The Effect of Muscle Cramps During Hemodialysis on Quality of Life and Habitual Physical Activity
Abstract
1. Introduction
2. Materials and Methods
2.1. Participants
2.2. Dialysis Process Parameters
2.3. Exclusion Criteria
2.4. Study Procedures
2.5. Assessment of Physical Activity
- 3.3 × MET for walking/per week
- 4.0 × MET for moderate activity/per week
- 3.0 × MET for moderate activity related to work at home/per week
- 8.0 × MET for vigorous activity/per week
- 5.5 × MET for vigorous activity related to work around home/per week
- 6.0 × MET for cycling as a form of transport/per week [16].
2.6. Statistical Analysis
2.7. Ethical Considerations
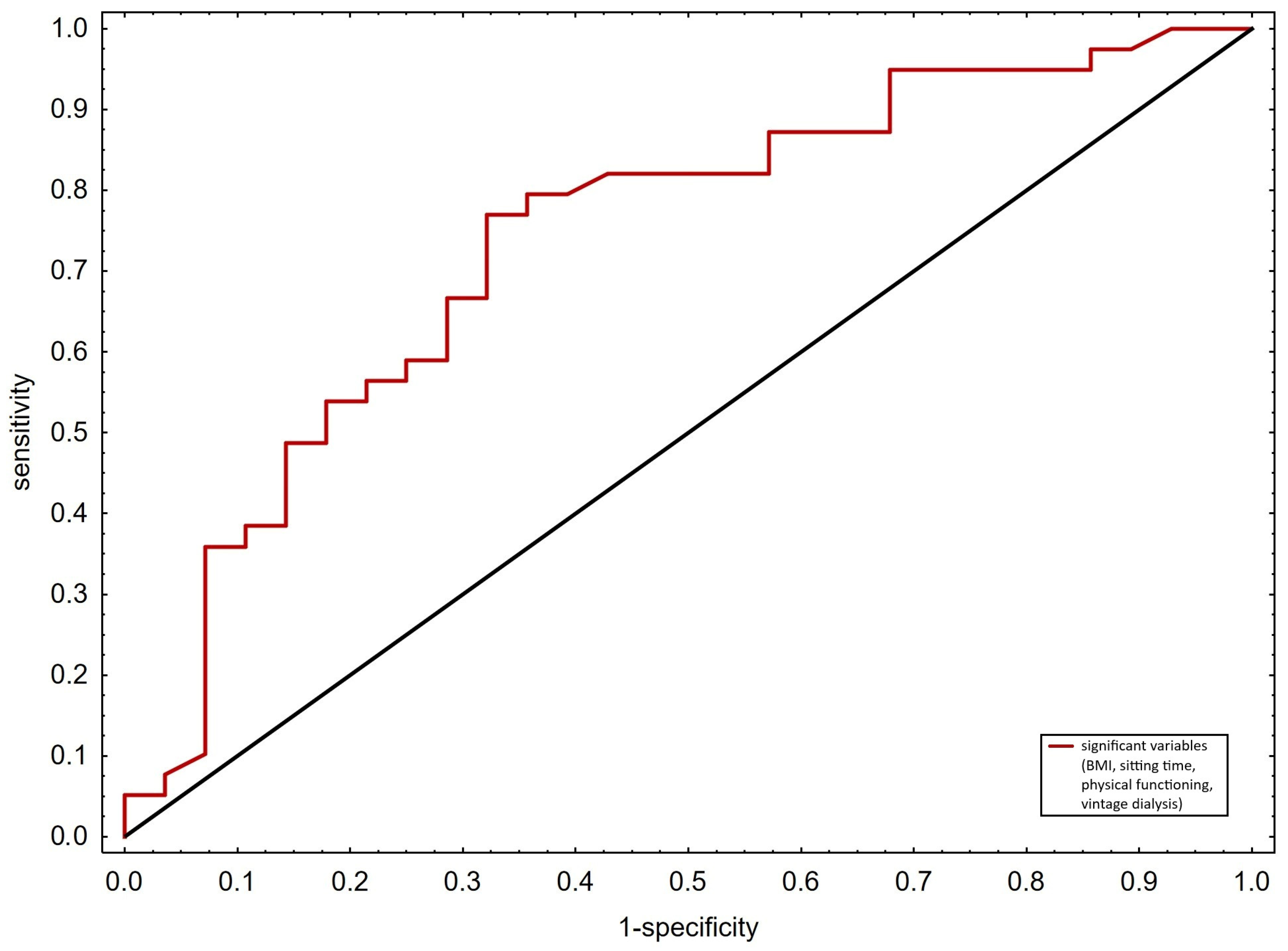
3. Results
METs—Metabolic Equivalents
4. Discussion
5. Conclusions
Author Contributions
Funding
Institutional Review Board Statement
Informed Consent Statement
Data Availability Statement
Conflicts of Interest
References
- Kim, Y.L.; Kawanishi, H. The Essentials of Clinical Dialysis; Springer: Berlin/Heidelberg, Germany, 2018. [Google Scholar]
- Hiramatsu, T.; Okumura, S.; Asano, Y.; Mabuchi, M.; Iguchi, D.; Furuta, S. Quality of Life and Emotional Distress in Peritoneal Dialysis and Hemodialysis Patients. Ther. Apher. Dial. 2020, 24, 366–372. [Google Scholar] [CrossRef] [PubMed]
- Ulu, M.S.; Ahsen, A. Muscle Cramps During Hemodialysis: What can we Do? New Approachs for Treatment and Preventing. Electron. J. Gen. Med. 2015, 12, 277–281. [Google Scholar] [CrossRef]
- Kelly, J.T.; Su, G.; Zhang, L.; Qin, X.; Marshall, S.; González-Ortiz, A.; Clase, C.M.; Campbell, K.L.; Xu, H.; Carrero, J.-J. Modifiable Lifestyle Factors for Primary Prevention of CKD: A Systematic Review and Meta-Analysis. J. Am. Soc. Nephrol. 2021, 32, 239–253. [Google Scholar] [CrossRef] [PubMed]
- Sowa, P.M.; Venuthurupalli, S.K.; Hoy, W.E.; Zhang, J.; Cameron, A.; Healy, H.G.; Connelly, L.B. Identification of factors associated with high-cost use of inpatient care in chronic kidney disease: A registry study. BMJ Open 2021, 11, 49755. [Google Scholar] [CrossRef]
- Kharroubi, S.A.; Elbarazi, I. Editorial: Health-related quality of life in health care. Front. Public Health 2023, 11, 1123180. [Google Scholar] [CrossRef]
- Shah, K.K.; Murtagh, F.E.M.; McGeechan, K.; Crail, S.; Burns, A.; Tran, A.D.; Morton, R.L. Health-related quality of life and well-being in people over 75 years of age with end-stage kidney disease managed with dialysis or comprehensive conservative care: A cross-sectional study in the UK and Australia. BMJ Open 2019, 9, e027776. [Google Scholar] [CrossRef] [PubMed]
