In Vitro Anticancer Activity Screening of Novel Fused Thiophene Derivatives as VEGFR-2/AKT Dual Inhibitors and Apoptosis Inducers
Abstract
:1. Introduction
2. Results and Discussion
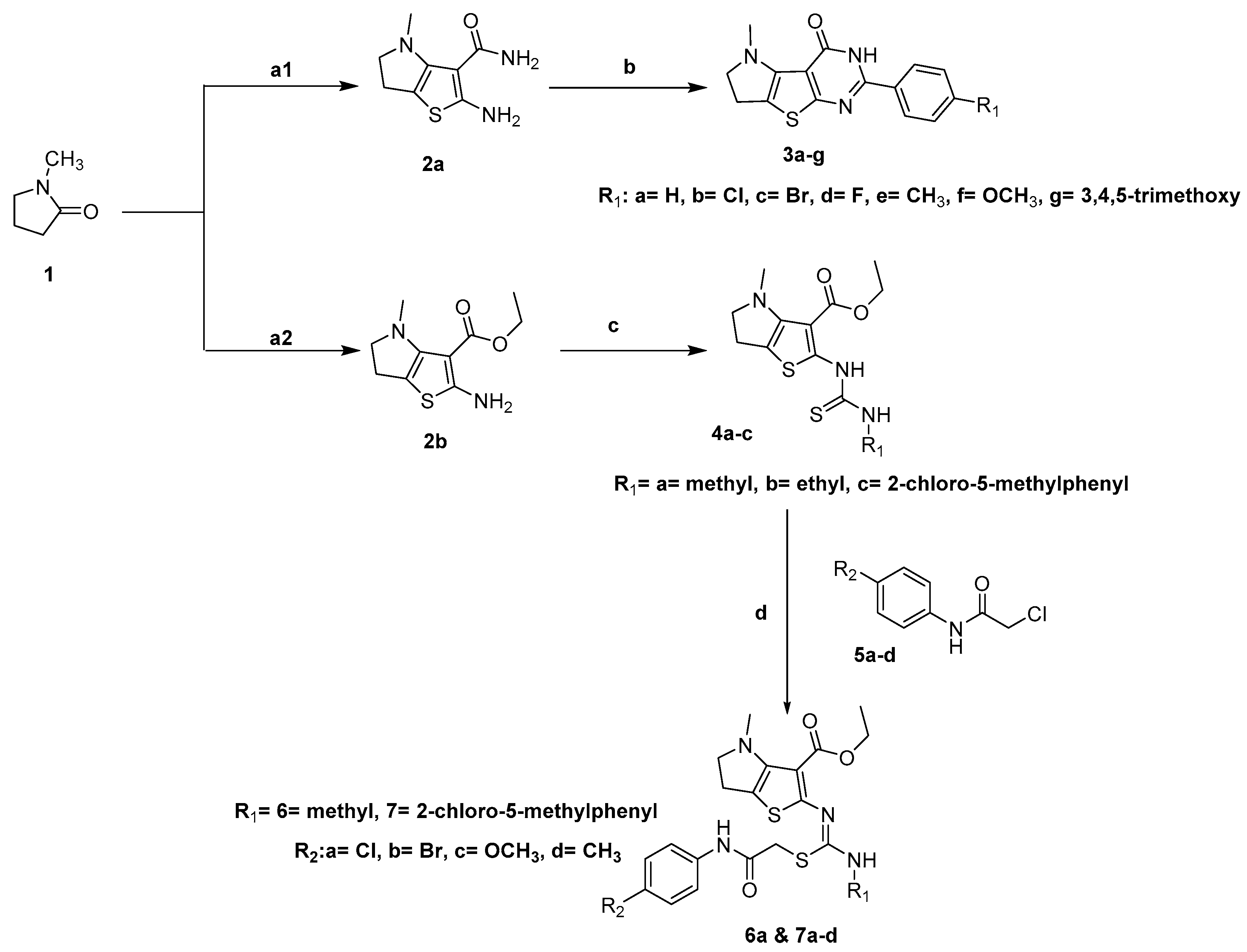
2.1. Chemical Synthesis
2.2. In Vitro Anticancer Activity Evaluation
2.2.1. Antiproliferative Assay in HepG2 and PC-3 Cells
2.2.2. Assessment of VEGFR-2/AKT Axis Inhibition
VEGFR-2 Inhibition Assay
AKT-1 Inhibition Assay
2.2.3. The Effect of 3b and 4c on Cell Cycle Phases and Their Apoptosis Induction
Cell Cycle Analysis
Apoptosis Detection
2.2.4. Caspase-3 Assay
2.3. Molecular Modeling
2.3.1. VEGFR-2 Docking
2.3.2. AKT Docking
2.3.3. ADME Calculation for Compound 4c
3. Material and Methods
3.1. Chemistry
3.2. Biological Activity Investigation
3.2.1. MTT Antiproliferative Assay
3.2.2. Inhibition Assays for VEGFR-2 and AKT-1 Proteins
Cell-Based Evaluation of Inhibition Percentage in HepG2 Cells
Evaluation of the Inhibitory Effect on VEGFR-2 and AKT Kinase Activity
3.2.3. Flow Cytometric Cell Cycle Analysis and Apoptosis Induction
3.2.4. Caspase-3 Evaluation
3.3. Molecular Modeling
3.4. Statistical Analysis
4. Conclusions
Author Contributions
Funding
Institutional Review Board Statement
Informed Consent Statement
Data Availability Statement
Conflicts of Interest
References
- Sung, H.; Ferlay, J.; Siegel, R.L.; Laversanne, M.; Soerjomataram, I.; Jemal, A.; Bray, F. Global cancer statistics 2020: GLOBOCAN estimates of incidence and mortality worldwide for 36 cancers in 185 countries. CA Cancer J. Clin. 2021, 71, 209–249. [Google Scholar] [CrossRef] [PubMed]
- Lagardère, P.; Fersing, C.; Masurier, N.; Lisowski, V. Thienopyrimidine: A Promising Scaffold to Access Anti-Infective Agents. Pharmaceuticals 2021, 15, 35. [Google Scholar] [CrossRef] [PubMed]
- Bozorov, K.; Zhao, J.Y.; Elmuradov, B.; Pataer, A.; Aisa, H.A. Recent Developments Regarding the Use of Thieno[2,3- d]Pyrimidin-4-One Derivatives in Medicinal Chemistry, with a Focus on Their Synthesis and Anticancer Properties. Eur. J. Med. Chem. 2015, 102, 552–573. [Google Scholar] [CrossRef] [PubMed]
- Ghith, A.; Ismail, N.S.M.; Youssef, K.; Abouzid, K.A.M. Medicinal Attributes of Thienopyrimidine Based Scaffold Targeting Tyrosine Kinases and Their Potential Anticancer Activities. Arch. Pharm. 2017, 350, 1700242–1700265. [Google Scholar] [CrossRef]
