The Role of Complete Blood Count-Derived Inflammatory Biomarkers as Predictors of Infection After Acute Ischemic Stroke: A Single-Center Retrospective Study
Abstract
1. Introduction
2. Materials and Methods
2.1. Study Design and Participants
2.2. Definitions
2.3. Data Analysis
3. Results
3.1. Characteristics of Infection and Non-Infection Groups
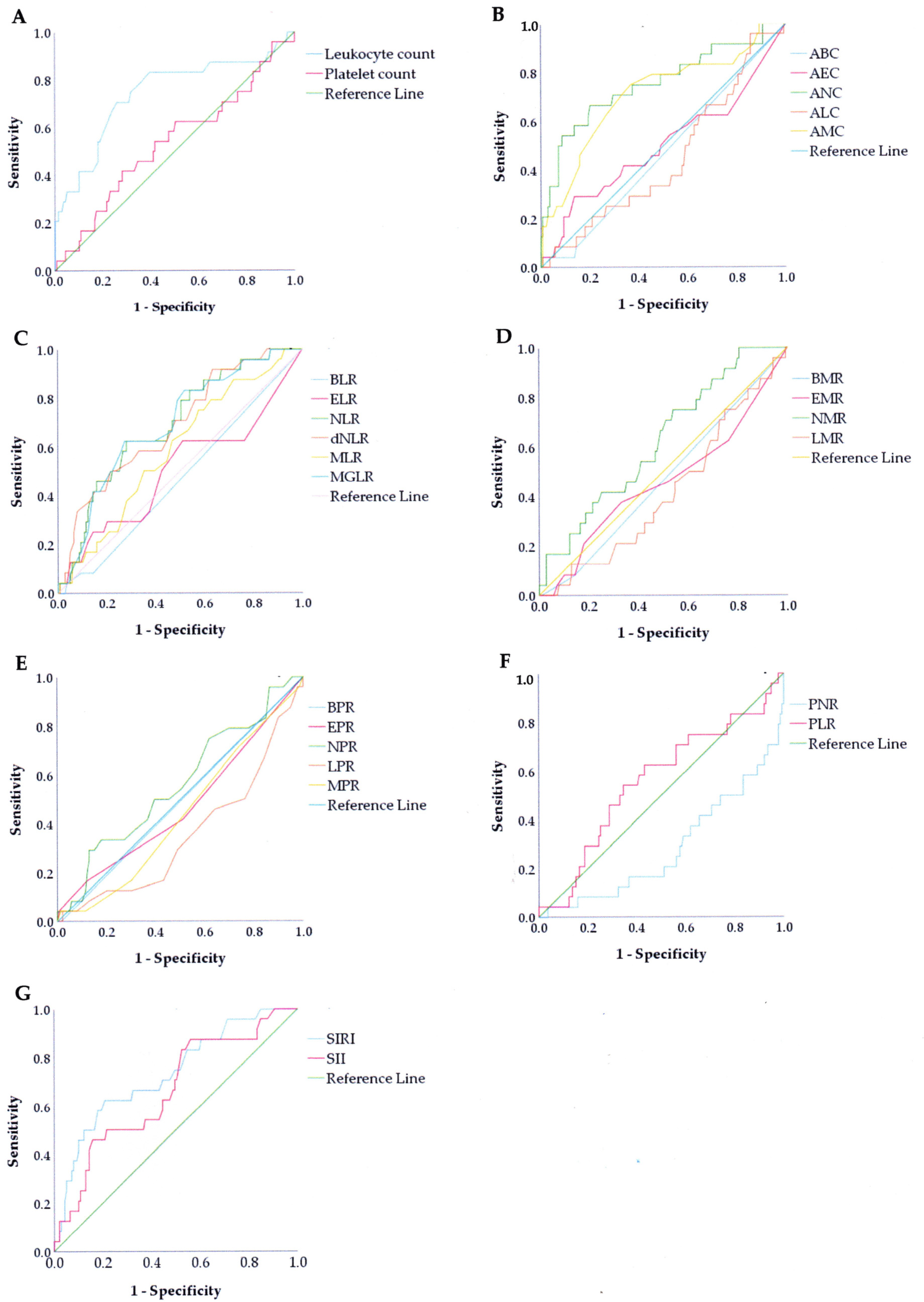
3.2. Performance of Complete Blood Count-Derived Inflammatory Biomarkers in Predicting Infection After AIS
4. Discussion
5. Conclusions
Supplementary Materials
Author Contributions
Funding
Institutional Review Board Statement
Informed Consent Statement
Data Availability Statement
Acknowledgments
Conflicts of Interest
References
- Alawneh, K.Z.; Al Qawasmeh, M.; Raffee, L.A.; Abuzayed, B.; Bani Hani, D.A.; Abdalla, K.M.; Al-Mnayyis, A.M.; Fataftah, J. A snapshot of ischemic stroke risk factors, sub-types, and its epidemiology: Cohort study. Ann. Med. Surg. 2020, 59, 101–105. [Google Scholar] [CrossRef] [PubMed]
- Meisel, C.; Schwab, J.M.; Prass, K.; Meisel, A.; Dirnagl, U. Central nervous system injury-induced immune deficiency syndrome. Nat. Rev. Neurosci. 2005, 6, 775–786. [Google Scholar] [CrossRef] [PubMed]
- Westendorp, W.F.; Nederkoorn, P.J.; Vermeij, J.D.; Dijkgraaf, M.G.; van de Beek, D. Post-stroke infection: A systematic review and meta-analysis. BMC Neurol. 2011, 11, 110. [Google Scholar] [CrossRef] [PubMed]
- Elkind, M.S.V.; Boehme, A.K.; Smith, C.J.; Meisel, A.; Buckwalter, M.S. Infection as a stroke risk factor and determinant of outcome after stroke. Stroke 2020, 51, 3156–3168. [Google Scholar] [CrossRef]
- Faura, J.; Bustamante, A.; Reverté, S.; García-Berrocoso, T.; Millán, M.; Castellanos, M.; Lara-Rodríguez, B.; Zaragoza, J.; Ventura, O.; Hernández-Pérez, M.; et al. Blood biomarker panels for the early prediction of stroke-associated complications. J. Am. Heart Assoc. 2021, 10, e018946. [Google Scholar] [CrossRef]
- Kalra, L.; Irshad, S.; Hodsoll, J.; Simpson, M.; Gulliford, M.; Smithard, D.; Patel, A.; Rebollo-Mesa, I.; STROKE-INF Investigators. Prophylactic antibiotics after acute stroke for reducing pneumonia in patients with dysphagia (STROKE-INF): A prospective, cluster-randomized, open-label, masked endpoint, controlled clinical trial. Lancet 2005, 386, 1835–1844. [Google Scholar] [CrossRef]
- Westendorp, W.F.; Vermeij, J.D.; Zock, E.; Hooijenga, I.J.; Kruyt, N.D.; Bosboom, H.J.; Kwa, V.I.; Weisfelt, M.; Remmers, M.J.; ten Houten, R.; et al. The preventive antibiotics in stroke study (PASS): A pragmatic randomized open-label masked endpoint clinical trial. Lancet 2015, 385, 1519–1526. [Google Scholar] [CrossRef]
