Sign in to use this feature.

Years

Between: -

Subjects

remove_circle_outline
remove_circle_outline
remove_circle_outline
remove_circle_outline
remove_circle_outline
remove_circle_outline
remove_circle_outline
remove_circle_outline
remove_circle_outline

Journals

remove_circle_outline
remove_circle_outline
remove_circle_outline
remove_circle_outline
remove_circle_outline
remove_circle_outline
remove_circle_outline
remove_circle_outline
remove_circle_outline
remove_circle_outline
remove_circle_outline
remove_circle_outline
remove_circle_outline
remove_circle_outline
remove_circle_outline
remove_circle_outline
remove_circle_outline
remove_circle_outline
remove_circle_outline
remove_circle_outline
remove_circle_outline
remove_circle_outline
remove_circle_outline
remove_circle_outline
remove_circle_outline
remove_circle_outline
remove_circle_outline
remove_circle_outline
remove_circle_outline
remove_circle_outline
remove_circle_outline
remove_circle_outline
remove_circle_outline
remove_circle_outline
remove_circle_outline

Article Types

Countries / Regions

remove_circle_outline
remove_circle_outline
remove_circle_outline
remove_circle_outline
remove_circle_outline
remove_circle_outline
remove_circle_outline
remove_circle_outline
remove_circle_outline

Search Results (7,681)

Search Parameters:
Keywords = platelet

Order results
Result details
Results per page
Select all
Export citation of selected articles as:
21 pages, 6110 KB  
Article
Stochastic Dynamic Analysis and Vibration Suppression of FG-GPLRC Cylinder–Plate Combined Structures with Distributed Dynamic Vibration Absorbers
by Qingtao Gong, Ai Zhang, Yao Teng and Yuan Wang
Materials 2026, 19(6), 1082; https://doi.org/10.3390/ma19061082 - 11 Mar 2026
Abstract
Cylinder–plate combined structures (CPCS) are widely used in aerospace, marine engineering, and offshore platform systems. During service, they are frequently subjected to stochastic excitations induced by turbulent boundary layers, acoustic loads, hydrodynamic disturbances, and broadband operational vibrations. Excessive random vibration responses may significantly [...] Read more.
Cylinder–plate combined structures (CPCS) are widely used in aerospace, marine engineering, and offshore platform systems. During service, they are frequently subjected to stochastic excitations induced by turbulent boundary layers, acoustic loads, hydrodynamic disturbances, and broadband operational vibrations. Excessive random vibration responses may significantly reduce structural reliability, accelerate fatigue damage, and compromise operational safety. To address these engineering challenges, a unified stochastic dynamic analysis and vibration suppression framework is established for functionally graded graphene platelet-reinforced composites (FG-GPLRC) CPCS equipped with distributed dynamic vibration absorbers (DVAs). Adopting the First-order Shear Deformation Theory (FSDT), a comprehensive energy functional for the CPCS is established, in which the penalty method is implemented to impose boundary conditions and ensure interface continuity. Subsequently, the Pseudo-excitation Method (PEM) is utilized to convert the stochastic vibration analysis into an equivalent deterministic harmonic problem, and the governing equations are spatially discretized by combining the spectral geometric method (SGM) with the Ritz variational procedure, enabling efficient evaluation of power spectral density (PSD) and root-mean-square (RMS) responses. The reliability of the proposed model is verified through a series of numerical validation comparisons. On this basis, comprehensive parametric investigations are conducted to assess how material properties, structural geometries, and critical DVA parameters influence system behavior. The results demonstrate that the incorporation of distributed DVAs can achieve superior vibration suppression performance. This study provides an efficient and reliable theoretical framework for stochastic vibration analysis and damping design of advanced composite plate–shell coupled structures operating in complex random environments, offering important theoretical support for dynamic optimization design in aerospace and marine engineering applications. Full article
(This article belongs to the Special Issue Research on Vibration of Composite Structures)
Show Figures