- Mohareb, R.M.; Abdallah, A.E.M.; Helal, M.H.E.; Shaloof, S.M.H. Synthesis and Structure Elucidation of Some Novel Thiophene and Benzothiophene Derivatives as Cytotoxic Agents. Acta Pharm. 2016, 66, 53–68. [Google Scholar] [CrossRef] [Green Version]
- Zhan, W.; Che, J.; Xu, L.; Wu, Y.; Hu, X.; Zhou, Y.; Cheng, G.; Hu, Y.; Dong, X.; Li, J. Discovery of Pyrazole-Thiophene Derivatives as Highly Potent, Orally Active Akt Inhibitors. Eur. J. Med. Chem. 2019, 180, 72–85. [Google Scholar] [CrossRef]
- Wilding, B.; Klempier, N. Newest Developments in the Preparation of Thieno[2,3-d]Pyrimidines. Org. Prep. Proced. Int. 2017, 49, 183–215. [Google Scholar] [CrossRef]
- Ali, E.M.H.; Abdel-Maksoud, M.S.; Oh, C.H. Thieno[2,3-d]Pyrimidine as a Promising Scaffold in Medicinal Chemistry: Recent Advances. Bioorganic Med. Chem. 2019, 27, 1159–1194. [Google Scholar] [CrossRef]
- Abou El-Ella, D.A.; Hussein, M.M.; Serya, R.A.T.; Abdel Naby, R.M.; Al-Abd, A.M.; Saleh, D.O.; El-Eraky, W.I.; Abouzid, K.A.M. Molecular Design and Synthesis of 1,4-Disubstituted Piperazines as A1-Adrenergic Receptor Blockers. Bioorganic Chem. 2014, 54, 21–30. [Google Scholar] [CrossRef]
- Kortum, S.W.; Lachance, R.M.; Schweitzer, B.A.; Yalamanchili, G.; Rahman, H.; Ennis, M.D.; Huff, R.M.; TenBrink, R.E. Thienopyrimidine-Based P2Y12 Platelet Aggregation Inhibitors. Bioorganic Med. Chem. Lett. 2009, 19, 5919–5923. [Google Scholar] [CrossRef]
- Darias, V.; Abdala, S.; Martin-Herrera, D.; Vega, S. Study of the Antidepressant Activity of 4-Phenyl-2-Thioxo- Benzo[4,5]Thieno[2,3-d]Pyrimidine Derivatives. Arzneim. Forsch. Drug Res. 1999, 49, 986–991. [Google Scholar] [CrossRef] [PubMed]
- Ameen, M.A.; Ahmed, E.K.; Mahmoud, H.I.; Ramadan, M. Synthesis and Screening of Phosphodiesterase 5 Inhibitory Activity of Fused and Isolated Triazoles Based on Thieno[2,3-d]Pyrimidines. J. Heterocycl. Chem. 2019, 56, 1831–1838. [Google Scholar] [CrossRef]
- El-Shoukrofy, M.S.; Abd El Razik, H.A.; AboulWafa, O.M.; Bayad, A.E.; El-Ashmawy, I.M. Pyrazoles Containing Thiophene, Thienopyrimidine and Thienotriazolopyrimidine as COX-2 Selective Inhibitors: Design, Synthesis, in Vivo Anti-Inflammatory Activity, Docking and in Silico Chemo-Informatic Studies. Bioorganic Chem. 2019, 85, 541–557. [Google Scholar] [CrossRef] [PubMed]