- Hu, Z.D.; Gu, B. Laboratory diagnosis of infectious diseases: A call for more rapid and accurate methods. Ann. Transl. Med. 2020, 8, 600. [Google Scholar] [CrossRef]
- Citu, C.; Gorun, F.; Motoc, A.; Sas, I.; Gorun, O.M.; Burlea, B.; Tuta-Sas, I.; Tomescu, L.; Neamtu, R.; Malita, D.; et al. The predictive role of NLR, d-NLR, MLR, and SIRI in COVID-19 Mortality. Diagnostics 2022, 12, 122. [Google Scholar] [CrossRef]
- Asghar, M.S.; Khan, N.A.; Haider Kazmi, S.J.; Ahmed, A.; Hassan, M.; Jawed, R.; Akram, M.; Rasheed, U.; Memon, G.M.; Ahmed, M.U.; et al. Hematological parameters predicting severity and mortality in COVID-19 patients of Pakistan: A retrospective comparative analysis. J. Community Hosp. Intern. Med. Perspect. 2020, 10, 514–520. [Google Scholar] [CrossRef]
- Jiang, F.; Li, J.; Yu, S.; Miao, J.; Wang, W.; Xi, X. Body fluids biomarkers associated with prognosis of acute ischemic stroke: Progress and prospects. Future Sci. OA 2024, 10, FSO931. [Google Scholar] [CrossRef] [PubMed]
- Gong, P.; Liu, Y.; Gong, Y.; Chen, G.; Zhang, X.; Wang, S.; Zhou, F.; Duan, R.; Chen, W.; Huang, T.; et al. The association of neutrophil to lymphocyte ratio, platelet to lymphocyte ratio, and lymphocyte to monocyte ratio with post-thrombolysis early neurological outcomes in patients with acute ischemic stroke. J. Neuroinflamm. 2021, 18, 51. [Google Scholar] [CrossRef] [PubMed]
- Zhang, Y.; Xing, Z.; Zhou, K.; Jiang, S. The predictive role of systemic inflammation response index (SIRI) in the prognosis of stroke patients. Clin. Interv. Aging 2021, 16, 1997–2007. [Google Scholar] [CrossRef] [PubMed]
- Huang, L. Increased systemic immune-inflammation index predicts disease severity and functional outcome in acute ischemic stroke patients. Neurologist 2023, 28, 32–38. [Google Scholar] [CrossRef]
- Sharma, D.; Spring, K.J.; Bhaskar, S.M.M. Neutrophil-lymphocyte ratio in acute ischemic stroke: Immunopathology, management, and prognosis. Acta Neurol. Scand. 2021, 144, 486–499. [Google Scholar] [CrossRef]
- Wang, R.H.; Wen, W.X.; Jiang, Z.P.; Du, Z.P.; Ma, Z.H.; Lu, A.L.; Li, H.P.; Yuan, F.; Wu, S.B.; Guo, J.W.; et al. The clinical value of neutrophil-to-lymphocyte ratio (NLR), systemic immune-inflammation index (SII), platelet-to-lymphocyte ratio (PLR) and systemic inflammation response index (SIRI) for predicting the occurrence and severity of pneumonia in patients with intracerebral hemorrhage. Front. Immunol. 2023, 14, 1115031. [Google Scholar] [CrossRef] [PubMed] [PubMed Central]
- Semerano, A.; Strambo, D.; Martino, G.; Comi, G.; Filippi, M.; Roveri, L.; Bacigaluppi, M. Leukocyte counts and ratios are predictive of stroke outcome and hemorrhagic complications independently of infections. Front. Neurol. 2020, 11, 201. [Google Scholar] [CrossRef]
