Halo- and Thiocarbazomycins from Coral- and Coral Reef Sands-Derived Actinomycetes
Abstract
:1. Introduction
2. Results
2.1. Strain Isolation and Identification
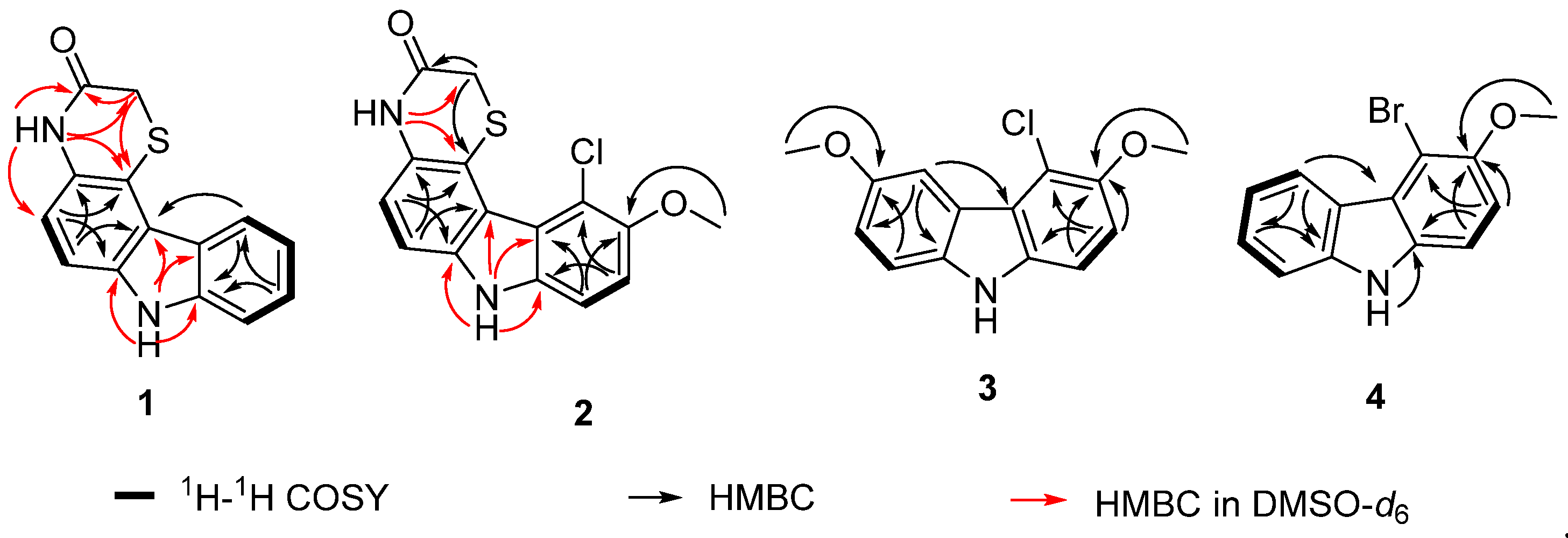
2.2. Structure Elucidation
2.3. Antibacterial Activity
3. Discussion
4. Materials and Methods
4.1. General Eexperimental Procedures
4.2. Optimization of Fermentation Medium for S. diacarni SCSIO 64983
4.3. Scale-up Fermentation of S. diacarni SCSIO 64983
4.4. Extraction and Isolation of Compound 1–7
4.5. Activity Test Method
5. Conclusions
Supplementary Materials
Author Contributions
Funding
Institutional Review Board Statement
Informed Consent Statement
Data Availability Statement
Acknowledgments
Conflicts of Interest
References
- Krediet, C.J.; Ritchie, K.B.; Paul, V.J.; Teplitski, M. Coral-associated microorganisms and their roles in promoting coral health and thwarting diseases. Proc. Biol. Sci. 2013, 280, 20122328. [Google Scholar] [PubMed] [Green Version]
- Shnit-Orland, M.; Kushmaro, A. Coral mucus-associated bacteria: A possible first line of defense. FEMS. Microbiol. Ecol. 2009, 67, 371–380. [Google Scholar] [CrossRef] [PubMed]
- Rypien, K.L.; Ward, J.R.; Azam, F. Antagonistic interactions among coral-associate bacteria. Environ. Microbiol. 2010, 12, 28–39. [Google Scholar] [CrossRef] [PubMed]
- Zhang, Z.; Zhou, T.; Harunari, E.; Oku, N.; Igarashi, Y. Iseolides A–C, antifungal macrolides from a coral-derived Actinomycete of the genus Streptomyces. J. Antibiot. 2020, 73, 534–541. [Google Scholar] [CrossRef] [PubMed]
- Sang, V.T.; Dat, T.T.H.; Vinh, L.B.; Cuong, L.C.V.; Oanh, P.T.T.; Ha, H.; Kim, Y.H.; Anh, H.L.T.; Yang, S.Y. Coral and Coral-Associated Microorganisms: A Prolific Source of Potential Bioactive Natural Products. Mar. Drugs 2019, 17, 468. [Google Scholar] [CrossRef] [PubMed] [Green Version]
- Zheng, C.J.; Shao, C.L.; Guo, Z.Y.; Chen, J.F.; Deng, D.S.; Yang, K.L.; Chen, Y.Y.; Fu, X.M.; She, Z.G.; Lin, Y.C.; et al. Bioactive hydroanthraquinones and anthraquinone dimers from a soft coral-derived Alternaria sp.fungus. J. Nat. Prod. 2012, 75, 189–197. [Google Scholar] [CrossRef] [PubMed]
- Sun, W.; Peng, C.; Zhao, Y.; Li, Z. Functional Gene-Guided Discovery of Type II Polyketides from Culturable Actinomycetes Associated with Soft Coral Scleronephthya sp. PLoS ONE 2012, 7, e42847. [Google Scholar] [CrossRef] [PubMed] [Green Version]