Figure 1

15 pages, 1042 KB  
Article
C-Reactive Protein-to-Platelet Inflammatory Index (CPII) and Symptom Severity Score for Early Differentiation of Odontogenic Cervicofacial Necrotizing Fasciitis from Odontogenic Abscesses: A Retrospective Cohort Study
by Marko Tarle, Igor Čvrljević, Koraljka Hat, Marina Raguž, Ivan Salarić and Ivica Lukšić
Dent. J. 2026, 14(3), 162; https://doi.org/10.3390/dj14030162 - 11 Mar 2026
Abstract
Background/Objectives: Early differentiation of odontogenic cervicofacial necrotizing fasciitis (NF) from odontogenic abscess (OA) is clinically challenging yet critical due to the need for urgent surgical and antimicrobial escalation. We evaluated whether a novel C-reactive protein-to-platelet inflammatory index (CPII = CRP/platelets), combined with [...] Read more.
Background/Objectives: Early differentiation of odontogenic cervicofacial necrotizing fasciitis (NF) from odontogenic abscess (OA) is clinically challenging yet critical due to the need for urgent surgical and antimicrobial escalation. We evaluated whether a novel C-reactive protein-to-platelet inflammatory index (CPII = CRP/platelets), combined with a symptom-based Symptom Severity (SS) score, improves early discrimination of NF from OA. Methods: This retrospective cohort study included 234 hospitalized patients with cervicofacial odontogenic infections treated between January 2010 and December 2023 (25 NF, 209 OA). Admission clinical variables, SS and SIRS scores, and laboratory parameters were analyzed. CPII and established immunoinflammatory indices (including AISI, SII, NLR, PLR, and LMR) were calculated. Group comparisons were performed using nonparametric and categorical tests. Diagnostic performance was assessed by ROC analysis, and multivariable logistic regression evaluated independent associations with NF. Results: Compared with OA, NF patients were older (median 42 [IQR 35–59] vs. 35 [IQR 26–49] years; p = 0.0098) and more frequently had comorbidities (52% vs. 25.4%; OR 3.19; p = 0.0087). Trismus and dysphagia were more common in NF (84% vs. 60.8%, p = 0.0272; 88% vs. 53.6%, p = 0.0010), with higher SS and SIRS scores (both p < 0.0001). NF was associated with longer hospitalization (median 17 vs. 6 days; p < 0.0001) and more complications (40% vs. 5.7%; OR 10.94; p < 0.0001). CRP was markedly higher in NF (median 287 vs. 111.5 mg/L; p < 0.0001), platelets were lower (median 210 vs. 249 × 109/L; p = 0.0091), and CPII was substantially higher (median 1.23 vs. 0.45; p < 0.0001). AISI did not differ between groups (p = 0.861). ROC analysis demonstrated excellent discrimination for SS score (AUC 0.9328, cut-off 12), CRP (AUC 0.9109, cut-off 221 mg/L), and CPII (AUC 0.9271, cut-off 0.75), whereas AISI showed limited discrimination (AUC 0.5108). In multivariable analysis, both SS score (adjusted OR 2.08 per 1 point) and CPII (adjusted OR 6.87 per 0.5 units) were independently associated with NF; the combined SS + CPII model achieved an AUC of 0.9726. Conclusions: CPII is a simple, admission-available biomarker that differentiates odontogenic cervicofacial NF from OA with excellent accuracy and provides strong complementary value when combined with SS score. AISI, despite prior utility for odontogenic abscess severity assessment, did not discriminate NF from OA in this cohort. Full article
(This article belongs to the Section Oral and Maxillofacial Surgery)
Show Figures

Figure 1

15 pages, 3994 KB  
Article
Parameter-Reduced YOLOv8n with GhostConv and C3Ghost for Automated Blood Cell Detection
by Jing Yang, Bo Yang, Zhenqing Li, Yoshinori Yamaguchi and Wen Xiao
Bioengineering 2026, 13(3), 321; https://doi.org/10.3390/bioengineering13030321 - 11 Mar 2026
Abstract
Accurate detection of blood cells in microscopic images plays a crucial role in automated hematological analysis and clinical diagnosis. Herein, we proposed an improved YOLOv8n-based model for efficient and precise detection of red blood cells (RBCs), white blood cells (WBCs), and platelets in [...] Read more.
Accurate detection of blood cells in microscopic images plays a crucial role in automated hematological analysis and clinical diagnosis. Herein, we proposed an improved YOLOv8n-based model for efficient and precise detection of red blood cells (RBCs), white blood cells (WBCs), and platelets in the BCCD dataset. The baseline YOLOv8n framework was enhanced by integrating GhostConv and C3Ghost modules to reduce model complexity while maintaining high detection performance. A series of ablation experiments were conducted to evaluate the individual and combined effects of these modules on model accuracy and computational efficiency. Experimental results demonstrated that the baseline model achieved an mAP@0.5 of 0.9043 with 3.01 M parameters. After incorporating GhostConv, the model maintained comparable accuracy (mAP@0.5 = 0.9040) with a reduction in parameters to 2.73 M. The C3Ghost integration further decreased parameters to 1.99 M with an mAP@0.5 of 0.8973. The combined model achieved an optimal balance between accuracy (mAP@0.5 = 0.9001) and compactness (1.71 M parameters). Results indicate that the improved YOLOv8n can effectively enhance detection efficiency without sacrificing precision. The proposed lightweight detection framework provides a promising solution for real-time blood cell analysis. Its high accuracy, reduced computational load, and strong generalization ability make it suitable for integration into automated laboratory systems, facilitating rapid and intelligent medical diagnostics in hematology and related biomedical applications. Full article
Show Figures

