugs 2014, 12, 2668–2699. [Google Scholar] [CrossRef] [PubMed]
- Gomes, N.G.M.; Pereira, R.B.; Andrade, P.B.; Valentão, P. Double the Chemistry, Double the Fun: Structural Diversity and Biological Activity of Marine-Derived Diketopiperazine Dimers. Mar. Drugs 2019, 17, 551. [Google Scholar] [CrossRef]
- Watts, K.R.; Ratnam, J.; Ang, K.-H.; Tenney, K.; Compton, J.E.; McKerrow, J.; Crews, P. Assessing the Trypanocidal Potential of Natural and Semi-Synthetic Diketopiperazines from Two Deep Water Marine-Derived Fungi. Bioorg. Med. Chem. 2010, 18, 2566–2574. [Google Scholar] [CrossRef]
- Yun, K.; Khong, T.T.; Leutou, A.S.; Kim, G.-D.; Hong, J.; Lee, C.-H.; Son, B.W. Cristazine, a New Cytotoxic Dioxopiperazine Alkaloid from the Mudflat-Sediment-Derived Fungus Chaetomium cristatum. Chem. Pharm. Bull. 2016, 64, 59–62. [Google Scholar] [CrossRef] [PubMed]
- Cook, K.M.; Hilton, S.T.; Mecinović, J.; Motherwell, W.B.; Figg, W.D.; Schofield, C.J. Epidithiodiketopiperazines Block the Interaction between Hypoxia-Inducible Factor-1α (HIF-1α) and P300 by a Zinc Ejection Mechanism. J. Biol. Chem. 2009, 284, 26831–26838. [Google Scholar] [CrossRef] [PubMed]
- Kung, A.L.; Zabludoff, S.D.; France, D.S.; Freedman, S.J.; Tanner, E.A.; Vieira, A.; Cornell-Kennon, S.; Lee, J.; Wang, B.; Wang, J.; et al. Small Molecule Blockade of Transcriptional Coactivation of the Hypoxia-Inducible Factor Pathway. Cancer Cell 2004, 6, 33–43. [Google Scholar] [CrossRef] [PubMed]
- Kessler, J.; Hahnel, A.; Wichmann, H.; Rot, S.; Kappler, M.; Bache, M.; Vordermark, D. HIF-1α Inhibition by SiRNA or Chetomin in Human Malignant Glioma Cells: Effects on Hypoxic Radioresistance and Monitoring via CA9 Expression. BMC Cancer 2010, 10, 605. [Google Scholar] [CrossRef] [PubMed]
- Horiuchi, A.; Hayashi, T.; Kikuchi, N.; Hayashi, A.; Fuseya, C.; Shiozawa, T.; Konishi, I. Hypoxia Upregulates Ovarian Cancer Invasiveness via the Binding of HIF-1α to a Hypoxia-Induced, Methylation-Free Hypoxia Response Element of S100A4 Gene. Int. J. Cancer 2012, 131, 1755–1767. [Google Scholar] [CrossRef] [PubMed]
- Herath, K.B.; Jayasuriya, H.; Ondeyka, J.G.; Polishook, J.D.; Bills, G.F.; Dombrowski, A.W.; Cabello, A.; Vicario, P.P.; Zweerink, H.; Guan, Z.; et al. Isolation and Structures of Novel Fungal Metabolites as Chemokine Receptor (CCR2) Antagonists. J. Antibiot. 2005, 58, 686–694. [Google Scholar] [CrossRef]
- Indelicato, M.; Pucci, B.; Schito, L.; Reali, V.; Aventaggiato, M.; Mazzarino, M.C.; Stivala, F.; Fini, M.; Russo, M.A.; Tafani, M. Role of Hypoxia and Autophagy in MDA-MB-231 Invasiveness. J. Cell. Physiol. 2010, 223, 359–368. [Google Scholar] [CrossRef]
- Staab, A.; Loeffler, J.; Said, H.M.; Diehlmann, D.; Katzer, A.; Beyer, M.; Fleischer, M.; Schwab, F.; Baier, K.; Einsele, H.; et al. Effects of HIF-1 Inhibition by Chetomin on Hypoxia-Related Transcription and Radiosensitivity in HT 1080 Human Fibrosarcoma Cells. BMC Cancer 2007, 7, 213. [Google Scholar] [CrossRef]
- Greiner, D.; Bonaldi, T.; Eskeland, R.; Roemer, E.; Imhof, A. Reply to “Chaetocin Is a Nonspecific Inhibitor of Histone Lysine Methyltransferases”. Nat. Chem. Biol. 2013, 9, 137. [Google Scholar] [CrossRef]
- Greiner, D.; Bonaldi, T.; Eskeland, R.; Roemer, E.; Imhof, A. Identification of a Specific Inhibitor of the Histone Methyltransferase SU(VAR)3-9. Nat. Chem. Biol. 2005, 1, 143–145. [Google Scholar] [CrossRef] [PubMed]
- Han, L.; Lee, J.B.; Indermaur, E.W.; Keung, A.J. Chaetocin Disrupts the SUV39H1–HP1 Interaction Independent of SUV39H1 Methyltransferase Activity. Biochem. J. 2023, 480, 421–432. [Google Scholar] [CrossRef] [PubMed]
- Reece, K.M.; Richardson, E.D.; Cook, K.M.; Campbell, T.J.; Pisle, S.T.; Holly, A.J.; Venzon, D.J.; Liewehr, D.J.; Chau, C.H.; Price, D.K.; et al. Epidithiodiketopiperazines (ETPs) Exhibit in Vitro Antiangiogenic and in Vivo Antitumor Activity by Disrupting the HIF-1α/P300 Complex in a Preclinical Model of Prostate Cancer. Mol. Cancer 2014, 13, 91. [Google Scholar] [CrossRef] [PubMed]
- Fu, J.; Luo, X.; Lin, M.; Xiao, Z.; Huang, L.; Wang, J.; Zhu, Y.; Liu, Y.; Tao, H. Marine-Fungi-Derived Gliotoxin Promotes Autophagy to Suppress Mycobacteria tuberculosis Infection in Macrophage. Mar. Drugs 2023, 21, 616. [Google Scholar] [CrossRef]
- Zhang, S.; Guo, J.; Zhang, H.; Tong, L.; Zhang, L. Gliotoxin Induced Ferroptosis by Downregulating SUV39H1 Expression in Esophageal Cancer Cells. Recent Pat. Anticancer. Drug Discov. 2023, 18, 397–407. [Google Scholar] [CrossRef]
- Mohamed, A.F.; Abuamara, T.M.M.; Amer, M.E.; EI-Moselhy, L.E.; Gomah, T.A.; Matar, E.R.; Shebl, R.I.; Desouky, S.E.; Abu-Elghait, M. Genetic and Histopathological Alterations in Caco-2 and HuH-7 Cells Treated with Secondary Metabolites of Marine Fungi. J. Gastrointest. Cancer 2022, 53, 480–495. [Google Scholar] [CrossRef]
- Berman, F.W.; Gerwick, W.H.; Murray, T.F. Antillatoxin and Kalkitoxin, Ichthyotoxins from the Tropical Cyanobacterium Lyngbya Majuscula, Induce Distinct Temporal Patterns of NMDA Receptor-Mediated Neurotoxicity. Toxicon 1999, 37, 1645–1648. [Google Scholar] [CrossRef]
- Morgan, J.B.; Liu, Y.; Coothankandaswamy, V.; Mahdi, F.; Jekabsons, M.B.; Gerwick, W.H.; Valeriote, F.A.; Zhou, Y.D.; Nagle, D.G. Kalkitoxin Inhibits Angiogenesis, Disrupts Cellular Hypoxic Signaling, and Blocks Mitochondrial Electron Transport in Tumor Cells. Mar. Drugs 2015, 13, 1552–1568. [Google Scholar] [CrossRef]
- Senter, P.D.; Sievers, E.L. The Discovery and Development of Brentuximab Vedotin for Use in Relapsed Hodgkin Lymphoma and Systemic Anaplastic Large Cell Lymphoma. Nat. Biotechnol. 2012, 30, 631–637. [Google Scholar] [CrossRef]
- Pettit, G.R.; Kamano, Y.; Dufresne, C.; Cerny, R.L.; Herald, C.L.; Schmidt, J.M. Isolation and Structure of the Cytostatic Linear Depsipeptide Dolastatin 15. J. Org. Chem. 1989, 54, 6005–6006. [Google Scholar] [CrossRef]
- Gomes, N.G.M.; Dasari, R.; Chandra, S.; Kiss, R.; Kornienko, A. Marine Invertebrate Metabolites with Anticancer Activities: Solutions to the “Supply Problem”. Mar. Drugs 2016, 14, 98. [Google Scholar] [CrossRef]
- Swain, S.S.; Padhy, R.N.; Singh, P.K. Anticancer Compounds from Cyanobacterium Lyngbya Species: A Review. Antonie Leeuwenhoek Int. J. Gen. Mol. Microbiol. 2015, 108, 223–265. [Google Scholar] [CrossRef]
- Kerbrat, P.; Dieras, V.; Pavlidis, N.; Ravaud, A.; Wanders, J.; Fumoleau, P. Phase II Study of LU 103793 (Dolastatin Analogue) in Patients with Metastatic Breast Cancer. Eur. J. Cancer 2003, 39, 317–320. [Google Scholar] [CrossRef]
- Marks, R.S.; Graham, D.L.; Sloan, J.A.; Hillman, S.; Fishkoff, S.; Krook, J.E.; Okuno, S.H.; Mailliard, J.A.; Fitch, T.R.; Addo, F. A Phase II Study of the Dolastatin 15 Analogue LU 103793 in the Treatment of Advanced Non-Small-Cell Lung Cancer. Am. J. Clin. Oncol. Cancer Clin. Trials 2003, 26, 336–337. [Google Scholar] [CrossRef] [PubMed]
- Mross, K. Clinical and Pharmacologic Phase I Study of Cemadotin-HCl (LU103793), a Novel Antimitotic Peptide, given as 24-Hour Infusion in Patients with Advanced Cancer. Ann. Oncol. 1998, 9, 1323–1330. [Google Scholar] [CrossRef] [PubMed]
- Villalona-Calero, M.A.; Baker, S.D.; Hammond, L.; Aylesworth, C.; Eckhardt, S.G.; Kraynak, M.; Fram, R.; Fischkoff, S.; Velagapudi, R.; Toppmeyer, D.; et al. Phase I and Pharmacokinetic Study of the Water-Soluble Dolastatin 15 Analog LU103793 in Patients with Advanced Solid Malignancies. J. Clin. Oncol. 1998, 16, 2770–2779. [Google Scholar] [CrossRef] [PubMed]
- Cunningham, C.; Appleman, L.J.; Kirvan-Visovatti, M.; Ryan, D.P.; Regan, E.; Vukelja, S.; Bonate, P.L.; Ruvuna, F.; Fram, R.J.; Jekunen, A.; et al. Phase I and Pharmacokinetic Study of the Dolastatin-15 Analogue Tasidotin (ILX651) Administered Intravenously on Days 1, 3, and 5 Every 3 Weeks in Patients with Advanced Solid Tumors. Clin. Cancer Res. 2005, 11, 7825–7833. [Google Scholar] [CrossRef] [PubMed]
- Ebbinghaus, S.; Rubin, E.; Hersh, E.; Cranmer, L.D.; Bonate, P.L.; Fram, R.J.; Jekunen, A.; Weitman, S.; Hammond, L.A. A Phase I Study of the Dolastatin-15 Analogue Tasidotin (ILX651) Administered Intravenously Daily for 5 Consecutive Days Every 3 Weeks in Patients with Advanced Solid Tumors. Clin. Cancer Res. 2005, 11, 7807–7816. [Google Scholar] [CrossRef] [PubMed]
