Synthesis, Biological Activity, and Molecular Modelling Studies of Naphthoquinone Derivatives as Promising Anticancer Candidates Targeting COX-2
Abstract
:1. Introduction
2. Results
2.1. X-ray Crystallographic Study
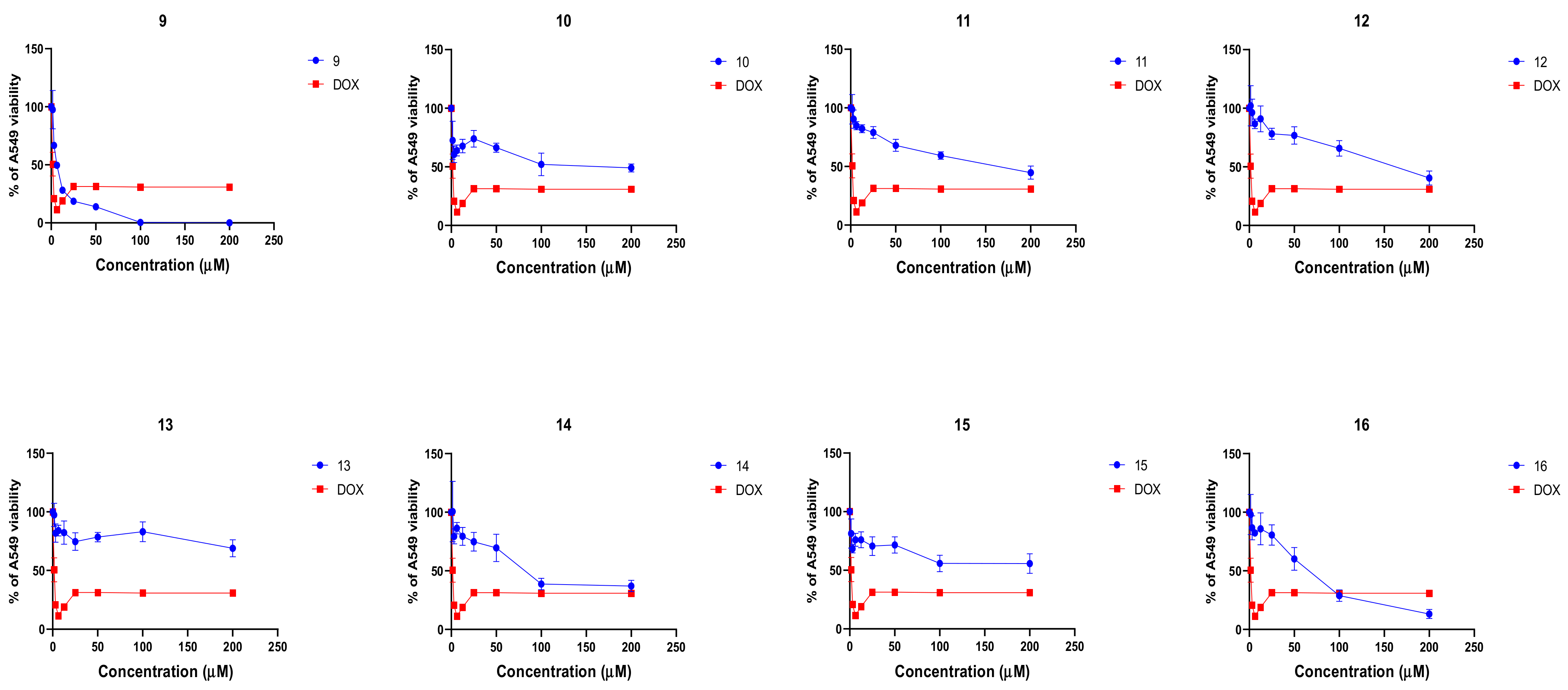
2.2. Naphthoquinone Derivatives 9–16 Exert Selective Anticancer Activity on A549 Cells
2.3. Naphthoquinone Derivatives Exert Structure- and Dose-Dependent Anticancer Activity on A549 Cells
2.4. Naphthoquinone Derivatives 9 and 16 Are Potent Agents In Vitro Reducing the A549 Spheroid Viability
2.5. Naphthoquinone Derivatives Suppress A549 Cell Migration in Wound Healing Assay
2.6. Naphthoquinone Derivatives 9 and 16 Are Able to Induce Mitochondrial Injury and ROS Formation
2.7. Compounds 9 and 16 Display Favorable Results in Silico ADME and Drug-Likeness Profiles
2.8. Molecular Modeling and Target Prediction
3. Discussion
4. Materials and Methods
4.1. Chemistry
4.1.1. General Procedures for the Synthesis of Compounds 9–16
4.1.2. 2-Chloro-3-(phenylamino)-1,4-naphthoquinone (9)
4.1.3. 2-Chloro-3-(4-fluorophenylamino)-1,4-naphthoquinone (10)
4.1.4. 2-Chloro-3-(4-chlorophenylamino)-1,4-naphthoquinone (11)
4.1.5. 2-Chloro-3-(4-bromophenylamino)-1,4-naphthoquinone (12)
4.1.6. 2-Chloro-3-(4-methylphenylamino)-1,4-naphthoquinone (13)
4.1.7. 2-Chloro-3-(4-methoxyphenylamino)-1,4-naphthoquinone (14)
4.1.8. 2-Chloro-3-(4-ethoxyphenylamino)-1,4-naphthoquinone (15)
4.1.9. 2-(4-Hydroxyphenylamino)-1,4-naphthoquinone (16)
4.2. Single Crystal X-ray Diffraction Analysis
4.3. Computational Prediction of ADMET Properties
4.4. Cell Lines and Culture Conditions
4.5. Cell Viability Assay
4.6. Three-Dimensional Culture Spheroid Model
4.7. Colony Formation Assay
4.8. Cell Migration Assay
4.9. Hydrogen Peroxide Production Assay
4.9.1. Mitochondria Staining
4.9.2. Pharmacophore Search of Protein Targets
4.9.3. Ligand and Receptor Preparation
4.9.4. Docking of Ligand-Protein Interaction
4.9.5. Statistical Analysis
Supplementary Materials
Author Contributions
Funding
Institutional Review Board Statement
Informed Consent Statement
Data Availability Statement
Conflicts of Interest
References
- Duma, N.; Santana-Davila, R.; Molina, J.R. Non-Small Cell Lung Cancer: Epidemiology, Screening, Diagnosis, and Treatment. Mayo Clin. Proc. 2019, 94, 1623–1640. [Google Scholar] [CrossRef] [PubMed]
- Berzenji, L.; Debaenst, S.; Hendriks, J.M.H.; Yogeswaran, S.K.; Lauwers, P.; Van Schil, P.E. The role of the surgeon in the management of oligometastatic non-small cell lung cancer: A literature review. Transl. Lung Cancer Res. 2021, 10, 3409–3419. [Google Scholar] [CrossRef] [PubMed]