Figure 1

25 pages, 2200 KB  
Review
Redox Regulation of Megakaryocyte Differentiation and Platelet Biogenesis
by Hyunmin Chung, Eunju Shin, Taeho Park, Hanseul Jeong, Haiyoung Jung, Ok-Nam Bae and Ji-Yoon Noh
Antioxidants 2026, 15(3), 352; https://doi.org/10.3390/antiox15030352 - 11 Mar 2026
Abstract
Pathological accumulation of reactive oxygen species (ROS) is implicated in several diseases, including cancer, cardiovascular diseases, and aging. However, ROS play essential roles in cellular functions, including proliferation, differentiation, and immune responses, at physiological levels. In megakaryocytes, the cells responsible for producing platelets, [...] Read more.
Pathological accumulation of reactive oxygen species (ROS) is implicated in several diseases, including cancer, cardiovascular diseases, and aging. However, ROS play essential roles in cellular functions, including proliferation, differentiation, and immune responses, at physiological levels. In megakaryocytes, the cells responsible for producing platelets, ROS exert context-dependent effects, either promoting or impairing maturation depending on developmental stage and subcellular localization. In this review, we summarize current evidence demonstrating that balanced ROS signaling is required throughout megakaryocyte development. Further, we discuss how the source and timing of ROS generation determine their distinct stage-specific functions, and the role of ROS dysregulation in defective platelet production in conditions such as aging, inflammation, and hematopoietic stress. We further highlight the importance of redox regulation for efficient in vitro platelet manufacturing. Although stem cell-derived platelets hold great promise for addressing global platelet shortages, current systems produce significantly fewer platelets than are found naturally. We propose that limited understanding and poor control of ROS dynamics contribute to limited platelet yield and quality. By viewing ROS as tunable biological signals rather than solely as harmful byproducts, we emphasize redox modulation as a practical and actionable approach to enhance platelet biogenesis and support the development of next-generation platelet therapies. Full article
Show Figures

Figure 1

13 pages, 878 KB  
Article
Retrospective Analysis of Hematological Parameter Changes in DMARD-Naive Rheumatoid Arthritis Patients Treated with Methotrexate: Correlation with Disease Activity and Treatment Outcomes
by Esra Dilsat Imrak and İlknur Aktas
Biomedicines 2026, 14(3), 625; https://doi.org/10.3390/biomedicines14030625 - 11 Mar 2026
Abstract
Background/Aim: This study aimed to evaluate the changes in hematological indices following methotrexate (MTX) initiation and assess their correlation with and predictive value for treatment responses in rheumatoid arthritis (RA) patients. Methods: A retrospective study was conducted on 299 DMARD-naïve RA patients who [...] Read more.
Background/Aim: This study aimed to evaluate the changes in hematological indices following methotrexate (MTX) initiation and assess their correlation with and predictive value for treatment responses in rheumatoid arthritis (RA) patients. Methods: A retrospective study was conducted on 299 DMARD-naïve RA patients who received MTX monotherapy for 12 weeks. Univariate and multivariate logistic regression identified predictors of remission and low disease activity. Correlation analyses assessed relationships between hematological and disease activity changes. Receiver operating characteristic (ROC) curve analysis evaluated the discriminatory ability of hematological parameters. Results: After 12 weeks of MTX, significant decreases were observed in white blood cell (p = 0.025), neutrophil (p = 0.026), hemoglobin (p = 0.001), and platelet counts (p < 0.001), alongside an increase in red cell distribution width (RDW) (p < 0.001). Multivariate analysis identified only baseline DAS28-CRP (OR: 9826.7, p < 0.001) and CRP (OR: 0.45, p = 0.005) as independent predictors for remission, and baseline swollen joint count, DAS28-CRP, and CRP for LDA. Hematological parameters were not independent predictors. ROC analysis revealed neither baseline values nor changes in hematological indices had satisfactory discriminatory power for remission or LDA. Conclusions: Hematological parameter changes do not serve as robust independent predictors for early treatment response. Clinical disease activity indices remain superior for prognostication in DMARD-naïve patients starting MTX. Full article
(This article belongs to the Section Endocrinology and Metabolism Research)
Show Figures