- Bai, R.; Friedman, S.J.; Pettit, G.R.; Hamel, E. Dolastatin 15, a Potent Antimitotic Depsipeptide Derived from Dolabella Auricularia. Interaction with Tubulin and Effects on Cellular Microtubules. Biochem. Pharmacol. 1992, 43, 2637–2645. [Google Scholar] [CrossRef] [PubMed]
- Lopus, M. Mechanism of Mitotic Arrest Induced by Dolastatin 15 Involves Loss of Tension across Kinetochore Pairs. Mol. Cell. Biochem. 2013, 382, 93–102. [Google Scholar] [CrossRef] [PubMed]
- Ratnayake, R.; Gunasekera, S.P.; Ma, J.J.; Dang, L.H.; Carney, T.J.; Paul, V.J.; Luesch, H. Dolastatin 15 from a Marine Cyanobacterium Suppresses HIF-1α Mediated Cancer Cell Viability and Vascularization. ChemBioChem 2020, 21, 2356–2366. [Google Scholar] [CrossRef]
- Goey, A.K.L.; Chau, C.H.; Sissung, T.M.; Cook, K.M.; Venzon, D.J.; Castro, A.; Ransom, T.R.; Henrich, C.J.; McKee, T.C.; McMahon, J.B.; et al. Screening and Biological Effects of Marine Pyrroloiminoquinone Alkaloids: Potential Inhibitors of the HIF-1α/P300 Interaction. J. Nat. Prod. 2016, 79, 1267–1275. [Google Scholar] [CrossRef] [PubMed]
- Hu, J.-F.; Fan, H.; Xiong, J.; Wu, S.-B. Discorhabdins and Pyrroloiminoquinone-Related Alkaloids. Chem. Rev. 2011, 111, 5465–5491. [Google Scholar] [CrossRef]
- Harris, E.M.; Strope, J.D.; Beedie, S.L.; Huang, P.A.; Goey, A.K.L.; Cook, K.M.; Schofield, C.J.; Chau, C.H.; Cadelis, M.M.; Copp, B.R.; et al. Preclinical Evaluation of Discorhabdins in Antiangiogenic and Antitumor Models. Mar. Drugs 2018, 16, 241. [Google Scholar] [CrossRef] [PubMed]
- Chan, S.T.S.; Patel, P.R.; Ransom, T.R.; Henrich, C.J.; Mckee, T.C.; Goey, A.K.L.; Cook, K.M.; Figg, W.D.; Mcmahon, J.B.; Schnermann, M.J.; et al. Structural Elucidation and Synthesis of Eudistidine A: An Unusual Polycyclic Marine Alkaloid That Blocks Interaction of the Protein Binding Domains of P300 and HIF-1α. J. Am. Chem. Soc. 2015, 137, 5569–5575. [Google Scholar] [CrossRef]
- Roll, D.M.; Ireland, C.M.; Lu, H.S.M.; Clardy, J. Fascaplysin, an Unusual Antimicrobial Pigment from the Marine Sponge Fascaplysinopsis Sp. J. Org. Chem. 1988, 53, 3276–3278. [Google Scholar] [CrossRef]
- Hörmann, A.; Chaudhuri, B.; Fretz, H. DNA Binding Properties of the Marine Sponge Pigment fascaplysin. Bioorg. Med. Chem. 2001, 9, 917–921. [Google Scholar] [CrossRef]
- Lin, J.; Yan, X.-J.; Chen, H.-M. Fascaplysin, a Selective CDK4 Inhibitor, Exhibit Anti-Angiogenic Activity in Vitro and in Vivo. Cancer Chemother. Pharmacol. 2007, 59, 439–445. [Google Scholar] [CrossRef] [PubMed]
- Soni, R.; Muller, L.; Furet, P.; Schoepfer, J.; Stephan, C.; Zumstein-Mecker, S.; Fretz, H.; Chaudhuri, B. Inhibition of Cyclin-Dependent Kinase 4 (Cdk4) by Fascaplysin, a Marine Natural Product. Biochem. Biophys. Res. Commun. 2000, 275, 877–884. [Google Scholar] [CrossRef]
- Bharate, S.B.; Manda, S.; Mupparapu, N.; Battini, N.; Vishwakarma, R.A. Chemistry and Biology of Fascaplysin, a Potent Marine-Derived CDK-4 Inhibitor. Mini Rev. Med. Chem. 2012, 12, 650–664. [Google Scholar] [CrossRef]
- Shafiq, M.I.; Steinbrecher, T.; Schmid, R. Fascaplysin as a Specific Inhibitor for CDK4: Insights from Molecular Modelling. PLoS ONE 2012, 7, e42612. [Google Scholar] [CrossRef]
- Oh, T.-I.; Lee, Y.-M.; Nam, T.-J.; Ko, Y.-S.; Mah, S.; Kim, J.; Kim, Y.; Reddy, R.H.; Kim, Y.J.; Hong, S.; et al. Fascaplysin Exerts Anti-Cancer Effects through the Downregulation of Survivin and HIF-1α and Inhibition of VEGFR2 and TRKA. Int. J. Mol. Sci. 2017, 18, 2074. [Google Scholar] [CrossRef]
- Aguilar-Santos, G. Caulerpin, a New Red Pigment from Green Algae of the Genus Caulerpa. J. Chem. Soc. C 1970, 6, 842–843. [Google Scholar] [CrossRef] [PubMed]
- Liu, Y.; Morgan, J.B.; Coothankandaswamy, V.; Liu, R.; Jekabsons, M.B.; Mahdi, F.; Nagle, D.G. The Caulerpa Pigment Caulerpin Inhibits HIF-1 Activation and Mitochondrial Respiration. J. Nat. Prod. 2009, 1, 2104–2109. [Google Scholar] [CrossRef] [PubMed]
- Mao, S.; Liu, Y.; Morgan, J.B.; Jekabsons, M.B.; Zhou, Y.; Nagle, D.G. Lipophilic 2,5-Disubstituted Pyrroles from the Marine Sponge Mycale Sp. Inhibit Mitochondrial Respiration and HIF-1 Activation. J. Nat. Prod. 2009, 72, 1927–1936. [Google Scholar] [CrossRef] [PubMed]
- Andersen, R.J.; Faulkner, D.J.; He, C.H.; Van Duyne, G.D.; Clardy, J. Metabolites of the Marine Prosobranch Mollusk Lamellaria Sp. J. Am. Chem. Soc. 1985, 107, 5492–5495. [Google Scholar] [CrossRef]
- Lindquist, N.; Fenical, W.; Van Duyne, G.D.; Clardy, J. New Alkaloids of the Lamellarin Class from the Marine Ascidian Didemnum chartaceum (Sluiter, 1909). J. Org. Chem. 1988, 53, 4570–4574. [Google Scholar] [CrossRef]
- Urban, S.; Capon, R.J. Lamellarin-S: A New Aromatic Metabolite From an Australian Tunicate, Didemnum Sp. Aust. J. Chem. 1996, 49, 711–713. [Google Scholar] [CrossRef]
- Reddy, M.V.R.; Faulkner, D.J.; Venkateswarlu, Y.; Rao, M.R. New Lamellarin Alkaloids from an Unidentified Ascidian from the Arabian Sea. Tetrahedron 1997, 53, 3457–3466. [Google Scholar] [CrossRef]
- Davis, R.A.; Carroll, A.R.; Pierens, G.K.; Quinn, R.J. New Lamellarin Alkaloids from the Australian Ascidian, Didemnum chartaceum. J. Nat. Prod. 1999, 62, 419–424. [Google Scholar] [CrossRef]
- Ham, J.-Y.; Kang, H.-J. A Novel Cytotoxic Alkaloid of Lamellarin Class from a Marine Ascidian Didemnum Sp. Bull. Korean Chem. Soc. 2002, 23, 163–166. [Google Scholar] [CrossRef]
- Krishnaiah, P.; Reddy, V.L.N.; Venkataramana, G.; Ravinder, K.; Srinivasulu, M.; Raju, T.V.; Ravikumar, K.; Chandrasekar, D.; Ramakrishna, S.; Venkateswarlu, Y. New Lamellarin Alkaloids from the Indian Ascidian Didemnum obscurum and Their Antioxidant Properties. J. Nat. Prod. 2004, 67, 1168–1171. [Google Scholar] [CrossRef] [PubMed]
- Malla Reddy, S.; Srinivasulu, M.; Satyanarayana, N.; Kondapi, A.K.; Venkateswarlu, Y. New Potent Cytotoxic Lamellarin Alkaloids from Indian Ascidian Didemnum obscurum. Tetrahedron 2005, 61, 9242–9247. [Google Scholar] [CrossRef]
- Plisson, F.; Huang, X.-C.; Zhang, H.; Khalil, Z.; Capon, R.J. Lamellarins as Inhibitors of P-Glycoprotein-Mediated Multidrug Resistance in a Human Colon Cancer Cell Line. Chem. Asian J. 2012, 7, 1616–1623. [Google Scholar] [CrossRef]
- Urban, S.; Butler, M.S.; Capon, R.J. Lamellarins O and P: New Aromatic Metabolites from the Australian Marine Sponge Dendrilla cactos. Aust. J. Chem. 1994, 47, 1919–1924. [Google Scholar] [CrossRef]
- Huang, X.-C.; Xiao, X.; Zhang, Y.-K.; Talele, T.T.; Salim, A.A.; Chen, Z.-S.; Capon, R.J. Lamellarin O, a Pyrrole Alkaloid from an Australian Marine Sponge, Ianthella Sp., Reverses BCRP Mediated Drug Resistance in Cancer Cells. Mar. Drugs 2014, 12, 3818–3837. [Google Scholar] [CrossRef]
- Liu, R.; Liu, Y.; Zhou, Y.-D.; Nagle, D.G. Molecular-Targeted Antitumor Agents. 15. Neolamellarins from the Marine Sponge Dendrilla nigra Inhibit Hypoxia-Inducible Factor-1 Activation and Secreted Vascular Endothelial Growth Factor Production in Breast Tumor Cells. J. Nat. Prod. 2007, 70, 1741–1745. [Google Scholar] [CrossRef]
- Li, G.; Shao, Y.; Pan, Y.; Li, Y.; Wang, Y.; Wang, L.; Wang, X.; Shao, K.; Wang, S.; Liu, N.; et al. Total Synthesis and Biological Evaluation of 7-Hydroxyneolamellarin A as Hypoxia-Inducible Factor-1α Inhibitor for Cancer Therapy. Bioorg. Med. Chem. Lett. 2021, 50, 128338. [Google Scholar] [CrossRef]
- Li, G.; Dong, H.; Ma, Y.; Shao, K.; Li, Y.; Wu, X.; Wang, S.; Shao, Y.; Zhao, W. Structure-Activity Relationships Study of Neolamellarin A and Its Analogues as Hypoxia Inducible Factor-1 (HIF-1) Inhibitors. Bioorg. Med. Chem. Lett. 2019, 29, 2327–2331. [Google Scholar] [CrossRef]
- Shin, J.; Rho, J.-R.; Seo, Y.; Lee, H.-S.; Cho, K.W.; Kwon, H.J.; Sim, C.J. Wondonins A and B, New Bis(Dihydroxystyryl)Imidazoles from a Two-Sponge Association. Tetrahedron Lett. 2001, 42, 1965–1968. [Google Scholar] [CrossRef]
- Jun, H.-O.; Kim, Y.; Kwon, Y.-W.; Hong, S.-S.; Kim, K.-W.; Shin, J.; Kim, T.-Y. Wondonin, a Novel Compound, Inhibits Hypoxia-Induced Angiogenesis through Hypoxia-Inducible Factor 1 Alpha. FEBS Lett. 2007, 581, 4977–4982. [Google Scholar] [CrossRef] [PubMed]