- Cho, O.H.; Hong, I.; Kim, H. Effect of Uncertainty in Illness and Fatigue on Health-Related Quality of Life of Patients on Dialysis: A Cross-Sectional Correlation Study. Healthcare 2022, 10, 2043. [Google Scholar] [CrossRef]
- Ishtawi, S.; Jomaa, D.; Nizar, A.; Abdalla, M.; Hamdan, Z.; Nazzal, Z. Vitamin D level, pain severity and quality of life among hemodialysis patients: A cross-sectional study. Sci. Rep. 2023, 13, 1182. [Google Scholar] [CrossRef]
- Sethi, S.; Menon, A.; Dhooria, H.P.S.; Makkar, V.; Dhooria, G.S.; Chaudhary, R. Evaluation of Health-Related Quality of Life in Adult Patients on Hemodialysis. Int. J. Appl. Basic. Med. Res. 2021, 11, 221–225. [Google Scholar] [CrossRef]
- Soponaru, C.; Bojian, A.; Iorga, M. Stress factors and quality of life in adult hemodialysis patients. Glob. J. Psychol. Res. New Trends Issues 2017, 6, 185–194. [Google Scholar] [CrossRef]
- James, K.A.; Cadel, L.; Hitzig, S.L.; Guilcher, S.J.T. Patient-reported outcome measures for medication-related quality of life: A scoping review. Res. Social. Adm. Pharm. 2022, 18, 3501–3523. [Google Scholar] [CrossRef] [PubMed]
- Kowalski, K.; Rhodes, R.; Naylor, P.J.; Tuokko, H.; MacDonald, S. Direct and indirect measurement of physical activity in older adults: A systematic review of the literature. Int. J. Behav. Nutr. Phys. Act. 2012, 9, 148. [Google Scholar] [CrossRef]
- Ware, J.E.; Gandek, B. Overview of the SF-36 Health Survey and the International Quality of Life Assessment (IQOLA) Project. J. Clin. Epidemiol. 1998, 51, 903–912. [Google Scholar] [CrossRef] [PubMed]
- Zakład Rehabilitacji Elektrokardiologi, K.; Kardiologii, I. Cardiac rehabilitation Quality of life SF-36 questionnaire—The Polish version. Pol. Heart J. 2009, 67, 1166–1169. [Google Scholar]
- Stupnicki, R.; Piłsudski, J.; Gajewski, A. International Physical Activity Questionnaire (IPAQ)-Polish Version. Available online: https://www.researchgate.net/publication/234833002 (accessed on 20 June 2024).
- Kim, Y.; Park, I.; Kang, M. Convergent validity of the international physical activity questionnaire (IPAQ): Meta-analysis. Public. Health Nutr. 2013, 16, 440–452. [Google Scholar] [CrossRef]
- Yarlas, A.S.; White, M.K.; Yang, M.; Saris-Baglama, R.N.; Bech, P.G.; Christensen, T. Measuring the health status burden in hemodialysis patients using the SF-36® health survey. Qual. Life Res. 2011, 20, 383–389. [Google Scholar] [CrossRef] [PubMed]
- Chiang, C.K.; Peng, Y.; Sen Chiang, S.S.; Yang, C.S.; He, Y.H.; Hung, K.Y.; Wu, K.-D.; Wu, M.-S.; Fang, C.-C.; Tsai, T.-J.; et al. Health-related quality of life of hemodialysis patients in Taiwan: A multicenter study. Blood Purif. 2004, 22, 490–498. [Google Scholar] [CrossRef]