Figure 1

22 pages, 982 KB  
Review
From Physiology to Clinical Practice in Pancreatic Cancer-Related Thromboembolism—A Review
by Monika Jarowicz, Michał Sekuła, Wiktor Kociemba, Katarzyna Polak, Joanna Taczała, Kamila Krupa, Hanna Miski, Marta Fudalej, Andrzej Deptała and Anna Badowska-Kozakiewicz
Cancers 2026, 18(6), 890; https://doi.org/10.3390/cancers18060890 - 10 Mar 2026
Abstract
Pancreatic cancer (PC) is a highly lethal malignancy linked to the highest rate of thromboembolic complications (TEC) among all solid tumors. TECs occur in approximately 5–40% of PC patients. The most common type of TEC in PC is venous thromboembolism (VTE). The mechanisms [...] Read more.
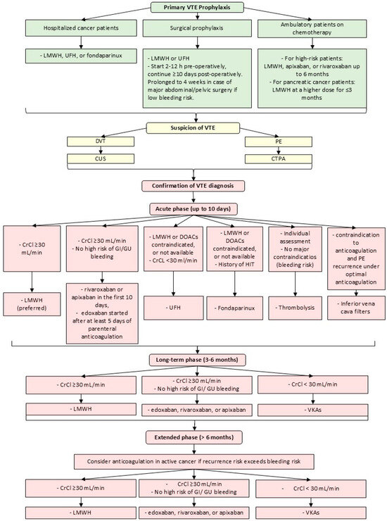
Pancreatic cancer (PC) is a highly lethal malignancy linked to the highest rate of thromboembolic complications (TEC) among all solid tumors. TECs occur in approximately 5–40% of PC patients. The most common type of TEC in PC is venous thromboembolism (VTE). The mechanisms leading to frequent TEC in PC are complex and involve interactions between tumor-derived procoagulant factors and the prothrombotic tumor microenvironment (TME). Secretion of tissue factor and proinflammatory cytokines by tumor cells and the TME, overexpression of heparanase and podoplanin, impaired fibrynolysis and increased neutrophil extracellular trap formation lead to platelet hyperactivation resulting in hypercoagulability in PC. Understanding these mechanisms is crucial for identifying risk factors of TEC. Current thromboembolism risk models have limited predictive accuracy, which reduces their clinical usefulness. Identifying patients with thromboembolism is challenging because these events are often asymptomatic and their clinical presentation varies depending on the location of the thrombus. Treatment of VTE in PC depends on the phase of the VTE; in the acute phase, treatment primarily involves LMWH. For long-term management, LMWH may be replaced by direct oral anticoagulants such as apixaban, edoxaban, or rivaroxaban. In cases of VTE recurrence, increasing the LMWH dose, switching to an oral anticoagulant, or placing an inferior vena cava filter should be considered. LWMH and unfractionated heparin (UFH) are preferred options for VTE prophylaxis. Novel therapies, including factor XI inhibitors, show efficacy comparable to LMWH while offering a better safety profile. Full article
(This article belongs to the Section Tumor Microenvironment)
Show Figures

Figure 1

15 pages, 597 KB  
Article
Association Between Biochemical, Inflammatory, Oxidative Stress and DNA Methylation Biomarkers with Perceived Stress in Mexican Individuals
by Heriberto Jacobo-Cuevas, Laura González-López, Saúl Ramírez-de-Los-Santos, Ana Míriam Saldaña-Cruz, Juan Manuel Ponce-Guarneros, Norma Alejandra Rodríguez-Jimenez and Aniel Jessica Leticia Brambila-Tapia
Biomolecules 2026, 16(3), 405; https://doi.org/10.3390/biom16030405 - 10 Mar 2026
Abstract
Stress is increasingly recognized as a complex, multidimensional phenomenon shaped by interacting biological, psychological, and social factors, and it has been linked to numerous physical conditions. Several inflammatory and oxidative stress markers have been correlated with perceived stress. However, the combined association of [...] Read more.
Stress is increasingly recognized as a complex, multidimensional phenomenon shaped by interacting biological, psychological, and social factors, and it has been linked to numerous physical conditions. Several inflammatory and oxidative stress markers have been correlated with perceived stress. However, the combined association of biochemical variables, inflammatory and oxidative stress biomarkers, and DNA methylation with perceived stress has not yet been examined in the Mexican population. Therefore, the objective of this study was to determine such an association in a sample of non-representative Mexican adult individuals. A total of 157 individuals were included, of whom 83 (53%) were women. Women showed higher values of stress than men. In the bivariate correlations, perceived stress correlated negatively with sleep quality, age, total cholesterol, monthly earnings and waist-to-hip ratio and positively with morbidity count, leucocytes and platelets. In the multivariable analyses, additional variables were associated with perceived stress, including a positive correlation with IL-1β in the total sample, a positive correlation with 8-isoprostane in the women’s sample, and a negative correlation with this molecule in the men’s sample. Similarly, perceived stress correlated positively with DNA global methylation in the men’s sample and negatively with this variable in the women’s sample. In conclusion, perceived stress showed correlations with many variables, including sociodemographic and behavioral ones, such as sex, age and sleep quality; biochemical variables, including serum lipids, platelets and leukocytes; and inflammation (IL-1β), oxidative stress (8-isoprostane) and DNA methylation (global DNA methylation) biomarkers, some of them showing opposite correlations in each sex. Full article
(This article belongs to the Collection Feature Papers in Molecular Biomarkers)
Show Figures