- Yu, S.; Oh, J.; Li, F.; Kwon, Y.; Cho, H.; Shin, J.; Lee, S.K.; Kim, S. New Scaffold for Angiogenesis Inhibitors Discovered by Targeted Chemical Transformations of Wondonin Natural Products. ACS Med. Chem. Lett. 2017, 8, 1066–1071. [Google Scholar] [CrossRef] [PubMed]
- Quiñoà, E.; Crews, P. Phenolic Constituents of Psammaplysilla. Tetrahedron Lett. 1987, 28, 3229–3232. [Google Scholar] [CrossRef]
- Arabshahi, L.; Schmitz, F.J. Brominated Tyrosine Metabolites from an Unidentified Sponge. J. Org. Chem. 1987, 52, 3584–3586. [Google Scholar] [CrossRef]
- Rodriguez, A.D.; Akee, R.K.; Scheuer, P.J. Two Bromotyrosine-Cysteine Derived Metabolites from a Sponge. Tetrahedron Lett. 1987, 28, 4989–4992. [Google Scholar] [CrossRef]
- Piña, I.C.; Gautschi, J.T.; Wang, G.-Y.-S.; Sanders, M.L.; Schmitz, F.J.; France, D.; Cornell-Kennon, S.; Sambucetti, L.C.; Remiszewski, S.W.; Perez, L.B.; et al. Psammaplins from the Sponge Pseudoceratina purpurea: Inhibition of Both Histone Deacetylase and DNA Methyltransferase. J. Org. Chem. 2003, 68, 3866–3873. [Google Scholar] [CrossRef]
- McCulloch, M.W.B.; Coombs, G.S.; Banerjee, N.; Bugni, T.S.; Cannon, K.M.; Harper, M.K.; Veltri, C.A.; Virshup, D.M.; Ireland, C.M. Psammaplin A as a General Activator of Cell-Based Signaling Assays via HDAC Inhibition and Studies on Some Bromotyrosine Derivatives. Bioorg. Med. Chem. 2009, 17, 2189–2198. [Google Scholar] [CrossRef]
- Shin, J.; Lee, H.-S.; Seo, Y.; Rho, J.-R.; Cho, K.W.; Paul, V.J. New Bromotyrosine Metabolites from the Sponge Aplysinella rhax. Tetrahedron 2000, 56, 9071–9077. [Google Scholar] [CrossRef]
- Jung, J.H.; Sim, C.J.; Lee, C.-O. Cytotoxic Compounds from a Two-Sponge Association. J. Nat. Prod. 1995, 58, 1722–1726. [Google Scholar] [CrossRef]
- Li, C.J.; Schmitz, F.J.; Kelly-Borges, M. A New Lysine Derivative and New 3-Bromopyrrole Carboxylic Acid Derivative from Two Marine Sponges. J. Nat. Prod. 1998, 61, 387–389. [Google Scholar] [CrossRef] [PubMed]
- Park, Y.; Liu, Y.; Hong, J.; Lee, C.-O.; Cho, H.; Kim, D.-K.; Im, K.S.; Jung, J.H. New Bromotyrosine Derivatives from an Association of Two Sponges, Jaspis wondoensis and Poecillastra wondoensis. J. Nat. Prod. 2003, 66, 1495–1498. [Google Scholar] [CrossRef] [PubMed]
- Kim, T.H.; Kim, H.S.; Kang, Y.J.; Yoon, S.; Lee, J.; Choi, W.S.; Jung, J.H.; Kim, H.S. Psammaplin A Induces Sirtuin 1-Dependent Autophagic Cell Death in Doxorubicin-Resistant MCF-7/Adr Human Breast Cancer Cells and Xenografts. Biochim. Biophys. Acta 2015, 1850, 401–410. [Google Scholar] [CrossRef] [PubMed]
- Zhou, Y.D.; Li, J.; Du, L.; Mahdi, F.; Le, T.P.; Chen, W.L.; Swanson, S.M.; Watabe, K.; Nagle, D.G. Biochemical and Anti-Triple Negative Metastatic Breast Tumor Cell Properties of Psammaplins. Mar. Drugs 2018, 16, 442. [Google Scholar] [CrossRef] [PubMed]
- Leach, B.E.; Ford, J.H.; Whiffen, A.J. Actidione, an Antibiotic from Streptomyces griseus. J. Am. Chem. Soc. 1947, 69, 474. [Google Scholar] [CrossRef] [PubMed]
- Xu, X.; Yin, L.; Wang, S.; Liu, H.; Gao, J.; Zhao, S. Cycloheximide Acid A, a New Cycloheximide Derivative from Marine Derived Streptomyces Sp. from East China Sea. Rec. Nat. Prod. 2013, 7, 292–295. [Google Scholar]
- Flora, D.O.; Adeyemi, A.I.; George, W.P. Himalomycin A and Cycloheximide-Producing Marine Actinomycete from Lagos Lagoon Soil Sediment. J. Coast. Life Med. 2015, 3, 361–365. [Google Scholar] [CrossRef]
- Semenza, G.L.; Wang, G.L. A Nuclear Factor Induced by Hypoxia via de Novo Protein Synthesis Binds to the Human Erythropoietin Gene Enhancer at a Site Required for Transcriptional Activation. Mol. Cell. Biol. 1992, 12, 5447–5454. [Google Scholar] [CrossRef]
- Semenza, G.L.; Roth, P.H.; Fang, H.M.; Wang, G.L. Transcriptional Regulation of Genes Encoding Glycolytic Enzymes by Hypoxia-Inducible Factor 1. J. Biol. Chem. 1994, 269, 23757–23763. [Google Scholar] [CrossRef]
- Kakeya, H.; Takahashi, I.; Okada, G.; Isono, K.; Osada, H. Epolactaene, a Novel Neuritogenic Compound in Human Neuroblastoma Cells, Produced by a Marine Fungus. J. Antibiot. 1995, 48, 733–735. [Google Scholar] [CrossRef]
- Nagumo, Y.; Kakeya, H.; Shoji, M.; Hayashi, Y.; Dohmae, N.; Osada, H. Epolactaene Binds Human Hsp60 Cys442 Resulting in the Inhibition of Chaperone Activity. Biochem. J. 2005, 387, 835–840. [Google Scholar] [CrossRef]
- Ban, H.S.; Shimizu, K.; Minegishi, H.; Nakamura, H. Identification of Heat Shock Protein 60 as the Regulator of the Hypoxia-Inducible Factor Subunit HIF-1α. Pure Appl. Chem. 2012, 84, 2325–2337. [Google Scholar] [CrossRef]
- Spector, I.; Shochet, N.R.; Blasberger, D.; Kashman, Y. Latrunculins--Novel Marine Macrolides That Disrupt Microfilament Organization and Affect Cell Growth: I. Comparison with Cytochalasin D. Cell Motil. Cytoskelet. 1989, 13, 127–144. [Google Scholar] [CrossRef]
- Nèeman, I.; Fishelson, L.; Kashman, T. Isolation of a New Toxin from the Sponge Latrunculia magnifica in the Gulf of Aqaba (Red Sea). Mar. Biol. 1975, 30, 293–296. [Google Scholar] [CrossRef]
- Kashman, Y.; Groweiss, A.; Shmueli, U. Latrunculin, a New 2-Thiazolidinone Macrolide from the Marine Sponge Latrunculia magnifica. Tetrahedron Lett. 1980, 21, 3629–3632. [Google Scholar] [CrossRef]
- Kakou, Y.; Crews, P.; Bakus, G.J. Dendrolasin and Latrunculin A from the Fijian Sponge Spongia mycofijiensis and an Associated Nudibranch Chromodoris Lochi. J. Nat. Prod. 1987, 50, 482–484. [Google Scholar] [CrossRef]
- Okuda, R.K.; Scheuer, P.J. Latrunculin-A, Ichthyotoxic Constituent of the Nudibranch Chromodoris elisabethina. Experientia 1985, 41, 1355–1356. [Google Scholar] [CrossRef]
- Khanfar, M.A.; Youssef, D.T.A.; El Sayed, K.A. 3D-QSAR Studies of Latrunculin-Based Actin Polymerization Inhibitors Using CoMFA and CoMSIA Approaches. Eur. J. Med. Chem. 2010, 45, 3662–3668. [Google Scholar] [CrossRef]
- El Sayed, K.A.; Khanfar, M.A.; Shallal, H.M.; Muralidharan, A.; Awate, B.; Youssef, D.T.A.; Liu, Y.; Zhou, Y.D.; Nagle, D.G.; Shah, G. Latrunculin A and Its C-17-O-Carbamates Inhibit Prostate Tumor Cell Invasion and HIF-1 Activation in Breast Tumor Cells. J. Nat. Prod. 2008, 71, 396–402. [Google Scholar] [CrossRef]
- Shin, I.J.; Park, B.K.; Ahn, Y.T.; Kim, Y.; An, W.G. Actin Disruption Inhibits Hypoxia Inducible Factor-1α Expression via Inactivity of Mdm2-Mediated P70S6K. Mol. Med. Rep. 2010, 3, 815–819. [Google Scholar] [CrossRef] [PubMed][Green Version]
- Kim, S.-H.; Shin, Y.; Lee, S.-H.; Oh, K.-B.; Lee, S.K.; Shin, J.; Oh, D.-C. Salternamides A-D from a Halophilic Streptomyces Sp. Actinobacterium. J. Nat. Prod. 2015, 78, 836–843. [Google Scholar] [CrossRef]
- Kim, S.-H.; Shin, Y.; Lee, S.K.; Shin, J.; Oh, D.-C. Salternamide E from a Saltern-Derived Marine Actinomycete Streptomyces Sp. Nat. Prod. Sci. 2015, 21, 273–277. [Google Scholar] [CrossRef]
- Bach, D.H.; Kim, S.H.; Hong, J.Y.; Park, H.J.; Oh, D.C.; Lee, S.K. Salternamide a Suppresses Hypoxia-Induced Accumulation of HIF-1α and Induces Apoptosis in Human Colorectal Cancer Cells. Mar. Drugs 2015, 13, 6962–6976. [Google Scholar] [CrossRef] [PubMed]
- Crews, P.; Kakou, Y.; Quinoa, E. Mycothiazole, a Polyketide Heterocycle from a Marine Sponge. J. Am. Chem. Soc. 1988, 110, 4365–4368. [Google Scholar] [CrossRef]
- Cutignano, A.; Bruno, I.; Bifulco, G.; Casapullo, A.; Debitus, C.; Gomez-Paloma, L.; Riccio, R. Dactylolide, a New Cytotoxic Macrolide from the Vanuatu Sponge Dactylospongia Sp. Eur. J. Org. Chem. 2001, 2001, 775–778. [Google Scholar] [CrossRef]
- Meyer, K.J.; Singh, A.J.; Cameron, A.; Tan, A.S.; Leahy, D.C.; O’Sullivan, D.; Joshi, P.; La Flamme, A.C.; Northcote, P.T.; Berridge, M.V.; et al. Mitochondrial Genome-Knockout Cells Demonstrate a Dual Mechanism of Action for the Electron Transport Complex I Inhibitor Mycothiazole. Mar. Drugs 2012, 10, 900–917. [Google Scholar] [CrossRef]
- Morgan, J.B.; Mahdi, F.; Liu, Y.; Coothankandaswamy, V.; Jekabsons, M.B.; Johnson, T.A.; Sashidhara, K.V.; Crews, P.; Nagle, D.G.; Zhou, Y.-D. The Marine Sponge Metabolite Mycothiazole: A Novel Prototype Mitochondrial Complex I Inhibitor. Bioorg. Med. Chem. 2010, 18, 5988–5994. [Google Scholar] [CrossRef]
