Abstract
Chitosan, which is derived from chitin, is the only known natural alkaline cationic polymer. Chitosan is a biological material that can significantly improve the living standard of the country. It has excellent properties such as good biodegradability, biocompatibility, and cell affinity, and has excellent biological activities such as antibacterial, antioxidant, and hemostasis. In recent years, the demand has increased significantly in many fields and has huge application potential. Due to the poor water solubility of chitosan, its wide application is limited. However, chemical modification of the chitosan matrix structure can improve its solubility and biological activity, thereby expanding its application range. The review covers the period from 1996 to 2022 and was elaborated by searching Google Scholar, PubMed, Elsevier, ACS publications, MDPI, Web of Science, Springer, and other databases. The various chemical modification methods of chitosan and its main activities and application research progress were reviewed. In general, the modification of chitosan and the application of its derivatives have had great progress, such as various reactions, optimization of conditions, new synthetic routes, and synthesis of various novel multifunctional chitosan derivatives. The chemical properties of modified chitosan are usually better than those of unmodified chitosan, so chitosan derivatives have been widely used and have more promising prospects. This paper aims to explore the latest progress in chitosan chemical modification technologies and analyze the application of chitosan and its derivatives in various fields, including pharmaceuticals and textiles, thus providing a basis for further development and utilization of chitosan.
1. Introduction
Chitosan, which is also known as deacetylated chitin and soluble chitin, has the chemical name (1→4)-2-amino-2-deoxy-d-glucose and belongs to a group of unbranched binary polysaccharides composed of N-acetyl-d-glucosamine and d-glucosamine. Chitosan is a product of the partial deacetylation of the natural polysaccharide chitin, which is mainly derived from the crustaceans of marine arthropods, such as shrimps and crabs [1,2]. Secondly, chitin exists in the exoskeleton of insect crustaceans and mollusks, the cell membranes of fungi and algae, and the cell walls of higher plants, with a storage capacity second only to cellulose. Chitosan is the only positively charged natural alkaline polysaccharide that exists in large quantities in nature [3]. In addition to good biodegradability, biocompatibility, cell affinity, blood compatibility, safety, and nontoxicity [4,5,6,7], chitosan contributes to antibacterial, hemostatic, antitumor, anti-Alzheimer’s disease, immunity, wound healing, and other biological activities [8,9,10,11,12,13,14]. Due to the huge potential of its advantageous characteristics, chitosan has long been regarded as a promising material for biomedical research applications. Widely used in textiles, beauty care, cosmetics, gene therapy, sutures, wound dressings, bioimaging, and antibacterial agents, etc. [15,16,17,18,19,20], chitosan has an especially prominent role in the preparation of sustained-release drug materials and drug carriers [21,22]. However, the large number of hydroxyl and amino active groups in the molecular structure of chitosan easily forms hydrogen bonds, which results in a compact crystal structure that is insolubility in alkaline solutions and most organic solvents. Therefore, its application is severely limited. Fortunately, −NH2 and −OH in the chitosan molecule are chemically active, so other groups can be introduced at these sites for structural modification to improve performance [23,24]. Modification of chitosan is a necessary process to exploit the rich biological activity of chitosan, improve its solubility, and prepare chitosan derivatives with the required physicochemical and biological properties for specific applications. At present, chitosan modification is a research hotspot of scholars. Chitosan modification methods mainly involve chemical, physical, and compound modification. New materials prepared by physical modification generally only need adjustments in physical properties and in the mechanics of raw materials. Compound modification involves preparing the composite material by combining chitosan and polymer materials, which can improve drug loading and embedding rates. In addition to improving the water solubility of chitosan, chemical modification can be compounded with antioxidant, antibacterial, antitumor, and other active substances to obtain a compound with the advantages of antitumor, antioxidation, and antibacterial properties, which in combination effectively increases the biological activity and application scope of chitosan. At present, physical modification and compound modification have few applications; mainly, chemical modification is used. For this reason, chemical modification allows for the synthesis of derivatives with controllable solubility, ionic properties, and hydrophilic and lipophilic properties, which are more suitable as biomedicine carriers [25]. Commonly used chemical modifications of chitosan include carboxylation modification, alkylation modification, esterification modification, sulfonation modification, quaternary ammonium salt modification, graft copolymerization modification, Schiff base modification, and others. This report provides a review of common chemical modification technologies used for chitosan production and the main activities and applications of chitosan and its derivatives with the aim to provide theoretical guidance for improving the physical and chemical properties of chitosan and expanding the scope of its applications.
2. Structural Composition of Chitosan
Chitosan has a similar structure to cellulose. With a complex double helix structure, it is a linear polysaccharide after the removal of the acetyl group from chitin ((1,4)-2-acetamido-2-deoxy-β-d-glucose). Its molecular weight is often between 50 KDa and 2000 KDa. Chitosan is a highly abundant natural polymer material in which repeated monomer units are linked by covalent glycosidic bonds. The functional groups of chitosan include 6-position primary hydroxyl group, 3-position secondary hydroxyl group, and 2-position amino group or some N-acetylamino groups and glycosidic bonds. −NH2 and −OH in the chitosan molecule are chemically active, which can synthesize abundant chitosan derivatives via a reaction with a variety of chemical groups that are the main groups for chemical modification. However, the acetylamino bond and glycosidic bond are quite stable and not easy to break, which makes chemical modification difficult. C3-OH is a secondary hydroxyl group with great steric hindrance that cannot rotate freely and does not easily react. C6-OH is a primary hydroxyl group with small steric hindrance that can rotate freely. Therefore, C6-OH has greater activity than C3-OH. In addition, C2-NH2 generally has greater activity than C6-OH, so the reaction activity of the three is usually ranked as C2-NH2 > C6-OH > C3-OH [26,27]. A common problem in chitosan modification is that −OH or NH2 of chitosan will interfere with the reaction; thus, unwanted groups are introduced into the product. However, this problem can be avoided by introducing protective groups. Therefore, by changing the reaction conditions and reagents, chemical modification of chitosan can occur in the amino, hydroxyl, or amino and hydroxyl groups, thus forming N-modified, O-modified, or N,O-modified chitosan derivatives. In addition, the molecular weight and deacetylation degree of chitosan and its derivatives are closely related to their biological activity. Chitosan with a low molecular weight or high degree of deacetylation usually has stronger antitumor and antioxidant activities, whereas high molecular weight chitosan tends to have stronger antibacterial properties [27].
3. Chemical Modification Technology for Chitosan
3.1. Carboxylation Modification
Chitosan carboxylation refers to the process of introducing carboxyl groups into the molecule. The carboxylation reaction can occur with the hydroxyl or amino group on the chitosan molecule alone, or with the two active groups at the same time. The commonly used reagents for carboxylation modification of chitosan include glyoxylic acid and chloroacetic acid. When the reaction reagent is glyoxylic acid, glyoxylic acid can directly oxidize the hydroxyl groups on chitosan to carboxyl groups. However, when the reaction reagent is chloroacetic acid, chloroacetic acid can react with C2-NH2 and C6-NH2 on chitosan to generate N,O-carboxymethyl chitosan [28]. The water solubility, biocompatibility, and antibacterial properties of chitosan can be substantially improved by the introduction of carboxyl groups [29]. In addition, carboxylated chitosan, which has better flocculation, thickening, and film-forming properties than chitosan, has been widely used in medical, agricultural, and hygiene fields.
At present, carboxymethyl chitosan is one of the most widely used chitosan derivatives. O-carboxymethyl chitosan has relatively good water solubility and pH sensitivity, which can be used in an intestinal targeted drug delivery carrier [30]. The order of carboxymethyl substitution in chitosan molecules is usually ranked as C6-OH > C2-NH2 > C3-OH, but the substitution position can be controlled by changing the reaction conditions and reagents. For example, to synthesize O-carboxymethyl chitosan, one can first add aldehyde so that the Schiff base reaction occurs and, therefore, protects the amino group in chitosan. Then, chloroalkane acid is added under alkaline conditions to induce O-carboxymethylation modification. Finally, the protective group is removed to obtain the target product [31,32]. In addition, O-carboxymethyl chitosan can be synthesized under a high alkali concentration (40 wt% NaOH) [33]. Adna et al. [34] used a simpler and more cost-effective method to synthesize O-carboxymethyl chitosan. The method was to first synthesize chitosan with chloroacetic acid, isopropanol, sodium hydroxide, and other reagents. Sodium carboxymethyl cellulose addition was followed by methanol and hydrochloric acid to synthesize O-carboxymethyl chitosan. the reaction scheme for which is shown in Figure 1A. It is worth noting that the newly discovered synthetic O-carboxymethyl chitosan has an analgesic effect. If the chitosan amino group is not protected, the reaction product is generally N,O-carboxymethylated chitosan [35].
Figure 1.
Carboxylation modification reaction scheme of chitosan: (A) Synthetic route of O-carboxymethylated chitosan. Adapted with permission from Ref. [34]. Copyright 2020 Elsevier. (B) synthetic route of lysozyme-N-succinyl chitosan. Adapted with permission from Ref. [36]. Copyright 2020 Elsevier.
Chitosan was acylated by succinic anhydride using lactic acid or dimethyl sulfoxide as the reaction medium, and N-carboxylated chitosan was synthesized by introducing the carboxyl group into the N-terminal of chitosan, the reaction scheme for which is shown in Figure 1B. For example, Niu et al. [36] synthesized a safe and non-toxic, antibacterial, fresh-keeping material. Under this method, chitosan first undergoes an acylation reaction with succinic anhydride to synthesize N-succinyl chitosan (NSC). Then, lysozyme (LSZ) is loaded into NSC to prepare lysozyme–NSC (LSZ–NSC), which reveals the influence of NSC on lysozyme activity and antibacterial activity. The results showed that compared with free lysozyme activity, lysozyme activity in LSZ-NSC was increased by 256%, and its antibacterial activity increased significantly under low concentrations. In addition, NSC and NSC-LSZ were used as antibacterial materials in strawberry preservation studies. The results showed that both NSC and NSC-LSZ extended the shelf life of strawberries. In particular, NSC-LSZ extended the shelf life of strawberries by 3 days. Environment.
The reaction site of carboxylation of chitosan is mainly C6-OH on the molecular chain of chitosan. The current method for synthesizing O-carboxylated chitosan is cumbersome, and it is necessary to introduce reagents such as aldehydes to protect C2-NH2. O-carboxylated chitosan has good solubility and has analgesic, antibacterial, antioxidant, anti-adhesion, and other activities [37], and the optimization of its reaction conditions should be emphasized in the future.
3.2. Alkylation Modification
Alkylation modification means part of the hydroxyl or amino groups of chitosan undergoes an alkylation reaction with halogenated hydrocarbons or sulfates to generate alkylated derivatives under alkaline conditions. Since C2-NH2 on the sugar molecule chain has a strong nucleophilic lone pair of electrons, the alkylation of chitosan usually occurs preferentially on C2-NH2. In addition to improving chitosan solubility, alkylated derivatives of chitosan also demonstrate good biocompatibility, coagulability, and antibacterial and hemostatic properties [38], which can be used for the preparation of medical gauze and adsorptive anionic surfactants.
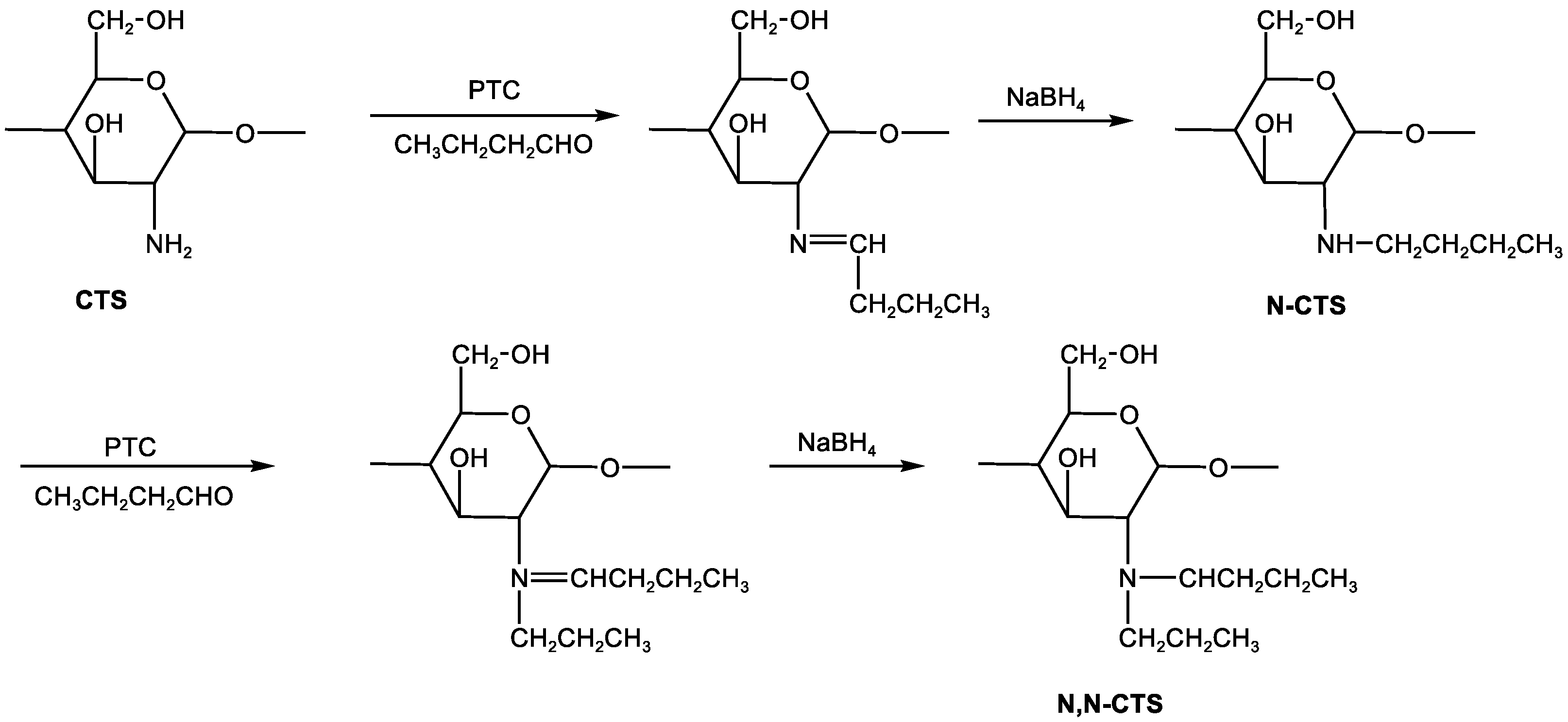
Currently, N-alkylated chitosan derivatives are usually synthesized in two ways, namely by the Schiff base method or via a reaction with halogenated alkanes. The Schiff base method involves C2-NH2 on the chitosan molecular chain undergoing the Schiff base reaction with the aldehyde to form the Schiff base, and then N-alkylated chitosan is synthesized under the reduction of NaBH4. The reaction scheme is shown in Figure 2. For example, in a study by Jiang et al. [39], chitosan underwent a Schiff base reaction with n-butyraldehyde, and then alkylated chitosan was prepared through NaBH4 reduction, which then underwent a quaternization reaction with trichlorodihydroxypropyl triethyl ammonium chloride to produce N-alkylated quaternary ammonium chitosan. In the study, the minimal antimicrobial method was used to explore the antibacterial activity of the final product. It was found that the antibacterial rate of N-alkylated quaternary ammonium chitosan against Escherichia coli exceeded 99.9%. Chen et al. [40] used 4-octadecyloxybenzaldehyde and chitosan as raw materials to successfully connect the phenyloctadecyl group to the amino group on the chitosan molecular chain and transform it into an N-alkylated chitosan sponge (GACS). Studies have found that the combination of GACS and mesoporous silica nanoparticles with large pores can achieve a rapid bleeding control effect, which provides an excellent hemostatic agent in first aid. Huang et al. [41] also prepared alkylated chitosan via a Schiff base reaction between chitosan and lauric aldehyde under alkaline conditions and then characterized the grafted product. Later, the graft was prepared into a hydrophobic chitosan (HM-CHI) sponge. Fourier-transform infrared spectroscopy (FTIR) revealed that the dodecyl group was successfully grafted to the amino group on the chitosan backbone. The HM-CHI platelet agglutination experiment revealed that HM-CHI could accelerate the rate of platelet aggregation. In addition, HM-CHI can be used for hemostasis of femoral artery bleeding in rats. The hemostasis time was only 86.5 s. Compared with the hemostasis time of chitosan, the hemostasis rate increased significantly. The study suggests that HM-CHI should be used as a strong candidate for preparing safe and effective hemostatic materials.
Figure 2.
The reaction scheme of chitosan alkylation modification. The synthetic route of N,N-CTS [39].