- Terada, I.; Hyde, C. The SF-36: An instrument for measuring quality of life in ESRD patients. EDTNA-ERCA J. 2002, 28, 73–76, 83. [Google Scholar] [CrossRef]
- Da Costa Rosa, C.S.; Gracia-Marco, L.; Barker, A.R.; Freitas, I.F.; Monteiro, H.L. Assessment of Physical Activity by Accelerometer and IPAQ-Short Version in Patients with Chronic Kidney Disease Undergoing Hemodialysis. Blood Purif. 2015, 40, 250–255. [Google Scholar] [CrossRef]
- Lou, X.; He, Q. Validity and Reliability of the International Physical Activity Questionnaire in Chinese Hemodialysis Patients: A Multicenter Study in China. Med. Sci. Monit. 2019, 25, 9402–9408. [Google Scholar] [CrossRef]
- Fletcher, B.R.; Damery, S.; Aiyegbusi, O.L.; Anderson, N.; Calvert, M.; Cockwell, P.; Ferguson, J.; Horton, M.; Paap, M.C.S.; Sidey-Gibbons, C.; et al. Symptom burden and health-related quality of life in chronic kidney disease: A global systematic review and meta-analysis. PLoS Med. 2022, 19, e1003954. [Google Scholar] [CrossRef] [PubMed]
- Johansen, K.L.; Chertow, G.M.; Ng, A.V.; Mulligan, K.; Carey, S.; Schoenfeld, P.Y.; Kent-Braun, J.A. Physical activity levels in patients on hemodialysis and healthy sedentary controls. Kidney Int. 2000, 57, 2564–2570. [Google Scholar] [CrossRef] [PubMed]
- Katayama, A.; Miyatake, N.; Nishi, H.; Uzike, K.; Sakano, N.; Hashimoto, H.; Koumoto, K. Erratum to: Evaluation of physical activity and its relationship to health-related quality of life in patients on chronic hemodialysis. Environ. Health Prev. Med. 2015, 20, 158. [Google Scholar] [CrossRef] [PubMed]
- Wong, S.W.; Chan, Y.M.; Lim, T.S. Correlates of physical activity level among hemodialysis patients in Selangor, Malaysia. Malays. J. Nutr. 2011, 17, 277–286. [Google Scholar]
- Wu, Y.H.; Hsu, Y.J.; Tzeng, W.C. Physical Activity and Health-Related Quality of Life of Patients on Hemodialysis with Comorbidities: A Cross-Sectional Study. Int. J. Environ. Res. Public Health 2022, 19, 811. [Google Scholar] [CrossRef]
- Hornik, B.; Duława, J. Frailty, Quality of Life, Anxiety, and Other Factors Affecting Adherence to Physical Activity Recommendations by Hemodialysis Patients. Int. J. Environ. Res. Public Health 2019, 16, 1827. [Google Scholar] [CrossRef] [PubMed]
- Poornzaari, M.; Roshanzadeh, M.; Mohammadi, S.; Tajabadi, A.; Dehghani, K.; Parsa, S. Effect of Isotonic Exercise on the Frequency of Muscle Cramps in Hemodialysis Patients: A Clinical Trial. Med.-Surg. Nurs. J. 2019, 8, e85770. [Google Scholar] [CrossRef]
- Musolino, M.; Presta, P.; Cianfrone, P.; Errante, M.A.; Andreucci, M.; Coppolino, G.; Bolignano, D. Self-Reported Physical Inactivity and Mood Disturbances in End-Stage Kidney Disease (ESKD) Patients on Chronic Dialysis Treatment. J. Clin. Med. 2023, 12, 7160. [Google Scholar] [CrossRef]