- Narender, M.; Jaswanth, S.B.; Umasankar, K.; Malathi, J.; Raghuram Reddy, A.; Umadevi, K.R.; Dusthackeer, A.V.N.; Venkat Rao, K.; Raghuram, R.A. Synthesis, in Vitro Antimycobacterial Evaluation and Docking Studies of Some New 5,6,7,8-Tetrahydropyrido[4′,3′:4,5]Thieno[2,3-d]Pyrimidin-4(3H)-One Schiff Bases. Bioorganic Med. Chem. Lett. 2016, 26, 836–840. [Google Scholar] [CrossRef] [PubMed]
- Tolba, M.S.; El-Dean, A.M.K.; Ahmed, M.; Hassanien, R.; Farouk, M. Synthesis and Antimicrobial Activity of Some New Thienopyrimidine Derivatives. Arkivoc 2017, 2017, 229–243. [Google Scholar] [CrossRef] [Green Version]
- Sutherlin, D.P.; Sampath, D.; Berry, M.; Castanedo, G.; Chang, Z.; Chuckowree, I.; Dotson, J.; Folkes, A.; Friedman, L.; Goldsmith, R.; et al. Discovery of (Thienopyrimidin-2-Yl)Aminopyrimidines as Potent, Selective, and Orally Available Pan-PI3-Kinase and Dual Pan-PI3-Kinase/MTOR Inhibitors for the Treatment of Cancer. J. Med. Chem. 2010, 53, 1086–1097. [Google Scholar] [CrossRef]
- Yu, L.; Wang, Q.; Wang, C.; Zhang, B.; Yang, Z.; Fang, Y.; Zhu, W.; Zheng, P. Design, Synthesis, and Biological Evaluation of Novel Thienopyrimidine Derivatives as PI3Kα Inhibitors. Molecules 2019, 24, 3422. [Google Scholar] [CrossRef] [Green Version]
- Wang, R.; Yu, S.; Zhao, X.; Chen, Y.; Yang, B.; Wu, T.; Hao, C.; Zhao, D.; Cheng, M. Design, Synthesis, Biological Evaluation and Molecular Docking Study of Novel Thieno[3,2-d]Pyrimidine Derivatives as Potent FAK Inhibitors. Eur. J. Med. Chem. 2020, 188, 112024. [Google Scholar] [CrossRef]
- Luke, R.W.A.; Ballard, P.; Buttar, D.; Campbell, L.; Curwen, J.; Emery, S.C.; Griffen, A.M.; Hassall, L.; Hayter, B.R.; Jones, C.D.; et al. Novel Thienopyrimidine and Thiazolopyrimidine Kinase Inhibitors with Activity against Tie-2 in Vitro and in Vivo. Bioorganic Med. Chem. Lett. 2009, 19, 6670–6674. [Google Scholar] [CrossRef]
- Kassab, A.E.; Gedawy, E.M.; El-Malah, A.A.; Abdelghany, T.M.; Abdel-Bakky, M.S. Synthesis, Anticancer Activity, Effect on Cell Cycle Profile, and Apoptosis-Inducing Ability of Novel Hexahydrocyclooctathieno[2,3-d]-Pyrimidine Derivatives. Chem. Pharm. Bull. 2016, 64, 490–496. [Google Scholar] [CrossRef] [Green Version]
- Amawi, H.; Karthikeyan, C.; Pathak, R.; Hussein, N.; Christman, R.; Robey, R.; Ashby, C.R.; Trivedi, P.; Malhotra, A.; Tiwari, A.K. Thienopyrimidine Derivatives Exert Their Anticancer Efficacy via Apoptosis Induction, Oxidative Stress and Mitotic Catastrophe. Eur. J. Med. Chem. 2017, 138, 1053–1056. [Google Scholar] [CrossRef] [PubMed]