Figure 1

17 pages, 3777 KB  
Article
Development and Validation of a Multidimensional Predictive Model for 28-Day Mortality in Patients with Post-Traumatic Acute Respiratory Distress Syndrome
by Piao Zhang, Chengcheng Sun, Renchao Zou, Li Zhou and Chunling Jiang
J. Clin. Med. 2026, 15(5), 2073; https://doi.org/10.3390/jcm15052073 - 9 Mar 2026
Viewed by 40
Abstract
Objective: To develop and validate a multidimensional nomogram for predicting 28-day all-cause mortality in patients with post-traumatic acute respiratory distress syndrome (ARDS). Methods: A retrospective analysis was conducted on 667 post-traumatic ARDS patients from the MIMIC-IV database, divided into training (n = 466) [...] Read more.
Objective: To develop and validate a multidimensional nomogram for predicting 28-day all-cause mortality in patients with post-traumatic acute respiratory distress syndrome (ARDS). Methods: A retrospective analysis was conducted on 667 post-traumatic ARDS patients from the MIMIC-IV database, divided into training (n = 466) and validation (n = 201) cohorts (7:3). LASSO regression combined with the Boruta algorithm was used to screen variables and construct a nomogram. Model performance was evaluated by AUROC, calibration curves, and decision curve analysis (DCA) with SHAP analysis to identify core predictors. Results: Ten variables (e.g., lactate, platelet transfusion units, D-dimer) were selected and used to construct the nomogram model. The nomogram showed superior discriminative ability (AUROC = 0.848 in training set, 0.846 in validation set) compared with SOFA, APACHE II scores, and machine learning models (XGBoost, random forest). Calibration curves confirmed good agreement between predicted and actual risks, and DCA indicated better clinical net benefit. SHAP analysis identified lactate and platelet transfusion units as core risk factors and albumin and base excess trauma as protective factors. Conclusions: The nomogram has excellent predictive efficacy and interpretability, providing a reliable tool for clinical intervention in post-traumatic ARDS patients. Full article
(This article belongs to the Section Respiratory Medicine)
Show Figures

Figure 1

25 pages, 1959 KB  
Review
A Comparative Analysis of the Efficacy, Safety and Mechanism of Action of Flebogamma DIF, Fostamatinib and Romiplostim in Immune Thrombocytopenia
by Mary Akinyemi, Kamna Ravi, Furong Tian and Baljit Singh
Life 2026, 16(3), 440; https://doi.org/10.3390/life16030440 - 9 Mar 2026
Viewed by 38
Abstract
Immune thrombocytopenia (ITP) is an autoimmune disorder characterized by immune-mediated platelet destruction, resulting in a platelet count below 100 × 109/L and an increased risk of bleeding complications that significantly impair quality of life. Despite advances in ITP management, the unpredictable [...] Read more.
Immune thrombocytopenia (ITP) is an autoimmune disorder characterized by immune-mediated platelet destruction, resulting in a platelet count below 100 × 109/L and an increased risk of bleeding complications that significantly impair quality of life. Despite advances in ITP management, the unpredictable and heterogeneous nature of the disease continues to challenge treatment selection. This review compares the efficacy, safety, and mechanisms of action of Fostamatinib, Flebogamma DIF, and Romiplostim in adult and pediatric ITP patients. Peer-reviewed studies published over the past 20 years, including randomized and non-randomized clinical trials, observational studies, and real-world evidence, were screened for relevance, with data extracted on dosage, response rates, safety outcomes, and patient characteristics. The sample sizes varied across studies and were reported when available. Study quality and risk of bias were assessed using the ROBINS-I tools. Flebogamma DIF produced rapid increases in platelet count, although its effects were transient. Fostamatinib, the only oral spleen tyrosine kinase inhibitor approved for ITP, was reported to have demonstrated clinical benefit in adults with refractory disease but was contraindicated in pediatric populations. Romiplostim was reported to show sustained platelet responses and facilitate treatment-free remission, particularly in chronic ITP, with an elevated risk of thrombosis. Overall, these therapies offer distinct advantages depending on disease chronicity, patient age, comorbidities, and treatment history. This review underscores the importance of personalized treatment strategies and highlights the need for further long-term, comparative studies to guide evidence-based ITP management. Full article
(This article belongs to the Section Physiology and Pathology)
Show Figures