- Walsh, T.J.; Standiford, H.C.; Reboli, A.C.; John, J.F.; Mulligan, M.E.; Ribner, B.S.; Montgomerie, J.Z.; Goetz, M.B.; Mayhall, C.G.; Rimland, D. Randomized Double-Blinded Trial of Rifampin with Either Novobiocin or Trimethoprim-Sulfamethoxazole against Methicillin-Resistant Staphylococcus Aureus Colonization: Prevention of Antimicrobial Resistance and Effect of Host Factors on Outcome. Antimicrob. Agents Chemother. 1993, 37, 1334–1342. [Google Scholar] [CrossRef]
- Eder, J.P.; Wheeler, C.A.; Teicher, B.A.; Schnipper, L.E. A Phase I Clinical Trial of Novobiocin, a Modulator of Alkylating Agent Cytotoxicity. Cancer Res. 1991, 51, 510–513. [Google Scholar]
- Zhou, J.; Gelot, C.; Pantelidou, C.; Li, A.; Yücel, H.; Davis, R.E.; Färkkilä, A.; Kochupurakkal, B.; Syed, A.; Shapiro, G.I.; et al. A First-in-Class Polymerase Theta Inhibitor Selectively Targets Homologous-Recombination-Deficient Tumors. Nat. Cancer 2021, 2, 598–610. [Google Scholar] [CrossRef]
- Hoeksema, H.; Johnson, J.L.; Hinman, J.W. Structural Studies on Streptonivicin,1 a New Antibiotic. J. Am. Chem. Soc. 1955, 77, 6710–6711. [Google Scholar] [CrossRef]
- Smith, C.G.; Dietz, A.; Sokolski, W.T.; Savage, G.M. Streptonivicin, a New Antibiotic. I. Discovery and Biologic Studies. Antibiot. Chemother. 1956, 6, 135–142. [Google Scholar]
- Hoeksema, H.; Bergy, M.E.; Jackson, W.G.; Shell, J.W.; Hinman, J.W.; Fonken, A.E.; Boyack, G.A.; Caron, E.L.; Ford, J.H.; Devries, W.H.; et al. Streptonivicin, a New Antibiotic. II. Isolation and Characterization. Antibiot. Chemother. 1956, 6, 143–148. [Google Scholar]
- Dalisay, D.S.; Williams, D.E.; Wang, X.L.; Centko, R.; Chen, J.; Andersen, R.J. Marine Sediment-Derived Streptomyces Bacteria from British Columbia, Canada Are a Promising Microbiota Resource for the Discovery of Antimicrobial Natural Products. PLoS ONE 2013, 8, e77078. [Google Scholar] [CrossRef]
- Syed, A.; Filandr, F.; Patterson-Fortin, J.; Bacolla, A.; Ravindranathan, R.; Zhou, J.; McDonald, D.T.; Albuhluli, M.E.; Verway-Cohen, A.; Newman, J.A.; et al. Novobiocin Blocks Nucleic Acid Binding to Polθ and Inhibits Stimulation of Its ATPase Activity. Nucleic Acids Res. 2023, 51, 9920–9937. [Google Scholar] [CrossRef]
- Conde, R.; Belak, Z.R.; Nair, M.; O’Carroll, R.F.; Ovsenek, N. Modulation of Hsf1 Activity by Novobiocin and Geldanamycin. Biochem. Cell Biol. 2009, 87, 845–851. [Google Scholar] [CrossRef] [PubMed]
- Katschinski, D.M.; Le, L.; Heinrich, D.; Wagner, K.F.; Hofer, T.; Schindler, S.G.; Wenger, R.H. Heat Induction of the Unphosphorylated Form of Hypoxia-Inducible Factor-1α Is Dependent on Heat Shock Protein-90 Activity. J. Biol. Chem. 2002, 277, 9262–9267. [Google Scholar] [CrossRef] [PubMed]
- Lupescu, A.; Bissinger, R.; Herrmann, T.; Oswald, G.; Jilani, K.; Lang, F. Induction of Suicidal Erythrocyte Death by Novobiocin. Cell. Physiol. Biochem. Int. J. Exp. Cell. Physiol. Biochem. Pharmacol. 2014, 33, 670–680. [Google Scholar] [CrossRef] [PubMed]
- Wu, D.; Zhang, R.; Zhao, R.; Chen, G.; Cai, Y.; Jin, J. A Novel Function of Novobiocin: Disrupting the Interaction of HIF 1α and P300/CBP through Direct Binding to the HIF1α C-Terminal Activation Domain. PLoS ONE 2013, 8, e62014. [Google Scholar] [CrossRef] [PubMed]
- Egorov, E.A.; Alekhina, V.A.; Volobueva, T.M.; Fedoreev, S.A.; Mishchenko, N.P.; Kol’tsova, E.A. Histochrome, a new antioxidant, in the treatment of ocular diseases. Vestn. Oftalmol. 1999, 115, 34–35. [Google Scholar]
- Mishchenko, N.P.; Fedoreev, S.A.; Bagirova, V.L. Histochrome: A New Original Domestic Drug. Pharm. Chem. J. 2003, 37, 48–52. [Google Scholar] [CrossRef]
- Hwang, J.-W.; Park, J.-H.; Park, B.-W.; Kim, H.; Kim, J.-J.; Sim, W.-S.; Mishchenko, N.P.; Fedoreyev, S.A.; Vasileva, E.A.; Ban, K.; et al. Histochrome Attenuates Myocardial Ischemia-Reperfusion Injury by Inhibiting Ferroptosis-Induced Cardiomyocyte Death. Antioxidants 2021, 10, 1624. [Google Scholar] [CrossRef]
- Artyukov, A.A.; Popov, A.M.; Tsybulsky, A.V.; Krivoshapko, O.N.; Polyakova, N.V. Pharmacological Activity of Echinochrome a Alone and in the Biologically Active Additive Timarin. Biochem. Suppl. Ser. B Biomed. Chem. 2013, 7, 237–242. [Google Scholar] [CrossRef]
- Munn, C.A. Mac On the Chromatology of the Blood of Some Invertebrates. J. Cell Sci. 1885, s2-25, 469–490. [Google Scholar] [CrossRef]
- Service, M.; Wardlaw, A.C. Echinochrome-A as a Bactericidal Substance in the Coelomic Fluid of Echinus esculentus (L.). Comp. Biochem. Physiol. Part B Comp. Biochem. 1984, 79, 161–165. [Google Scholar] [CrossRef]
- Artyukov, A.A.; Zelepuga, E.A.; Bogdanovich, L.N.; Lupach, N.M.; Novikov, V.L.; Rutckova, T.A.; Kozlovskaya, E.P. Marine Polyhydroxynaphthoquinone, Echinochrome A: Prevention of Atherosclerotic Inflammation and Probable Molecular Targets. J. Clin. Med. 2020, 9, 1494. [Google Scholar] [CrossRef] [PubMed]
- Dong, X.; Fu, J.; Yin, X.; Cao, S.; Li, X.; Lin, L.; Ni, J. Emodin: A Review of Its Pharmacology, Toxicity and Pharmacokinetics. Phytother. Res. 2016, 30, 1207–1218. [Google Scholar] [CrossRef]
- Stompor-Gorący, M. The Health Benefits of Emodin, a Natural Anthraquinone Derived from Rhubarb-A Summary Update. Int. J. Mol. Sci. 2021, 22, 9522. [Google Scholar] [CrossRef]
- de Mattos-Shipley, K.M.J.; Simpson, T.J. The “emodin Family” of Fungal Natural Products-Amalgamating a Century of Research with Recent Genomics-Based Advances. Nat. Prod. Rep. 2023, 40, 174–201. [Google Scholar] [CrossRef]
- Greco, G.; Turrini, E.; Catanzaro, E.; Fimognari, C. Marine Anthraquinones: Pharmacological and Toxicological Issues. Mar. Drugs 2021, 19, 272. [Google Scholar] [CrossRef]
- Hafez Ghoran, S.; Taktaz, F.; Ayatollahi, S.A.; Kijjoa, A. Anthraquinones and Their Analogues from Marine-Derived Fungi: Chemistry and Biological Activities. Mar. Drugs 2022, 20, 474. [Google Scholar] [CrossRef] [PubMed]
- Gomes, N.M.; Dethoup, T.; Singburaudom, N.; Gales, L.; Silva, A.M.S.; Kijjoa, A. Eurocristatine, a New Diketopiperazine Dimer from the Marine Sponge-Associated Fungus Eurotium cristatum. Phytochem. Lett. 2012, 5, 717–720. [Google Scholar] [CrossRef]
- Tuli, H.S.; Aggarwal, V.; Tuorkey, M.; Aggarwal, D.; Parashar, N.C.; Varol, M.; Savla, R.; Kaur, G.; Mittal, S.; Sak, K. Emodin: A Metabolite That Exhibits Anti-Neoplastic Activities by Modulating Multiple Oncogenic Targets. Toxicol. Vitr. 2021, 73, 105142. [Google Scholar] [CrossRef] [PubMed]
- Cao, M.; Fang, Y.; Jia, W.; Wang, Y.; Sun, J.; Tao, D. Emodin Relieves Hypoxia-Triggered Injury via Elevation of MicroRNA-25 in PC-12 Cells. Artif. Cells Nanomed. Biotechnol. 2019, 47, 2678–2687. [Google Scholar] [CrossRef] [PubMed]
- Ha, M.K.; Song, Y.H.; Jeong, S.J.; Lee, H.J.; Jung, J.H.; Kim, B.; Song, H.S.; Huh, J.E.; Kim, S.H. Emodin Inhibits Proinflammatory Responses and Inactivates Histone Deacetylase 1 in Hypoxic Rheumatoid Synoviocytes. Biol. Pharm. Bull. 2011, 34, 1432–1437. [Google Scholar] [CrossRef] [PubMed]
- Li, X.; Shan, C.; Wu, Z.; Yu, H.; Yang, A.; Tan, B. Emodin Alleviated Pulmonary Inflammation in Rats with LPS-Induced Acute Lung Injury through Inhibiting the MTOR/HIF-1α/VEGF Signaling Pathway. Inflamm. Res. 2020, 69, 365–373. [Google Scholar] [CrossRef]
- Qi, L.; Fu, Q.; Du, C.; Wu, D.; Zhang, G.; Yuan, B.; Yan, L. Amelioration of Hypoxia and LPS-Induced Intestinal Epithelial Barrier Dysfunction by Emodin through the Suppression of the NF-ΚB and HIF-1α Signaling Pathways. Int. J. Mol. Med. 2014, 34, 1629–1639. [Google Scholar] [CrossRef]
- Lv, B.; Zheng, K.; Sun, Y.; Wu, L.; Qiao, L.; Wu, Z.; Zhao, Y.; Zheng, Z. Network Pharmacology Experiments Show That Emodin Can Exert a Protective Effect on MCAO Rats by Regulating Hif-1α/VEGF-A Signaling. ACS Omega 2022, 7, 22577–22593. [Google Scholar] [CrossRef]
- Hu, L.; Cui, R.; Liu, H.; Wang, F. Emodin and Rhein Decrease Levels of Hypoxia-Inducible Factor-1a in Human Pancreatic Cancer Cells and Attenuate Cancer Cachexia in Athymic Mice Carrying These Cells. Oncotarget 2017, 8, 88008–88020. [Google Scholar] [CrossRef][Green Version]
- Shi, G.H.; Zhou, L. Emodin Suppresses Angiogenesis and Metastasis in Anaplastic Thyroid Cancer by Affecting TRAF6-Mediated Pathways in Vivo and in Vitro. Mol. Med. Rep. 2018, 18, 5191–5197. [Google Scholar] [CrossRef]