- Lou, J.; Liu, Z.; Li, Y.; Zhou, M.; Zhang, Z.; Zheng, S.; Wang, R.; Li, J. Synthesis and Anti-Tumor Activities of N′-Benzylidene-2-(4- Oxothieno[2,3-d]Pyrimidin-3(4H)-Yl)Acetohydrazone Derivatives. Bioorganic Med. Chem. Lett. 2011, 21, 6662–6666. [Google Scholar] [CrossRef]
- Faraji, A.; Oghabi Bakhshaiesh, T.; Hasanvand, Z.; Motahari, R.; Nazeri, E.; Boshagh, M.A.; Firoozpour, L.; Mehrabi, H.; Khalaj, A.; Esmaeili, R.; et al. Design, Synthesis and Evaluation of Novel Thienopyrimidine-Based Agents Bearing Diaryl Urea Functionality as Potential Inhibitors of Angiogenesis. Eur. J. Med. Chem. 2021, 209, 112942. [Google Scholar] [CrossRef]
- Munchhof, M.J.; Beebe, J.S.; Casavant, J.M.; Cooper, B.A.; Doty, J.L.; Higdon, R.C.; Hillerman, S.M.; Soderstrom, C.I.; Knauth, E.A.; Marx, M.A.; et al. Design and SAR of Thienopyrimidine and Thienopyridine Inhibitors of VEGFR-2 Kinase Activity. Bioorganic Med. Chem. Lett. 2004, 14, 21–24. [Google Scholar] [CrossRef] [PubMed]
- Yu, M.; Zeng, M.; Pan, Z.; Wu, F.; Guo, L.; He, G. Discovery of Novel Akt1 Inhibitor Induces Autophagy Associated Death in Hepatocellular Carcinoma Cells. Eur. J. Med. Chem. 2020, 189, 112076. [Google Scholar] [CrossRef]
- Fouad, Y.A.; Aanei, C. Revisiting the Hallmarks of Cancer. Am. J. Cancer Res. 2017, 7, 1016–1036. [Google Scholar] [PubMed]
- Gotink, K.J.; Verheul, H.M.W. Anti-Angiogenic Tyrosine Kinase Inhibitors: What Is Their Mechanism of Action? Angiogenesis 2010, 13, 1–14. [Google Scholar] [CrossRef] [PubMed] [Green Version]
- Hicklin, D.J.; Ellis, L.M. Role of the Vascular Endothelial Growth Factor Pathway in Tumor Growth and Angiogenesis. J. Clin. Oncol. 2005, 23, 1011–1027. [Google Scholar] [CrossRef]
- Sakurai, T.; Kudo, M. Signaling Pathways Governing Tumor Angiogenesis. Oncology 2011, 81, 24–29. [Google Scholar] [CrossRef]
- Gonzalez-Moreno, O.; Lecanda, J.; Green, J.E.; Segura, V.; Catena, R.; Serrano, D.; Calvo, A. VEGF Elicits Epithelial-Mesenchymal Transition (EMT) in Prostate Intraepithelial Neoplasia (PIN)-like Cells via an Autocrine Loop. Exp. Cell Res. 2010, 316, 554–567. [Google Scholar] [CrossRef]
- Lugano, R.; Ramachandran, M.; Dimberg, A. Tumor Angiogenesis: Causes, Consequences, Challenges and Opportunities. Cell. Mol. Life Sci. 2020, 77, 1745–1770. [Google Scholar] [CrossRef] [PubMed] [Green Version]
- Morbidelli, L.; Donnini, S.; Ziche, M. Role of Nitric Oxide in the Modulation of Angiogenesis. Curr. Pharm. Des. 2005, 9, 521–530. [Google Scholar] [CrossRef] [PubMed]