- Verhoog, S.; Braun, K.V.E.; Bano, A.; van Rooij, F.J.A.; Franco, O.H.; Koolhaas, C.M.; Voortman, T. Associations of Activity and Sleep with Quality of Life: A Compositional Data Analysis. Am. J. Prev. Med. 2020, 59, 412–419. [Google Scholar] [CrossRef]
- Ul-Haq, Z.; Mackay, D.F.; Fenwick, E.; Pell, J.P. Meta-analysis of the association between body mass index and health-related quality of life among adults, assessed by the SF-36. Obesity 2013, 21, E322–E327. [Google Scholar] [CrossRef]
- Yang, Y.; Zhang, H.; Lan, X.; Qin, X.; Huang, Y.; Wang, J.; Luo, P.; Wen, Z.; Li, Y.; Kong, Y.; et al. Low BMI and high waist-to-hip ratio are associated with mortality risk among hemodialysis patients: A multicenter prospective cohort study. Clin. Kidney J. 2022, 16, 167–175. [Google Scholar] [CrossRef] [PubMed]
- Rayner, H.C.; Zepel, L.; Fuller, D.S.; Morgenstern, H.; Karaboyas, A.; Culleton, B.F.; Mapes, D.L.; Lopes, A.A.; Gillespie, B.W.; Hasegawa, T.; et al. Recovery time, quality of life, and mortality in hemodialysis patients: The Dialysis Outcomes and Practice Patterns Study (DOPPS). Am. J. Kidney Dis. 2014, 64, 86–94. [Google Scholar] [CrossRef] [PubMed]
- Brown, E.A.; Zhao, J.; McCullough, K.; Fuller, D.S.; Figueiredo, A.E.; Bieber, B.; Finkelstein, F.O.; Shen, J.; Kanjanabuch, T.; Kawanishi, H.; et al. Burden of Kidney Disease, Health-Related Quality of Life, and Employment Among Patients Receiving Peritoneal Dialysis and In-Center Hemodialysis: Findings From the DOPPS Program. Am. J. Kidney Dis. 2021, 78, 489–500.e1. [Google Scholar] [CrossRef] [PubMed]
- So, S.; Li, K.; Hoffman, A.T.; Josland, E.; Brown, M.A. Quality of Life in Patients with Chronic Kidney Disease Managed with or without Dialysis: An Observational Study. Kidney360 2022, 3, 1890–1898. [Google Scholar] [CrossRef] [PubMed]
- Zhu, L.; Li, X.L.; Shi, R.; Wang, D.G. Dialysis vintage is associated with a high prevalence and severity of unpleasant symptoms in patients on hemodialysis. Ren. Fail. 2023, 45, 2201361. [Google Scholar] [CrossRef]
- Daniel, S.C.; Azuero, A.; Gutierrez, O.M.; Heaton, K. Examining the relationship between nutrition, quality of life, and depression in hemodialysis patients. Qual. Life Res. 2021, 30, 759–768. [Google Scholar] [CrossRef] [PubMed]
- Cukor, D.; Cohen, S.D.; Peterson, R.A.; Kimmen, P.L. Psychosocial aspects of chronic disease: ESRD as a paradigmatic illness. J. Am. Soc. Nephrol. 2007, 18, 3042–3055. [Google Scholar] [CrossRef] [PubMed]