- Hasse, I.M.C.; Grosse, G.M.; Schuppner, R.; Van Gemmeren, T.; Gabriel, M.M.; Weissenborn, K.; Lichtinghagen, R.; Worthmann, H. Circulating inflammatory biomarkers in early prediction of stroke-associated infections. Int. J. Mol. Sci. 2022, 23, 13747. [Google Scholar] [CrossRef]
- Bernhardt, J.; Hayward, K.S.; Kwakkel, G.; Ward, N.S.; Wolf, S.L.; Borschmann, K.; Krakauer, J.W.; Boyd, L.A.; Carmichael, S.T.; Corbett, D.; et al. Agreed definitions and a shared vision for new standards in stroke recovery research: The stroke recovery and rehabilitation roundtable taskforce. Int. J. Stroke 2017, 12, 444–450. [Google Scholar] [CrossRef]
- Harms, H.; Halle, E.; Meisel, A. Post-stroke Infections—Diagnosis, prediction, prevention and treatment to improve patient outcomes. Eur. Neurol. Rev. 2010, 5, 39–43. [Google Scholar] [CrossRef]
- Singer, M.; Deutschman, C.S.; Seymour, C.W.; Shankar-Hari, M.; Annane, D.; Bauer, M.; Bellomo, R.; Bernard, G.R.; Chiche, J.D.; Coopersmith, C.M.; et al. The third international consensus definitions for sepsis and septic shock (Sepsis-3). JAMA 2016, 315, 801–810. [Google Scholar] [CrossRef] [PubMed]
- Rinawati, W.; Machin, A.; Aryati, A. Pathogenic organism and risk factors of infection after acute ischemic stroke during the COVID-19 pandemic. Electron. J. Gen. Med. 2024, 21, em604. [Google Scholar] [CrossRef] [PubMed]
- Rinawati, W.; Machin, A.; Aryati, A. A Single-Center Retrospective Study of Bacterial Infections After Acute Ischemic Stroke: The Prevalence Before and During the COVID-19 Pandemic. Medicina. 2024, 60, 1755. [Google Scholar] [CrossRef] [PubMed]
- Jo, Y.J.; Kim, D.H.; Sohn, M.K.; Lee, J.; Shin, Y.I.; Oh, G.J.; Lee, Y.S.; Joo, M.C.; Lee, S.Y.; Song, M.K.; et al. Clinical characteristics and risk factors of first-ever stroke in young adults: A multicenter, prospective cohort study. J. Pers. Med. 2022, 12, 1505. [Google Scholar] [CrossRef] [PubMed]
- Roche. Gluc3. Glucose HK. Cobas®; Roche Diagnostics GmbH: Mannheim, Germany, 2022; pp. 1–5. [Google Scholar]
- Roche. LDLC3. LDL-Cholesterol Gen-3. Cobas®; Roche Diagnostics GmbH: Mannheim, Germany, 2022; pp. 1–5. [Google Scholar]
- Roche. CHOL2. Cholesterol Gen-2. Cobas®; Roche Diagnostics GmbH: Mannheim, Germany, 2022; pp. 1–4. [Google Scholar]
- Roche. UA2. Uric Acid Ver-2. Cobas®; Roche Diagnostics GmbH: Mannheim, Germany, 2021; pp. 1–6. [Google Scholar]
- Sysmex. XN-Series Automated Hematology Analyzers. XN-1000/2000; Sysmex Indonesia: Jakarta, Indonesia, 2020; pp. 1–6. [Google Scholar]