- Revathidevi, S.; Munirajan, A.K. Akt in Cancer: Mediator and More. Semin. Cancer Biol. 2019, 59, 80–91. [Google Scholar] [CrossRef]
- Jiang, N.; Dai, Q.; Su, X.; Fu, J.; Feng, X.; Peng, J. Role of PI3K/AKT Pathway in Cancer: The Framework of Malignant Behavior. Mol. Biol. Rep. 2020, 47, 4587–4629. [Google Scholar] [CrossRef] [PubMed]
- Mundi, P.S.; Sachdev, J.; McCourt, C.; Kalinsky, K. AKT in Cancer: New Molecular Insights and Advances in Drug Development. Br. J. Clin. Pharmacol. 2016, 82, 943–956. [Google Scholar] [CrossRef] [PubMed] [Green Version]
- Klein, S.; McCormick, F.; Levitzki, A. Killing Time for Cancer Cells. Nat. Rev. Cancer 2005, 5, 573–580. [Google Scholar] [CrossRef]
- Rehan, M.; Beg, M.A.; Parveen, S.; Damanhouri, G.A.; Zaher, G.F. Computational Insights into the Inhibitory Mechanism of Human AKT1 by an Orally Active Inhibitor, MK-2206. PLoS ONE 2014, 9, e109705. [Google Scholar] [CrossRef] [PubMed]
- Yu, L.; Wei, J.; Liu, P. Attacking the PI3K/Akt/MTOR Signaling Pathway for Targeted Therapeutic Treatment in Human Cancer. Semin. Cancer Biol. 2021, 21. [Google Scholar] [CrossRef]
- Yi, T.; Cho, S.G.; Yi, Z.; Pang, X.; Rodriguez, M.; Wang, Y.; Sethi, G.; Aggarwal, B.B.; Liu, M. Thymoquinone Inhibits Tumor Angiogenesis and Tumor Growth through Suppressing AKT and Extracellular Signal-Regulated Kinase Signaling Pathways. Mol. Cancer Ther. 2008, 7, 1789–1796. [Google Scholar] [CrossRef] [Green Version]
- Karar, J.; Maity, A. PI3K/AKT/MTOR Pathway in Angiogenesis. Front. Mol. Neurosci. 2011, 4, 51–58. [Google Scholar] [CrossRef] [Green Version]
- Zhang, H.; Wang, Q.; Liu, J.; Cao, H. Inhibition of the PI3K/Akt Signaling Pathway Reverses Sorafenib-Derived Chemo-Resistance in Hepatocellular Carcinoma. Oncol. Lett. 2018, 15, 9377–9384. [Google Scholar] [CrossRef] [PubMed]
- El-Dydamony, N.M.; Abdelnaby, R.M.; Abdelhady, R.; Ali, O.; Fahmy, M.I.; Fakhr Eldeen, R.; Helwa, A.A. Pyrimidine-5-Carbonitrile Based Potential Anticancer Agents as Apoptosis Inducers through PI3K/AKT Axis Inhibition in Leukaemia K562. J. Enzym. Inhib. Med. Chem. 2022, 37, 895–911. [Google Scholar] [CrossRef] [PubMed]
- Mishra, R.; Tomar, I.; Singhal, S.; Jha, K.K. Synthesis, Properties and Biological Activity of Thiophene: A Review. Der. Pharma. Chem. 2011, 4, 38–54. [Google Scholar]