- Hwang, S.Y.; Heo, K.; Kim, J.S.; Im, J.W.; Lee, S.M.; Cho, M.; Kang, D.H.; Heo, J.; Lee, J.W.; Choi, C.W.; et al. Emodin Attenuates Radioresistance Induced by Hypoxia in HepG2 Cells via the Enhancement of PARP1 Cleavage and Inhibition of JMJD2B. Oncol. Rep. 2015, 33, 1691–1698. [Google Scholar] [CrossRef]
- Deboer, C.; Meulman, P.A.; Wnuk, R.J.; Peterson, D.H. Geldanamycin, a New Antibiotic. J. Antibiot. 1970, 23, 442–447. [Google Scholar] [CrossRef]
- Yi, K.-X.; Xie, Q.-Y.; Ma, Q.-Y.; Yang, L.; Dai, H.-F.; Zhao, Y.-X.; Hao, Y.-E. Diverse Ansamycin Derivatives from the Marine-Derived Streptomyces Sp. ZYX-F-97 and Their Antibacterial Activities. Fitoterapia 2024, 173, 105814. [Google Scholar] [CrossRef]
- Lu, X.; Zhang, M.; Qiu, Y.; Liu, X.; Wang, C.; Chen, J.; Zhang, H.; Wei, B.; Yu, Y.; Ying, Y.; et al. α-Glucosidase Inhibitors from Two Mangrove-Derived Actinomycetes. Molecules 2023, 28, 3822. [Google Scholar] [CrossRef] [PubMed]
- Yi, W.; Lian, X.-Y.; Zhang, Z. Cytotoxic Metabolites from the Marine-Associated Streptomyces Sp. ZZ1944. Phytochemistry 2022, 201, 113292. [Google Scholar] [CrossRef] [PubMed]
- Nong, X.-H.; Tu, Z.-C.; Qi, S.-H. Ansamycin Derivatives from the Marine-Derived Streptomyces Sp. SCSGAA 0027 and Their Cytotoxic and Antiviral Activities. Bioorg. Med. Chem. Lett. 2020, 30, 127168. [Google Scholar] [CrossRef]
- Whitesell, L.; Mimnaugh, E.G.; De Costa, B.; Myers, C.E.; Neckers, L.M. Inhibition of Heat Shock Protein HSP90-Pp60v-Src Heteroprotein Complex Formation by Benzoquinone Ansamycins: Essential Role for Stress Proteins in Oncogenic Transformation. Proc. Natl. Acad. Sci. USA 1994, 91, 8324–8328. [Google Scholar] [CrossRef] [PubMed]
- Roe, S.M.; Prodromou, C.; O’Brien, R.; Ladbury, J.E.; Piper, P.W.; Pearl, L.H. Structural Basis for Inhibition of the Hsp90 Molecular Chaperone by the Antitumor Antibiotics Radicicol and Geldanamycin. J. Med. Chem. 1999, 42, 260–266. [Google Scholar] [CrossRef] [PubMed]
- Avendaño, C.; Menéndez, J.C. Chapter 14—Miscellaneous Small- Molecule and Biological Approaches to Targeted Cancer Therapy. In Medicinal Chemistry of Anticancer Drugs, 3rd ed.; Avendaño, C., Menéndez, J.C., Eds.; Elsevier: Boston, MA, USA, 2023; pp. 743–822. ISBN 978-0-12-818549-0. [Google Scholar]
- Mabjeesh, N.J.; Post, D.E.; Willard, M.T.; Kaur, B.; Van Meir, E.G.; Simons, J.W.; Zhong, H. Geldanamycin Induces Degradation of Hypoxia-Inducible Factor 1alpha Protein via the Proteosome Pathway in Prostate Cancer Cells. Cancer Res. 2002, 62, 2478–2482. [Google Scholar] [PubMed]
- Suzuki, Y.; Kondo, Y.; Hara, S.; Kimata, R.; Nishimura, T. Effect of the Hsp90 Inhibitor Geldanamycin on Androgen Response of Prostate Cancer under Hypoxic Conditions. Int. J. Urol. 2010, 17, 281–285. [Google Scholar] [CrossRef]
- Alqawi, O.; Moghaddas, M.; Singh, G. Effects of Geldanamycin on HIF-1alpha Mediated Angiogenesis and Invasion in Prostate Cancer Cells. Prostate Cancer Prostatic Dis. 2006, 9, 126–135. [Google Scholar] [CrossRef]
- van der Bilt, J.D.W.; Soeters, M.E.; Duyverman, A.M.M.J.; Nijkamp, M.W.; Witteveen, P.O.; van Diest, P.J.; Kranenburg, O.; Borel Rinkes, I.H.M. Perinecrotic Hypoxia Contributes to Ischemia/Reperfusion-Accelerated Outgrowth of Colorectal Micrometastases. Am. J. Pathol. 2007, 170, 1379–1388. [Google Scholar] [CrossRef] [PubMed][Green Version]
- Koga, F.; Tsutsumi, S.; Neckers, L.M. Low Dose Geldanamycin Inhibits Hepatocyte Growth Factor and Hypoxia-Stimulated Invasion of Cancer Cells. Cell Cycle 2007, 6, 1393–1402. [Google Scholar] [CrossRef] [PubMed]
- Liu, Y.V.; Baek, J.H.; Zhang, H.; Diez, R.; Cole, R.N.; Semenza, G.L. RACK1 Competes with HSP90 for Binding to HIF-1alpha and Is Required for O(2)-Independent and HSP90 Inhibitor-Induced Degradation of HIF-1alpha. Mol. Cell 2007, 25, 207–217. [Google Scholar] [CrossRef] [PubMed]
- Mejia, E.J.; Loveridge, S.T.; Stepan, G.; Tsai, A.; Jones, G.S.; Barnes, T.; White, K.N.; Drašković, M.; Tenney, K.; Tsiang, M.; et al. Study of Marine Natural Products Including Resorcyclic Acid Lactones from Humicola fuscoatra That Reactivate Latent HIV-1 Expression in an in Vitro Model of Central Memory CD4+ T Cells. J. Nat. Prod. 2014, 77, 618–624. [Google Scholar] [CrossRef] [PubMed]
- Grkovic, T.; Whitson, E.L.; Rabe, D.C.; Gardella, R.S.; Bottaro, D.P.; Linehan, W.M.; McMahon, J.B.; Gustafson, K.R.; McKee, T.C. Identification and Evaluation of Soft Coral Diterpenes as Inhibitors of HIF-2α Induced Gene Expression. Bioorg. Med. Chem. Lett. 2011, 21, 2113–2115. [Google Scholar] [CrossRef]
- McKee, T.C.; Rabe, D.; Bokesch, H.R.; Grkovic, T.; Whitson, E.L.; Diyabalanage, T.; Van Wyk, A.W.W.; Marcum, S.R.; Gardella, R.S.; Gustafson, K.R.; et al. Inhibition of Hypoxia Inducible Factor-2 Transcription: Isolation of Active Modulators from Marine Sponges. J. Nat. Prod. 2012, 75, 1632–1636. [Google Scholar] [CrossRef]
- Schmitz, F.J.; Bloor, S.J. Xesto- and Halenaquinone Derivatives from a Sponge, Adocia Sp., from Truk lagoon. J. Org. Chem. 1988, 53, 3922–3925. [Google Scholar] [CrossRef]
- Concepción, G.P.; Foderaro, T.A.; Eldredge, G.S.; Lobkovsky, E.; Clardy, J.; Barrows, L.R.; Ireland, C.M. Topoisomerase II-Mediated DNA Cleavage by Adocia- and Xestoquinones from the Philippine Sponge Xestospongia Sp. J. Med. Chem. 1995, 38, 4503–4507. [Google Scholar] [CrossRef]
- Du, L.; Mahdi, F.; Datta, S.; Jekabsons, M.B.; Zhou, Y.-D.; Nagle, D.G. Structures and Mechanisms of Antitumor Agents: Xestoquinones Uncouple Cellular Respiration and Disrupt HIF Signaling in Human Breast Tumor Cells. J. Nat. Prod. 2012, 75, 1553–1559. [Google Scholar] [CrossRef]
- Cao, S.; Foster, C.; Brisson, M.; Lazo, J.S.; Kingston, D.G.I. Halenaquinone and Xestoquinone Derivatives, Inhibitors of Cdc25B Phosphatase from a Xestospongia Sp. Bioorg. Med. Chem. 2005, 13, 999–1003. [Google Scholar] [CrossRef]
- Isaac, B.G.; Ayer, S.W.; Elliott, R.C.; Stonard, R.J. Herboxidiene: A Potent Phytotoxic Polyketide from Streptomyces Sp. A7847. J. Org. Chem. 1992, 57, 7220–7226. [Google Scholar] [CrossRef]
- Damayanti, E.; Nisa, K.; Handayani, S.; Dewi, R.T.; Mustofa, M.; Dinoto, A.; Dinoto, A.; Widada, J. Cytotoxicity and Molecular Mechanism of Marine-Derived Streptomyces Sp. Gmy01 on Human Lung Cancer Cell Line A549. J. Appl. Pharm. Sci. 2021, 11, 46–55. [Google Scholar] [CrossRef]
- Hasegawa, M.; Miura, T.; Kuzuya, K.; Inoue, A.; Won Ki, S.; Horinouchi, S.; Yoshida, T.; Kunoh, T.; Koseki, K.; Mino, K.; et al. Identification of SAP155 as the Target of GEX1A (Herboxidiene), an Antitumor Natural Product. ACS Chem. Biol. 2011, 6, 229–233. [Google Scholar] [CrossRef] [PubMed]
- Kaida, D.; Motoyoshi, H.; Tashiro, E.; Nojima, T.; Hagiwara, M.; Ishigami, K.; Watanabe, H.; Kitahara, T.; Yoshida, T.; Nakajima, H.; et al. Spliceostatin A Targets SF3b and Inhibits Both Splicing and Nuclear Retention of Pre-MRNA. Nat. Chem. Biol. 2007, 3, 576–583. [Google Scholar] [CrossRef]
- Jung, H.J.; Kim, Y.; Shin, J.Y.; Sohng, J.K.; Kwon, H.J. Antiangiogenic Activity of Herboxidiene via Downregulation of Vascular Endothelial Growth Factor Receptor-2 and Hypoxia-Inducible Factor-1α. Arch. Pharm. Res. 2015, 38, 1728–1735. [Google Scholar] [CrossRef] [PubMed]
- Dai, J.; Liu, Y.; Jia, H.; Zhou, Y.D.; Nagle, D.G. Benzochromenones from the Marine Crinoid Comantheria Rotula Inhibit Hypoxia-Inducible Factor-1 (HIF-1) in Cell-Based Reporter Assays and Differentially Suppress the Growth of Certain Tumor Cell Lines. J. Nat. Prod. 2007, 70, 1462–1466. [Google Scholar] [CrossRef] [PubMed]
- Mabrouk, S.B.; Reis, M.; Sousa, M.L.; Ribeiro, T.; Almeida, J.R.; Pereira, S.; Antunes, J.; Rosa, F.; Vasconcelos, V.; Achour, L.; et al. The Marine Seagrass Halophila stipulacea as a Source of Bioactive Metabolites against Obesity and Biofouling. Mar. Drugs 2020, 18, 88. [Google Scholar] [CrossRef] [PubMed]
- Lee, B.; Kim, K.H.; Jung, H.J.; Kwon, H.J. Matairesinol Inhibits Angiogenesis via Suppression of Mitochondrial Reactive Oxygen Species. Biochem. Biophys. Res. Commun. 2012, 421, 76–80. [Google Scholar] [CrossRef] [PubMed]