- Corso, G.; Bottacchi, E.; Tosi, P.; Caligiana, L.; Lia, C.; Veronese Morosini, M.; Dalmasso, P. Outcome predictors in first-ever ischemic stroke patients: A population-based study. Int. Sch. Res. Notices 2014, 2014, 904647. [Google Scholar] [CrossRef]
- Vo, T.P.; Kristiansen, M.H.; Hasselbalch, H.C.; Wienecke, T. Elevated white blood cell counts in ischemic stroke patients are associated with increased mortality and new vascular events. Front. Neurol. 2023, 14, 1232557. [Google Scholar] [CrossRef]
- He, L.; Wang, J.; Wang, F.; Zhang, L.; Zhang, L.; Zhao, W. Increased neutrophil-to-lymphocyte ratio predicts the development of post-stroke infections in patients with acute ischemic stroke. BMC Neurol. 2020, 20, 328. [Google Scholar] [CrossRef]
- McKenzie, S.B.; Williams, J.L. Granulocytes and monocytes. In Clinical Laboratory Hematology, 3rd ed.; Landis-Piwowar, K., Ed.; Pearson Educational Limited: Essex, UK, 2016; pp. 129–153. [Google Scholar]
- Abbas, A.K.; Lichtman, A.H.; Pillai, S. Cellular and Molecular Immunology, 8th ed.; Elsevier Saunders: Philadelphia, PA, USA, 2015; pp. 1–12. [Google Scholar]
- Al-Gwaiz, L.A.; Babay, H.H. The diagnostic value of absolute neutrophil count, band count and morphologic changes of neutrophils in predicting bacterial infections. Med. Princ. Pract. 2007, 16, 344–347. [Google Scholar] [CrossRef]
- Zheng, X.; Huang, Z.; Wang, D.; Pan, S.; Zhao, Y.; Li, J.; Zhang, J.; Ye, M.; Zhang, S. A new haematological model for the diagnosis and prognosis of severe community-acquired pneumonia: A single-center retrospective study. Ann. Transl. Med. 2022, 10, 881. [Google Scholar] [CrossRef]
- Trivigno, S.M.G.; Guidetti, G.F.; Barbieri, S.S.; Zarà, M. Blood platelets in infection: The multiple roles of the platelet signalling machinery. Int. J. Mol. Sci. 2023, 24, 7462. [Google Scholar] [CrossRef]
- Islam, M.M.; Satici, M.O.; Eroglu, S.E. Unraveling the clinical significance and prognostic value of the neutrophil-to-lymphocyte ratio, platelet-to-lymphocyte ratio, systemic immune-inflammation index, systemic inflammation response index, and delta neutrophil index: An extensive literature review. Turk. J. Emerg. Med. 2024, 24, 8–19. [Google Scholar] [CrossRef] [PubMed]
- Zahorec, R. Neutrophil-to-lymphocyte ratio, past, present and future perspectives. Bratisl. Lek. Listy 2021, 122, 474–488. [Google Scholar] [CrossRef] [PubMed]
- Bösel, J. Tracheostomy in stroke patients. Curr. Treat. Options Neurol. 2014, 16, 274. [Google Scholar] [CrossRef] [PubMed]
- Moosazadeh, M.; Maleki, I.; Alizadeh-Navaei, R.; Kheradmand, M.; Hedayatizadeh-Omran, A.; Shamshirian, A.; Barzegar, A. Normal values of neutrophil-to-lymphocyte ratio, lymphocyte-to monocyte ratio and platelet-to-lymphocyte ratio among Iranian population: Results of Tabari cohort. Caspian J. Intern. Med. 2019, 10, 320–325. [Google Scholar]