- Badisa, R.B.; Darling-Reed, S.F.; Joseph, P.; Cooperwood, J.S.; Latinwo, L.M.; Goodman, C.B. Selective Cytotoxic Activities of Two Novel Synthetic Drugs on Human Breast Carcinoma MCF-7 Cells. Anticancer Res. 2009, 29, 2993–2996. [Google Scholar]
- Brown, J.S.; Banerji, U. Maximising the Potential of AKT Inhibitors as Anti-Cancer Treatments. Pharmacol. Ther. 2017, 172, 101–115. [Google Scholar] [CrossRef]
- Harvey, N.L.; Kumar, S. The Role of Caspases in Apoptosis. Adv. Biochem Eng. Biotechnol 1998, 62, 107–128. [Google Scholar]
- Elmore, S. Apoptosis: A Review of Programmed Cell Death. Toxicol. Pathol. 2007, 35, 495–516. [Google Scholar] [CrossRef]
- Temirak, A.; Shaker, Y.M.; Ragab, F.A.F.; Ali, M.M.; Ali, H.I.; El Diwani, H.I. Part I. Synthesis, Biological Evaluation and Docking Studies of New 2-Furylbenzimidazoles as Antiangiogenic Agents. Eur. J. Med. Chem. 2014, 87, 868–880. [Google Scholar] [CrossRef]
- Lipinski, C.A.; Lombardo, F.; Dominy, B.W.; Feeney, P.J. Experimental and Computational Approaches to Estimate Solubility and Permeability in Drug Discovery and Development Settings. Adv. Drug Deliv. Rev. 2001, 46, 3–26. [Google Scholar] [CrossRef]
- Guo, X.; Yang, Q.; Xu, J.; Zhang, L.; Chu, H.; Yu, P.; Zhu, Y.; Wei, J.; Chen, W.; Zhang, Y.; et al. Design and Bio-Evaluation of Indole Derivatives as Potent Kv1.5 Inhibitors. Bioorganic Med. Chem. 2013, 21, 6466–6476. [Google Scholar] [CrossRef]
- Helwa, A.A.; El-Dydamony, N.M.; Radwan, R.A.; Abdelraouf, S.M.; Abdelnaby, R.M. Novel Antiproliferative Agents Bearing Morpholinopyrimidine Scaffold as PI3K Inhibitors and Apoptosis Inducers; Design, Synthesis and Molecular Docking. Bioorganic Chem. 2020, 102, 104051. [Google Scholar] [CrossRef]
- Takeuchi, H.; Baba, M.; Shigeta, S. An Application of Tetrazolium (MTT) Colorimetric Assay for the Screening of Anti-Herpes Simplex Virus Compounds. J. Virol. Methods 1991, 33, 61–71. [Google Scholar] [CrossRef]
- VEGFR-2 (Phospho-Tyr951) Colorimetric Cell-Based ELISA Kit. Available online: https://www.avivasysbio.com/vegfr2-antibody-phospho-tyr951-oaec00085.html (accessed on 30 April 2022).
- Mouse-Human-Rat-Phospho-Akt1-Ser473-Cell-Based-Phosphorylation-Elisa-Kit. Available online: https://www.lsbio.com/elisakits/mouse-human-rat-phospho-akt1-ser473-cell-based-phosphorylation-elisa-elisa-kit-ls-f1447/1447 (accessed on 30 April 2022).
- Vegfr2-Kdr-Kinase-Assay-Kit-40325. Available online: https://bpsbioscience.com/vegfr2-kdr-kinase-assay-kit-40325 (accessed on 30 April 2022).