- Ottaiano, A.; Petito, A.; Santorsola, M.; Gigantino, V.; Capuozzo, M.; Fontanella, D.; Di Franco, R.; Borzillo, V.; Buonopane, S.; Ravo, V.; et al. Prospective Evaluation of Radiotherapy-Induced Immunologic and Genetic Effects in Colorectal Cancer Oligo-Metastatic Patients with Lung-Limited Disease: The PRELUDE-1 Study. Cancers 2021, 13, 4236. [Google Scholar] [CrossRef] [PubMed]
- Li, W.-C.; Wang, Z.; Gao, J.; Zhou, H.; Li, J.; Zhu, X.-X. Clinical Outcomes and Prognostic Factors of Salvage Stereotactic Body Radiotherapy for Post-Surgical Thoracic Oligo-Recurrence/Metastasis of Non-Small-Cell Lung Cancer. Cancer Manag. Res. 2021, 13, 1887–1896. [Google Scholar] [CrossRef] [PubMed]
- Cerbone, L.; Benitez, J.C.; Planchard, D.; Genova, C. An overview of osimertinib as a treatment of non-small cell lung cancer (NSCLC): An update. Expert Opin. Pharmacother. 2021, 22, 809–819. [Google Scholar] [CrossRef]
- Ghosh, S.; Lalani, R.; Maiti, K.; Banerjee, S.; Bhatt, H.; Bobde, Y.S.; Patel, V.; Biswas, S.; Bhowmick, S.; Misra, A. Synergistic co-loading of vincristine improved chemotherapeutic potential of pegylated liposomal doxorubicin against triple negative breast cancer and non-small cell lung cancer. Nanomedicine 2021, 31, 102320. [Google Scholar] [CrossRef]
- Ghosh, S.; Lalani, R.; Maiti, K.; Banerjee, S.; Patel, V.; Bhowmick, S.; Misra, A. Optimization and efficacy study of synergistic vincristine coloaded liposomal doxorubicin against breast and lung cancer. Nanomedicine 2020, 15, 2585–2607. [Google Scholar] [CrossRef]
- Herbst, R.S.; Giaccone, G.; de Marinis, F.; Reinmuth, N.; Vergnenegre, A.; Barrios, C.H.; Morise, M.; Felip, E.; Andric, Z.; Geater, S.; et al. Atezolizumab for First-Line Treatment of PD-L1-Selected Patients with NSCLC. N. Engl. J. Med. 2020, 383, 1328–1339. [Google Scholar] [CrossRef]
- Papadimitrakopoulou, V.A.; Mok, T.S.; Han, J.Y.; Ahn, M.J.; Delmonte, A.; Ramalingam, S.S.; Kim, S.W.; Shepherd, F.A.; Laskin, J.; He, Y.; et al. Osimertinib versus platinum–pemetrexed for patients with EGFR T790M advanced NSCLC and progression on a prior EGFR-tyrosine kinase inhibitor: AURA3 overall survival analysis. Ann. Oncol. 2020, 31, 1536–1544. [Google Scholar] [CrossRef]
- Gadisa, D.A.; Assefa, M.; Wang, S.-H.; Yimer, G. Toxicity profile of Doxorubicin-Cyclophosphamide and Doxorubicin-Cyclophosphamide followed by Paclitaxel regimen and its associated factors among women with breast cancer in Ethiopia: A prospective cohort study. J. Oncol. Pharm. Pract. 2020, 26, 1912–1920. [Google Scholar] [CrossRef]
- Lin, S.-R.; Lin, C.-S.; Chen, C.-C.; Tseng, F.-J.; Wu, T.-J.; Weng, L.; Weng, C.-F. Doxorubicin metabolism moderately attributes to putative toxicity in prodigiosin/doxorubicin synergism in vitro cells. Mol. Cell. Biochem. 2020, 475, 119–126. [Google Scholar] [CrossRef]