N-alkylated chitosan can also be prepared using halogenated alkanes. The introduction of an alkyl group of an appropriate molecular weight to the chitosan molecular chain will help improve chitosan solubility, but the introduction of too long a carbon chain will inhibit its solubility [42]. For example, Huo et al. [43] used the long-chain octyl group as the hydrophobic group and the glycol group as the hydrophilic group, which were respectively introduced into the chitosan molecular chain to synthesize amphiphilic chitosan (N-octyl-O-ethylene glycol chitosan). In addition, the alkyl chain length may affect the antibacterial activity of alkylated chitosan. For example, Sahariah et al. [44] developed a new method of efficiently modifying chitosan to synthesize a N,N-dialkyl chitosan derivative through reductive amination. The researcher also synthesized mono N-alkyl derivatives and quaternized them using optimized procedures. Studies found that these derivatives have antibacterial activity, and the activity size may be related to the alkyl chain length.
Since NH2 on the molecular chain of O-alkylated chitosan is not grafted, O-alkylated chitosan usually has relatively strong metal ion adsorption capacity. At present, it is difficult to synthesize O-alkylated chitosan, and there are few modification studies in this regard. The currently reported methods include the Schiff base method and the N-phthalylation method. The Schiff base method involves an initial reaction of C2-NH2 with aldehyde to form a Schiff base, then alkyl halide and C6-OH undergo and alkylation reaction, and finally the protective group is removed in the alkyd solution to obtain O-alkylated chitosan. The reaction scheme is shown in Figure 2. The bulky group formed by C2-NH2 of chitosan and the N-phthaloyl group boosts the selective reaction on C6-OH [45]. Hence, the N-phthalylation method is also used to first protect C2-NH2, and then the alkylation reaction is allowed, and finally the N-phthaloyl group with hydrazine is removed to obtain the product. However, Chen et al. [46] adopted another method and did not protect C2-NH2. Instead, he first designed an in situ reactor for the modification of chitosan O-alkylation, the derivatives of which were synthesized under reaction among chloroform, dodecanol, and N,N’-carbonyldiimidazole. The study showed that O-alkylated chitosan had significantly reduced crystallinity, which was easily dissolved in acetum and was thus suitable for in vitro cell transfection experiments.
At present, the modification technology of N-alkylated chitosan is relatively mature, and N-alkylated chitosan is also used in many fields. It is worth noting that the solubility of chitosan can be changed by changing the chain length of the alkyl group, so carbon chains of different lengths can be introduced separately to prepare amphiphilic chitosan, which may be a good direction for the application of alkylated chitosan in drug carriers.
3.3. Acylation Modification
Chitosan acylation products have good biocompatibility, drug-carrying capacity, and drug release control capability. Acylation modification of chitosan is a modification technology that presents certain challenges in chemical modification research. Organic acid derivatives (such as acid anhydrides, and acid halides) are used as acylating agents in a certain reaction medium, and then different aliphatic or aromatic acyl groups are introduced into the molecular chain of chitosan, which acylates chitosan. Acylated chitosan has good processing properties and slow-release effects [47]. The acylation reaction can induce O-acylation on OH to generate ester, N-acylation on NH2, or a simultaneous amino and hydroxyl product. Like the carboxylation reaction and alkylation reaction, the product and conditions of the acylation reaction are influenced by factors such as reagent types. Since C2-NH2 is highly active, acylation modification usually occurs preferentially on C2-NH2 to form N-acylated chitosan. N-acylated chitosan, which is easier to synthesize and can significantly improve the water solubility of chitosan, is usually used as a drug carrier or sustained-release agent in drug delivery. On the other hand, modification of O-acylated chitosan is more difficult and complicated to accomplish [48]; synthesized chitosan derivatives are fat-soluble and usually used for the preparation of polymer film materials to improve the hydrophobicity and stability of film materials. N,O-acylated chitosan is relatively easy to synthesize [49], However, its structure is quite complex and less used [48].
Since O-acylated chitosan is relatively difficult to prepare, it is usually necessary to add trifluoroacetic acid or methanesulfonic acid to protect C2-NH2 prior to the acylation reaction; then, the protective group must be removed after the reaction is complete. Zhang et al. [50] used pyridine as a catalyst, short-chain and long-chain fatty acid anhydrides as acylating agents, and chitosan nanofibers (CSNFs) as modifiers, and they synthesized O-acylated CSNFs under the presence of trifluoroacetate; its synthetic route is shown in Figure 3A. X-ray diffraction analysis revealed that O-acylation modification altered the crystal structure of CSNFs. In addition, scanning electron microscope analysis revealed that O-acylation modification can improve the fiber structure of CSNFs and increase their stability in humid environments.
Figure 3.
Modification scheme of N-acylated chitosan: (A) The synthetic route of O-acylated CSNFs. Adapted with permission from Ref. [50]. Copyright 2017 Elsevier. (B) the synthetic route of NSC and its structural characterization. Adapted with permission from Ref. [51]. Copyright 2016, Elsevier.
Acylation modification of chitosan with acid anhydride can result in NSC with good solubility. For example, Tang et al. [51] synthesized NSC via acylation modification of chitosan using succinic anhydride, hydrochloric acid, and alkaline chitosan as raw materials; its structure was characterized by Fourier transform infrared spectroscopy, and hydrogen nuclear magnetic resonance spectroscopy was then used to investigate its solubility and toxicity, antibacterial properties, and ability to promote wound healing; its synthetic route and structural characterization are shown in Figure 3B. The results revealed that compared with chitosan, NSC had significantly higher solubility and better antibacterial activity. NSC significantly shortened the wound healing time and improved the action mechanism by which NSC promotes granulation tissue and enhances re-epithelialization capability. Due to the weak acylation characteristics of carboxylic acids, it is often necessary to activate the carboxyl group in the acylation reaction, usually via activating the reagent carbodiimide. For example, Ahmad et al. [52] prepared amphiphilic chitosan through a reaction of oleic acid and arginine with chitosan under carbodiimide activation and then self-assembled nanoparticles in an aqueous medium. Studies have demonstrated that the nanoparticles have significant antibacterial activity, especially against Gram-negative bacteria. The mechanism of action is to destroy the cell membrane of the bacteria, thereby effectively reducing the possibility of bacterial drug resistance.
The preparation method of N-acylated chitosan is simple, and the degree of substitution is high [53], which can significantly improve the solubility of chitosan and has achieved good results as a drug-carrying system. Therefore, when preparing hydrophilic or amphiphilic chitosan, N-acylation of chitosan can be an important selection direction when using nano-drug delivery systems. O-acylated chitosan is difficult to prepare and is less used. When hydrophobic modification of chitosan is required, it can be used as a modification direction.
3.4. Esterification Modification
Hydroxyl or amino groups on chitosan undergo an esterification reaction with oxygen-containing mineral acids or acid derivatives to produce esterified chitosan. Esterification modification enhances the adsorption and antibacterial abilities of chitosan to varying degrees [54,55,56].
Common esterification reactions include sulfation and phosphorylation. Sulfation involves obtaining an esterified product with a structure similar to heparin and that possesses excellent anticoagulant activity through a direct reaction of chitosan with sulfation reagents [56] (mainly including fuming sulfuric acid, sulfur dioxide, sulfur trioxide, and concentrated sulfuric acid), the modification scheme for which is shown in Figure 4A. The anticoagulant activity of sulfated chitosan is created via interactions between negatively charged sulfated groups and positively charged peptide sequences [57]. Sulfated chitosan can be used as a carrier for antiviral drugs. For example, Shazia et al. [58] esterified folic acid (FC) with chitosan (CS) to synthesize a CS–FC derivative and synthesized a BSA–CS–FC conjugate using bovine serum albumin nanoparticles. Its applicability to the diagnosis and treatment of tumors has been proven. Kazachenko et al. [59] proposed a new method for sulfating chitosan in 1,4-dioxane by putting 1,4-dioxane, sulfamic acid, and urea into a three-necked flask. The reaction was carried out in the flask under heating and vigorous stirring for 1–3 h. Wang et al. [60] used NaHSO3, NaNO2, N-succinyl, NaOH, and other reagents to synthesize N-succinyl chitosan sulfates under heating. The study found that compared with N-succinyl chitosan, N-succinyl chitosan sulfates have better anticoagulant effects, indicating that the introduction of sulfate groups can enhance the anticoagulant activity. Imran et al. [61] used a simpler and milder method to sulfate chitosan. They synthesized sulfated chitosan with reagents such as dimethylformamide, chlorosulphonic acid, and 20% NaOH, and they also confirmed that the introduction of sulfuric acid into chitosan groups increased their anticoagulant activity. Cao et al. [62] prepared nanoparticles based on 2-N,6-O-sulfated CS, and then loaded bone morphogenetic proteiN-2 (BMP-2) on S-NPs to prepare BMP-2/S-NP nanomaterials, which were finally combined with gelatin sponge (G) to develop the composite implant (BMP-2/S-NP/G). Regarding the effects of critical size defects on vascularization and bone formation, the results showed that BMP-2/S-NP/G can significantly increase the formation of peripheral blood vessels and cardiovascular in rabbit radius and promote and accelerate bone regeneration.
Phosphorylation is usually employed to obtain a product with good water solubility via a reaction of methanesulfonic acid with CS, and the substitution site is mainly on the hydroxyl group of CS [63]. Wang et al. [64] first dissolved CS in methanesulfonic acid and then synthesized phosphorylated CS derivatives via a reaction with phosphorus pentoxide. Fourier-transform infrared spectroscopy (FTIR) and X-ray photoelectron spectroscopy were used to characterize the structure of the derivatives, FTIR analysis revealed that the phosphorylation reaction occurs in C2-OH of CS, because methanesulfonic acid protects the C2-NH2 of CS. Wu et al. [65] prepared a phosphorylated magnetic CS composite material (P-MCS) to adsorb the heavy metals lead and cadmium in an aqueous solution. The results showed that P-MCS had good adsorption against cadmium and lead, mainly due to ion exchange and direct complexation between heavy metal ions and functional groups. The study pointed out that P-MCS will eventually become an excellent source of material for treating wastewater containing heavy metal ions. Phosphorylated CS derivatives not only form an internationally recognized high-quality raw material for the synthesis of multifunctional plant growth regulators, but they have excellent heavy metal ion removal effects, the modification scheme for which is shown in Figure 4B. In addition, phosphorylated CS has bactericidal and metal chelating properties [55].
In addition to the modification of sulfated chitosan with sulfated reagents, many new methods have been added in recent years, but its application is still mainly focused on anticoagulation research. Sulfated chitosan is easier to synthesize, has better water solubility, and has better drug-carrying capacity. It can be considered to explore more activities and broaden its application range.
Figure 4.
CS esterification modification scheme: (A) Synthesis route of sulfated chitosan. Adapted with permission from [66], Copyright © 2021 Elsevier. (B) synthesis route of phosphorylated chitosan. Adapted with permission from [65], Copyright © 2019 Elsevier.
Figure 4.
CS esterification modification scheme: (A) Synthesis route of sulfated chitosan. Adapted with permission from [66], Copyright © 2021 Elsevier. (B) synthesis route of phosphorylated chitosan. Adapted with permission from [65], Copyright © 2019 Elsevier.

3.5. Sulfonation Modification
Sulfonation modification of CS involves introducing the sulfonate group into the reaction of hydroxyl or amino groups on the molecular chain of CS with concentrated sulfuric acid or sulphate, which preferentially occurs at the C2-NH2 of CS. Sulfonated CS has relatively strong antibacterial activity and anticoagulant activity [56,67]. For example, Huang et al. [68] prepared sulfonated CS (SCS) through a nucleophilic substitution reaction and explored the inhibitory activity of SCS against the adhesion and biofilm formation of Escherichia coli and Staphylococcus aureus, the modification scheme for which is shown in Figure 5. It was found that compared with unmodified CS hydrochloride, SCS has stronger stability and higher inhibitory activity against E. coli and S. aureus biofilm formation. The study also proposed that SCS can be used as an alternative for antibiotics and chemical protective agents in food and medical fields. Tsai et al. [69] synthesized sulfonated CS using CS and 1,3-propane sulfone as raw materials. After FTIR structural characterization and analysis, it was concluded that the sulfonation reaction took place in C2-NH2. Shenghua et al. [70] amidated CS and maleic anhydride and then sulfonated the product with sodium metabisulfite to synthesize sulfonated CS superplasticizer. FTIR characterization revealed that the sulfonation reaction occurred on CS C2-NH2. Studies have reported that sulfonated CS exhibits a similar molecular structure and performance as polycarboxylic acid superplasticizer, and the sulfonated CS water reducer also had a higher water reducing rate. The study further revealed that the trend to use renewable natural polymers (such as CS and its derivatives) and simple synthesis methods to synthesize high-performance superplasticizers are supported by evidence.
Figure 5.
CS sulfonation modification scheme. Adapted with permission from Ref. [68]. Copyright 2019 Elsevier.
In addition, sulfo groups are often used as hydrophilic groups for amphiphilic CS derivatives. For example, Shelma et al. [71] introduced the hydrophilic sulfo group and hydrophobic lauroyl group to CS to prepare amphiphilic CS derivatives. In that study, sulfobenzoic acid cyclic anhydride was first reacted with CS to produce sulfonated CS, and then lauroyl chloride was added under certain conditions for acylation. After purification, lauroyl sulfated CS (LSCS) was obtained, and successful modification of CS was proven through FTIR and nuclear magnetic resonance (NMR). Studies have shown that LSCS can improve the blood compatibility of CS and significantly reduce chitosan-induced RBC aggregation and hemolysis.
At present, great progress has been made in the sulfonation of chitosan, and chitosan has been able to accurately control the reaction sites of sulfonated chitosan and the degree of substitution of sulfonate groups. Most importantly, sulfonated chitosan has rich biological activities, such as antiviral, antibacterial, anticoagulant, osteogenic, antioxidative, anticalcification, etc. [56], and more medical applications need to be focused on for the benefit of human health, which may be a good direction for the application of alkylated chitosan in drug carriers.
3.6. Quaternary Ammonium Salt Modification
The antibacterial properties of CS-quaternized derivatives and CS Schiff base derivatives are the most prominent among the numerous types of CS derivatives. The main purpose of quaternization of CS is to introduce quaternary ammonium groups or small molecular quaternary ammonium salts to the amino groups of CS, which can also occur on hydroxyl groups. Due to the high activity of amino groups, quaternary ammonium salt modification occurs preferentially on the amino group. Quaternary ammonium salt groups feature large steric hindrances, such as strong hydrate-ability, which significantly weakens the hydrogen bond between CS molecules added to the quaternary ammonium salt group, thereby significantly improving its water solubility. In addition, due to its permanent positive charge and large number of cations on the main chain, the CS derivatives exhibited excellent antibacterial activity and better antioxidant activity [72], which promotes CS application as a food preservative. It is worth noting that CS quaternary ammonium salt also achieved better biocompatibility, biodegradability, and good mucosal adhesion [73].
There are two main synthetic methods for preparing N-quaternary ammonium CS derivatives. The first, which is the most common method, is to let excess halogenating reagents (such as alkyl iodide) directly react with CS to obtain halogenated CS quaternary ammonium salt. In terms of principles, this method utilizes the high reactivity of the alkyl iodide, making it possible to form a quaternary ammonium salt with an amino group. Wei et al. [74] obtained N-(2-pyridylmethyl), N-(3-pyridylmethyl), and N-(4-pyridylmethyl) through reactions among reagents such as pyridine carboxaldehyde, CS, and sodium. Then, by attacking secondary amine and N-pyridine with methyl iodide, the corresponding CS quaternary ammonium salt was obtained. The antioxidant activity results revealed that all diquaternary ammonium CS preparations achieved greater antioxidant activity than CS or monoquaternary ammonium CS. Similarly, Sajomsang et al. [75] used methyl iodide as a quaternization agent to quaternize N-(3-chloro-2-hydroxypropyl)trimethylammonium chloride with CS and thus prepared five kinds of quaternized CS derivatives; its modification scheme is shown in Figure 6A. This study evaluated its antifungal activity by using the inhibition zone method, minimum inhibitory concentration, and minimum fungicidal concentration. The results revealed that under neutral pH, quaternized CS exhibits antifungal activity against Monascus, Trichophyton, and gypsum molds.