- Modolon, F.; Barno, A.R.; Villela, H.D.M.; Peixoto, R.S. Ecological and biotechnological importance of secondary metabolites produced by coral-associated bacteria. J. Appl. Microbiol. 2020, 129, 1441–1457. [Google Scholar] [CrossRef] [PubMed]
- Karim, M.R.U.; Harunari, E.; Sharma, A.R.; Oku, N.; Akasaka, K.; Urabe, D.; Sibero, M.T.; Igarashi, Y. Nocarimidazoles C and D, antimicrobial alkanoylimidazoles from a coral-derived actinomycete Kocuria sp.: Application of 1JC,H coupling constants for the unequivocal determination of substituted imidazoles and stereochemical diversity of anteisoalkyl chains in microbial metabolites. Beilstein J. Org. Chem. 2020, 16, 2719–2727. [Google Scholar] [PubMed]
- Marchbank, D.H.; Ptycia-Lamky, V.C.; Decken, A.; Haltli, B.A.; Kerr, R.G. Guanahanolide A, a Meroterpenoid with a Sesterterpene Skeleton from Coral-Derived Streptomyces sp. Org. Lett. 2020, 22, 6399–6403. [Google Scholar] [CrossRef] [PubMed]
- Hou, X.; Hai, Y.; Gu, Y.; Wang, C.; Shao, C. Chemical and Bioactive Marine Natural Products of Coral-Derived Microorganisms (2015–2017). Curr. Med. Chem. 2019, 26, 6930–6941. [Google Scholar] [CrossRef] [PubMed]
- Schmidt, A.W.; Reddy, K.R.; Knölker, H.J. Occurrence, Biogenesis, and Synthesis of Biologically Active Carbazole Alkaloids. Chem. Rev. 2012, 112, 3193–3328. [Google Scholar] [CrossRef] [PubMed]
- Cheng, Y.J.; Chen, N.N.; Li, J.; Su, J.C.; Yang, J.Y.; Zhang, C.X.; Lin, H.W.; Zhou, Y.J. Antimicrobial Chlorinated Carbazole Alkaloids from the Sponge-Associated Actinomycete Streptomyces diacarni LHW51701. Chin. J. Chem. 2021, 39, 1188–1192. [Google Scholar] [CrossRef]
- Whitman, W.B.; Goodfellow, M.; Kämpfer, P.; Busse, H.J.; Trujillo, M.E.; Ludwig, W.; Suzuki, K.I. Bergey’s Manual of Systematic Bacteriology, 2nd ed.; Springer: New York, NY, USA, 2012; Volume 5, parts A and B; p. 1750. [Google Scholar]




| Position | 1a | 2a | 3a | 4b | ||||
|---|---|---|---|---|---|---|---|---|
| δC, Type | δH (J in Hz) | δC, Type | δH (J in Hz) | δC, Type | δH (J in Hz) | δC, Type | δH (J in Hz) | |
| 1 | 111.8, CH | 7.45, br d (8.1) | 110.7, CH | 7.37, d (8.7) | 108.9, CH | 7.32, d (8.7) | 109.6, CH | 7.35, d (8.6) |
| 2 | 126.8, CH | 7.39, m | 115.4, CH | 7.27, d (8.7) | 112.8, CH | 7.20, d (8.7) | 112.3, CH | 7.11, d (8.6) |
| 3 | 119.7, CH | 7.17, m | 150.8, C | - | 148.3, C | - | 150.2, C | - |