- Kimmel, P.L. Psychosocial factors in adult end-stage renal disease patients treated with hemodialysis: Correlates and outcomes. Am. J. Kidney Dis. 2000, 35 (Suppl. S1), S132–S140. [Google Scholar] [CrossRef]
- Cohen, S.D.; Kimmel, P.L. Quality of life and mental health related to timing, frequency and dose of hemodialysis. Semin. Dial. 2013, 26, 697–701. [Google Scholar] [CrossRef] [PubMed]
- Zhao, Q.; Zhu, Y.; Zhao, X.; Shi, R.; Lu, T.; Yu, R.; Wang, D. Prevalence and risk factors of sarcopenia in patients on maintenance hemodialysis: A retrospective cohort study. BMC Musculoskelet. Disord. 2024, 25, 424. [Google Scholar] [CrossRef] [PubMed]
- Elder, M.; Moonen, A.; Crowther, S.; Aleksova, J.; Center, J.; Elder, G.J. Chronic kidney disease-related sarcopenia as a prognostic indicator in elderly haemodialysis patients. BMC Nephrol. 2023, 24, 138. [Google Scholar] [CrossRef]
- Giglio, J.; Kamimura, M.A.; Lamarca, F.; Rodrigues, J.; Santin, F.; Avesani, C.M. Association of Sarcopenia with Nutritional Parameters, Quality of Life, Hospitalization, and Mortality Rates of Elderly Patients on Hemodialysis. J. Ren. Nutr. 2018, 28, 197–207. [Google Scholar] [CrossRef]
- Thijssen, S.; Wong, M.M.Y.; Usvyat, L.A.; Xiao, Q.; Kotanko, P.; Maddux, F.W. Nutritional Competence and Resilience among Hemodialysis Patients in the Setting of Dialysis Initiation and Hospitalization. Clin. J. Am. Soc. Nephrol. 2015, 10, 1593–1601. [Google Scholar] [CrossRef]
- Chewcharat, A.; Chewcharat, P.; Liu, W.; Cellini, J.; Phipps, E.A.; Melendez Young, J.A.; Nigwekar, S.U. The effect of levocarnitine supplementation on dialysis-related hypotension: A systematic review, meta-analysis, and trial sequential analysis. PLoS ONE 2022, 17, e0271307. [Google Scholar] [CrossRef] [PubMed]
- Lynch, P.G.; Abate, M.; Suh, H.; Wadhwa, N.K. Magnesium and Muscle Cramps in End Stage Renal Disease Patients on Chronic Hemodialysis. Adv. Nephrol. 2014, 2014, 681969. [Google Scholar] [CrossRef][Green Version]
- Takashima, H.; Maruyama, T.; Abe, M. Significance of Levocarnitine Treatment in Dialysis Patients. Nutrients 2021, 13, 1219. [Google Scholar] [CrossRef] [PubMed]
- Takahashi, A. The pathophysiology of leg cramping during dialysis and the use of carnitine in its treatment. Physiol. Rep. 2021, 9, e15114. [Google Scholar] [CrossRef] [PubMed]
- Flythe, J.E.; Powell, J.D.; Poulton, C.J.; Westreich, K.D.; Handler, L.; Reeve, B.B.; Carey, T.S. Patient-Reported Outcome Instruments for Physical Symptoms Among Patients Receiving Maintenance Dialysis: A Systematic Review. Am. J. Kidney Dis. 2015, 66, 1033–1046. [Google Scholar] [CrossRef]