The second method is to let quaternary ammonium-salt-containing alkylene oxide react with CS to obtain a quaternized chitosan-containing hydroxyl group. For example, Zhang et al. [76] quaternized 2,3-epoxypropyltrimethyl ammonium chloride with CS to synthesize 2-hydroxypropyltrimethyl ammonium chloride CS (HTCC) and then prepared O-methyl acrylamide quaternary ammonium salt of chitosan (NMA-HTCC) with active groups using HTCC and N-(hydroxymethyl)-acrylamide. Investigation of the antibacterial activities of CS and NMA-HTCC revealed that both CS and NMA-HTCC have an obvious antibacterial effect on S. aureus and E. coli, and NMA-HTCC has stronger antibacterial activity. Similarly, Zhang et al. [77] synthesized a new type of fiber-active CS derivative. The key step involved quaternization modification of CS and 2,3-epoxypropyltrimethyl ammonium chloride to produce a water-soluble CS derivative (i.e., HTCC). Next, the fiber-active CS derivative (i.e., NMA-HTCC) was synthesized through an HTCC reaction with N-(hydroxymethyl)-acrylamide. Evaluation of NMA-HTCC antibacterial activity against silk fabrics revealed that compared with the silk fabrics treated with CS and HTCC, silk fabrics treated with NMA-HTCC had significantly increased antibacterial effects against S. aureus and E. coli. In particular, the silk fabric had long-lasting antibacterial activity. Even after 50 repetitive scrubbings, the antibacterial rate of the silk fabric remained greater than 95%. In addition, studies have demonstrated that CS quaternary ammonium salt prepared via this method can be used as a carrier for hydrophilic drugs to achieve sustained and slow release [78]. Cele et al. [79] coupled different perfluorocarbon chains with CS via the Schiff base reaction and then synthesized a series of fluorinated quaternary ammonium CS derivatives through quaternization with glycidyl trimethyl ammonium chloride. Its antibacterial activity against a variety of clinical drug-resistant bacteria was investigated. The results demonstrate its rapid sterilization, which provides an alternative for patients who rely heavily on antibiotics.
O-quaternary ammonium CS is difficult to synthesize, and there are few studies that have investigated this issue regarding its synthesis. Similar to N-quaternary ammonium CS, O-quaternary ammonium CS has good water solubility and antibacterial activity. For example, a study that prepared five kinds of O-quaternary ammonium CS samples found that all O-quaternary ammonium CS preparations had significantly improved water solubility, all of which showed good antibacterial ability against Gram-positive bacteria [80]; the reaction scheme is shown in Figure 6B.
The modification of quaternized chitosan is cumbersome and time-consuming, so it is necessary to further explore a simpler and more efficient method to synthesize quaternary ammonium chitosan. Mainly used in antibacterial activity research, in order to broaden the application of quaternary ammonium chitosan, its role in other fields should also be investigated.
Figure 6.
CS quaternary ammonium salt modification scheme: (A) The synthetic route of N-quaternary ammonium salt. Adapted with permission from [75], Copyright © 2012 Elsevier. (B) the synthetic route of O-quaternary ammonium salt. Adapted with permission from [80], Copyright © 2016 Elsevier.
Figure 6.
CS quaternary ammonium salt modification scheme: (A) The synthetic route of N-quaternary ammonium salt. Adapted with permission from [75], Copyright © 2012 Elsevier. (B) the synthetic route of O-quaternary ammonium salt. Adapted with permission from [80], Copyright © 2016 Elsevier.

3.7. Graft Copolymerization Modification
CS molecules carry more active groups, which are prone to graft copolymerization reactions, and graft copolymerization reactions can occur on C2-NH2, C3-OH, and C6-OH [81]. Graft copolymerization is the most attractive method for improving physicochemical and biological properties through physical and chemical modifications of CS. It is also an important method for introducing CS polyfunctional groups (such as hydroxyl, carboxyl, ester, and amide). Properties of the final graft copolymerization product are mainly controlled by the molecular structure, length, and number of side chains. Graft copolymerization of CS mainly involves graft copolymerization with alcohols, esters, acids, and amides. Graft copolymerization modification not only improves the antibacterial, antitumor, antioxidant, and anticoagulant properties of CS, but it is also applicable to fabrics and cellulose surface modification.
Common graft copolymerization methods include oxidative coupling copolymerization, free radical graft copolymerization, and condensation copolymerization, among others. Li et al. [82] prepared chitosan–ferulic acid (CS–FA) derivatives through a carbodiimide-mediated coupling reaction and used the derivatives as a carrier to load bovine serum albumin onto it, thereby protecting and controlling the slow release of the drug. Then, the thermal performance of CS–FA was evaluated by thermogravimetric analysis and differential scanning calorimetry. The results show that compared with chitosan, CS–FA derivatives had low crystallinity and high thermal stability. In addition, CS–FA had an obvious swelling rate and good in vitro sustained-release performance. Wang et al. [83] also used the carbodiimide coupling method to graft CS with phenolic acids, such as gallic acid (GA) and caffeic acid (CA), and then characterized the structure and properties of the graft. Afterwards, the grafts were formed into composite films by tape casting, and the antioxidation and antibacterial activities of the films were characterized. Infrared and NMR spectroscopy analyses of the grafts revealed that GA and CA were successfully grafted on CS C2-NH2. The antioxidant activity results showed that compared with the CS film, the GA-g-CS and CA-g-CS films had enhanced antioxidant activity. The antibacterial activity results showed that compared with the CS film, the CA-g-CS film had a significantly stronger inhibitory effect on Bacillus subtilis (g+) and S. aureus (g+) (p < 0.05).
The reagents used in free radical graft copolymerization are relatively safe and constitute commonly used graft copolymerization modification reaction systems. For example, Ja Dena-Aguilar et al. [84] used acrylonitrile (AN), CS, and cerium ammonium nitrate (CAN) as initiators to synthesize polyacrylonitrile–graft–chitosan (PAN–g–CS) copolymer and then reacted it with diethylenetriamine to synthesize polyacrylonitrile–graft–chitosan (APANCS) aminated copolymer. The research shows that APANCS can better adsorb Pb2+, Cd2+, Zn2+, and other heavy metal ions in water, the synthetic route of which is shown in Figure 7. Guo et al. [85] used hydrogen peroxide and ascorbic acid as free radical mediators to graft CA onto CS. Fourier infrared spectroscopy and NMR analysis proved that CA was grafted onto the CS amino group. An antioxidant performance test revealed that compared with CS and CA, chitosan–CA derivatives possess stronger antioxidant activity, and the study further found that chitosan–CA derivatives can be used as a new type of bifunctional surfactant for polymers. In another study, free radical graft copolymerization was used to graft CS and 2-hydroxyethyl acrylate, and then the product was prepared into a sponge dressing. Examination of its swelling ability, biocompatibility, and antibacterial activity revealed that the dressing had significant antibacterial effects on both Pseudomonas aeruginosa and S. aureus [86].
Figure 7.
APANCS synthetic route [84].
In general, the synthesis method of chitosan graft copolymerization has diversity. It can introduce various groups, which is an important direction for the diversification of chitosan derivative materials and functions. In the future, we can focus on grafting drugs with some better therapeutic effects, which may give stronger and more efficacy to chitosan.
3.8. Schiff Base Reaction
The Schiff base reaction of CS involves a condensation reaction of the amino groups on CS with carbonyl compounds (such as fatty aldehydes, aromatic aldehydes, and ketones) in a neutral medium to remove water molecules and synthesize the Schiff base with imine group characteristics. Commonly used solvent media for the CS Schiff base reaction include acetic acid, ethanol, and methanol, or their mixtures. On the one hand, Schiff base modification of CS changes the molecular structure of the CS molecular chain and increases the number of positively charged ions, which significantly strengthens the water solubility and antibacterial activity of CS. Schiff base modification of CS is, therefore, widely used to enhance the antibacterial properties of CS. On the other hand, the Schiff base reaction of CS is often used to protect amino groups on CS, so CS modification only occurs on the hydroxyl groups.
The CS Schiff base has extensive biological activities, such as antibacterial, antitumor, and antioxidation properties, and can be used as a catalyst. For example, Tamer M. Tamer et al. [87] prepared two aromatic CS Schiff bases with 4-chlorobenzaldehyde or benzophenone as a reactant to improve the antibacterial properties of CS, and its modification scheme is shown in Figure 8. The antibacterial test of two CS derivatives revealed that for most microorganisms, the two products had significantly higher antibacterial activity than CS, which could be applied to the preparation of antibacterial wound dressings. Nadia Q et al. [88] used 2-chloroquinoline-3-carbaldehyde, quinazoline-6-carbaldehyde, and oxazole-4-carbaldehyde as modification reagents and synthesized three new types of CS Schiff base derivatives through a Schiff base reaction with CS. 1H and 13C NMR and FTIR spectroscopy confirmed the successful reaction between the modified reagent and CS C2-NH2. The inhibition zone method was used to investigate the antibacterial activity of synthetic compounds against Gram-negative and Gram-positive bacteria, and the 3-(4,5-dimethylthiazol-2-yl)-2,5-diphenyltetrazolium bromide (MTT) method was used to evaluate the cytotoxicity of synthetic compounds. The antibacterial activity results revealed that compared with CS, CS Schiff base derivatives achieved significantly increased antibacterial activity against fungi and bacteria. The MTT results revealed that the synthesized compounds were not cytotoxic, which suggested that they can be used as new nontoxic biomaterial candidates for enhancing antibacterial properties.
Figure 8.
CS Schiff base modification scheme. Adapted with permission from Ref. [87]. Copyright 2016 Elsevier.
At present, the preparation method of chitosan Schiff bases is relatively mature, and they can be easily and simply synthesized. Chitosan Schiff bases generally have a wide range of biological activities, so chitosan can be reacted with different aldehydes or ketones to synthesize more different chitosan Schiff base derivatives to develop more functional materials with good pharmaceutical effects.
Table 1 provides a comprehensive evaluation of the preparation methods and effects of the above-mentioned chemical modification technologies.
Table 1.
Summary of various chemical modifications.
The conditions of different chemical modification techniques of chitosan and the products obtained are shown in Table 2.
Table 2.
Conditions of different modification methods and their product summary.
4. The Main Activities of CS and Its Chemically Modified Derivatives
Chemically modified derivatives of CS also have extensive activities, the most researched of which are improved adsorption, antibacterial, antitumor, hemostasis, and antioxidant activities. Since CS derivatives have the same basic skeleton as CS, the mechanism of action of its various activities is similar to that of CS. At present, the exact mechanisms of various activities of CS are not fully understood. The following sections provide an overview of the mechanisms of the main activities of CS.
4.1. Antibacterial Activity
At present, numerous studies have shown that CS has broad-spectrum antibacterial activity, and due to its rich resources, it is considered to be one of the most ideal antibacterial materials. CS forms a layer of polymer film mainly through adsorption on the cell surface to cut off the channel of nutrient transportation into the cell, thereby achieving antibacterial and sterilization effects. Other studies have shown that because CS is positively charged, it can attract and combine with negative charges on the surface of the bacterial cell wall to induce bacterial cell wall lysis [90,91]. The antibacterial activity of CS is correlated to internal factors, such as its molecular weight, degree of deacetylation, and concentration, as well as external factors, such as pH and temperature [9]. However, the amino group of CS has a weak positive charge, so the antibacterial activity is too weak to meet antibacterial needs in various fields. In addition to altering internal factors and external conditions of CS, CS can also be chemically modified to introduce more positively charged groups for improved antibacterial activity.
Like CS, chemically modified derivatives of CS usually have antibacterial activity. Quaternary ammonium CS, carboxylated CS, hydroxylated CS, and hydrophobic alkylation CS have outstanding antibacterial properties. For example, Jin et al. [92] synthesized CS Schiff base derivatives with CS and citral under high-intensity ultrasound. Compared with CS, the antibacterial activity of CS and Schiff base against E. coli, S. aureus, and Aspergillus niger, CS Schiff base derivatives have more significant antibacterial activity, which is concentration-dependent. In addition, Dragostin et al. [93] synthesized six chitosan-sulfonamide derivatives, whose antibacterial activity tests showed that its antibacterial and antifungal properties were significantly improved in comparison with CS. In addition, the swelling, biodegradation rates, and healing effect on injured rats were improved. The study demonstrated that these chitosan-sulfonamide derivatives can be applied to the preparation of novel wound dressings, especially for burn wounds. Li et al. [94] synthesized an O-quaternary ammonium N-acyl thiourea CS with dual antibacterial groups, and its antibacterial activity test proved its broad-spectrum antibacterial activity. In addition, integrity analysis of the cell membrane and transmission electron microscopy tests found that the mechanism of action was to destroy the bacterial cell membrane. Furthermore, the introduced quaternary ammonium and thiourea groups increased the positive charge of the CS derivative, thereby enhancing its antibacterial activity.
The antibacterial ability of chitosan derivatives is related to the number of positively charged groups on the molecular chain, so it is possible to focus on the simultaneous modification of the amino group and hydroxyl group of chitosan, and it is possible to obtain chitosan derivatives with high antibacterial activity for developing a new generation of antibacterial agents.
4.2. Antitumor Activity
CS has a positive charge, so it can act directly on tumor cells, which possess more negative charges than normal cells, thereby inhibiting transfer and growth and interfering with metabolism, thereby inducing apoptosis in malignant tumors [95]. In addition, CS can increase the activity of macrophages and enhance the body’s immune function [96,97,98]. CS can attach to vascular endothelial adhesion molecules, inhibit the formation of vascular endothelial cells, and prevent cancer tissues from infiltrating, spreading, and transferring to surrounding tissues, thereby achieving antitumor effects [99,100].
Some chemically modified derivatives of CS also have antitumor activity, the more prominent of which are quaternary ammonium, sulfation, carboxylation, and graft copolymerization derivatives. Lee et al. [101] grafted CA (i.e., CFA) to the amino group of CS to synthesize a chitosan–CA derivative (ChitoCFA), which is an anticancer compound, and compared the anticancer effects of CFA and ChitoCFA in CT26 colon cancer cells. The results revealed that compared with CFA, ChitoCFA may accelerate the apoptosis rate of tumor cells. In addition, the study also found that ChitoCFA has a good antiproliferation effects on tumor cells and is a promising anticancer compound. In addition to having strong water solubility, studies found that carboxymethyl CS (CMCS) inhibited the growth of liver cancer tissues in mice and promoted the necrosis of tumor cells. The mechanism of action is that CMCS inhibits tumor vessel growth and enhances the body’s immune function. Jiang et al. [102] evaluated the antitumor metastasis effect of carboxymethyl CS on liver tumors, finding that carboxymethyl CS can significantly inhibit tumor cell migration; its anti-tumor results are shown in Figure 9. In addition, Jiang et al. [103] synthesized SCS by introducing a sulfate radical to the CS molecular chain and then synthesized sulfated benzaldehyde CS (SBCS) by introducing phenyl groups to SCS. Studies have found that both SCS and SBCS can significantly inhibit the proliferation of MCF-7 cells and induce its apoptosis. In addition, compared with SCS, SBCS has better antitumor effects and lower IC50.
Figure 9.
Effects of CMCS on histopathology and CD34 expression in H22 tumor tissue. (A) Effect of the CMCS on histopathology of H22 tumor tissue was recorded by the light microscope. (B) Photographs of effect on CD34 expression of H22 tumor tissue were taken by the light microscope. (C) Inhibition rate of CMCS on CD34 expression of H22 tumor tissue, * p < 0.05, ** p < 0.01 significant difference compared with control group. Adapted with permission from Ref. [102]. Copyright 2015 Elsevier.
Overall, chitosan derivatives have weak antitumor effects and can be used for adjuvant therapy of cancer. We can use compounds with more positive charges or drugs with certain anti-tumor effects to modify chitosan to synthesize chitosan derivatives with anti-tumor effects. Then using chitosan derivatives as drug carriers to deliver anticancer drugs may have better and longer-lasting efficacy.
4.3. Hemostatic Activity
CS is a new type of polymer hemostatic agent that can stop bleeding through multiple methods. Because CS is noncytotoxic and has good biocompatibility, antibacterial activity, and hemostatic properties, it has been used clinically as a hemostatic candidate. The anticoagulant effect of CS is mainly related to its structural parameters, such as the deacetylation degree, molecular weight, and substituents [10]. There are three main aspects of the hemostatic mechanism of chitosan. First, CS has a positive charge, whereas red blood cells have a negative charge. The two adhere and aggregate and then undergo an electrostatic neutralization reaction, which causes repulsion to dissipate, leading to blood coagulation [104,105,106]. Second, CS quickly promotes platelet thrombosis, thereby accelerating blood coagulation [107]. Third, CS can bind to plasma proteins and some important coagulation factors in vivo, resulting in firmer blood clots [108].