- Khan, T.H.; Ganaie, M.A.; Alharthy, K.M.; Madkhali, H.; Jan, B.L.; Sheikh, I.A. Naringenin prevents doxorubicin-induced toxicity in kidney tissues by regulating the oxidative and inflammatory insult in Wistar rats. Arch. Physiol. Biochem. 2020, 126, 300–307. [Google Scholar] [CrossRef]
- Pfister, C.; Gravis, G.; Fléchon, A.; Soulié, M.; Guy, L.; Laguerre, B.; Mottet, N.; Joly, F.; Allory, Y.; Harter, V.; et al. Randomized Phase III Trial of Dose-dense Methotrexate, Vinblastine, Doxorubicin, and Cisplatin, or Gemcitabine and Cisplatin as Perioperative Chemotherapy for Patients with Muscle-invasive Bladder Cancer. Analysis of the GETUG/AFU V05 VESPER Trial Secondary Endpoints: Chemotherapy Toxicity and Pathological Responses. Eur. Urol. 2020, 79, 214–221. [Google Scholar] [CrossRef]
- Linzner, N.; Fritsch, V.N.; Busche, T.; Tung, Q.N.; Van Loi, V.; Bernhardt, J.; Kalinowski, J.; Antelmann, H. The plant-derived naphthoquinone lapachol causes an oxidative stress response in Staphylococcus aureus. Free Radic. Biol. Med. 2020, 158, 126–136. [Google Scholar] [CrossRef]
- Song, R.; Yu, B.; Friedrich, D.; Li, J.; Shen, H.; Krautscheid, H.; Huang, S.D.; Kim, M.-H. Naphthoquinone-derivative as a synthetic compound to overcome the antibiotic resistance of methicillin-resistant S. aureus. Commun. Biol. 2020, 24, 3. [Google Scholar] [CrossRef]
- Novais, J.S.; Carvalho, M.F.; Ramundo, M.S.; Beltrame, C.O.; Geraldo, R.B.; Jordão, A.K.; Ferreira, V.F.; Castro, H.C.; Figueiredo, A.M.S. Antibiofilm effects of N,O-acetals derived from 2-amino-1,4-naphthoquinone are associated with downregulation of important global virulence regulators in methicillin-resistant Staphylococcus aureus. Sci. Rep. 2020, 10, 19631. [Google Scholar] [CrossRef]
- Campora, M.; Canale, C.; Gatta, E.; Tasso, B.; Laurini, E.; Relini, A.; Pricl, S.; Catto, M.; Tonelli, M. Multitarget Biological Profiling of New Naphthoquinone and Anthraquinone-Based Derivatives for the Treatment of Alzheimer’s Disease. ACS Chem. Neurosci. 2021, 12, 447–461. [Google Scholar] [CrossRef]
- Oliveira, V.; Dantas, E.; Queiroz, A.; Oliveira, J.; Silva, M.; Ferreira, P.; Siva, F.; Ferreira, V.; Lima, Á. Novel Solid Dispersions of Naphthoquinone Using Different Polymers for Improvement of Antichagasic Activity. Pharmaceutics 2020, 12, 1136. [Google Scholar] [CrossRef]
- Pereyra, C.E.; Dantas, R.F.; Ferreira, S.; Gomes, L.P.; Silva, F.P., Jr. The diverse mechanisms and anticancer potential of naphthoquinones. Cancer Cell Int. 2019, 19, 207. [Google Scholar] [CrossRef] [Green Version]
- Tandon, V.K.; Kumar, S. Recent development on naphthoquinone derivatives and their therapeutic applications as anticancer agents. Expert Opin. Ther. Patents 2013, 23, 1087–1108. [Google Scholar] [CrossRef]