Figure 1

12 pages, 1372 KB  
Article
Endothelial Activation and Stress Index Predicts Poor Coronary Collateral Development in Chronic Total Occlusion
by Muhammed Ulvi Yalcin, Kadri Murat Gurses, Canan Aydoğan, Sevil Butun, Abdullah Tunçez, Hüseyin Tezcan, Yasin Ozen, Kenan Demir, Nazif Aygul, Mustafa Kirmizigul, Aslihan Merve Toprak Su, Burak Erdogan, Tolgahan Karaman and Bulent Behlul Altunkeser
J. Cardiovasc. Dev. Dis. 2026, 13(3), 124; https://doi.org/10.3390/jcdd13030124 - 9 Mar 2026
Viewed by 71
Abstract
Background/Objectives: Coronary collateral circulation (CCC) reduces ischemic damage in patients with chronic total occlusion (CTO), yet collateral development varies considerably among individuals. Endothelial stress and systemic inflammation are key biological processes involved in collateral vessel formation. The Endothelial Activation and Stress Index (EASIX), [...] Read more.
Background/Objectives: Coronary collateral circulation (CCC) reduces ischemic damage in patients with chronic total occlusion (CTO), yet collateral development varies considerably among individuals. Endothelial stress and systemic inflammation are key biological processes involved in collateral vessel formation. The Endothelial Activation and Stress Index (EASIX), calculated from lactate dehydrogenase, creatinine, and platelet count, is a simple marker reflecting endothelial dysfunction and inflammatory status. However, evidence regarding its relationship with angiographic coronary collateral development in CTO remains limited. Therefore, this study aimed to evaluate the association between EASIX and CCC grades in patients with CTO. Methods: This retrospective study included 186 patients with CTO who underwent coronary angiography. CCC was evaluated using the Rentrop–Cohen classification and categorized as poorly developed (grades 0–1) or well-developed (grades 2–3). Clinical and laboratory data, including EASIX, were collected. Univariate and multivariate binary logistic regression analyses were performed to identify factors associated with poorly developed CCC. EASIX was standardized (z-score), and odds ratios were reported per 1-standard deviation increase. The predictive performance of EASIX was assessed using receiver operating characteristic (ROC) curve analysis. Results: Poorly developed CCC was observed in 70 patients (37.6%). Patients with well-developed CCC had significantly lower EASIX values (median 0.44 vs. 0.67, p < 0.001) and higher HDL cholesterol levels (p = 0.043). Neutrophil-to-lymphocyte ratio was also higher in the poorly developed CCC group (median 2.59 [2.19–3.59] vs. 2.41 [1.59–3.49], p = 0.028). In multivariate analysis, standardized EASIX remained independently associated with poorly developed CCC (OR 2.536 per 1-SD increase, 95% CI 1.734–3.710, p < 0.001). ROC analysis showed that EASIX provided moderate discrimination for poorly developed CCC (AUC 0.718), with 72.9% sensitivity and 62.1% specificity at a cutoff of >0.51. Conclusions: Higher EASIX values were independently associated with poorly developed CCC in patients with CTO. These findings support a link between systemic endothelial stress and impaired collateral vessel formation. EASIX may serve as a simple, practical, and low-cost biomarker to support risk stratification in CTO patients; however, prospective studies are needed to confirm these results and clarify clinical implications. Full article
Show Figures

Graphical abstract

30 pages, 3394 KB  
Review
Glycoside Compounds from Blood-Nourishing Chinese Medicinal Herbs: Structural Characteristics, Pharmacological Mechanisms, and Therapeutic Potential for Thrombocytopenia
by Jianqin Tang, Hai Li, Jun Du, Yanjun Zhang, Jianming Wu, Xi Du and Xiaoqin Zhang
Molecules 2026, 31(5), 894; https://doi.org/10.3390/molecules31050894 - 8 Mar 2026
Viewed by 91
Abstract
Thrombocytopenia is a common hematological disorder characterized by reduced platelet counts and an increased risk of bleeding, for which current pharmacological treatments are often limited by adverse effects, drug resistance, or high costs. Traditional Chinese medicinal herbs such as ginseng, notoginseng, peony root, [...] Read more.
Thrombocytopenia is a common hematological disorder characterized by reduced platelet counts and an increased risk of bleeding, for which current pharmacological treatments are often limited by adverse effects, drug resistance, or high costs. Traditional Chinese medicinal herbs such as ginseng, notoginseng, peony root, and astragalus have long been used for blood-nourishing and qi-tonifying purposes and are frequently prescribed for conditions associated with blood deficiency and hematopoietic dysfunction. This review systematically summarizes glycoside compounds derived from these herbs, focusing on their structural characteristics and pharmacological activities relevant to thrombocytopenia. Accumulating evidence indicates that glycosylation enhances the solubility, bioavailability, and stability of aglycones, thereby influencing their biological effects. Preclinical studies suggest that glycoside compounds may improve the hematopoietic microenvironment through anti-inflammatory, antioxidant, and immunomodulatory actions, potentially reducing immune-mediated platelet destruction. In addition, they may promote thrombopoiesis by modulating hematopoietic signaling pathways, such as PI3K/AKT, and by restoring immune balance, particularly via regulation of the Treg/Th17 axis. Collectively, these multi-target effects on hematopoiesis and immune regulation highlight glycoside compounds as promising lead candidates for the development of novel therapeutic approaches to thrombocytopenia. Full article
(This article belongs to the Section Natural Products Chemistry)
Show Figures