CS derivatives with outstanding hemostatic properties include alkylated CS, carboxylated CS, and quaternary ammonium CS. For example, Hu et al. [109] incorporated chitosan into hydroxybutyl chitosan and prepared a composite sponge by freeze-drying. The study found that the composite sponge had higher porosity than chitosan sponge and hydroxybutyl chitosan sponge (about 85%), greater water absorption (about 25 times), better flexibility, and lower coagulation index, and its whole blood coagulation and blood cell adhesion tests show that the composite sponge can absorb more red cells permeated all over the porous structure. In the structure, blood can also form a viscous gel to promote blood coagulation due to the interaction between cationic CS and negatively charged blood cells; its preparation method and hemostasis test are shown in Figure 10. Zhao et al. [110] prepared N,O-CMCSs with different degrees of substitution and examined the hemostatic performance using the dynamic clotting time method and the in vivo coagulation test. The results showed that CMCSs showed excellent hemostatic effects under the substitution degree of 60–80% but had decreased hemostatic ability under a high degree of substitution. The reason could be that the high level of carboxymethylation increases the negative charge of CS, thus causing CS to lose the ability to attract red blood cells and aggregate platelets. To improve the hemostatic properties of CS nonwoven fabrics, Yan et al. [111] introduced succinyl groups (NS), carboxymethyl groups (CM), and quaternary ammonium groups (TM) into CS nonwoven fabrics to synthesize NSCS, CMCS, and TMCS nonwoven fabrics. Hemostatic performance evaluation revealed that the three had strong hemostatic effects, of which NSCS1 nonwoven fabric had the shortest hemostatic time (147 ± 3.7 s) and the lowest level of blood loss (0.23 ± 0.05 mL). Exploration of the blood coagulation mechanism found that SCS and CMCS nonwoven fabrics could activate the intrinsic pathway of blood coagulation to accelerate blood coagulation.
Figure 10.
Preparation of composite sponge and its hemostatic test result. (A) The photo of the composite sponge with blood; (B–F) The SEM images of blood cells adhesion of the CS, Hydroxybutyl chitosan (HBC), HC-1 (MCS:MHBC = 1:3), HC-2 (MCS:MHBC = 1:2) and HC-3 (MCS:MHBC = 1:1) respectively. Adapted with permission from Ref. [109]. Copyright 2018 Elsevier.
In recent years, research on hemostasis of chitosan and its derivatives has gradually increased, arousing great interest of researchers. In addition to developing more chitosan derivative hemostatic materials, chitosan and its derivatives can also be mixed with other hemostatic materials to prepare composite hemostatic materials to achieve rapid and effective hemostasis.
4.4. Antioxidant Activity
The free radical reaction has been considered to be the pathogenesis of several specific diseases in humans, such as cancer; heart, cardiovascular, and cerebrovascular diseases; and Alzheimer’s disease. Free radicals, which have extremely high oxidative activity and are extremely unstable, can attack cell membranes, mitochondrial membranes, and unsaturated fatty acids in membranes, thus resulting in enhanced lipid peroxidation. The amino group and two hydroxyl groups of CS have a strong hydrogen supply capacity, which can react with free radicals to develop a scavenging capacity [112]. In addition, CS can significantly reduce serum-free fatty acid and malondialdehyde concentrations and increase antioxidant enzyme activities, such as superoxide dismutase, catalase enzyme activities, etc., thereby scavenging free radicals. Studies have found that the antioxidant activity of CS mainly depends on the molecular weight. Its antioxidant activity is stronger with a lower molecular weight, whereas CS with a high molecular weight has no antioxidant activity against superoxide and hydroxyl radicals [113]. Common CS derivatives with relatively strong antioxidant activity include quaternized CS and graft copolymers containing polyphenol compounds.
In addition to excellent antibacterial activity, quaternized CS also has relatively strong antioxidant activity. For example, Luan et al. [114] prepared mono-N-quaternized (QCS) and double-N-diquaternized (DQCS) chitosan derivatives and then evaluated the antioxidant activity of CS, QCS, and DQCS from two indicators, namely, free radical scavenging ability and iron reduction ability, and its preparation method and antioxidant activity test results are shown in Figure 11. The results revealed that the antioxidant capacity of the three was ranked as CS < QCS < DQCS, which indicates that adding quaternized groups to the chitosan molecular chain can enhance the antioxidant activity of chitosan. In addition, Skorik et al. [53] synthesized succinyl CS (SC) derivatives and glutaryl CS (GC) derivatives with specific degrees of substitution. The study found that both SC and GC exhibited significant and similar antioxidant activity, which increased with the increasing degree of substitution. In addition, the study also found that SC and GC have good anticoagulant activity. As a safe material with antibacterial, antitumor, anti-inflammatory, antidiabetic, and strong antioxidant activities [115], polyphenol has been widely used in food manufacturing, pharmaceuticals, and medicine. After CS is grafted with a polyphenol compound, the antioxidant activity will be significantly improved due to the synergistic effect of CS and polyphenol. For example, Liu et al. [116] grafted CA and ferulic acid (FA) to CS molecular chains to synthesize two phenolic acid–CS copolymers. An in vitro antioxidant test revealed that the antioxidant activity of two phenolic acid–CS copolymers and CS is ranked as CA–g–chitosan > FA–g–chitosan > CS. In addition, an in vivo antioxidant activity test showed that the two phenolic acid–CS copolymers could significantly increase antioxidant enzyme activity and reduce the level of malondialdehyde in the serum and liver of D-galactose-induced aging mice, so that the two phenolic acid–CS copolymers had much greater antioxidant activity in vivo than CS.
Figure 11.
Preparation method of QCS and DQCS and test results of antioxidant activity. (a) Synthetic route for the preparation of QCS and DQCS; (b) Antioxidant effect of samples [114].
In recent years, the preparation of conjugates by grafting chitosan with different antioxidants has received considerable attention. This study can not only improve the instability, volatility, and easy degradation of antioxidants but also improve the antioxidant capacity of chitosan. In addition to studying the antioxidant activity of chitosan and its derivatives, its antitumor activity should also be studied, because the ability of chitosan derivatives to scavenge free radicals can enhance their antitumor activity [117].
Table 3 summarizes the studies on antibacterial, antitumor, hemostatic, and antioxidant activities of chitosan derivatives.
Table 3.
Studies of antibacterial, antitumor, hemostatic, and antioxidant activities of different chitosan derivatives.
5. Main Applications of CS and Its Chemically Modified Derivatives
5.1. Textile Industry
In recent years, there has been a substantial increase in the number of studies and applications that utilize CS to modify the surface of textiles to improve its performance. CS plays antibacterial, thickening, blood coagulation, deodorization, antistatic, antiwrinkle, and wound healing roles in the surface modification of textiles [16,118]. In addition, CS can enhance the color depth of textiles and serves as a good auxiliary for printing paste [119]. However, CS has relatively low solubility under neutral or alkaline conditions, which leads to its weak binding to textile fibers and poor washing durability [120,121]. CS derivatives can improve CS solubility and its ability to bind different textile fibers, thus solving chitosan-related problems in the textile industry. The application of common chitosan derivatives in the textile industry is shown in Table 4.
CS and its derivatives are usually used for antibacterial treatment in the textile industry. For example, Gupta et al. [122] used a water-soluble carboxymethyl CS in cotton fabrics through a dry nipping and curing process. Assessment of the antibacterial activity and washing durability of the cotton fabric revealed that the cotton fabric had obvious antibacterial activity against S. aureus and E. coli and improved the washing durability. It is well known that both quaternary ammonium salt groups and Schiff bases have relatively strong antibacterial activity. Fu et al. [123] used 2,3-epoxypropyltrimethyl ammonium chloride and benzaldehyde as a modifier to enhance the antibacterial activity of textiles, synthesized O-type quaternized-N-CS Schiff base (O-QCTSS) through quaternary ammonium modification and Schiff base modification. The study found that the O-QCTSS-treated cotton fabric had strong antibacterial activity and excellent washing durability. Even after 20 consecutive washings, the antibacterial activity of the cotton fabric remained above 75%.
Because chitosan and its derivatives have a wide range of antibacterial activities, they are mainly developed into antibacterial fabrics, wound accessories, sutures, and other products for the textile industry. Attention should also be paid to its research and development in sportswear, printed fabrics, and anti-odor fabrics.
Table 4.
Application of chitosan derivatives in the textile industry.
Table 4.
Application of chitosan derivatives in the textile industry.
| Name | Combine with Textiles | Application | Effect | References |
|---|---|---|---|---|
| O-Acrylamidomethyl-N-[(2-hydroxy-3-dimethyldodecylammonium) propyl] chitosan chloride | Form covalent bonding with cellulosic fibers | Cotton fabric | Showing durable antimicrobial functions even after 30 consecutive home launderings, showed improved uptakes, fixation rates, K/S values, and fastness of reactive dyes without using auxiliary salt | [124] |
| O-Methyl acrylamide quaternary ammonium salt of chitosan | Form covalent bonds with cellulose fiber | Cotton fabric | Demonstrating excellent durable wrinkle-resistance and antibacterial activity against Staphylococcus aureus and Escherichia coli | [125] |
| Carboxymethyl chitosan | Anchored to the surface of cotton fiber via esterification | Cotton fabric | Activity against S. aureus and E. coli was above 99.9%, the evaluation of water absorption and flexibility Showed that the modified cotton fabrics were safe and comfortable | [126] |
| Chitosan-based water-dispersible polyurethane | Using pad-dry-cure procedures | Polyester/cotton textiles | Improvement in the antibacterial activity | [127] |
| Carboxymethyl chitosan | Pad-dry-cure method | Cotton gauze | Promising to be used as bacterial filter | [128] |
| Carboxymethyl chitosan | The coating process | Gauze | Have antifungal activity | [29] |
| Ammonium-salicylidene chitosan Schiff base | Pad-dry-cure method | Cotton fabrics | The treated cotton fibers demonstrated strong and sustainable antimicrobial impacts on S. aureus, E. coli, and C. albicans pathogens | [129] |
| Nanocomposite based on silver nanoparticles and carboxymethyl chitosan | Incorporation | Cotton | The functionalized fabric showed 100% antibacterial activity against E. coli and S. aureus and good antifungal activity against C. albicans and A. niger | [130] |
| Chitosan-acrylamide (Ch-Ac) | Graft | Wool | Antibacterial and antioxidant activities of Ch-Ac-treated wool yarns were significantly improved | [131] |
| Novel chitosan-based polymeric dye | Padding | Cotton | The dyed cotton showed an outstanding mosquito repellency (100%) with good durability | [132] |
5.2. Wound Healing
Skin wound treatment usually refers to hemostasis and anti-inflammatory treatment. Inappropriate wound treatment can cause serious complications and loss of function. CS and its derivatives demonstrate excellent properties, such as biocompatibility, osteoconduction, and a porous structure, and it promotes cell growth, hemostasis, broad-spectrum antibacterial activity, and tissue adhesion, which can be used as a wound healing accelerant [133,134,135] and are widely prepared into different forms of anticoagulant materials such as sponges, hydrogels, particles, bandages, and dressings [136,137,138]. When acting on the wound, these CS sponges, dressings, or particles can combine with tissue fluid exuded from injured skin to form a CS hydrogel, thereby promoting healing. CS can accelerate wound healing in each stage to some extent. For example, in the early stage of the healing phase, CS can exert its hemostatic effect, which promotes the infiltration and migration of neutrophils and macrophages [139], thereby promoting the formation of granulation tissue. For example, Pandini et al. [134] prepared chitosan film biomaterials, and then filled them in the experimental defect nasal bones of long-term alcoholic and non-alcoholic rats, respectively, and found that chitosan film caused alcoholism. Mice and hangover rats have good biocompatibility and can promote the proliferation of osteoblasts in the damaged nasal bone of rats, and achieve the effect of promoting osteogenesis.
Due to poor water solubility and weak antibacterial activity, CS has limited application in wound healing. CS derivatives can improve the antibacterial activity of CS and enable more and stronger activity, which effectively expands the application scope of CS in the field of wound healing. The application of common chitosan derivatives in wound healing is shown in Table 5. For example, Zheng et al. [140] coated the surface of cotton gauze with carboxymethyl chitosan–gelatin–alginate to develop a fast hemostatic composite dressing. The composite dressing achieved relatively strong liquid absorption, excellent biocompatibility, and blood compatibility. More importantly, compared with cotton gauze, the composite dressing demonstrated a shorter hemostasis time and less blood loss in the mouse liver injury model and mouse tail amputation model. Moreover, the dressing could also promote wound surface healing. Sulfonamides are effective drugs for the prevention and treatment of bacterial infections. To improve the antibacterial activity of wound dressings, Dragostin et al. [93] introduced sulfadiazine, sulfadimethoxine, and sulfamethoxazole to CS and then synthesized three chitosan-sulfonamide derivatives. Evaluation of the biodegradation behavior of the three chitosan-sulfonamide derivatives in vivo revealed that they effectively alleviated the wound swelling and achieved a higher biodegradation rate. In the rat burn wound model test, the three chitosan-sulfonamide derivatives had a significantly better effect than CS in promoting the healing of rat burn wounds.
Table 5.
Application of chitosan derivatives in wound therapy.
Chitosan and its derivatives have good biocompatibility and hemostatic, antibacterial, and wound healing properties, which have aroused great interest in the use of chitosan derivatives for wound healing in recent years. Many dressings and drugs related to chitosan and its derivatives have been successfully developed and have achieved good efficacy, but there are few clinical trials on these drugs, which should be strengthened to truly benefit human health.
5.3. Drug Carrier
The amino group of CS is positively charged and interacts electrostatically with the negative charge on the mucosal surface to create a mucosal adhesion effect [151,152]. Generally, mucosal adhesion properties will increase the adhesion time of the drug in the body’s absorption site, which helps control drug release, improve drug absorption, and enhance the drug therapeutic effect [153]. In addition, CS also has good biodegradability, biocompatibility, and nontoxicity properties, which makes it suitable as a drug carrier. CS enjoys relatively broad research and application prospects in the field of drug carriers, and it is often used as an antitumor drug targeting carrier, sustained-release drug carrier, or gene carrier [153,154,155,156]. As a drug carrier, CS derivatives not only improve the CS solubility but also enable colon-targeted therapy of drugs and enhance drug release in alkaline environments [157]. Currently, the more commonly used CS derivative carriers include quaternized CS, thiolated CS, alkylated CS, and carboxylated CS. Common chitosan derivatives as drug carriers and their applications are shown in Table 6.
Quaternized CS has a permanent cationic charge, which can enhance the mucosal adhesion of CS and permeability of loaded drugs. For example, Wang et al. [158] demonstrated that a composite membrane composed of a quaternized CS composite hydrogel membrane, carboxymethyl cellulose composite hydrogel membrane, and 5-fluorouracil had significant toxicity against HepG2 cells, while the carboxymethyl cellulose/quaternized chitosan (CMC/HACC) composite membrane can be used as a targeted drug delivery system. In addition, Zhang et al. [159] first prepared oleoyl CS (OCH) using CS and oleoyl chloride, then prepared OCH nanoparticles by using the oil-in-water emulsification method, and finally efficiently loaded doxorubicin hydrochloride (DOX) into OCH nanoparticles. A cytotoxicity test revealed that blank OCH nanoparticles were not cytotoxic to mouse embryonic fibroblasts and human lung cancer cell line A549. Lung cancer cell proliferation experiments demonstrated that an OCH nanoparticle suspension loaded with DOX had a significantly higher inhibitory rate against A549 cells than the DOX solution. These results indicate that OCH nanoparticles are a good carrier for antitumor drugs.
In the application field of chitosan and its derivatives, its application in drug delivery has attracted the most attention of researchers, and good results have been achieved in this field. The current drug delivery system is not perfect, so it is still very important to study new drug carrier materials. Chitosan derivatives are suitable for controlled and sustained release of drugs, and researchers can focus on preparing them into microcapsules, micelles, microcapsules, and nano-drug-loading materials such as spheres.
Table 6.
Chitosan derivatives as drug carriers and their applications.
Table 6.