- Abdel-Kader, K.; Unruh, M.L.; Weisbord, S.D. Symptom burden, depression, and quality of life in chronic and end-stage kidney disease. Clin. J. Am. Soc. Nephrol. 2009, 4, 1057–1064. [Google Scholar] [CrossRef]
- Weisbord, S.D.; Fried, L.F.; Arnold, R.M.; Fine, M.J.; Levenson, D.J.; Peterson, R.A.; Switzer, G.E. Prevalence, severity, and importance of physical and emotional symptoms in chronic hemodialysis patients. J. Am. Soc. Nephrol. 2005, 16, 2487–2494. [Google Scholar] [CrossRef]
- Bagheri, Z.; Jafari, P.; Faghih, M.; Allahyari, E.; Dehesh, T. Testing measurement equivalence of the SF-36 questionnaire across patients on hemodialysis and healthy people. Int. Urol. Nephrol. 2015, 47, 2013–2021. [Google Scholar] [CrossRef] [PubMed]

| Parameter | All Patients (n = 67) | With Muscle Spasms (n = 39) | Without Muscle Spasms (n = 28) | p-Value |
|---|---|---|---|---|
| Age [years] ± SD | 60 ± 8.8 | 61.6 ± 7.1 | 57.9 ± 10.5 | 0.338 |
| Body mass [kg] ± SD | 78.4 ± 20.5 | 82.5 ± 19.2 | 72.8 ± 21.2 | 0.005 |
| BMI [kg/m2] ± SD | 26.9 ± 5.6 | 28.2 ± 5.6 | 25 ± 5.1 | 0.004 |
| SBP [mmHg] ± SD | 143.2 ± 24.4 | 144.5 ± 24.8 | 141.5 ± 24 | 0.617 |
| Time of dialysis session [min] ± SD | 215 ± 28.6 | 216.2 ± 29.9 | 213.6 ± 27.1 | 0.719 |
| Dialysis vintage [Days] ± SD | 993.7 ± 760.1 | 830.7 ± 692.7 | 1220.8 ± 803.2 | 0.063 |
| Parameter | OR (95% Cl) | p-Value |
|---|---|---|
| Age | 1.015 (0.984–1.047) | 0.33 |
| Body mass | 1.026 (0.998–1.059) | 0.04 |
| BMI | 1.132 (1.016–1.260) | 0.01 |
| SBP | 1.005 (0.985–1.026) | 0.61 |
| Time of dialysis session | 1.003 (0.986–1.021) | 0.71 |
| Dialysis vintage | 0.999 (0.999–1.000) | 0.03 |
| Score | All Patients (n = 67) | With Muscle Spasms (n = 39) | Without Muscle Spasms (n = 28) | p-Value * |
|---|---|---|---|---|
| Physical functioning | 55.5 ± 27.4 | 50.8 ± 27.9 | 62 ± 25.8 | 0.112 |
| Limitations due to physical health | 37.7 ± 42.5 | 32 ± 41.3 | 45.5 ± 43.6 | 0.219 |
| Limitations due to emotional problems | 52.7 ± 45.4 | 49.6 ± 46.4 | 57.1 ± 44.3 | 0.496 |
| Pain | 60.6 ± 32.2 | 61 ± 34 | 60 ± 30 | 0.819 |
| Emotional well-being | 65.9 ± 19.1 | 65.6 ± 21.2 | 66.3 ± 16.3 | 0.804 |
| Social Functioning | 72.4 ± 27.8 | 70.8 ± 29.8 | 74.52 ± 25.1 | 0.794 |
| Fatigue | 45.2 ± 20.4 | 44.2 ± 20.9 | 46.6 ± 20.1 | 0.620 |
| General Health | 35.7 ± 12.5 | 35.9 ± 12.2 | 35.5 ± 13.2 | 0.484 |
| Physical Activity | Median Total METs-Min/Week | Mean Sitting Time [Min] | |||
|---|---|---|---|---|---|
| Low | Moderate | High | |||
| All patients (n = 67) | 26 (38.8%) | 20 (29.9%) | 21 (31.3%) | 953 | 451.9 ± 225.0 |
| With muscle spasms (n = 39) | 19 (48.8%) | 10 (25.6%) | 10 (25.6%) | 724.5 | 513.3 ± 227.4 |