- Sharma, K.; Suresh, P.S.; Mullangi, R.; Srinivas, N.R. Quantitation of VEGFR2 (Vascular Endothelial Growth Factor Receptor) Inhibitors—Review of Assay Methodologies and Perspectives. Biomed. Chromatogr. 2015, 29, 803–834. [Google Scholar] [CrossRef] [PubMed]
- Akt-Kinase-Activity-Assay-Kit-Ab139436. Available online: https://www.abcam.com/Akt-Kinase-Activity-Assay-Kit-ab139436.html?gclsrc=aw.ds|aw.ds&gclid=CjwKCAiA3L6PBhBvEiwAINlJ9LrLvZdlP_C1KmKmFjFeo-9yzmuKp8YmB30qig4O0SKaTnyXqcG9_hoCgKkQAvD_BwE (accessed on 30 April 2022).
- Chen, Y.H.; Su, C.C.; Deng, W.; Lock, L.F.; Donovan, P.J.; Kayala, M.A.; Baldi, P.; Lee, H.C.; Chen, Y.; Wang, P.H. Mitochondrial Akt Signaling Modulated Reprogramming of Somatic Cells. Sci. Rep. 2019, 9, 667–677. [Google Scholar] [CrossRef] [PubMed] [Green Version]
- Pozarowski, P.; Darzynkiewicz, Z. Analysis of Cell Cycle by Flow Cytometry. Methods Mol. Biol 2004, 281, 301–311. [Google Scholar] [CrossRef]
- Darzynkiewicz, Z.; Bedner, E.; Smolewski, P. Flow Cytometry in Analysis of Cell Cycle and Apoptosis. Semin. Hematol. 2001, 38, 179–193. [Google Scholar] [CrossRef]
- Vermes, I.; Haanen, C.; Steffens-Nakken, H.; Reutellingsperger, C. A Novel Assay for Apoptosis Flow Cytometric Detection of Phosphatidylserine Expression on Early Apoptotic Cells Using Fluorescein Labelled Annexin V. J. Immunol. Methods 1995, 184, 39–51. [Google Scholar] [CrossRef] [Green Version]
- Lakshmanan, I.; Batra, S. Protocol for Apoptosis Assay by Flow Cytometry Using Annexin V Staining Method. Bio-Protocol 2013, 3, 374–378. [Google Scholar] [CrossRef] [PubMed]
- Phosphoelisa-Caspase-3-Active-Human-Elisa-Kit/KHO1091. Available online: https://www.fishersci.com/shop/products/novex-phosphoelisa-caspase-3-active-human-elisa-kit/KHO1091 (accessed on 30 April 2022).
- Ghith, A.; Youssef, K.M.; Ismail, N.S.M.; Abouzid, K.A.M. Design, Synthesis and Molecular Modeling Study of Certain VEGFR-2 Inhibitors Based on Thienopyrimidne Scaffold as Cancer Targeting Agents. Bioorganic Chem. 2019, 83, 111–128. [Google Scholar] [CrossRef]
- Altıntop, M.D.; Sever, B.; Akalın, X.G.; Zdemir, A. Design, Synthesis, and Evaluation of a New Series of Thiazole-Based Anticancer Agents as Potent Akt Inhibitors. Molecules 2018, 23, 1318. [Google Scholar] [CrossRef] [Green Version]










| Cytotoxicity in IC50 (μM) a,# | ||||
|---|---|---|---|---|
| Compound | HepG2 | PC-3 | WI38 | Selectivity Index (SI) b |
| 3a | 7.96 ± 0.37 | 29.59 ± 1.66 | ||
| 3b | 3.11 ± 0.14 | 2.15 ± 0.12 | 12.46 ± 0.68 | 5.79 |
| 3c | 107.00 ± 4.94 | 10.53 ± 0.59 | ||
| 3d | 13.41 ± 0.62 | 19.02 ± 1.06 | ||
| 3e | 22.38 ± 1.03 | 39.69 ± 2.22 | ||
| 3f | 4.30 ± 0.20 | 7.47 ± 0.42 | ||