Chitosan derivatives as drug carriers and their applications.
| Carrier | Drug | Application | Effect | References |
|---|---|---|---|---|
| Carboxymethyl-hexanoyl chitosan | Demethoxycurcumin, cisplatin | Cancer stem-like cells | Promoted synergistic effects between the drugs and were highly effective against multidrug resistance lung cancer stem-like cells | [160] |
| Mpeg-chitosan-oleic acid | Camptothecin | Nanomicelle | Efficiently carry hydrophobic drugs, protecting and improving their stability after oral administration | [161] |
| Amphiphilic chitosan (CS-DA-NAC) | Quercetin | Nanomicelle | May provide a new alternative for the effective delivery of hydrophobic drugs | [162] |
| Ph-sensitive N-naphthyl-N, O-succinyl chitosan | Curcumin | Colon-targeted drug delivery | Increase curcumin stability, may have potential to be a prospective candidate for curcumin delivery to the colon | [163] |
| Chitosan whisker grafted with oligo (lactic acid) nanoparticles | Lidocae | Transdermal drug delivery system (TDDS) | Performed as a good system for TDDS | [164] |
| Chitosandeoxycholic acid nanoparticles containing perfluoropentane and iron oxide | siRNA | Transdermal drug delivery system (TDDS) | Promote siRNA uptake | [165] |
| Methyl methacrylate modified chitosan conjugate | Curcumin | Gene and drug delivery system | An efficient target drug delivery system | [166] |
| O-Carboxymethyl chitosan | Metformin | Pancreatic cancer | Reduced colony formation ability of the cancer cells, no adverse toxicity to the organs, with anticancer potential | [167] |
| Carboxymethyl cellulose/quaternized chitosan composite hydrogel film | 5-Fluorouracil | Hepg2 cells | Showed redox and pH responsive of drug release properties along with well biocompatibility, the drug loaded composite films with obvious toxicity against hepg2 cells | [158] |
| Chitosan grafted-poly (ethylene glycol) methacrylate derivative | Bevacizumab | Ophthalmic drug delivery system | A much lower dose to administer, prolonged release, the effectiveness of local delivery (which may extend up to at 14–30 days) | [168] |
5.4. Wastewater Purification
Heavy metals, chemical reagents, dyes, and other pollutants in the water pose a serious threat to human health, which presents a great challenge for environmental maintenance efforts. At present, adsorption is the most effective and popular method for wastewater pollutant treatment [169]. CS is a natural adsorbent that can reduce turbidity, color, and small particles in water [170]. More importantly, CS can also remove heavy metal ions, microbial pollutants, and harmful pollutants (dyes, pesticides, and herbicides) in water [171,172,173]. Already authorized by the U.S. Environmental Protection Agency to be used for the purification of drinking water, CS has been used in water purification plants all over the world to remove oil, grease, heavy metals, and fine particles from water. The amino group of CS is an excellent chelating ligand with a strong attraction to metal cations, which can chelate with metal ions, such as cadmium, copper, lead, and mercury [174] and acts as the main group of CS that enables a wastewater purification effect. The application of common chitosan derivatives in wastewater purification is shown in Table 7.
At present, CS is mainly used for the removal of heavy metals in wastewater purification. The adsorption capacity of CS against heavy metals is influenced by factors such as the deacetylation degree, wastewater environment, and types of heavy metals [175]. Unfortunately, the adsorption capacity of CS is not strong enough, but CS derivatives can be synthesized via a reaction with specific substituents to improve the adsorption rate of heavy metals [176]. In addition, chemically modified CS derivatives support selective adsorption of heavy metals in wastewater. For example, Zhang et al. [177] grafted acrylic acid onto CS to synthesize new CS derivatives and then synthesized a composite adsorbent material (PAA/CTS/BC) using biochar. The study revealed that PAA/CTS/BC achieved efficient and rapid adsorption against heavy metal ions, such as Cu2+, Zn2+, Ni2+, Pb2+, Cd2+, Mn2+, Co2+, and Cr3+. The main mechanism of action is that the inner spherical complex of the carboxyl, hydroxyl, or amino group of the composite adsorptive material can complex with surface heavy metals, demonstrating strong selective absorption in the process. PAA/CTS/BC has the strongest selectivity for Cr3+and supports metal recovery of industrial wastewater.
In recent years, great research progress has been made in the environmental applications of chitosan and its derivative adsorbents, but their selective adsorption capacity, preparation cost, and reusability still need to be further improved.
Table 7.
Application of chitosan derivatives in wastewater purification.
Table 7.
Application of chitosan derivatives in wastewater purification.
| Name | Application | Effect | References |
|---|---|---|---|
| Chitosan-O-arginine | Removal of heavy metals | Removal of heavy metals (Mn2+, Pb2+ and Al3+) was 97.1%, 94.3%, and 99% | [178] |
| Functionalized chitosan nanoparticles with pyrimidine derivative | Removal of heavy metals | Removal of Cr (VI), Pb (II), and Cd (II) plasma from highly contaminated tannery wastewater | [179] |
| Carboxymethyl chitosan biochar | Removal of heavy metals | Highly selective for heavy metal ions and it also presented good stability and reusability for industrial applications | [180] |
| Carboxyl-rich chitosan-based flocculant (CS-g-P (AM-IA)) | Flocculation and decolorization | The decolorization ability of cationic dyes by CS-g-P(AM-IA) was greatly enhanced | [181] |
| N-guanidinium chitosan/silica-containing sulphonic acid group microhybrid | Dye adsorbent | Efficient and sustainable adsorbent for methylene blue removal | [182] |
| Quaternary chitosan magnetite nanosorbents | The removal of glyphosate | Efficiently remove glyphosate present in realistic environmental concentrations | [183] |
| Chitosan-derived Schiff base | Dye adsorbent | The synthesized bio-based adsorbent material is effective for the removal of rhodamine B dye from an aqueous solution | [184] |
| Sulfonated chitosan (S-CS) | Dye adsorbent | The S-CS is an effective and efficient adsorbent over a wide range of pH conditions for the removal of methylene blue | [185] |
| Quaternized trimethyl chitosan | Water disinfection | Better antifungal effect | [186] |
6. Conclusions and Prospects
Generally speaking, for various CS chemical modification methods, it is possible to introduce the target group into the amino group or hydroxyl group by changing the reaction conditions, but the target group is mainly introduced to the amino group. In addition, the various chemical modification methods above can basically improve the water solubility of CS. It is also possible to introduce hydrophobic groups to improve the fat solubility of CS. More importantly, CS modified by various methods achieves improved properties, especially antibacterial, antioxidant, antitumor, and hemostatic activities. Table 5 provides a comprehensive evaluation of the preparation methods and effects of the above-mentioned chemical modification technologies. Due to their excellent properties, CS and its derivatives are frequently used in wastewater treatment, textiles, wound dressings, and drug carriers, as well as in textiles, beauty and health care, cosmetics, gene therapy, sutures, bioimaging, drug carriers, and antibacterial agents. At present, there is a large number of drugs with outstanding efficacy, but their clinical applications are severely limited due to their solubility, light instability, easy oxidation, and gastrointestinal instability. In order to improve the solubility of these drugs and improve their stability, it is necessary to study and prepare more new high-quality drug carrier materials, so chemical modification of chitosan to synthesize drug carrier materials is a good direction.
Due to progress in the research on modification methods, the application range of CS and its derivatives is relatively wide. Nevertheless, the development of new applications of CS is relatively slow and has not achieved large-scale industrial application. The main reason is that CS is expensive, with a higher development price compared to petroleum-based polymers with similar properties. Therefore, in addition to strengthening development research toward improving CS modification technology, we should intensify the application research of CS derivatives, especially in the field of biomedicine. In addition, further research is needed on the grafting of CS with long-chain groups and the compounding of CS with antioxidant, antitumor, and antibacterial drugs to prepare CS derivatives with stronger activities, thus broadening its application scope. Finally, we should continually optimize the preparation of CS, investigate more economical preparation methods, and boost the large-scale production of CS.
Author Contributions
Funding acquisition, H.L. and Q.O.; Writing—original draft, Q.C., Y.Q. and K.W.; Writing—review and editing, Y.J., W.Q. and S.L. All authors have read and agreed to the published version of the manuscript.
Funding
This work was supported by the Public Service Platform of South China Sea for R&D Marine Biomedicine Resources (2HC18001), Project of the Ph.D. Start-up Fund of Guangdong Medical University (GDMUB2021005, GDMUB2022032), Science and Technology Project of Guangdong Province, China (2018A030307001, 2019B090905011), Special Funds for Economic Development of Marine Economy of Guangdong Province, China (GDME-2018C011), Special Science and Technology Innovation Project of Guangdong Province, China (2019A01005, 2019A03023), Discipline construction project of Guangdong Medical University (4SG21009G), and Special Support Project for Southern Marine Science and Engineering Guangdong Laboratory (Zhanjiang) (grant number: ZJW-2019-007).
Institutional Review Board Statement
Not applicable.
Informed Consent Statement
Not applicable.
Data Availability Statement
Not applicable.
Conflicts of Interest
The authors declare no conflict of interest.
References
- Yen, M.-T.; Yang, J.-H.; Mau, J.-L. Physicochemical characterization of chitin and chitosan from crab shells. Carbohydr. Polym. 2009, 75, 15–21. [Google Scholar] [CrossRef]
- Joseph, S.M.; Krishnamoorthy, S.; Paranthaman, R.; Moses, J.A.; Anandharamakrishnan, C. A review on source-specific chemistry, functionality, and applications of chitin and chitosan. Carbohydr. Polym. Technol. Appl. 2021, 2, 100036. [Google Scholar] [CrossRef]
- Bakshi, P.S.; Selvakumar, D.; Kadirvelu, K.; Kumar, N.S. Chitosan as an environment friendly biomaterial—A review on recent modifications and applications. Int. J. Biol. Macromol. 2020, 150, 1072–1083. [Google Scholar] [CrossRef] [PubMed]
- Martau, G.A.; Mihai, M.; Vodnar, D.C. The Use of Chitosan, Alginate, and Pectin in the Biomedical and Food Sector-Biocompatibility, Bioadhesiveness, and Biodegradability. Polymers 2019, 11, 1837. [Google Scholar] [CrossRef] [Green Version]
- Thandapani, G.; Prasad, S.; Sudha, P.N.; Sukumaran, A. Size optimization and in vitro biocompatibility studies of chitosan nanoparticles. Int. J. Biol. Macromol. 2017, 104, 1794–1806. [Google Scholar] [CrossRef]
- Matica, M.A.; Aachmann, F.L.; Tondervik, A.; Sletta, H.; Ostafe, V. Chitosan as a Wound Dressing Starting Material: Antimicrobial Properties and Mode of Action. Int. J. Mol. Sci. 2019, 20, 5889. [Google Scholar] [CrossRef] [Green Version]
- Mohebbi, S.; Nezhad, M.N.; Zarrintaj, P.; Jafari, S.H.; Gholizadeh, S.S.; Saeb, M.R.; Mozafari, M. Chitosan in Biomedical Engineering: A Critical Review. Curr. Stem. Cell Res. Ther. 2019, 14, 93–116. [Google Scholar] [CrossRef]
- Felice, F.; Zambito, Y.; Belardinelli, E.; Fabiano, A.; Santoni, T.; Di Stefano, R. Effect of different chitosan derivatives on in vitro scratch wound assay: A comparative study. Int. J. Biol. Macromol. 2015, 76, 236–241. [Google Scholar] [CrossRef]
- Verlee, A.; Mincke, S.; Stevens, C.V. Recent developments in antibacterial and antifungal chitosan and its derivatives. Carbohydr. Polym. 2017, 164, 268–283. [Google Scholar] [CrossRef]
- Hu, Z.; Lu, S.; Cheng, Y.; Kong, S.; Li, S.; Li, C.; Yang, L. Investigation of the Effects of Molecular Parameters on the Hemostatic Properties of Chitosan. Molecules 2018, 23, 3147. [Google Scholar] [CrossRef] [Green Version]
- Chang, A.K.T.; Frias, R.R.; Alvarez, L.V.; Bigol, U.G.; Guzman, J.P.M.D. Comparative antibacterial activity of commercial chitosan and chitosan extracted from Auricularia sp. Biocatal. Agric. Biotechnol. 2019, 17, 189–195. [Google Scholar] [CrossRef]
- Sayari, N.; Sila, A.; Abdelmalek, B.E.; Abdallah, R.B.; Ellouz-Chaabouni, S.; Bougatef, A.; Balti, R. Chitin and chitosan from the Norway lobster by-products: Antimicrobial and anti-proliferative activities. Int. J. Biol. Macromol. 2016, 87, 163–171. [Google Scholar] [CrossRef] [PubMed]
- Manek, E.; Darvas, F.; Petroianu, G.A. Use of Biodegradable, Chitosan-Based Nanoparticles in the Treatment of Alzheimer’s Disease. Molecules 2020, 25, 4866. [Google Scholar] [CrossRef] [PubMed]
- Li, X.; Xing, R.; Xu, C.; Liu, S.; Qin, Y.; Li, K.; Yu, H.; Li, P. Immunostimulatory effect of chitosan and quaternary chitosan: A review of potential vaccine adjuvants. Carbohydr. Polym. 2021, 264, 118050. [Google Scholar] [CrossRef]
- Aranaz, I.; Acosta, N.; Civera, C.; Elorza, B.; Mingo, J.; Castro, C.; Gandia, M.L.L.; Heras Caballero, A. Cosmetics and Cosmeceutical Applications of Chitin, Chitosan and Their Derivatives. Polymers 2018, 10, 213. [Google Scholar] [CrossRef] [Green Version]
- Naz, F.; Zuber, M.; Mehmood Zia, K.; Salman, M.; Chakraborty, J.; Nath, I.; Verpoort, F. Synthesis and characterization of chitosan-based waterborne polyurethane for textile finishes. Carbohydr. Polym. 2018, 200, 54–62. [Google Scholar] [CrossRef]