- Lee, J.S.; Kim, N.Y.; Na, S.H.; Youn, Y.H.; Shin, C.S. Reference values of neutrophil-lymphocyte ratio, lymphocyte-monocyte ratio, platelet-lymphocyte ratio, and mean platelet volume in healthy adults in South Korea. Medicine 2018, 97, e11138. [Google Scholar] [CrossRef]
- Naess, A.; Nilssen, S.S.; Mo, R.; Eide, G.E.; Sjursen, H. Role of neutrophil to lymphocyte and monocyte to lymphocyte ratios in the diagnosis of bacterial infection in patients with fever. Infection 2017, 45, 299–307. [Google Scholar] [CrossRef]
- Elalfy, H.; Besheer, T.; El-Maksoud, M.A.; Farid, K.; Elegezy, M.; El Nakib, A.M.; El-Aziz, M.A.; El-Khalek, A.A.; El-Morsy, A.; Elmokadem, A.; et al. Monocyte/granulocyte to lymphocyte ratio and the MELD score as predictors for early recurrence of hepatocellular carcinoma after trans-arterial chemoembolization. Br. J. Biomed. Sci. 2018, 75, 187–191. [Google Scholar] [CrossRef]
- Marchi, F.; Pylypiv, N.; Parlanti, A.; Storti, S.; Gaggini, M.; Paradossi, U.; Berti, S.; Vassalle, C. Systemic immune-inflammation index and systemic inflammatory response index as predictors of mortality in ST-elevation myocardial infarction. J. Clin. Med. 2024, 13, 1256. [Google Scholar] [CrossRef]




| Total | Infection | Non-Infection | p-Value | ||||
|---|---|---|---|---|---|---|---|
| n | % | n | % | n | % | ||
| Subject | 163 | 100 | 24 | 38.1 | 139 | 61.9 | - |
| Age, median (IQR) | 61.0 (17) | 64.5 (21) | 60.0 (16) | 0.290 | |||
| Age group, years, n (%) | |||||||
| <60 | 73 | 44.8 | 7 | 29.2 | 66 | 47.5 | 0.096 |
| ≥60 | 90 | 55.2 | 17 | 70.8 | 73 | 52.5 | |
| Sex, n (%) | |||||||
| Male | 96 | 58.9 | 12 | 50.0 | 84 | 60.4 | 0.337 |
| Female | 67 | 41.1 | 12 | 50.0 | 55 | 39.6 | |
| Vascular risk factor, n (%) | |||||||
| Hypertension | 97 | 59.5 | 14 | 58.3 | 83 | 59.7 | 0.899 |
| DM | 68 | 41.7 | 12 | 50.0 | 56 | 40.3 | 0.373 |
| Hyperlipidemia | 118 | 72.4 | 20 | 83.3 | 98 | 70.5 | 0.194 |
| Hyperuricemia | 21 | 12.9 | 5 | 20.8 | 16 | 11.5 | 0.201 |
| Clinical manifestation of infection, n (%) | |||||||
| Pneumonia | 7 | 4.3 | 7 | 29.2 | - | - | <0.001 * |
| UTI | 4 | 2.5 | 4 | 16.7 | - | - | <0.001 * |
| Sepsis | 1 | 0.6 | 1 | 4.2 | - | - | 0.147 |
| Leukocyte, 109/L, n (%) | |||||||
| >10.00 | 37 | 22.7 | 12 | 50.0 | 25 | 18.0 | 1.000 |
| 5.00–10.00 | 125 | 76.7 | 12 | 50.0 | 113 | 81.3 | - |
| <5.00 | 1 | 0.6 | - | - | 1 | 0.7 | 1.000 |
| Leukocyte differential count, n (%) | |||||||
| Basophil, n (%) | |||||||
| >1 | 1 | 0.6 | - | - | 1 | 0.7 | 0.677 |
| 0–1 | 162 | 99.4 | 24 | 100.0 | 138 | 99.3 | 1.000 |
| Eosinophil, n (%) | |||||||