| 4 | 123.6, CH | 8.36, br d (7.9) | 116.7, C | - | 116.0, C | - | 106.3, C | - |
| 4a | 123.8, C | - | 122.3, C | - | 120.9, C | - | 123.4, C | - |
| 4b | 120.9, C | - | 120.2, C | - | 122.3, C | - | 123.5, C | - |
| 5 | 115.2, C | - | 118.2, C | - | 105.0, CH | 8.04, d (2.4) | 123.2, CH | 8.83, br d (8.0) |
| 6 | 130.6, C | - | 130.9, C | - | 153.0, C | - | 119.3, CH | 7.28, m |
| 7 | 117.0, CH | 7.07, d (8.5) | 119.5, CH | 7.14, d (8.6) | 115.0, CH | 7.08, dd (2.4, 8.8) | 126.8, CH | 7.47, m |
| 8 | 110.1, CH | 7.30, d (8.5) | 110.6, CH | 7.29, d (8.6) | 110.9, CH | 7.35, d (8.8) | 110.6, CH | 7.42, br d (8.0) |
| 8a | 138.2, C | - | 139.7, C | - | 136.2, C | - | 140.7, C | - |
| 9a | 142.1, C | - | 138.6, C | - | 137.0, C | - | 135.7, C | - |
| 1‘’ | 167.1, C | - | 167.0, C | - | - | - | - | - |
| 2‘’ | 30.6, CH2 | 3.57, s | 32.0, CH2 | 3.29, s | - | - | - | - |
| 3-OMe | - | - | 59.0, CH3 | 3.92, s | 57.2, CH3 | 3.93, s | 58.2, CH3 | 3.98, s |
| 6-OMe | - | - | - | - | 55.0, CH3 | 3.89, s | - | - |
Publisher’s Note: MDPI stays neutral with regard to jurisdictional claims in published maps and institutional affiliations. |
© 2022 by the authors. Licensee MDPI, Basel, Switzerland. This article is an open access article distributed under the terms and conditions of the Creative Commons Attribution (CC BY) license (https://creativecommons.org/licenses/by/4.0/).
Share and Cite
Wu, Q.; Zhu, H.; Sun, C.; Zhou, L.; Wang, H.; Shi, S.; Tian, X.; Ju, J. Halo- and Thiocarbazomycins from Coral- and Coral Reef Sands-Derived Actinomycetes. Mar. Drugs 2022, 20, 537. https://doi.org/10.3390/md20080537
Wu Q, Zhu H, Sun C, Zhou L, Wang H, Shi S, Tian X, Ju J. Halo- and Thiocarbazomycins from Coral- and Coral Reef Sands-Derived Actinomycetes. Marine Drugs. 2022; 20(8):537. https://doi.org/10.3390/md20080537
Chicago/Turabian StyleWu, Qiaoling, Hongjie Zhu, Changli Sun, Le Zhou, Huimin Wang, Songbiao Shi, Xinpeng Tian, and Jianhua Ju. 2022. "Halo- and Thiocarbazomycins from Coral- and Coral Reef Sands-Derived Actinomycetes" Marine Drugs 20, no. 8: 537. https://doi.org/10.3390/md20080537
APA StyleWu, Q., Zhu, H., Sun, C., Zhou, L., Wang, H., Shi, S., Tian, X., & Ju, J. (2022). Halo- and Thiocarbazomycins from Coral- and Coral Reef Sands-Derived Actinomycetes. Marine Drugs, 20(8), 537. https://doi.org/10.3390/md20080537