Graphical abstract

13 pages, 3089 KB  
Article
Immunization with Recombinant TRP19 Reduces Clinical Severity of Experimental Ehrlichia canis Infection in Dogs
by Boondarika Nambooppha, Anucha Muenthaisong, Pongpisid Koonyosying, Kanokwan Sangkakam, Thanya Varinrak, Amarin Rittipornlertrak, Nisachon Apinda, Kannika Phongroop, Sahatchai Tangtrongsup, Saruda Tiwananthagorn and Nattawooti Sthitmatee
Biology 2026, 15(5), 440; https://doi.org/10.3390/biology15050440 - 8 Mar 2026
Viewed by 221
Abstract
Canine monocytotropic ehrlichiosis (CME), caused by the intracellular bacterium Ehrlichia canis, is a significant tick-borne disease in dogs that requires effective vaccination strategies. This study aimed to evaluate recombinant TRP19 (rTRP19), a highly conserved immunodominant antigen, as a promising vaccine candidate against [...] Read more.
Canine monocytotropic ehrlichiosis (CME), caused by the intracellular bacterium Ehrlichia canis, is a significant tick-borne disease in dogs that requires effective vaccination strategies. This study aimed to evaluate recombinant TRP19 (rTRP19), a highly conserved immunodominant antigen, as a promising vaccine candidate against experimental E. canis infection in dogs, following its success in a mouse model. Fifteen E. canis-negative beagles were immunized intramuscularly with either 50-µg or 100-µg of rTRP19 in alum adjuvant or a PBS control, on days 0, 30, and 60. All dogs were then exposed intravenously to E. canis on day 90 and monitored for 120 days for clinical signs, hematological changes (platelet count, hematocrit, and body temperature), and antibody titers. The rTRP19 vaccine prototypes induced strong antigen-specific humoral responses. They caused a significant reduction in rickettsial load, with complete elimination observed in the 100-µg group by day 7 and in both vaccinated groups by day 14 of exposure. Furthermore, the mean body temperature in the 100-µg rTRP19 group was significantly lower than that of the control group, suggesting that the higher-dose vaccine mitigated febrile response. Collectively, these results suggest that rTRP19 vaccine prototypes hold promise in overcoming the clinical signs and hematological abnormalities of E. canis infection by inducing a strong antigen-specific antibody response. Full article
Show Figures

Figure 1

13 pages, 650 KB  
Article
Multidomain Biomarkers as Predictors of Cardiovascular Risk in Acute Coronary Syndrome: A Prospective Evaluation
by Guadalupe Estela Gavilánez-Chávez, Maria G. Zavala-Cerna, Sandra Guzmán-Silahua, Luz Rebeca Rodríguez-Rivera, Cristo F. Urzua-Ortega, Ernesto Germán Cardona-Muñoz, Eduardo Chuquiure-Valenzuela, Benjamín Rubio-Jurado and Arnulfo Hernán Nava-Zavala
Int. J. Mol. Sci. 2026, 27(5), 2476; https://doi.org/10.3390/ijms27052476 - 7 Mar 2026
Viewed by 134
Abstract
Acute coronary syndrome (ACS), driven by inflammation and thrombosis, remains a leading cause of morbidity globally. While traditional risk scores are useful, the prognostic value of combining inflammatory and autoimmune biomarkers remains understudied. This study aimed to evaluate the predictive role of high-sensitivity [...] Read more.
Acute coronary syndrome (ACS), driven by inflammation and thrombosis, remains a leading cause of morbidity globally. While traditional risk scores are useful, the prognostic value of combining inflammatory and autoimmune biomarkers remains understudied. This study aimed to evaluate the predictive role of high-sensitivity C-reactive protein (hs-CRP), platelet factor 4 (PF4), D-dimer, and antiphospholipid antibodies (anticardiolipin and anti-β2-glycoprotein I) for the development of major adverse cardiovascular events (MACE) in patients with ACS. We conducted a prospective cohort study at a tertiary referral center in Mexico. A total of 103 patients admitted with confirmed ACS were included. Blood samples were collected upon admission to measure biomarker levels. Participants were followed for 30 days. The primary outcome was the occurrence of MACE, defined as reinfarction, death, percutaneous coronary intervention, or bypass surgery. Multivariate logistic regression analysis was performed to identify independent predictors, adjusting for age, smoking, and comorbidities. MACE occurred in 51.4% of participants. Patients with adverse outcomes were significantly older and had longer hospital stays (p < 0.05). In the biomarker analysis, PF4 and hs-CRP demonstrated high sensitivity (98%) but low specificity. In the multivariate analysis, IgG anti-β2-glycoprotein I (p < 0.001) and D-dimer (p = 0.024) emerged as significant independent predictors of MACE. Conversely, IgM isotypes did not show independent predictive value. Beyond traditional risk factors, markers of coagulation (D-dimer) and autoimmunity (IgG anti-β2-glycoprotein I) are independent predictors of short-term adverse events in ACS patients. Integrating these multidomain biomarkers into clinical assessment may enhance risk stratification and prognostic accuracy. Full article
Show Figures