| Without muscle spasms (n = 28) | 7 (25.0%) | 10 (35.7%) | 11 (39.3%) | 1699.5 | 336.4 ± 194.8 |
| p-value * | 0.1434 | 0.205 | 0.017 | ||
| Score | OR (95% Cl) | p-Value |
|---|---|---|
| Physical functioning | 0.984 (0.966–1.003) | 0.016 |
| Limitations due to physical health | 0.992 (0.981–1.004) | 0.184 |
| Limitations due to emotional problems | 0.996 (0.986–1.007) | 0.750 |
| Pain | 1.001 (0.986–1.016) | 0.423 |
| Emotional well-being | 0.998 (0.973–1.024) | 0.889 |
| Social Functioning | 0.995 (0.978–1.013) | 0.133 |
| Fatigue | 0.994 (0.970–1.018) | 0.196 |
| General Health | 1.002 (0.964–1.042) | 0.859 |
| Total METs | 0.963 (0.912–1.012) | 0.910 |
| Time spent sitting during the day | 1.003 (1.001–1.006) | 0.011 |
| Variable | OR (95% Cl) | p-Value |
|---|---|---|
| Intercept | 0.993 (0.003–2.969) | 0.181 |
| BMI | 1.132 (1.009–1.270) | 0.034 |
| Dialysis vintage | 0.999 (0.998–1.000) | 0.040 |
| Time spent sittingduring the day | 1.004 (1.001–1.007) | 0.009 |
| Physical functioning | 0.975 (0.953–0.998) | 0.032 |
Disclaimer/Publisher’s Note: The statements, opinions and data contained in all publications are solely those of the individual author(s) and contributor(s) and not of MDPI and/or the editor(s). MDPI and/or the editor(s) disclaim responsibility for any injury to people or property resulting from any ideas, methods, instructions or products referred to in the content. |
© 2024 by the authors. Published by MDPI on behalf of the Lithuanian University of Health Sciences. Licensee MDPI, Basel, Switzerland. This article is an open access article distributed under the terms and conditions of the Creative Commons Attribution (CC BY) license (https://creativecommons.org/licenses/by/4.0/).
Share and Cite
Kot, G.; Wróbel, A.; Kuna, K.; Makówka, A.; Nowicki, M. The Effect of Muscle Cramps During Hemodialysis on Quality of Life and Habitual Physical Activity. Medicina 2024, 60, 2075. https://doi.org/10.3390/medicina60122075
Kot G, Wróbel A, Kuna K, Makówka A, Nowicki M. The Effect of Muscle Cramps During Hemodialysis on Quality of Life and Habitual Physical Activity. Medicina. 2024; 60(12):2075. https://doi.org/10.3390/medicina60122075
Chicago/Turabian StyleKot, Gabriela, Agata Wróbel, Kasper Kuna, Agnieszka Makówka, and Michał Nowicki. 2024. "The Effect of Muscle Cramps During Hemodialysis on Quality of Life and Habitual Physical Activity" Medicina 60, no. 12: 2075. https://doi.org/10.3390/medicina60122075
APA StyleKot, G., Wróbel, A., Kuna, K., Makówka, A., & Nowicki, M. (2024). The Effect of Muscle Cramps During Hemodialysis on Quality of Life and Habitual Physical Activity. Medicina, 60(12), 2075. https://doi.org/10.3390/medicina60122075