- Hannan, M.A.; Dash, R.; Haque, M.N.; Mohibbullah, M.; Sohag, A.A.; Rahman, M.A.; Uddin, M.J.; Alam, M.; Moon, I.S. Neuroprotective Potentials of Marine Algae and Their Bioactive Metabolites: Pharmacological Insights and Therapeutic Advances. Mar. Drugs 2020, 18, 347. [Google Scholar] [CrossRef] [PubMed]
- Ferreres, F.; Lopes, G.; Gil-Izquierdo, A.; Andrade, P.B.; Sousa, C.; Mouga, T.; Valentão, P. Phlorotannin Extracts from Fucales Characterized by HPLC-DAD-ESI-MSn: Approaches to Hyaluronidase Inhibitory Capacity and Antioxidant Properties. Mar. Drugs 2012, 10, 2766–2781. [Google Scholar] [CrossRef]
- Wijesekara, I.; Yoon, N.Y.; Kim, S.-K. Phlorotannins from Ecklonia cava (Phaeophyceae): Biological Activities and Potential Health Benefits. BioFactors 2010, 36, 408–414. [Google Scholar] [CrossRef]
- Lopes, G.; Andrade, P.B.; Valentão, P. Phlorotannins: Towards New Pharmacological Interventions for Diabetes Mellitus Type 2. Molecules 2017, 22, 56. [Google Scholar] [CrossRef]
- Yang, S.; Liu, Y.; Xiao, Z.; Tang, Y.; Hong, P.; Sun, S.; Zhou, C.; Qian, Z.J. Inhibition Effects of 7-Phloro-Eckol from Ecklonia cava on Metastasis and Angiogenesis Induced by Hypoxia through Regulation of AKT/MTOR and ERK Signaling Pathways. Arab. J. Chem. 2021, 14, 103187. [Google Scholar] [CrossRef]
- Hodges, T.W.; Hossain, C.F.; Kim, Y.P.; Zhou, Y.D.; Nagle, D.G. Molecular-Targeted Antitumor Agents: The Saururus cernuus Dineolignans Manassantin B and 4-O-Demethylmanassantin B Are Potent Inhibitors of Hypoxia-Activated HIF-1. J. Nat. Prod. 2004, 67, 767–771. [Google Scholar] [CrossRef] [PubMed]
- Hossain, C.F.; Kim, Y.P.; Baerson, S.R.; Zhang, L.; Bruick, R.K.; Mohammed, K.A.; Agarwal, A.K.; Nagle, D.G.; Zhou, Y.D. Saururus cernuus Lignans—Potent Small Molecule Inhibitors of Hypoxia-Inducible Factor-1. Biochem. Biophys. Res. Commun. 2005, 333, 1026–1033. [Google Scholar] [CrossRef]
- Dai, J.; Liu, Y.; Zhou, Y.D.; Nagle, D.G. Cytotoxic Metabolites from an Indonesian Sponge Lendenfeldia Sp. J. Nat. Prod. 2007, 70, 1824–1826. [Google Scholar] [CrossRef]
- Wang, J.; Zhang, M.; Yang, J.; Yang, X.; Zhang, J.; Zhao, Z. Type A Trichothecene Metabolic Profile Differentiation, Mechanisms, Biosynthetic Pathways, and Evolution in Fusarium Species—A Mini Review. Toxins 2023, 15, 446. [Google Scholar] [CrossRef]
- McCormick, S.P.; Stanley, A.M.; Stover, N.A.; Alexander, N.J. Trichothecenes: From Simple to Complex Mycotoxins. Toxins 2011, 3, 802–814. [Google Scholar] [CrossRef] [PubMed]
- Choi, Y.J.; Shin, H.W.; Chun, Y.S.; Leutou, A.S.; Son, B.W.; Park, J.W. Diacetoxyscirpenol as a New Anticancer Agent to Target Hypoxiainducible Factor 1. Oncotarget 2016, 7, 62107–62122. [Google Scholar] [CrossRef]
- Wu, Q.; Wu, W.; Kuca, K. From Hypoxia and Hypoxia-Inducible Factors (HIF) to Oxidative Stress: A New Understanding of the Toxic Mechanism of Mycotoxins. Food Chem. Toxicol. 2020, 135, 110968. [Google Scholar] [CrossRef] [PubMed]
- Arai, M.; Kawachi, T.; Sato, H.; Setiawan, A.; Kobayashi, M. Marine Spongian Sesquiterpene Phenols, Dictyoceratin-C and Smenospondiol, Display Hypoxia-Selective Growth Inhibition against Cancer Cells. Bioorg. Med. Chem. Lett. 2014, 24, 3155–3157. [Google Scholar] [CrossRef]
- Nakamura, H.; Deng, S.; Kobayashi, J.; Ohizumi, Y.; Hirata, Y. Dictyoceratin-A and -B, Novel Antimicrobial Terpenoids from the Okinawan Marine Sponge Hipposponqia Sp. Tetrahedron 1986, 42, 4197–4201. [Google Scholar] [CrossRef]
- Kushlan, D.M.; Faulkner, D.J.; Parkanyi, L.; Clardy, J. Metabolites of the Palauan Sponge Dactylospongia Sp. Tetrahedron 1989, 45, 3307–3312. [Google Scholar] [CrossRef]
- Shen, Y.C.; Hsieh, P.W. New Sesquiterpene Hydroquinones from a Taiwanese Marine Sponge Polyfibrospongia australis. J. Nat. Prod. 1997, 60, 93–97. [Google Scholar] [CrossRef] [PubMed]
- Cao, S.; Gao, Z.; Thomas, S.J.; Hecht, S.M.; Lazo, J.S.; Kingston, D.G.I. Marine Sesquiterpenoids That Inhibit the Lyase Activity of DNA Polymerase Beta. J. Nat. Prod. 2004, 67, 1716–1718. [Google Scholar] [CrossRef] [PubMed]
- Sumii, Y.; Kotoku, N.; Fukuda, A.; Kawachi, T.; Arai, M.; Kobayashi, M. Structure-Activity Relationship and in Vivo Anti-Tumor Evaluations Ofdictyoceratin-A and-C,Hypoxia-Selective Growth Inhibitors from Marine Sponge. Mar. Drugs 2015, 13, 7419–7432. [Google Scholar] [CrossRef] [PubMed]
- Sumii, Y.; Kotoku, N.; Fukuda, A.; Kawachi, T.; Sumii, Y.; Arai, M.; Kobayashi, M. Enantioselective Synthesis of Dictyoceratin-A (Smenospondiol) and -C, Hypoxia-Selective Growth Inhibitors from Marine Sponge. Bioorg. Med. Chem. 2015, 23, 966–975. [Google Scholar] [CrossRef] [PubMed]
- Kawachi, T.; Tanaka, S.; Fukuda, A.; Sumii, Y.; Setiawan, A.; Kotoku, N.; Kobayashi, M.; Arai, M. Target Identification of the Marine Natural Products Dictyoceratin-A and -C as Selective Growth Inhibitors in Cancer Cells Adapted to Hypoxic Environments. Mar. Drugs 2019, 17, 163. [Google Scholar] [CrossRef] [PubMed]
- Ravi, B.N.; Perzanowski, H.P.; Ross, R.A.; Erdman, T.R.; Scheuer, P.J.; Finer, J.; Clardy, J. Recent Research in Marine Natural Products: The Puupehenones. Pure Appl. Chem. 1979, 51, 1893–1900. [Google Scholar] [CrossRef]
- Amade, P.; Chevelot, L.; Perzanowski, H.P.; Scheuer, P.J. A Dimer of Puupehenone. Helv. Chim. Acta 1983, 66, 1672–1675. [Google Scholar] [CrossRef]
- Nasu, S.S.; Yeung, B.K.S.; Hamann, M.T.; Scheuer, P.J.; Kelly-Borges, M.; Goins, K. Puupehenone-Related Metabolites from Two Hawaiian Sponges, Hyrtios Spp. J. Org. Chem. 1995, 60, 7290–7292. [Google Scholar] [CrossRef]
- Piña, I.C.; Sanders, M.L.; Crews, P. Puupehenone Congeners from an Indo-Pacific Hyrtios Sponge. J. Nat. Prod. 2003, 66, 2–6. [Google Scholar] [CrossRef]
- Robinson, S.J.; Hoobler, E.K.; Riener, M.; Loveridge, S.T.; Tenney, K.; Valeriote, F.A.; Holman, T.R.; Crews, P. Using Enzyme Assays to Evaluate the Structure and Bioactivity of Sponge-Derived Meroterpenes. J. Nat. Prod. 2009, 72, 1857–1863. [Google Scholar] [CrossRef]
- Kohmoto, S.; McConnell, O.J.; Wright, A.; Koehn, F.; Thompson, W.; Lui, M.; Snader, K.M. Puupehenone, a Cytotoxic Metabolite from a Deep Water Marine Sponge, Stronglyophora hartmani. J. Nat. Prod. 1987, 50, 336. [Google Scholar] [CrossRef]
- Coval, S.J.; Conover, M.A.; Mierzwa, R.; King, A.; Puar, M.S.; Phife, D.W.; Pai, J.-K.; Burrier, R.E.; Ahn, H.-S.; Boykow, G.C.; et al. Wiedendiol-A and -B, Cholesteryl Ester Transfer Protein Inhibitors from the Marine Sponge Xestospongia wiedenmayeri. Bioorg. Med. Chem. Lett. 1995, 5, 605–610. [Google Scholar] [CrossRef]
- Ueda, K.; Ueta, T.; Siwu, E.R.O.; Kita, M.; Uemura, D. Haterumadienone: A New Puupehenone Congener from an Okinawan Marine Sponge, Dysidea Sp. Chem. Lett. 2005, 34, 1530–1531. [Google Scholar] [CrossRef]
- Utkina, N.K.; Denisenko, V.A.; Krasokhin, V.B. Diplopuupehenone, a New Unsymmetrical Puupehenone-Related Dimer from the Marine Sponge Dysidea Sp. Tetrahedron Lett. 2011, 52, 3765–3768. [Google Scholar] [CrossRef]
- Hagiwara, K.; Garcia Hernandez, J.E.; Harper, M.K.; Carroll, A.; Motti, C.A.; Awaya, J.; Nguyen, H.-Y.; Wright, A.D. Puupehenol, a Potent Antioxidant Antimicrobial Meroterpenoid from a Hawaiian Deep-Water Dactylospongia Sp. Sponge. J. Nat. Prod. 2015, 78, 325–329. [Google Scholar] [CrossRef] [PubMed]
- Amagata, T.; Whitman, S.; Johnson, T.A.; Stessman, C.C.; Loo, C.P.; Lobkovsky, E.; Clardy, J.; Crews, P.; Holman, T.R. Exploring Sponge-Derived Terpenoids for Their Potency and Selectivity against 12-Human, 15-Human, and 15-Soybean Lipoxygenases. J. Nat. Prod. 2003, 66, 230–235. [Google Scholar] [CrossRef] [PubMed]
- Castro, M.E.; González-Iriarte, M.; Barrero, A.F.; Salvador-Tormo, N.; Muñoz-Chápuli, R.; Medina, M.A.; Quesada, A.R. Study of Puupehenone and Related Compounds as Inhibitors of Angiogenesis. Int. J. Cancer 2004, 110, 31–38. [Google Scholar] [CrossRef] [PubMed]
- Douat-Casassus, C.; Marchand-Geneste, N.; Diez, E.; Aznar, C.; Picard, P.; Geoffre, S.; Huet, A.; Bourguet-Kondracki, M.-L.; Gervois, N.; Jotereau, F.; et al. Covalent Modification of a Melanoma-Derived Antigenic Peptide with a Natural Quinone Methide. Preliminary Chemical, Molecular Modelling and Immunological Evaluation Studies. Mol. BioSyst. 2006, 2, 240–249. [Google Scholar] [CrossRef]