Figure 1

13 pages, 1063 KB  
Article
Avatrombopag Reduces Platelet Transfusion Requirement in Thrombocytopenia Subsequent to Antineoplastic Therapies in Haematological Patients: The Experience of a Tertiary Centre
by Aser Alonso-Carballo, Marta López, María Jiménez, Sandra Pérez, Lucía García-Mañó, Jose María Sánchez, Leyre Bento, Andrés Novo, Albert Pérez, Carmen Ballester, Antonio Gutiérrez, Guiomar Puget, Bernat Galmés, Antonio Palomero, Antonia Sampol and Mariana Canaro
J. Clin. Med. 2026, 15(5), 2044; https://doi.org/10.3390/jcm15052044 - 7 Mar 2026
Viewed by 142
Abstract
Background/Objectives: Thrombocytopenia subsequent to antineoplastic therapies leads to bleeding complications, treatment delay or de-intensification, and platelet transfusion requirement. Evidence suggests that thrombopoietin receptor agonists (TPO-RAs) can restore platelet counts in this scenario. Avatrombopag (AVA) is an oral TPO-RA whose efficacy in treating thrombocytopenia [...] Read more.
Background/Objectives: Thrombocytopenia subsequent to antineoplastic therapies leads to bleeding complications, treatment delay or de-intensification, and platelet transfusion requirement. Evidence suggests that thrombopoietin receptor agonists (TPO-RAs) can restore platelet counts in this scenario. Avatrombopag (AVA) is an oral TPO-RA whose efficacy in treating thrombocytopenia in haematological malignancy has been barely addressed. We aimed to evaluate AVA’s efficacy in improving platelet recovery and reducing transfusion requirement in haematological patients with thrombocytopenia. Methods: In this retrospective observational study, haematological patients who developed thrombocytopenia persisting for ≥3 weeks and were treated with AVA between November 2023 and December 2024 were recruited. Results: Twenty-three patients were recruited. Nineteen (82.6%) responded to AVA, most within the first 4 weeks: 10 (43.5%) and 9 (39.1%) achieved platelet counts ≥ 30 × 109/L (partial response) and ≥100 × 109/L (complete response), respectively. Response was always maintained for 30 days after AVA withdrawal. Transfusions were significantly fewer than in the previous period: 0 (0–8) vs. 11 (2–15), median (interquartile range [IQR]), p = 0.007. Once on treatment, 13 (56.5%) patients no longer required transfusion. No patient delayed or de-intensified chemotherapy. No safety concerns were reported. Conclusions: AVA shows promise in safely reducing thrombocytopenia-associated transfusion needs in haematological malignancy. Full article
(This article belongs to the Section Hematology)
Show Figures

Figure 1

13 pages, 1493 KB  
Article
Clinical Profiles, Interventions, and Outcomes of Sepsis and Septic Shock in a Saudi Arabian Tertiary ICU: A Five-Year Retrospective Analysis
by Amer Asiri, Khaled Abdulwahab Amer, Mushary Alqahtani, Lena A. Almathami, Osama Ayed Asiri, Sultan Saad Alnasser, Ahmed Ali Khuzayyim, Bander Abdullah Alqahtani, Fatimah Mohammed Asiri and Hatem Mostafa Asiri
Healthcare 2026, 14(5), 680; https://doi.org/10.3390/healthcare14050680 - 7 Mar 2026
Viewed by 213
Abstract
Background and Objectives: Sepsis and septic shock remain leading causes of morbidity and mortality in intensive care settings worldwide. While substantial epidemiological data exist from Western countries, the clinical profile of sepsis in regions with exceptionally high diabetes prevalence remains inadequately characterized. [...] Read more.
Background and Objectives: Sepsis and septic shock remain leading causes of morbidity and mortality in intensive care settings worldwide. While substantial epidemiological data exist from Western countries, the clinical profile of sepsis in regions with exceptionally high diabetes prevalence remains inadequately characterized. Saudi Arabia, with one of the highest diabetes mellitus prevalence rates globally, may exhibit distinct sepsis epidemiology, infection patterns, and outcomes. This study aimed to characterize the clinical profiles, antimicrobial management, and outcomes of sepsis and septic shock in a tertiary intensive care unit (ICU) in the Aseer region of southwestern Saudi Arabia. Materials and Methods: A retrospective observational study was conducted including 263 adults meeting Sepsis-3 criteria (232 sepsis, 31 septic shock) admitted to a tertiary ICU between January 2020 and December 2024. Demographics, comorbidities, laboratory parameters, microbiological data, antibiotic timing, interventions, and in-hospital mortality were analyzed. Logistic regression identified independent mortality predictors. This study adhered to the STROBE reporting guidelines. Results: The median age was 73 years with male predominance (58.4%). Diabetes mellitus (71.5%) and hypertension (65.8%) were highly prevalent. Urinary tract infections (UTIs) predominated (79.8%), with Escherichia coli as the most common pathogen (26.2%). The median time to antibiotic administration was 1.8 h; piperacillin–tazobactam was the most frequent empiric regimen (43.7%). Septic shock patients exhibited higher creatinine (1.65 vs. 1.08 mg/dL, p = 0.026) and lower platelets (194 vs. 271 × 103/μL, p = 0.030). Mortality was 38.7% in septic shock versus 8.2% in sepsis (p < 0.001). Multivariate analysis confirmed septic shock (aOR: 5.23; 95% CI: 1.89–14.48) and mechanical ventilation (aOR: 15.42; 95% CI: 5.67–41.95) as independent mortality predictors. Conclusions: High diabetes prevalence shapes regional sepsis epidemiology with UTI predominance. Early antibiotic administration and recognition of septic shock remain critical for improving outcomes in this population. Full article
(This article belongs to the Section Clinical Care)
Show Figures

Figure 1

Back to TopTop