- Santos-Carballal, B.; Fernandez Fernandez, E.; Goycoolea, F.M. Chitosan in Non-Viral Gene Delivery: Role of Structure, Characterization Methods, and Insights in Cancer and Rare Diseases Therapies. Polymers 2018, 10, 444. [Google Scholar] [CrossRef] [Green Version]
- Harish, R.; Nisha, K.D.; Prabakaran, S.; Sridevi, B.; Harish, S.; Navaneethan, M.; Ponnusamy, S.; Hayakawa, Y.; Vinniee, C.; Ganesh, M.R. Cytotoxicity assessment of chitosan coated CdS nanoparticles for bio-imaging applications. Appl. Surf. Sci. 2019, 499, 143817. [Google Scholar] [CrossRef]
- Walter, F.; Winter, E.; Rahn, S.; Heidland, J.; Meier, S.; Struzek, A.M.; Lettau, M.; Philipp, L.M.; Beckinger, S.; Otto, L.; et al. Chitosan nanoparticles as antigen vehicles to induce effective tumor specific T cell responses. PLoS ONE 2020, 15, e0239369. [Google Scholar] [CrossRef]
- Sip, S.; Paczkowska-Walendowska, M.; Rosiak, N.; Miklaszewski, A.; Grabanska-Martynska, K.; Samarzewska, K.; Cielecka-Piontek, J. Chitosan as Valuable Excipient for Oral and Topical Carvedilol Delivery Systems. Pharmaceuticals 2021, 14, 712. [Google Scholar] [CrossRef]
- Safari, M.; Ghiaci, M.; Jafari-Asl, M.; Ensafi, A.A. Nanohybrid organic–inorganic chitosan/dopamine/TiO2 composites with controlled drug-delivery properties. Appl. Surf. Sci. 2015, 342, 26–33. [Google Scholar] [CrossRef]
- Zhang, E.; Xing, R.; Liu, S.; Qin, Y.; Li, K.; Li, P. Advances in chitosan-based nanoparticles for oncotherapy. Carbohydr. Polym. 2019, 222, 115004. [Google Scholar] [CrossRef] [PubMed]
- Razmi, F.A.; Ngadi, N.; Wong, S.; Inuwa, I.M.; Opotu, L.A. Kinetics, thermodynamics, isotherm and regeneration analysis of chitosan modified pandan adsorbent. J. Clean. Prod. 2019, 231, 98–109. [Google Scholar] [CrossRef]
- Ali, A.; Ahmed, S. A review on chitosan and its nanocomposites in drug delivery. Int. J. Biol. Macromol. 2018, 109, 273–286. [Google Scholar] [CrossRef] [PubMed]
- Wang, J.J.; Zeng, Z.W.; Xiao, R.Z.; Xie, T.; Zhou, G.L.; Zhan, X.R.; Wang, S.L. Recent advances of chitosan nanoparticles as drug carriers. Int. J. Nanomed. 2011, 6, 765–774. [Google Scholar] [CrossRef] [Green Version]
- Sahariah, P.; Másson, M. Antimicrobial Chitosan and Chitosan Derivatives: A Review of the Structure-Activity Relationship. Biomacromolecules 2017, 18, 3846–3868. [Google Scholar] [CrossRef]
- Wang, W.; Xue, C.; Mao, X. Chitosan: Structural modification, biological activity and application. Int. J. Biol. Macromol. 2020, 164, 4532–4546. [Google Scholar] [CrossRef]
- Jimtaisong, A.; Saewan, N. Utilization of carboxymethyl chitosan in cosmetics. Int. J. Cosmet. Sci. 2014, 36, 12–21. [Google Scholar] [CrossRef] [Green Version]
- Kurniasih, M.; Purwati; Cahyati, T.; Dewi, R.S. Carboxymethyl chitosan as an antifungal agent on gauze. Int. J. Biol. Macromol. 2018, 119, 166–171. [Google Scholar] [CrossRef]
- Huang, G.Q.; Zhang, Z.K.; Cheng, L.Y.; Xiao, J.X. Intestine-targeted delivery potency of O-carboxymethyl chitosan-coated layer-by-layer microcapsules: An in vitro and in vivo evaluation. Mater. Sci. Eng. C Mater. Biol. Appl. 2019, 105, 110129. [Google Scholar] [CrossRef]
- He, G.; Chen, X.; Yin, Y.; Cai, W.; Ke, W.; Kong, Y.; Zheng, H. Preparation and antibacterial properties of O-carboxymethyl chitosan/lincomycin hydrogels. J. Biomater. Sci. Polym. Ed. 2016, 27, 370–384. [Google Scholar] [CrossRef] [PubMed]
- Baran, T.; Mentes, A.; Arslan, H. Synthesis and characterization of water soluble O-carboxymethyl chitosan Schiff bases and Cu(II) complexes. Int. J. Biol. Macromol. 2015, 72, 94–103. [Google Scholar] [CrossRef] [PubMed]
- Shi, B.; Shen, Z.; Zhang, H.; Bi, J.; Dai, S. Exploring N-imidazolyl-O-carboxymethyl chitosan for high performance gene delivery. Biomacromolecules 2012, 13, 146–153. [Google Scholar] [CrossRef] [PubMed]
- Adnan, S.; Ranjha, N.M.; Hanif, M.; Asghar, S. O-Carboxymethylated chitosan; A promising tool with in-vivo anti-inflammatory and analgesic properties in albino rats. Int. J. Biol. Macromol. 2020, 156, 531–536. [Google Scholar] [CrossRef]
- Li, H.; Cheng, F.; Wei, X.; Yi, X.; Tang, S.; Wang, Z.; Zhang, Y.S.; He, J.; Huang, Y. Injectable, self-healing, antibacterial, and hemostatic N,O-carboxymethyl chitosan/oxidized chondroitin sulfate composite hydrogel for wound dressing. Mater. Sci. Eng. C Mater. Biol. Appl. 2021, 118, 111324. [Google Scholar] [CrossRef]
- Niu, X.; Zhu, L.; Xi, L.; Guo, L.; Wang, H. An antimicrobial agent prepared by N-succinyl chitosan immobilized lysozyme and its application in strawberry preservation. Food Control. 2019, 108, 106829. [Google Scholar] [CrossRef]
- Upadhyaya, L.; Singh, J.; Agarwal, V.; Tewari, R.P. Biomedical applications of carboxymethyl chitosans. Carbohydr. Polym. 2013, 91, 452–466. [Google Scholar] [CrossRef]
- Chen, Z.; Yao, X.; Liu, L.; Guan, J.; Liu, M.; Li, Z.; Yang, J.; Huang, S.; Wu, J.; Tian, F.; et al. Blood coagulation evaluation of N-alkylated chitosan. Carbohydr. Polym. 2017, 173, 259–268. [Google Scholar] [CrossRef]
- Jiang, Y.; Zhang, Y.; Zhang, H.; Zhu, R.; Bai, Y.; Yu, Y. Preparation of n-alkylated quaternary ammonium chitosan and its application in antibacterial finishing of rabbit hair fabric. J. Phys. Conf. Ser. 2021, 1790, 012078. [Google Scholar] [CrossRef]
- Chen, Z.; Han, L.; Liu, C.; Du, Y.; Hu, X.; Du, G.; Shan, C.; Yang, K.; Wang, C.; Li, M.; et al. A rapid hemostatic sponge based on large, mesoporous silica nanoparticles and N-alkylated chitosan. Nanoscale 2018, 10, 20234–20245. [Google Scholar] [CrossRef]
- Huang, Y.; Feng, L.; Zhang, Y.; He, L.; Wang, C.; Xu, J.; Wu, J.; Kirk, T.B.; Guo, R.; Xue, W. Hemostasis mechanism and applications of N-alkylated chitosan sponge. Polym. Adv. Technol. 2017, 28, 1107–1114. [Google Scholar] [CrossRef]
- Ma, G.; Yang, D.; Zhou, Y.; Xiao, M.; Kennedy, J.F.; Nie, J. Preparation and characterization of water-soluble N-alkylated chitosan. Carbohydr. Polym. 2008, 74, 121–126. [Google Scholar] [CrossRef]
- Huo, M.; Zhang, Y.; Zhou, J.; Zou, A.; Yu, D.; Wu, Y.; Li, J.; Li, H. Synthesis and characterization of low-toxic amphiphilic chitosan derivatives and their application as micelle carrier for antitumor drug. Int. J. Pharm. 2010, 394, 162–173. [Google Scholar] [CrossRef] [PubMed]
- Sahariah, P.; Benediktssdottir, B.E.; Hjalmarsdottir, M.A.; Sigurjonsson, O.E.; Sorensen, K.K.; Thygesen, M.B.; Jensen, K.J.; Masson, M. The Impact of Chain Length on Antibacterial Activity and Hemocompatibility of Quaternary N-Alkyl and N,N-Dialkyl Chitosan Derivatives. Biomacromolecules 2015, 16, 1449–1460. [Google Scholar] [CrossRef] [PubMed]
- Zampano, G.; Bertoldo, M.; Ciardelli, F. Defined Chitosan-based networks by C-6-Azide–alkyne “click” reaction. React. Funct. Polym. 2010, 70, 272–281. [Google Scholar] [CrossRef]
- Chen, H.; Cui, S.; Zhao, Y.; Wang, B.; Zhang, S.; Chen, H.; Peng, X. O-Alkylation of Chitosan for Gene Delivery by Using Ionic Liquid in an in- situ Reactor. Engineering 2012, 4, 114–117. [Google Scholar] [CrossRef] [Green Version]
- Liu, C.; Wu, Y.; Zhao, L.; Huang, X. Preparation of acetylsalicylic acid-acylated chitosan as a novel polymeric drug for drug controlled release. Int. J. Biol. Macromol. 2015, 78, 189–194. [Google Scholar] [CrossRef]
- Piegat, A.; Goszczynska, A.; Idzik, T.; Niemczyk, A. The Importance of Reaction Conditions on the Chemical Structure of N,O-Acylated Chitosan Derivatives. Molecules 2019, 24, 3047. [Google Scholar] [CrossRef] [Green Version]
- Ma, G.; Yang, D.; Kennedy, J.F.; Nie, J. Synthesize and characterization of organic-soluble acylated chitosan. Carbohydr. Polym. 2009, 75, 390–394. [Google Scholar] [CrossRef]
- Zhang, Z.; Jin, F.; Wu, Z.; Jin, J.; Li, F.; Wang, Y.; Wang, Z.; Tang, S.; Wu, C.; Wang, Y. O-acylation of chitosan nanofibers by short-chain and long-chain fatty acids. Carbohydr. Polym. 2017, 177, 203–209. [Google Scholar] [CrossRef]
- Tang, F.; Lv, L.; Lu, F.; Rong, B.; Li, Z.; Lu, B.; Yu, K.; Liu, J.; Dai, F.; Wu, D.; et al. Preparation and characterization of N-chitosan as a wound healing accelerator. Int. J. Biol. Macromol. 2016, 93, 1295–1303. [Google Scholar] [CrossRef] [PubMed]
- Ahmad, N.; Wee, C.E.; Wai, L.K.; Zin, N.M.; Azmi, F. Biomimetic amphiphilic chitosan nanoparticles: Synthesis, characterization and antimicrobial activity. Carbohydr. Polym. 2021, 254, 117299. [Google Scholar] [CrossRef] [PubMed]
- Skorik, Y.A.; Kritchenkov, A.S.; Moskalenko, Y.E.; Golyshev, A.A.; Raik, S.V.; Whaley, A.K.; Vasina, L.V.; Sonin, D.L. Synthesis of N-succinyl- and N-glutaryl-chitosan derivatives and their antioxidant, antiplatelet, and anticoagulant activity. Carbohydr. Polym. 2017, 166, 166–172. [Google Scholar] [CrossRef] [PubMed]
- Zhao, D.; Xu, J.; Wang, L.; Du, J.; Dong, K.; Wang, C.; Liu, X. Study of two chitosan derivatives phosphorylated at hydroxyl or amino groups for application as flocculants. J. Appl. Polym. Sci. 2012, 125, E299–E305. [Google Scholar] [CrossRef]
- Shanmugam, A.; Kathiresan, K.; Nayak, L. Preparation, characterization and antibacterial activity of chitosan and phosphorylated chitosan from cuttlebone of Sepia kobiensis (Hoyle, 1885). Biotechnol. Rep. 2016, 9, 25–30. [Google Scholar] [CrossRef] [Green Version]
- Dimassi, S.; Tabary, N.; Chai, F.; Blanchemain, N.; Martel, B. Sulfonated and sulfated chitosan derivatives for biomedical applications: A review. Carbohydr Polym 2018, 202, 382–396. [Google Scholar] [CrossRef]
- Ramasamy, P.; Subhapradha, N.; Thinesh, T.; Selvin, J.; Selvan, K.M.; Shanmugam, V.; Shanmugam, A. Characterization of bioactive chitosan and sulfated chitosan from Doryteuthis singhalensis (Ortmann, 1891). Int. J. Biol. Macromol. 2017, 99, 682–691. [Google Scholar] [CrossRef]
- Bano, S.; Afzal, M.; Waraich, M.M.; Alamgir, K.; Nazir, S. Paclitaxel loaded magnetic nanocomposites with folate modified chitosan/carboxymethyl surface; a vehicle for imaging and targeted drug delivery. Int. J. Pharm. 2016, 513, 554–563. [Google Scholar] [CrossRef]
- Kazachenko, A.S.; Akman, F.; Malyar, Y.N.; Issaoui, N.; Vasilieva, N.Y.; Karacharov, A.A. Synthesis optimization, DFT and physicochemical study of chitosan sulfates. J. Mol. Struct. 2021, 1245, 131083. [Google Scholar] [CrossRef]
- Wang, T.; Zhou, Y.; Xie, W.; Chen, L.; Zheng, H.; Fan, L. Preparation and anticoagulant activity of N-succinyl chitosan sulfates. Int. J. Biol. Macromol. 2012, 51, 808–814. [Google Scholar] [CrossRef]
- Imran, M.; Sajwan, M.; Alsuwayt, B.; Asif, M. Synthesis, characterization and anticoagulant activity of chitosan derivatives. Saudi Pharm. J. 2020, 28, 25–32. [Google Scholar] [CrossRef] [PubMed]
- Cao, L.; Wang, J.; Hou, J.; Xing, W.; Liu, C. Vascularization and bone regeneration in a critical sized defect using 2-N,6-O-sulfated chitosan nanoparticles incorporating BMP-2. Biomaterials 2014, 35, 684–698. [Google Scholar] [CrossRef] [PubMed]
- Wang, K.; Liu, Q. Chemical structure analyses of phosphorylated chitosan. Carbohydr. Res. 2014, 386, 48–56. [Google Scholar] [CrossRef] [PubMed]
- Wang, K.; Liu, Q. Adsorption of phosphorylated chitosan on mineral surfaces. Colloids Surf. A Physicochem. Eng. Asp. 2013, 436, 656–663. [Google Scholar] [CrossRef]
- Wu, D.; Wang, Y.; Li, Y.; Wei, Q.; Hu, L.; Yan, T.; Feng, R.; Yan, L.; Du, B. Phosphorylated chitosan/CoFe2O4 composite for the efficient removal of Pb(II) and Cd(II) from aqueous solution: Adsorption performance and mechanism studies. J. Mol. Liq. 2019, 277, 181–188. [Google Scholar] [CrossRef]
- Lu, W.; Yang, Z.; Chen, J.; Wang, D.; Zhang, Y. Recent advances in antiviral activities and potential mechanisms of sulfated polysaccharides. Carbohydr. Polym. 2021, 272, 118526. [Google Scholar] [CrossRef] [PubMed]
- Sun, Z.; Shi, C.; Wang, X.; Fang, Q.; Huang, J. Synthesis, characterization, and antimicrobial activities of sulfonated chitosan. Carbohydr. Polym. 2017, 155, 321–328. [Google Scholar] [CrossRef] [Green Version]
- Huang, J.; Liu, Y.; Yang, L.; Zhou, F. Synthesis of sulfonated chitosan and its antibiofilm formation activity against E. coli and S. aureus. Int. J. Biol. Macromol. 2019, 129, 980–988. [Google Scholar] [CrossRef]
- Tsai, H.-S.; Wang, Y.-Z.; Lin, J.-J.; Lien, W.-F. Preparation and Properties of Sulfopropyl Chitosan Derivatives with Various Sulfonation Degree. J. Appl. Polym. Sci. 2009, 116, 1686–1693. [Google Scholar] [CrossRef]
- Lv, S.; Liu, J.; Zhou, Q.; Huang, L.; Sun, T. Synthesis of Modified Chitosan Superplasticizer by Amidation and Sulfonation and Its Application Performance and Working Mechanism. Ind. Eng. Chem. Res. 2014, 53, 3908–3916. [Google Scholar] [CrossRef]
- Shelma, R.; Sharma, C.P. Development of lauroyl sulfated chitosan for enhancing hemocompatibility of chitosan. Colloids Surf. B Biointerfaces 2011, 84, 561–570. [Google Scholar] [CrossRef] [PubMed]
- Zhang, J.; Tan, W.; Luan, F.; Yin, X.; Dong, F.; Li, Q.; Guo, Z. Synthesis of Quaternary Ammonium Salts of Chitosan Bearing Halogenated Acetate for Antifungal and Antibacterial Activities. Polymers 2018, 10, 530. [Google Scholar] [CrossRef] [PubMed] [Green Version]
- Wang, W.; Meng, Q.; Li, Q.; Liu, J.; Zhou, M.; Jin, Z.; Zhao, K. Chitosan Derivatives and Their Application in Biomedicine. Int. J. Mol. Sci. 2020, 21, 487. [Google Scholar] [CrossRef] [PubMed] [Green Version]
- Wei, L.; Li, Q.; Tan, W.; Dong, F.; Luan, F.; Guo, Z. Synthesis, Characterization, and the Antioxidant Activity of Double Quaternized Chitosan Derivatives. Molecules 2017, 22, 501. [Google Scholar] [CrossRef] [PubMed] [Green Version]
- Sajomsang, W.; Gonil, P.; Saesoo, S.; Ovatlarnporn, C. Antifungal property of quaternized chitosan and its derivatives. Int. J. Biol. Macromol. 2012, 50, 263–269. [Google Scholar] [CrossRef]
- Zhang, W.; Zhou, J.J.; Dai, X.L. Preparation and characterization of reactive chitosan quaternary ammonium salt and its application in antibacterial finishing of cot.tton fabri. Text. Res. J. 2016, 87, 759–765. [Google Scholar] [CrossRef]