- Mohammed, K.A.; Hossain, C.F.; Zhang, L.; Bruick, R.K.; Zhou, Y.D.; Nagle, D.G. Laurenditerpenol, a New Diterpene from the Tropical Marine Alga Laurencia intricata That Potently Inhibits HIF-1 Mediated Hypoxic Signaling in Breast Tumor Cells. J. Nat. Prod. 2004, 67, 2002–2007. [Google Scholar] [CrossRef]
- Braekman, J.C.; Daloze, D.; Hulot, G.; Tursch, B.; Declercq, J.P.; Germain, G.; van Meerssche, M. Chemical Studies of Marine Invertebrates. XXXVII(1). Three Novel Meroditerpenoids from the Sponge Strongylophora Durissima(2). Bull. Sociétés Chim. Belg. 1978, 87, 917–926. [Google Scholar] [CrossRef]
- McHardy, L.M.; Warabi, K.; Andersen, R.J.; Roskelley, C.D.; Roberge, M. Strongylophorine-26, a Rho-Dependent Inhibitor of Tumor Cell Invasion That Reduces Actin Stress Fibers and Induces Nonpolarized Lamellipodial Extensions. Mol. Cancer Ther. 2005, 4, 772–778. [Google Scholar] [CrossRef] [PubMed]
- Noda, A.; Sakai, E.; Kato, H.; Losung, F.; Mangindaan, R.E.P.; de Voogd, N.J.; Yokosawa, H.; Tsukamoto, S. Strongylophorines, Meroditerpenoids from the Marine Sponge Petrosia corticata, Function as Proteasome Inhibitors. Bioorg. Med. Chem. Lett. 2015, 25, 2650–2653. [Google Scholar] [CrossRef] [PubMed]
- Mohammed, K.A.; Jadulco, R.C.; Bugni, T.S.; Harper, M.K.; Sturdy, M.; Ireland, C.M. Strongylophorines: Natural Product Inhibitors of Hypoxia-Inducible Factor-1 Transcriptional Pathway. J. Med. Chem. 2008, 51, 1402–1405. [Google Scholar] [CrossRef] [PubMed]
- Dai, J.; Liu, Y.; Zhou, Y.-D.; Nagle, D.G. Hypoxia-Selective Antitumor Agents: Norsesterterpene Peroxides from the Marine Sponge Diacarnus levii Preferentially Suppress the Growth of Tumor Cells under Hypoxic Conditions. J. Nat. Prod. 2007, 70, 130–133. [Google Scholar] [CrossRef]
- Erdogan-Orhan, I.; Sener, B.; de Rosa, S.; Perez-Baz, J.; Lozach, O.; Leost, M.; Rakhilin, S.; Meijer, L. Polyprenyl-Hydroquinones and -Furans from Three Marine Sponges Inhibit the Cell Cycle Regulating Phosphatase CDC25A. Nat. Prod. Res. 2004, 18, 1–9. [Google Scholar] [CrossRef]
- Tasdemir, D.; Bugni, T.S.; Mangalindan, G.C.; Concepción, G.P.; Harper, M.K.; Ireland, C.M. Cytotoxic Bromoindole Derivatives and Terpenes from the Philippine Marine Sponge Smenospongia Sp. Z. Naturforsch. C 2002, 57, 914–922. [Google Scholar] [CrossRef]
- Cimino, G.; De Stefano, S.; Minale, L. Polyprenyl Derivatives from the Sponge Ircinia spinosula: 2-Polyprenylbenzoquinones, 2-Polyprenylbenzoquinols, Prenylated Furans and a C-31 Difuranoterpene. Tetrahedron 1972, 28, 1315–1324. [Google Scholar] [CrossRef]
- McPhail, K.; Davies-Coleman, M.T.; Coetzee, P. A New Furanosesterterpene from the South African Nudibranch Hypselodoris capensis and a Dictyoceratida Sponge. J. Nat. Prod. 1998, 61, 961–964. [Google Scholar] [CrossRef] [PubMed]
- Erdoǧan, I.; Şener, B. Two Metabolites from Tbe Marine Sponge Spongia officinalis L. Acta Pharm. Turc. 2001, 43, 17–19. [Google Scholar]
- Prawat, H.; Mahidol, C.; Kaweetripob, W.; Wittayalai, S.; Ruchirawat, S. Iodo–Sesquiterpene Hydroquinone and Brominated Indole Alkaloids from the Thai Sponge Smenospongia Sp. Tetrahedron 2012, 68, 6881–6886. [Google Scholar] [CrossRef]
- Arai, M.; Kawachi, T.; Setiawan, A.; Kobayashi, M. Hypoxia-Selective Growth Inhibition of Cancer Cells by Furospinosulin-1, a Furanosesterterpene Isolated from an Indonesian Marine Sponge. ChemMedChem 2010, 5, 1919–1926. [Google Scholar] [CrossRef] [PubMed]
- Arai, M.; Kawachi, T.; Kotoku, N.; Nakata, C.; Kamada, H.; Tsunoda, S.; Tsutsumi, Y.; Endo, H.; Inoue, M.; Sato, H.; et al. Furospinosulin-1, Marine Spongean Furanosesterterpene, Suppresses the Growth of Hypoxia-Adapted Cancer Cells by Binding to Transcriptional Regulators P54(Nrb) and LEDGF/P75. ChemBioChem 2016, 17, 181–189. [Google Scholar] [CrossRef] [PubMed]
- Kashman, Y.; Zviely, M. Furospongolide, a New C21 Furanoterpene from a Marine Organism. Experientia 1980, 36, 1279. [Google Scholar] [CrossRef]
- Liu, Y.; Liu, R.; Mao, S.-C.; Morgan, J.B.; Jekabsons, M.B.; Zhou, Y.-D.; Nagle, D.G. Molecular-Targeted Antitumor Agents. 19. Furospongolide from a Marine Lendenfeldia Sp. Sponge Inhibits Hypoxia-Inducible Factor-1 Activation in Breast Tumor Cells. J. Nat. Prod. 2008, 71, 1854–1860. [Google Scholar] [CrossRef]
- Manzo, E.; Ciavatta, M.L.; Villani, G.; Varcamonti, M.; Sayem, S.M.A.; van Soest, R.; Gavagnin, M. Bioactive Terpenes from Spongia Officinalis. J. Nat. Prod. 2011, 74, 1241–1247. [Google Scholar] [CrossRef]
- Li, J.; Du, L.; Kelly, M.; Zhou, Y.-D.; Nagle, D.G. Structures and Potential Antitumor Activity of Sesterterpenes from the Marine Sponge Hyrtios communis. J. Nat. Prod. 2013, 76, 1492–1497. [Google Scholar] [CrossRef]
- Albizati, K.F.; Holman, T.; Faulkner, D.J.; Glaser, K.B.; Jacobs, R.S. Luffariellolide, an Anti-Inflammatory Sesterterpene from the Marine Sponge Luffariella Sp. Experientia 1987, 43, 949–950. [Google Scholar] [CrossRef]
- Tasdemir, D.; Concepción, G.P.; Mangalindan, G.C.; Harper, M.K.; Hajdu, E.; Ireland, C.M. New Terpenoids from a Cacospongia Sp. from the Philippines. Tetrahedron 2000, 56, 9025–9030. [Google Scholar] [CrossRef]
- Elkhayat, E.; Edrada, R.; Ebel, R.; Wray, V.; van Soest, R.; Wiryowidagdo, S.; Mohamed, M.H.; Müller, W.E.G.; Proksch, P. New Luffariellolide Derivatives from the Indonesian Sponge Acanthodendrilla Sp. J. Nat. Prod. 2004, 67, 1809–1817. [Google Scholar] [CrossRef] [PubMed]
- Cao, S.; Foster, C.; Lazo, J.S.; Kingston, D.G.I. Sesterterpenoids and an Alkaloid from a Thorectandra Sp. as Inhibitors of the Phosphatase Cdc25B. Bioorg. Med. Chem. 2005, 13, 5094–5098. [Google Scholar] [CrossRef]
- Blanchard, J.L.; Epstein, D.M.; Boisclair, M.D.; Rudolph, J.; Pal, K. Dysidiolide and Related γ-Hydroxy Butenolide Compounds as Inhibitors of the Protein Tyrosine Phosphatase, CDC25. Bioorg. Med. Chem. Lett. 1999, 9, 2537–2538. [Google Scholar] [CrossRef] [PubMed]
- Wang, S.; Wang, Z.; Lin, S.; Zheng, W.; Wang, R.; Jin, S.; Chen, J.; Jin, L.; Li, Y. Revealing a Natural Marine Product as a Novel Agonist for Retinoic Acid Receptors with a Unique Binding Mode and Inhibitory Effects on Cancer Cells. Biochem. J. 2012, 446, 79–87. [Google Scholar] [CrossRef] [PubMed]
- Minamida, Y.; Matsuura, H.; Ishii, T.; Miyagi, M.; Shinjo, Y.; Sato, K.; Kamada, T.; Mihara, Y.; Togashi, I.; Sugimoto, K.; et al. New Acetogenin Katsuurallene from Laurencia Saitoi Collected from Katsuura, Japan. Nat. Prod. Bioprospect. 2022, 12, 10. [Google Scholar] [CrossRef] [PubMed]
- Lorenzo-Morales, J.; Díaz-Marrero, A.R.; Cen-Pacheco, F.; Sifaoui, I.; Reyes-Batlle, M.; Souto, M.L.; Daranas, A.H.; Piñero, J.E.; Fernández, J.J. Evaluation of Oxasqualenoids from the Red Alga Laurencia viridis against Acanthamoeba. Mar. Drugs 2019, 17, 420. [Google Scholar] [CrossRef]
- Koutsaviti, A.; Daskalaki, M.G.; Agusti, S.; Kampranis, S.C.; Tsatsanis, C.; Duarte, C.M.; Roussis, V.; Ioannou, E. Thuwalallenes A–E and Thuwalenynes A–C: New C15 Acetogenins with Anti-Inflammatory Activity from a Saudi Arabian Red Sea Laurencia Sp. Mar. Drugs 2019, 17, 644. [Google Scholar] [CrossRef] [PubMed]
- Li, X.-D.; Miao, F.-P.; Li, K.; Ji, N.-Y. Sesquiterpenes and Acetogenins from the Marine Red Alga Laurencia okamurai. Fitoterapia 2012, 83, 518–522. [Google Scholar] [CrossRef]
- Ji, N.-Y.; Li, X.-M.; Xie, H.; Ding, J.; Li, K.; Ding, L.-P.; Wang, B.-G. Highly Oxygenated Triterpenoids from the Marine Red Alga Laurencia mariannensis (Rhodomelaceae). Helv. Chim. Acta 2008, 91, 1940–1946. [Google Scholar] [CrossRef]
- Blunt, J.W.; Hartshorn, M.P.; McLennan, T.J.; Munro, M.H.G.; Robinson, W.T.; Yorke, S.C. Thyrsiferol: A Squalene-Derived Metabolite of Laurencia Thyrsifera. Tetrahedron Lett. 1978, 19, 69–72. [Google Scholar] [CrossRef]
- Mahdi, F.; Falkenberg, M.; Ioannou, E.; Roussis, V.; Zhou, Y.D.; Nagle, D.G. Thyrsiferol Inhibits Mitochondrial Respiration and HIF-1 Activation. Phytochem. Lett. 2011, 4, 75–78. [Google Scholar] [CrossRef]
- Rudi, A.; Goldberg, I.; Stein, Z.; Benayahu, Y.; Schleyer, M.; Kashman, Y. Sodwanones A-C, Three New Triterpenoids from a Marine Sponge. Tetrahedron Lett. 1993, 34, 3943–3944. [Google Scholar] [CrossRef]
- Rudi, A.; Kashman, Y.; Benayahu, Y.; Schleyer, M. Sodwanones A-F, New Triterpenoids from the Marine Sponge Axinella weltneri. J. Nat. Prod. 1994, 57, 1416–1423. [Google Scholar] [CrossRef]