| 3g | 3.77 ± 0.17 | 20.53 ± 1.15 | ||
| 4a | 41.07 ± 1.90 | 1.84 ± 0.10 | ||
| 4b | 34.19 ± 1.58 | 19.32 ± 1.08 | ||
| 4c | 3.02 ± 0.14 | 3.12 ± 0.17 | 35.33 ± 1.92 | 11.68 |
| 6a | 9.80 ± 0.45 | 0.50 ± 0.03 | ||
| 7a | 27.32 ± 1.26 | 81.06 ± 4.54 | ||
| 7b | 2.48 ± 0.11 | 26.61 ± 1.49 | ||
| 7c | 39.60 ± 1.83 | 9.72 ± 0.54 | ||
| 7d | 8.91 ± 0.41 | 6.35 ± 0.36 | ||
| Doxorubicin | 2.09 ± 0.10 | 2.53 ± 0.14 | 9.84 ± 0.54 | 4.69 |
| % Content of DNA | |||||
|---|---|---|---|---|---|
| Compounds | G0:G1 | S | G2:M | PreG1 | Comment |
| 3b/HepG2 | 39.42 | 56.19 | 4.39 | 42.06 | cell growth arrest@ S |
| 4c/HepG2 | 53.28 | 45.24 | 1.48 | 29.81 | cell growth arrest@ G1/S |
| cont. HepG2 | 49.72 | 41.29 | 8.99 | 1.74 | - |
| Compounds | Apoptosis | Necrosis | ||
|---|---|---|---|---|
| Total | Early | Late | ||
| 3b/HepG2 | 42.06 | 2.51 | 24.53 | 15.02 |
| 4c/HepG2 | 29.81 | 3.85 | 16.55 | 9.41 |
| cont. HepG2 | 1.74 | 0.55 | 0.17 | 1.02 |
Publisher’s Note: MDPI stays neutral with regard to jurisdictional claims in published maps and institutional affiliations. |
© 2022 by the authors. Licensee MDPI, Basel, Switzerland. This article is an open access article distributed under the terms and conditions of the Creative Commons Attribution (CC BY) license (https://creativecommons.org/licenses/by/4.0/).
Share and Cite
Abdelnaby, R.M.; El-Malah, A.A.; FakhrEldeen, R.R.; Saeed, M.M.; Nadeem, R.I.; Younis, N.S.; Abdel-Rahman, H.M.; El-Dydamony, N.M. In Vitro Anticancer Activity Screening of Novel Fused Thiophene Derivatives as VEGFR-2/AKT Dual Inhibitors and Apoptosis Inducers. Pharmaceuticals 2022, 15, 700. https://doi.org/10.3390/ph15060700
Abdelnaby RM, El-Malah AA, FakhrEldeen RR, Saeed MM, Nadeem RI, Younis NS, Abdel-Rahman HM, El-Dydamony NM. In Vitro Anticancer Activity Screening of Novel Fused Thiophene Derivatives as VEGFR-2/AKT Dual Inhibitors and Apoptosis Inducers. Pharmaceuticals. 2022; 15(6):700. https://doi.org/10.3390/ph15060700
Chicago/Turabian StyleAbdelnaby, Rana M., Afaf A. El-Malah, Rasha R. FakhrEldeen, Marwa M. Saeed, Rania I. Nadeem, Nancy S. Younis, Hanaa M. Abdel-Rahman, and Nehad M. El-Dydamony. 2022. "In Vitro Anticancer Activity Screening of Novel Fused Thiophene Derivatives as VEGFR-2/AKT Dual Inhibitors and Apoptosis Inducers" Pharmaceuticals 15, no. 6: 700. https://doi.org/10.3390/ph15060700
APA StyleAbdelnaby, R. M., El-Malah, A. A., FakhrEldeen, R. R., Saeed, M. M., Nadeem, R. I., Younis, N. S., Abdel-Rahman, H. M., & El-Dydamony, N. M. (2022). In Vitro Anticancer Activity Screening of Novel Fused Thiophene Derivatives as VEGFR-2/AKT Dual Inhibitors and Apoptosis Inducers. Pharmaceuticals, 15(6), 700. https://doi.org/10.3390/ph15060700