- Zhang, W.; Dai, X.; Zhou, J.; Zhu, G. Antibacterial Bombyx Mori silk fabric modified with reactive chitosan quaternary ammonium salt and its laundering durability. Fibers Polym. 2017, 18, 290–295. [Google Scholar] [CrossRef]
- Li, S.D.; Li, P.W.; Yang, Z.M.; Peng, Z.; Quan, W.Y.; Yang, X.H.; Yang, L.; Dong, J.J. Synthesis and characterization of chitosan quaternary ammonium salt and its application as drug carrier for ribavirin. Drug Deliv. 2014, 21, 548–552. [Google Scholar] [CrossRef] [Green Version]
- Cele, Z.E.D.; Somboro, A.M.; Amoako, D.G.; Ndlandla, L.F.; Balogun, M.O. Fluorinated Quaternary Chitosan Derivatives: Synthesis, Characterization, Antibacterial Activity, and Killing Kinetics. ACS Omega 2020, 5, 29657–29666. [Google Scholar] [CrossRef]
- Wang, C.H.; Liu, W.S.; Sun, J.F.; Hou, G.G.; Chen, Q.; Cong, W.; Zhao, F. Non-toxic O-quaternized chitosan materials with better water solubility and antimicrobial function. Int. J. Biol. Macromol. 2016, 84, 418–427. [Google Scholar] [CrossRef]
- Liu, J.; Wu, H.-T.; Lu, J.-f.; Wen, X.-y.; Kan, J.; Jin, C.-h. Preparation and characterization of novel phenolic acid (hydroxybenzoic and hydroxycinnamic acid derivatives) grafted chitosan microspheres with enhanced adsorption properties for Fe(II). Chem. Eng. J. 2015, 262, 803–812. [Google Scholar] [CrossRef]
- Li, C.; Fang, K.; He, W.; Li, K.; Jiang, Y.; Li, J. Evaluation of chitosan-ferulic acid microcapsules for sustained drug delivery: Synthesis, characterizations, and release kinetics in vitro. J. Mol. Struct. 2020, 1227, 129353. [Google Scholar] [CrossRef]
- Wang, Y.; Du, H.; Xie, M.; Ma, G.; Yang, W.; Hu, Q.; Pei, F. Characterization of the physical properties and biological activity of chitosan films grafted with gallic acid and caffeic acid: A comparison study. Food Packag. Shelf Life 2019, 22, 100401. [Google Scholar] [CrossRef]
- Dena-Aguilar, J.A.; Jauregui-Rincon, J.; Bonilla-Petriciolet, A.; Romero-Garcia, J. Synthesis and characterization of aminated copolymers of polyacrylonitrile-graft-chitosan and their application for the removal of heavy metals from aqueous solution. J. Chil. Chem. Soc. 2015, 60, 2876–2880. [Google Scholar] [CrossRef]
- İlyasoğlu, H.; Nadzieja, M.; Guo, Z. Caffeic acid grafted chitosan as a novel dual-functional stabilizer for food-grade emulsions and additive antioxidant property. Food Hydrocoll. 2019, 95, 168–176. [Google Scholar] [CrossRef]
- Siafaka, P.I.; Zisi, A.P.; Exindari, M.K.; Karantas, I.D.; Bikiaris, D.N. Porous dressings of modified chitosan with poly(2-hydroxyethyl acrylate) for topical wound delivery of levofloxacin. Carbohydr. Polym. 2016, 143, 90–99. [Google Scholar] [CrossRef]
- Tamer, T.M.; Hassan, M.A.; Omer, A.M.; Baset, W.M.A.; Hassan, M.E.; El-Shafeey, M.E.A.; Eldin, M.S.M. Synthesis, characterization and antimicrobial evaluation of two aromatic chitosan Schiff base derivatives. Process. Biochem. 2016, 51, 1721–1730. [Google Scholar] [CrossRef]
- Haj, N.Q.; Mohammed, M.O.; Mohammood, L.E. Synthesis and Biological Evaluation of Three New Chitosan Schiff Base Derivatives. ACS Omega 2020, 5, 13948–13954. [Google Scholar] [CrossRef]
- Zhou, H.; Qian, J.; Wang, J.; Yao, W.; Liu, C.; Chen, J.; Cao, X. Enhanced bioactivity of bone morphogenetic protein-2 with low dose of 2-N, 6-O-sulfated chitosan in vitro and in vivo. Biomaterials 2009, 30, 1715–1724. [Google Scholar] [CrossRef]
- Chung, Y.C.; Chen, C.Y. Antibacterial characteristics and activity of acid-soluble chitosan. Bioresour. Technol. 2008, 99, 2806–2814. [Google Scholar] [CrossRef]
- Sahariah, P.; Gaware, V.S.; Lieder, R.; Jonsdottir, S.; Hjalmarsdottir, M.A.; Sigurjonsson, O.E.; Masson, M. The effect of substituent, degree of acetylation and positioning of the cationic charge on the antibacterial activity of quaternary chitosan derivatives. Mar. Drugs 2014, 12, 4635–4658. [Google Scholar] [CrossRef] [PubMed]
- Jin, X.; Wang, J.; Bai, J. Synthesis and antimicrobial activity of the Schiff base from chitosan and citral. Carbohydr. Res. 2009, 344, 825–829. [Google Scholar] [CrossRef] [PubMed]
- Dragostin, O.M.; Samal, S.K.; Dash, M.; Lupascu, F.; Panzariu, A.; Tuchilus, C.; Ghetu, N.; Danciu, M.; Dubruel, P.; Pieptu, D.; et al. New antimicrobial chitosan derivatives for wound dressing applications. Carbohydr. Polym. 2016, 141, 28–40. [Google Scholar] [CrossRef]
- Li, Z.; Yang, F.; Yang, R. Synthesis and characterization of chitosan derivatives with dual-antibacterial functional groups. Int. J. Biol. Macromol. 2015, 75, 378–387. [Google Scholar] [CrossRef] [PubMed]
- Zhao, M.; Gu, L.; Li, Y.; Chen, S.; You, J.; Fan, L.; Wang, Y.; Zhao, L. Chitooligosaccharides display anti-tumor effects against human cervical cancer cells via the apoptotic and autophagic pathways. Carbohydr. Polym. 2019, 224, 115171. [Google Scholar] [CrossRef]
- Amirani, E.; Hallajzadeh, J.; Asemi, Z.; Mansournia, M.A.; Yousefi, B. Effects of chitosan and oligochitosans on the phosphatidylinositol 3-kinase-AKT pathway in cancer therapy. Int. J. Biol. Macromol. 2020, 164, 456–467. [Google Scholar] [CrossRef]
- Ma, J.X.; Qian, L.; Zhou, Y. Stimulation effect of chitosan on the immunity of radiotherapy patients suffered from lung cancer. Int. J. Biol. Macromol. 2015, 72, 195–198. [Google Scholar] [CrossRef]
- Monette, A.; Ceccaldi, C.; Assaad, E.; Lerouge, S.; Lapointe, R. Chitosan thermogels for local expansion and delivery of tumor-specific T lymphocytes towards enhanced cancer immunotherapies. Biomaterials 2016, 75, 237–249. [Google Scholar] [CrossRef]
- Qi, L.; Xu, Z. In vivo antitumor activity of chitosan nanoparticles. Bioorg. Med. Chem. Lett. 2006, 16, 4243–4245. [Google Scholar] [CrossRef]
- Harish Prashanth, K.V.; Tharanathan, R.N. Depolymerized products of chitosan as potent inhibitors of tumor-induced angiogenesis. Biochim. Biophys. Acta 2005, 1722, 22–29. [Google Scholar] [CrossRef]
- Lee, S.J.; Kang, M.S.; Oh, J.S.; Na, H.S.; Lim, Y.J.; Jeong, Y.I.; Lee, H.C. Caffeic acid-conjugated chitosan derivatives and their anti-tumor activity. Arch. Pharm. Res. 2013, 36, 1437–1446. [Google Scholar] [CrossRef]
- Jiang, Z.; Han, B.; Li, H.; Yang, Y.; Liu, W. Carboxymethyl chitosan represses tumor angiogenesis in vitro and in vivo. Carbohydr. Polym. 2015, 129, 1–8. [Google Scholar] [CrossRef] [PubMed]
- Jiang, M.; Ouyang, H.; Ruan, P.; Zhao, H.; Pi, Z.; Huang, S.; Yi, P.; Crepin, M. Chitosan Derivatives Inhibit Cell Proliferation and Induce Apoptosis in Breast Cancer Cells. Anticancer Res. 2011, 31, 1321–1328. [Google Scholar] [PubMed]
- Pogorielov, M.V.; Sikora, V.Z. Chitosan as a Hemostatic Agent: Current State. Eur. J. Med. Ser. B 2015, 2, 24–33. [Google Scholar] [CrossRef]
- Chan, L.W.; Kim, C.H.; Wang, X.; Pun, S.H.; White, N.J.; Kim, T.H. PolySTAT-modified chitosan gauzes for improved hemostasis in external hemorrhage. Acta Biomater. 2016, 31, 178–185. [Google Scholar] [CrossRef] [PubMed] [Green Version]
- Lestari, W.; Yusry, W.; Haris, M.S.; Jaswir, I.; Idrus, E. A glimpse on the function of chitosan as a dental hemostatic agent. Jpn. Dent. Sci. Rev. 2020, 56, 147–154. [Google Scholar] [CrossRef] [PubMed]
- Wu, S.; Huang, Z.; Yue, J.; Liu, D.; Wang, T.; Ezanno, P.; Ruan, C.; Zhao, X.; Lu, W.W.; Pan, H. The efficient hemostatic effect of Antarctic krill chitosan is related to its hydration property. Carbohydr. Polym. 2015, 132, 295–303. [Google Scholar] [CrossRef]
- Fischer, T.H.; Connolly, R.; Thatte, H.S.; Schwaitzberg, S.S. Comparison of structural and hemostatic properties of the poly-N-acetyl glucosamine Syvek Patch with products containing chitosan. Microsc. Res. Tech. 2004, 63, 168–174. [Google Scholar] [CrossRef]
- Hu, S.; Bi, S.; Yan, D.; Zhou, Z.; Sun, G.; Cheng, X.; Chen, X. Preparation of composite hydroxybutyl chitosan sponge and its role in promoting wound healing. Carbohydr. Polym. 2018, 184, 154–163. [Google Scholar] [CrossRef]
- Zhao, Y.W.; Liu, L.; Han, X.; Guan, J. Preparation of N, O-Carboxymethyl Chitosan with Different Substitutional Degree and its Application for Hemostasis. Adv. Mater. Res. 2013, 798, 1061–1066. [Google Scholar] [CrossRef]
- Yan, D.; Hu, S.; Zhou, Z.; Zeenat, S.; Cheng, F.; Li, Y.; Feng, C.; Cheng, X.; Chen, X. Different chemical groups modification on the surface of chitosan nonwoven dressing and the hemostatic properties. Int. J. Biol. Macromol. 2018, 107, 463–469. [Google Scholar] [CrossRef] [PubMed]
- Guo, Z.; Xing, R.; Liu, S.; Yu, H.; Wang, P.; Li, C.; Li, P. The synthesis and antioxidant activity of the Schiff bases of chitosan and carboxymethyl chitosan. Bioorg. Med. Chem. Lett. 2005, 15, 4600–4603. [Google Scholar] [CrossRef]
- Sun, T.; Zhou, D.; Mao, F.; Zhu, Y. Preparation of low-molecular-weight carboxymethyl chitosan and their superoxide anion scavenging activity. Eur. Polym. J. 2007, 43, 652–656. [Google Scholar] [CrossRef]
- Luan, F.; Wei, L.; Zhang, J.; Tan, W.; Chen, Y.; Dong, F.; Li, Q.; Guo, Z. Preparation and Characterization of Quaternized Chitosan Derivatives and Assessment of Their Antioxidant Activity. Molecules 2018, 23, 516. [Google Scholar] [CrossRef] [PubMed] [Green Version]
- Hu, Q.; Luo, Y. Polyphenol-chitosan conjugates: Synthesis, characterization, and applications. Carbohydr. Polym. 2016, 151, 624–639. [Google Scholar] [CrossRef]
- Liu, J.; Wen, X.Y.; Lu, J.F.; Kan, J.; Jin, C.H. Free radical mediated grafting of chitosan with caffeic and ferulic acids: Structures and antioxidant activity. Int. J. Biol. Macromol. 2014, 65, 97–106. [Google Scholar] [CrossRef] [PubMed]
- Li, Q.; Li, Q.; Tan, W.; Zhang, J.; Guo, Z. Phenolic-containing chitosan quaternary ammonium derivatives and their significantly enhanced antioxidant and antitumor properties. Carbohydr. Res. 2020, 498, 108169. [Google Scholar] [CrossRef]
- Habeeba, A.A.U.; Reshmi, C.R.; Sujith, A. Chitosan Immobilized Cotton Fibres for Antibacterial Textile Materials. Polym. Renew. Resour. 2017, 8, 61–70. [Google Scholar] [CrossRef]
- Zhou, B.C.-E.; Kan, C.-W.; Sun, C.; Du, J.; Xu, C. A Review of Chitosan Textile Applications. AATCC J. Res. 2022, 6, 8–14. [Google Scholar] [CrossRef]
- Shahid Ul, I.; Butola, B.S. Recent advances in chitosan polysaccharide and its derivatives in antimicrobial modification of textile materials. Int. J. Biol. Macromol. 2019, 121, 905–912. [Google Scholar] [CrossRef]
- Shahid, M.; Mohammad, F. Green Chemistry Approaches to Develop Antimicrobial Textiles Based on Sustainable Biopolymers—A Review. Ind. Eng. Chem. Res. 2013, 52, 5245–5260. [Google Scholar] [CrossRef]
- Gupta, D.; Haile, A. Multifunctional properties of cotton fabric treated with chitosan and carboxymethyl chitosan. Carbohydr. Polym. 2007, 69, 164–171. [Google Scholar] [CrossRef]
- Fu, X.; Shen, Y.; Jiang, X.; Huang, D.; Yan, Y. Chitosan derivatives with dual-antibacterial functional groups for antimicrobial finishing of cotton fabrics. Carbohydr. Polym. 2011, 85, 221–227. [Google Scholar] [CrossRef]
- Pan, H.; Zhao, T.; Xu, L.; Shen, Y.; Wang, L.; Ding, Y. Preparation of novel chitosan derivatives and applications in functional finishing of textiles. Int. J. Biol. Macromol. 2020, 153, 971–976. [Google Scholar] [CrossRef]
- Zhang, W.; Dai, X.; Zhou, J. Properties of Cotton Fabric Modified with a Chitosan Quaternary Ammonium Salt Nanoparticle. Fibres Text. East. Eur. 2018, 26, 116–121. [Google Scholar] [CrossRef] [Green Version]
- Wang, L.; Wen, X.; Zhang, X.; Yuan, S.; Xu, Q.; Fu, F.; Diao, H.; Liu, X. Durable antimicrobial cotton fabric fabricated by carboxymethyl chitosan and quaternary ammonium salts. Cellulose 2021, 28, 5867–5879. [Google Scholar] [CrossRef]
- Arshad, N.; Zia, K.M.; Jabeen, F.; Anjum, M.N.; Akram, N.; Zuber, M. Synthesis, characterization of novel chitosan based water dispersible polyurethanes and their potential deployment as antibacterial textile finish. Int. J. Biol. Macromol. 2018, 111, 485–492. [Google Scholar] [CrossRef]
- El-Aref, H.M.I.E.-A.M.E.T.M.T.A.T. Preparation of Cotton Gauze Coated with Carboxymethyl Chitosan and its Utilization for Water Filtration. J. Text. Appar. Technol. Manag. 2019, 11, 5. [Google Scholar]
- Refaee, A.A.; El-Naggar, M.E.; Mostafa, T.B.; Elshaarawy, R.F.M.; Nasr, A.M. Nano-bio finishing of cotton fabric with quaternized chitosan Schiff base-TiO2-ZnO nanocomposites for antimicrobial and UV protection applications. Eur. Polym. J. 2022, 166, 111040. [Google Scholar] [CrossRef]
- Arenas-Chávez, C.A.; de Hollanda, L.M.; Arce-Esquivel, A.A.; Alvarez-Risco, A.; Del-Aguila-Arcentales, S.; Yáñez, J.A.; Vera-Gonzales, C. Antibacterial and Antifungal Activity of Functionalized Cotton Fabric with Nanocomposite Based on Silver Nanoparticles and Carboxymethyl Chitosan. Processes 2022, 10, 1088. [Google Scholar] [CrossRef]
- Sadeghi-Kiakhani, M.; Safapour, S.; Ghanbari-Adivi, F. Grafting of chitosan-acrylamide hybrid on the wool: Characterization, reactive dyeing, antioxidant and antibacterial studies. Int. J. Biol. Macromol. 2019, 134, 1170–1178. [Google Scholar] [CrossRef] [PubMed]
- Singh, A.; Sheikh, J. Preparation of mosquito repellent, antibacterial and UV protective cotton using a novel, chitosan-based polymeric dye. Carbohydr. Polym. 2022, 290, 119466. [Google Scholar] [CrossRef] [PubMed]
- Shigemasa, Y.; Minami, S. Applications of chitin and chitosan for biomaterials. Biotechnol. Genet. Eng. Rev. 1996, 13, 383–420. [Google Scholar] [CrossRef] [Green Version]
- Pandini, F.E.; Kubo, F.M.M.; Plepis, A.M.G.; Martins, V.; da Cunha, M.R.; Silva, V.R.; Hirota, V.B.; Lopes, E.; Menezes, M.A.; Pelegrine, A.A.; et al. In Vivo Study of Nasal Bone Reconstruction with Collagen, Elastin and Chitosan Membranes in Abstainer and Alcoholic Rats. Polymers 2022, 14, 188. [Google Scholar] [CrossRef]