- Rudi, A.; Goldberg, I.; Stein, Z.; Kashman, Y.; Benayahu, Y.; Schleyer, M.; Garcia Gravalos, M.D. Sodwanones G, H, and I, New Cytotoxic Triterpenes from a Marine Sponge. J. Nat. Prod. 1995, 58, 1702–1712. [Google Scholar] [CrossRef]
- Rudi, A.; Aknin, M.; Gaydou, E.M.; Kashman, Y. Sodwanones K, L, and M; New Triterpenes from the Marine Sponge Axinella weltneri. J. Nat. Prod. 1997, 60, 700–703. [Google Scholar] [CrossRef]
- Rudi, A.; Yosief, T.; Schleyer, M.; Kashman, Y. Several New Isoprenoids from Two Marine Sponges of the Family Axinellidae. Tetrahedron 1999, 55, 5555–5566. [Google Scholar] [CrossRef]
- Carletti, I.; Long, C.; Funel, C.; Amade, P. Yardenone A and B: New Cytotoxic Triterpenes from the Indian Ocean Sponge Axinella Cf. Bidderi. J. Nat. Prod. 2003, 66, 25–29. [Google Scholar] [CrossRef]
- Funel, C.; Berrué, F.; Roussakis, C.; Fernandez Rodriguez, R.; Amade, P. New Cytotoxic Steroids from the Indian Ocean Sponge Axinella Cf. Bidderi. J. Nat. Prod. 2004, 67, 491–494. [Google Scholar] [CrossRef]
- Dai, J.; Fishback, J.A.; Zhou, Y.-D.; Nagle, D.G. Sodwanone and Yardenone Triterpenes from a South African Species of the Marine Sponge Axinella Inhibit Hypoxia-Inducible Factor-1 (HIF-1) Activation in Both Breast and Prostate Tumor Cells. J. Nat. Prod. 2006, 69, 1715–1720. [Google Scholar] [CrossRef]
- Rudi, A.; Stein, Z.; Goldberg, I.; Yosief, T.; Kashman, Y.; Schleyer, M. Yardenone and Abudinol Two New Triterpenes from the Marine Sponge Ptilocaulis spiculifer. Tetrahedron Lett. 1998, 39, 1445–1448. [Google Scholar] [CrossRef]
- Tabudravu, J.N.; Jaspars, M. Stelliferin Riboside, a Triterpene Monosaccharide Isolated from the Fijian Sponge Geodia globostellifera. J. Nat. Prod. 2001, 64, 813–815. [Google Scholar] [CrossRef]
- Liu, W.K.; Ho, J.C.K.; Che, C.T. Apoptotic Activity of Isomalabaricane Triterpenes on Human Promyelocytic Leukemia HL60 Cells. Cancer Lett. 2005, 230, 102–110. [Google Scholar] [CrossRef]
- Wang, R.; Zhang, Q.; Peng, X.; Zhou, C.; Zhong, Y.; Chen, X.; Qiu, Y.; Jin, M.; Gong, M.; Kong, D. Stellettin B Induces G1 Arrest, Apoptosis and Autophagy in Human Non-Small Cell Lung Cancer A549 Cells via Blocking PI3K/Akt/MTOR Pathway. Sci. Rep. 2016, 6, 27071. [Google Scholar] [CrossRef]
- Chen, Y.; Zhou, Q.; Zhang, L.; Zhong, Y.; Fan, G.; Zhang, Z.; Wang, R.; Jin, M.; Qiu, Y.; Kong, D. Stellettin B Induces Apoptosis in Human Chronic Myeloid Leukemia Cells via Targeting PI3K and Stat5. Oncotarget 2017, 8, 28906–28921. [Google Scholar] [CrossRef]
- Tasdemir, D.; Mangalindan, G.C.; Concepción, G.P.; Verbitski, S.M.; Rabindran, S.; Miranda, M.; Greenstein, M.; Hooper, J.N.A.; Harper, M.K.; Ireland, C.M. Bioactive Isomalabaricane Triterpenes from the Marine Sponge Rhabdastrella globostellata. J. Nat. Prod. 2002, 65, 210–214. [Google Scholar] [CrossRef] [PubMed]
- Chang, C.H.; Lin, B.J.; Chen, C.H.; Nguyen, N.L.; Hsieh, T.H.; Su, J.H.; Chen, M.C. Stellettin B Induces Cell Death in Bladder Cancer via Activating the Autophagy/DAPK2/Apoptosis Signaling Cascade. Mar. Drugs 2023, 21, 73. [Google Scholar] [CrossRef]
- Tsai, T.C.; Wu, W.T.; Lin, J.J.; Su, J.H.; Wu, Y.J. Stellettin B Isolated from Stelletta Sp. Reduces Migration and Invasion of Hepatocellular Carcinoma Cells through Reducing Activation of the MAPKs and FAK/PI3K/AKT/MTOR Signaling Pathways. Int. J. Cell Biol. 2022, 2022, 4416611. [Google Scholar] [CrossRef] [PubMed]
- Li, Y.; Tang, H.; Tian, X.; Lin, H.; Wang, M.; Yao, M. Three New Cytotoxic Isomalabaricane Triterpenes from the Marine Sponge Stelletta tenuis. Fitoterapia 2015, 106, 226–230. [Google Scholar] [CrossRef] [PubMed]
- Tang, S.-A.; Zhou, Q.; Guo, W.-Z.; Qiu, Y.; Wang, R.; Jin, M.; Zhang, W.; Li, K.; Yamori, T.; Dan, S.; et al. In Vitro Antitumor Activity of Stellettin B, a Triterpene from Marine Sponge Jaspis stellifera, on Human Glioblastoma Cancer SF295 Cells. Mar. Drugs 2014, 12, 4200–4213. [Google Scholar] [CrossRef]
- Cheng, S.Y.; Chen, N.F.; Lin, P.Y.; Su, J.H.; Chen, B.H.; Kuo, H.M.; Sung, C.S.; Sung, P.J.; Wen, Z.H.; Chen, W.F. Anti-Invasion and Antiangiogenic Effects of Stellettin B through Inhibition of the Akt/Girdin Signaling Pathway and VEGF in Glioblastoma Cells. Cancers 2019, 11, 220. [Google Scholar] [CrossRef] [PubMed]
- Kuo, T.J.; Jean, Y.H.; Shih, P.C.; Cheng, S.Y.; Kuo, H.M.; Lee, Y.T.; Lai, Y.C.; Tseng, C.C.; Chen, W.F.; Wen, Z.H. Stellettin B-Induced Oral Cancer Cell Death via Endoplasmic Reticulum Stress–Mitochondrial Apoptotic and Autophagic Signaling Pathway. Int. J. Mol. Sci. 2022, 23, 8813. [Google Scholar] [CrossRef]
- Bukowski, R.; Vaughn, C.; Bottomley, R.; Chen, T. Phase II Study of Anguidine in Gastrointestinal Malignancies: A Southwest Oncology Group Study. Cancer Treat. Rep. 1982, 66, 381–383. [Google Scholar] [PubMed]
- Yap, H.Y.; Murphy, W.K.; DiStefano, A.; Blumenschein, G.R.; Bodey, G.P. Phase II Study of Anguidine in Advanced Breast Cancer. Cancer Treat. Rep. 1979, 63, 789–791. [Google Scholar] [PubMed]
- Dosik, G.M.; Barlogie, B.; Johnston, D.A.; Murphy, W.K.; Drewinko, B. Lethal and Cytokinetic Effects of Anguidine on a Human Colon Cancer Cell Line. Cancer Res. 1978, 38, 3304–3309. [Google Scholar] [PubMed]
- Chang, A.Y.; Kim, K.; Boucher, H.; Bonomi, P.; Stewart, J.A.; Karp, D.D.; Blum, R.H. A Randomized Phase II Trial of Echinomycin, Trimetrexate, and Cisplatin plus Etoposide in Patients with Metastatic Nonsmall Cell Lung Carcinoma: An Eastern Cooperative Oncology Group Study (E1587). Cancer 1998, 82, 292–300. [Google Scholar] [CrossRef]
- Schilsky, R.L.; Faraggi, D.; Korzun, A.; Vogelzang, N.; Ellerton, J.; Wood, W.; Henderson, I.C. Phase II Study of Echinomycin in Patients with Advanced Breast Cancer: A Report of Cancer and Leukemia Group B Protocol 8641. Investig. New Drugs 1991, 9, 269–272. [Google Scholar] [CrossRef]
- Marshall, M.E.; Wolf, M.K.; Crawford, E.D.; Taylor, S.; Blumenstein, B.; Flanigan, R.; Meyers, F.J.; Hynes, H.E.; Barlogie, B.; Eisenberger, M. Phase II Trial of Echinomycin for the Treatment of Advanced Renal Cell Carcinoma. A Southwest Oncology Group Study. Investig. New Drugs 1993, 11, 207–209. [Google Scholar] [CrossRef]
- Bailey, C.M.; Liu, Y.; Peng, G.; Zhang, H.; He, M.; Sun, D.; Zheng, P.; Liu, Y.; Wang, Y. Liposomal Formulation of HIF-1α Inhibitor Echinomycin Eliminates Established Metastases of Triple-Negative Breast Cancer. Nanomedicine 2020, 29, 102278. [Google Scholar] [CrossRef]
- Comas, L.; Polo, E.; Domingo, M.P.; Hernández, Y.; Arias, M.; Esteban, P.; Martínez-Lostao, L.; Pardo, J.; Martínez de la Fuente, J.; Gálvez, E.M. Intracellular Delivery of Biologically-Active Fungal Metabolite Gliotoxin Using Magnetic Nanoparticles. Materials 2019, 12, 1092. [Google Scholar] [CrossRef]
- Manh Hung, L.V.; Song, Y.W.; Cho, S.K. Effects of the Combination of Gliotoxin and Adriamycin on the Adriamycin-Resistant Non-Small-Cell Lung Cancer A549 Cell Line. Mar. Drugs 2018, 16, 105. [Google Scholar] [CrossRef]
- Turbyville, T.J.; Wijeratne, E.M.K.; Liu, M.X.; Burns, A.M.; Seliga, C.J.; Luevano, L.A.; David, C.L.; Faeth, S.H.; Whitesell, L.; Gunatilaka, A.A.L. Search for Hsp90 Inhibitors with Potential Anticancer Activity: Isolation and SAR Studies of Radicicol and Monocillin I from Two Plant-Associated Fungi of the Sonoran Desert. J. Nat. Prod. 2006, 69, 178–184. [Google Scholar] [CrossRef] [PubMed]
- Dethe, D.H.; Sau, S.K. Total Synthesis of (+)-Strongylophorines 2 and 9. Org. Lett. 2019, 21, 3799–3803. [Google Scholar] [CrossRef]
Disclaimer/Publisher’s Note: The statements, opinions and data contained in all publications are solely those of the individual author(s) and contributor(s) and not of MDPI and/or the editor(s). MDPI and/or the editor(s) disclaim responsibility for any injury to people or property resulting from any ideas, methods, instructions or products referred to in the content. |
© 2024 by the authors. Licensee MDPI, Basel, Switzerland. This article is an open access article distributed under the terms and conditions of the Creative Commons Attribution (CC BY) license (https://creativecommons.org/licenses/by/4.0/).