| >3 | 28 | 17.2 | 5 | 20.8 | 23 | 16.5 | 0.334 |
| 1–3 | 93 | 57.1 | 10 | 41.7 | 83 | 59.7 | - |
| <1 | 42 | 25.8 | 9 | 37.5 | 33 | 23.7 | 0.099 |
| Neutrophil, n (%) | |||||||
| >76 | 27 | 16.6 | 9 | 37.5 | 18 | 12.9 | 0.016 * |
| 52–76 | 126 | 77.3 | 15 | 62.5 | 111 | 79.9 | - |
| <52 | 10 | 6.1 | - | - | 10 | 7.2 | 0.601 |
| Lymphocyte, n (%) | |||||||
| >40 | 6 | 3.7 | - | - | 6 | 4.3 | 1.000 |
| 20–40 | 114 | 69.9 | 12 | 50.0 | 102 | 73.4 | - |
| <20 | 43 | 26.4 | 12 | 50.0 | 31 | 22.3 | 0.007 * |
| Monocyte, n (%) | |||||||
| >8 | 15 | 9.2 | 1 | 4.2 | 14 | 10.1 | 0.698 |
| 2–8 | 145 | 89.0 | 22 | 91.7 | 123 | 88.5 | - |
| <2 | 3 | 1.8 | 1 | 4.2 | 2 | 1.4 | 0.400 |
| Platelet, 109/L, n (%) | |||||||
| >400.00 | 14 | 8.6 | 2 | 8.3 | 12 | 8.6 | 0.148 |
| 150.00–400.00 | 148 | 90.8 | 21 | 87.5 | 127 | 91.4 | - |
| <150.00 | 1 | 0.6 | 1 | 4.2 | - | - | 1.000 |
Disclaimer/Publisher’s Note: The statements, opinions and data contained in all publications are solely those of the individual author(s) and contributor(s) and not of MDPI and/or the editor(s). MDPI and/or the editor(s) disclaim responsibility for any injury to people or property resulting from any ideas, methods, instructions or products referred to in the content. |
© 2024 by the authors. Published by MDPI on behalf of the Lithuanian University of Health Sciences. Licensee MDPI, Basel, Switzerland. This article is an open access article distributed under the terms and conditions of the Creative Commons Attribution (CC BY) license (https://creativecommons.org/licenses/by/4.0/).
Share and Cite
Rinawati, W.; Machin, A.; Aryati, A. The Role of Complete Blood Count-Derived Inflammatory Biomarkers as Predictors of Infection After Acute Ischemic Stroke: A Single-Center Retrospective Study. Medicina 2024, 60, 2076. https://doi.org/10.3390/medicina60122076
Rinawati W, Machin A, Aryati A. The Role of Complete Blood Count-Derived Inflammatory Biomarkers as Predictors of Infection After Acute Ischemic Stroke: A Single-Center Retrospective Study. Medicina. 2024; 60(12):2076. https://doi.org/10.3390/medicina60122076
Chicago/Turabian StyleRinawati, Weny, Abdulloh Machin, and Aryati Aryati. 2024. "The Role of Complete Blood Count-Derived Inflammatory Biomarkers as Predictors of Infection After Acute Ischemic Stroke: A Single-Center Retrospective Study" Medicina 60, no. 12: 2076. https://doi.org/10.3390/medicina60122076
APA StyleRinawati, W., Machin, A., & Aryati, A. (2024). The Role of Complete Blood Count-Derived Inflammatory Biomarkers as Predictors of Infection After Acute Ischemic Stroke: A Single-Center Retrospective Study. Medicina, 60(12), 2076. https://doi.org/10.3390/medicina60122076