- Silva, S.K.; Plepis, A.M.G.; Martins, V.; Horn, M.M.; Buchaim, D.V.; Buchaim, R.L.; Pelegrine, A.A.; Silva, V.R.; Kudo, M.H.M.; Fernandes, J.F.R.; et al. Suitability of Chitosan Scaffolds with Carbon Nanotubes for Bone Defects Treated with Photobiomodulation. Int. J. Mol. Sci. 2022, 23, 6503. [Google Scholar] [CrossRef]
- Patrulea, V.; Ostafe, V.; Borchard, G.; Jordan, O. Chitosan as a starting material for wound healing applications. Eur. J. Pharm. Biopharm. 2015, 97, 417–426. [Google Scholar] [CrossRef] [Green Version]
- Chi, J.; Zhang, X.; Chen, C.; Shao, C.; Zhao, Y.; Wang, Y. Antibacterial and angiogenic chitosan microneedle array patch for promoting wound healing. Bioact. Mater. 2020, 5, 253–259. [Google Scholar] [CrossRef] [PubMed]
- Zhao, W.Y.; Fang, Q.Q.; Wang, X.F.; Wang, X.W.; Zhang, T.; Shi, B.H.; Zheng, B.; Zhang, D.D.; Hu, Y.Y.; Ma, L.; et al. Chitosan-calcium alginate dressing promotes wound healing: A preliminary study. Wound Repair Regen. 2020, 28, 326–337. [Google Scholar] [CrossRef]
- Simard, P.; Galarneau, H.; Marois, S.; Rusu, D.; Hoemann, C.D.; Poubelle, P.E.; El-Gabalawy, H.; Fernandes, M.J. Neutrophils exhibit distinct phenotypes toward chitosans with different degrees of deacetylation: Implications for cartilage repair. Arthritis Res. Ther. 2009, 11, R74. [Google Scholar] [CrossRef] [Green Version]
- Zheng, W.; Chen, C.; Zhang, X.; Wen, X.; Xiao, Y.; Li, L.; Xu, Q.; Fu, F.; Diao, H.; Liu, X. Layer-by-layer coating of carboxymethyl chitosan-gelatin-alginate on cotton gauze for hemostasis and wound healing. Surf. Coat. Technol. 2021, 406, 126644. [Google Scholar] [CrossRef]
- Abueva, C.; Ryu, H.S.; Min, J.W.; Chung, P.S.; You, H.S.; Yang, M.S.; Woo, S.H. Quaternary ammonium N,N,N-trimethyl chitosan derivative and povidoneiodine complex as a potent antiseptic with enhanced wound healing property. Int. J. Biol. Macromol. 2021, 182, 1713–1723. [Google Scholar] [CrossRef] [PubMed]
- Deng, P.; Chen, J.; Yao, L.; Zhang, P.; Zhou, J. Thymine-modified chitosan with broad-spectrum antimicrobial activities for wound healing. Carbohydr. Polym. 2021, 257, 117630. [Google Scholar] [CrossRef] [PubMed]
- Wang, D.; Zhang, N.; Meng, G.; He, J.; Wu, F. The effect of form of carboxymethyl-chitosan dressings on biological properties in wound healing. Colloids Surf. B Biointerfaces 2020, 194, 111191. [Google Scholar] [CrossRef] [PubMed]
- Jiang, Z.; Li, L.; Li, H.; Xia, L.; Hu, H.; Wang, S.; Liu, C.; Chi, J.; Yang, Y.; Song, F.; et al. Preparation, biocompatibility, and wound healing effects of O-carboxymethyl chitosan nonwoven fabrics in partial-thickness burn model. Carbohydr. Polym. 2022, 280, 119032. [Google Scholar] [CrossRef]
- Cheng, Y.; Hu, Z.; Zhao, Y.; Zou, Z.; Lu, S.; Zhang, B.; Li, S. Sponges of Carboxymethyl Chitosan Grafted with Collagen Peptides for Wound Healing. Int. J. Mol. Sci. 2019, 20, 3890. [Google Scholar] [CrossRef] [PubMed] [Green Version]
- Zhao, Y.; Wang, Z.; Zhang, Q.; Chen, F.; Yue, Z.; Zhang, T.; Deng, H.; Huselstein, C.; Anderson, D.P.; Chang, P.R.; et al. Accelerated skin wound healing by soy protein isolate-modified hydroxypropyl chitosan composite films. Int. J. Biol. Macromol. 2018, 118, 1293–1302. [Google Scholar] [CrossRef]
- Balasubramaniam, M.P.; Murugan, P.; Chenthamara, D.; Ramakrishnan, S.G.; Salim, A.; Lin, F.-H.; Robert, B.; Subramaniam, S. Synthesis of chitosan-ferulic acid conjugated poly(vinyl alcohol) polymer film for an improved wound healing. Mater. Today Commun. 2020, 25, 101510. [Google Scholar] [CrossRef]
- Park, M.K.; Li, M.X.; Yeo, I.; Jung, J.; Yoon, B.I.; Joung, Y.K. Balanced adhesion and cohesion of chitosan matrices by conjugation and oxidation of catechol for high-performance surgical adhesives. Carbohydr. Polym. 2020, 248, 116760. [Google Scholar] [CrossRef]
- Wang, X.; Xu, P.; Yao, Z.; Fang, Q.; Feng, L.; Guo, R.; Cheng, B. Preparation of Antimicrobial Hyaluronic Acid/Quaternized Chitosan Hydrogels for the Promotion of Seawater-Immersion Wound Healing. Front. Bioeng. Biotechnol. 2019, 7, 360. [Google Scholar] [CrossRef]
- Thao, N.T.T.; Wijerathna, H.; Kumar, R.S.; Choi, D.; Dananjaya, S.H.S.; Attanayake, A.P. Preparation and characterization of succinyl chitosan and succinyl chitosan nanoparticle film: In vitro and in vivo evaluation of wound healing activity. Int. J. Biol. Macromol. 2021, 193, 1823–1834. [Google Scholar] [CrossRef]
- TM, M.W.; Lau, W.M.; Khutoryanskiy, V.V. Chitosan and Its Derivatives for Application in Mucoadhesive Drug Delivery Systems. Polymers 2018, 10, 267. [Google Scholar] [CrossRef] [Green Version]
- Mohammed, M.A.; Syeda, J.T.M.; Wasan, K.M.; Wasan, E.K. An Overview of Chitosan Nanoparticles and Its Application in Non-Parenteral Drug Delivery. Pharmaceutics 2017, 9, 53. [Google Scholar] [CrossRef] [PubMed] [Green Version]
- Ahmed, T.A.; Aljaeid, B.M. Preparation, characterization, and potential application of chitosan, chitosan derivatives, and chitosan metal nanoparticles in pharmaceutical drug delivery. Drug Des. Devel. Ther. 2016, 10, 483–507. [Google Scholar] [CrossRef] [Green Version]
- Yadavalli, T.; Ramasamy, S.; Chandrasekaran, G.; Michael, I.; Therese, H.A.; Chennakesavulu, R. Dual responsive PNIPAM–chitosan targeted magnetic nanopolymers for targeted drug delivery. J. Magn. Magn. Mater. 2015, 380, 315–320. [Google Scholar] [CrossRef]
- Shanmuganathan, R.; Edison, T.; LewisOscar, F.; Kumar, P.; Shanmugam, S.; Pugazhendhi, A. Chitosan nanopolymers: An overview of drug delivery against cancer. Int. J. Biol. Macromol. 2019, 130, 727–736. [Google Scholar] [CrossRef] [PubMed]
- Cao, Y.; Tan, Y.F.; Wong, Y.S.; Liew, M.W.J.; Venkatraman, S. Recent Advances in Chitosan-Based Carriers for Gene Delivery. Mar. Drugs 2019, 17, 381. [Google Scholar] [CrossRef] [Green Version]
- Guo, F.; Ouyang, T.; Peng, T.; Zhang, X.; Xie, B.; Yang, X.; Liang, D.; Zhong, H. Enhanced oral absorption of insulin using colon-specific nanoparticles co-modified with amphiphilic chitosan derivatives and cell-penetrating peptides. Biomater. Sci. 2019, 7, 1493–1506. [Google Scholar] [CrossRef]
- Wang, F.; Zhang, Q.; Huang, K.; Li, J.; Wang, K.; Zhang, K.; Tang, X. Preparation and characterization of carboxymethyl cellulose containing quaternized chitosan for potential drug carrier. Int. J. Biol. Macromol. 2020, 154, 1392–1399. [Google Scholar] [CrossRef]
- Zhang, J.; Chen, X.G.; Sun, G.Z.; Huang, L.; Cheng, X.J. Effect of molecular weight on the oleoyl-chitosan nanoparticles as carriers for doxorubicin. Colloids Surf. B Biointerfaces 2010, 77, 125–130. [Google Scholar] [CrossRef]
- Huang, W.T.; Larsson, M.; Lee, Y.C.; Liu, D.M.; Chiou, G.Y. Dual drug-loaded biofunctionalized amphiphilic chitosan nanoparticles: Enhanced synergy between cisplatin and demethoxycurcumin against multidrug-resistant stem-like lung cancer cells. Eur. J. Pharm. Biopharm. 2016, 109, 165–173. [Google Scholar] [CrossRef]
- Almeida, A.; Araujo, M.; Novoa-Carballal, R.; Andrade, F.; Goncalves, H.; Reis, R.L.; Lucio, M.; Schwartz, S., Jr.; Sarmento, B. Novel amphiphilic chitosan micelles as carriers for hydrophobic anticancer drugs. Mater. Sci. Eng. C Mater. Biol. Appl. 2020, 112, 110920. [Google Scholar] [CrossRef] [PubMed]
- Wang, H.; Yang, Z.; He, Z.; Zhou, C.; Wang, C.; Chen, Y.; Liu, X.; Li, S.; Li, P. Self-assembled amphiphilic chitosan nanomicelles to enhance the solubility of quercetin for efficient delivery. Colloids Surf. B Biointerfaces 2019, 179, 519–526. [Google Scholar] [CrossRef] [PubMed]
- Woraphatphadung, T.; Sajomsang, W.; Rojanarata, T.; Ngawhirunpat, T.; Tonglairoum, P.; Opanasopit, P. Development of Chitosan-Based pH-Sensitive Polymeric Micelles Containing Curcumin for Colon-Targeted Drug Delivery. AAPS PharmSciTech 2018, 19, 991–1000. [Google Scholar] [CrossRef] [PubMed]
- Engkagul, V.; Klaharn, I.Y.; Sereemaspun, A.; Chirachanchai, S. Chitosan whisker grafted with oligo(lactic acid) nanoparticles via a green synthesis pathway: Potential as a transdermal drug delivery system. Nanomedicine 2017, 13, 2523–2531. [Google Scholar] [CrossRef]
- Lee, J.Y.; Crake, C.; Teo, B.; Carugo, D.; de Saint Victor, M.; Seth, A.; Stride, E. Ultrasound-Enhanced siRNA Delivery Using Magnetic Nanoparticle-Loaded Chitosan-Deoxycholic Acid Nanodroplets. Adv. Healthc. Mater. 2017, 6, 1601246. [Google Scholar] [CrossRef] [Green Version]
- Jaiswal, S.; Dutta, P.K.; Kumar, S.; Koh, J.; Pandey, S. Methyl methacrylate modified chitosan: Synthesis, characterization and application in drug and gene delivery. Carbohydr. Polym. 2019, 211, 109–117. [Google Scholar] [CrossRef]
- Snima, K.S.; Jayakumar, R.; Lakshmanan, V.K. In vitro and in vivo biological evaluation of O-carboxymethyl chitosan encapsulated metformin nanoparticles for pancreatic cancer therapy. Pharm. Res. 2014, 31, 3361–3370. [Google Scholar] [CrossRef]
- Savin, C.L.; Popa, M.; Delaite, C.; Costuleanu, M.; Costin, D.; Peptu, C.A. Chitosan grafted-poly(ethylene glycol) methacrylate nanoparticles as carrier for controlled release of bevacizumab. Mater. Sci. Eng. C Mater. Biol. Appl. 2019, 98, 843–860. [Google Scholar] [CrossRef]
- Tanhaei, B.; Ayati, A.; Iakovleva, E.; Sillanpaa, M. Efficient carbon interlayed magnetic chitosan adsorbent for anionic dye removal: Synthesis, characterization and adsorption study. Int. J. Biol. Macromol. 2020, 164, 3621–3631. [Google Scholar] [CrossRef]
- Abebe, L.S.; Chen, X.; Sobsey, M.D. Chitosan Coagulation to Improve Microbial and Turbidity Removal by Ceramic Water Filtration for Household Drinking Water Treatment. Int. J. Environ. Res. Public Health 2016, 13, 269. [Google Scholar] [CrossRef] [Green Version]
- Sharififard, H.; Shahraki, Z.H.; Rezvanpanah, E.; Rad, S.H. A novel natural chitosan/activated carbon/iron bio-nanocomposite: Sonochemical synthesis, characterization, and application for cadmium removal in batch and continuous adsorption process. Bioresour. Technol. 2018, 270, 562–569. [Google Scholar] [CrossRef] [PubMed]
- Zhang, Y.; Zhao, M.; Cheng, Q.; Wang, C.; Li, H.; Han, X.; Fan, Z.; Su, G.; Pan, D.; Li, Z. Research progress of adsorption and removal of heavy metals by chitosan and its derivatives: A review. Chemosphere 2021, 279, 130927. [Google Scholar] [CrossRef]
- Cho, D.-W.; Jeon, B.-H.; Chon, C.-M.; Schwartz, F.W.; Jeong, Y.; Song, H. Magnetic chitosan composite for adsorption of cationic and anionic dyes in aqueous solution. J. Ind. Eng. Chem. 2015, 28, 60–66. [Google Scholar] [CrossRef]
- Varma, A.J.; Deshpande, S.V.; Kennedy, J.F. Metal complexation by chitosan and its derivatives: A review. Carbohydr. Polym. 2004, 55, 77–93. [Google Scholar] [CrossRef]
- Negm, N.A.; El Sheikh, R.; El-Farargy, A.F.; Hefni, H.H.H.; Bekhit, M. Treatment of industrial wastewater containing copper and cobalt ions using modified chitosan. J. Ind. Eng. Chem. 2015, 21, 526–534. [Google Scholar] [CrossRef]
- El-Sherbiny, I.M. Synthesis, characterization and metal uptake capacity of a new carboxymethyl chitosan derivative. Eur. Polym. J. 2009, 45, 199–210. [Google Scholar] [CrossRef]
- Zhang, L.; Tang, S.; He, F.; Liu, Y.; Mao, W.; Guan, Y. Highly efficient and selective capture of heavy metals by poly(acrylic acid) grafted chitosan and biochar composite for wastewater treatment. Chem. Eng. J. 2019, 378, 122215. [Google Scholar] [CrossRef]
- Hefni, H.H.H.; Nagy, M.; Azab, M.M.; Hussein, M.H.M. O-Acylation of chitosan by l-arginine to remove the heavy metals and total organic carbon (TOC) from wastewater. Egypt. J. Pet. 2020, 29, 31–38. [Google Scholar] [CrossRef]
- Hamza, M.F.; Wei, Y.; Althumayri, K.; Fouda, A.; Hamad, N.A. Synthesis and Characterization of Functionalized Chitosan Nanoparticles with Pyrimidine Derivative for Enhancing Ion Sorption and Application for Removal of Contaminants. Materials 2022, 15, 4676. [Google Scholar] [CrossRef]
- Ifthikar, J.; Jiao, X.; Ngambia, A.; Wang, T.; Khan, A.; Jawad, A.; Xue, Q.; Liu, L.; Chen, Z. Facile One-Pot Synthesis of Sustainable Carboxymethyl Chitosan—Sewage Sludge Biochar for Effective Heavy Metal Chelation and Regeneration. Bioresour. Technol. 2018, 262, 22–31. [Google Scholar] [CrossRef]
- Liu, B.; Zheng, H.; Wang, Y.; Chen, X.; Zhao, C.; An, Y.; Tang, X. A novel carboxyl-rich chitosan-based polymer and its application for clay flocculation and cationic dye removal. Sci. Total Environ. 2018, 640, 107–115. [Google Scholar] [CrossRef] [PubMed]
- Salama, A.; Hesemann, P. New N-guanidinium chitosan/silica ionic microhybrids as efficient adsorbent for dye removal from waste water. Int. J. Biol. Macromol. 2018, 111, 762–768. [Google Scholar] [CrossRef] [PubMed]
- Soares, S.F.; Amorim, C.O.; Amaral, J.S.; Trindade, T.; Daniel-da-Silva, A.L. On the efficient removal, regeneration and reuse of quaternary chitosan magnetite nanosorbents for glyphosate herbicide in water. J. Environ. Chem. Eng. 2021, 9, 105189. [Google Scholar] [CrossRef]
- Alakhras, F.; Ouachtak, H.; Alhajri, E.; Rehman, R.; Al-Mazaideh, G.; Anastopoulos, I.; Lima, E.C. Adsorptive Removal of Cationic Rhodamine B Dye from Aqueous Solutions Using Chitosan-Derived Schiff Base. Sep. Sci. Technol. 2021, 57, 542–554. [Google Scholar] [CrossRef]
- Sabar, S.; Abdul Aziz, H.; Yusof, N.H.; Subramaniam, S.; Foo, K.Y.; Wilson, L.D.; Lee, H.K. Preparation of sulfonated chitosan for enhanced adsorption of methylene blue from aqueous solution. React. Funct. Polym. 2020, 151, 104584. [Google Scholar] [CrossRef]
- Tabriz, A.; Ur Rehman Alvi, M.A.; Khan Niazi, M.B.; Batool, M.; Bhatti, M.F.; Khan, A.L.; Khan, A.U.; Jamil, T.; Ahmad, N.M. Quaternized trimethyl functionalized chitosan based antifungal membranes for drinking water treatment. Carbohydr. Polym. 2019, 207, 17–25. [Google Scholar] [CrossRef] [PubMed]
Publisher’s Note: MDPI stays neutral with regard to jurisdictional claims in published maps and institutional affiliations. |
© 2022 by the authors. Licensee MDPI, Basel, Switzerland. This article is an open access article distributed under the terms and conditions of the Creative Commons Attribution (CC BY) license (https://creativecommons.org/licenses/by/4.0/).