- Salmon-Chemin, L.; Buisine, E.; Yardley, V.; Kohler, S.; Debreu, M.-A.; Landry, V.; Sergheraert, C.; Croft, S.L.; Krauth-Siegel, R.L.; Davioud-Charvet, E. 2- and 3-Substituted 1,4-Naphthoquinone Derivatives as Subversive Substrates of Trypanothione Reductase and Lipoamide Dehydrogenase from Trypanosoma cruzi: Synthesis and Correlation between Redox Cycling Activities and in Vitro Cytotoxicity. J. Med. Chem. 2001, 44, 548–565. [Google Scholar] [CrossRef] [PubMed]
- Vaupel, P.; Multhoff, G. Revisiting the Warburg effect: Historical dogma versus current understanding. J. Physiol. 2020, 599, 1745–1757. [Google Scholar] [CrossRef] [PubMed]
- Barbato, A.; Scandura, G.; Puglisi, F.; Cambria, D.; La Spina, E.; Palumbo, G.A.; Lazzarino, G.; Tibullo, D.; Di Raimondo, F.; Giallongo, C.; et al. Mitochondrial Bioenergetics at the Onset of Drug Resistance in Hematological Malignancies: An Overview. Front. Oncol. 2020, 10, 604143. [Google Scholar] [CrossRef] [PubMed]
- Vaupel, P.; Multhoff, G. The Warburg Effect: Historical Dogma Versus Current Rationale. Oxyg. Transp. Tissue XLII 2021, 1269, 169–177. [Google Scholar] [CrossRef]
- Mani, S.; Swargiary, G.; Tyagi, S.; Singh, M.; Jha, N.K.; Singh, K.K. Nanotherapeutic approaches to target mitochondria in cancer. Life Sci. 2021, 281, 119773. [Google Scholar] [CrossRef] [PubMed]
- Balandis, B.; Ivanauskaitė, G.; Smirnovienė, J.; Kantminienė, K.; Matulis, D.; Mickevičius, V.; Zubrienė, A. Synthesis and Structure-Affinity Relationship of Chlorinated Pyrrolidinone-Bearing Benzenesulfonamides as Human Carbonic Anhydrase Inhibitors//Bioorganic Chemistry; Elsevier: San Diego, CA, USA, 2020; Volume 97, p. 103658. ISSN 0045-2068. eISSN 1090-2120. [Google Scholar]
- Sapijanskaitė-Banevič, B.; Palskys, V.; Vaickelionienė, R.; Šiugždaitė, J.; Kavaliauskas, P.; Grybaitė, B.; Mickevičius, V. Synthesis and antibacterial activity of new azole, diazole and triazole derivatives based on p-aminobenzoic acid. Molecules 2021, 26, 2597. [Google Scholar] [CrossRef] [PubMed]
- Sandur, S.K.; Ichikawa, H.; Sethi, G.; Ahn, K.S.; Aggarwal, B.B. Plumbagin (5-Hydroxy-2-methyl-1,4-naphthoquinone) Suppresses NF-κB Activation and NF-κB-regulated Gene Products Through Modulation of p65 and IκBα Kinase Activation, Leading to Potentiation of Apoptosis Induced by Cytokine and Chemotherapeutic Agents. J. Biol. Chem. 2006, 281, 17023–17033. [Google Scholar] [CrossRef] [Green Version]
- Xu, X.-C. COX-2 inhibitors in cancer treatment and prevention, a recent development. Anti-Cancer Drugs 2002, 13, 127–137. [Google Scholar] [CrossRef]
- Dai, P.; Li, J.; Ma, X.-P.; Huang, J.; Meng, J.-J.; Gong, P. Efficacy and safety of COX-2 inhibitors for advanced non-small-cell lung cancer with chemotherapy: A meta-analysis. Onco Targets Ther. 2018, 11, 721–730. [Google Scholar] [CrossRef] [Green Version]
- De Almeida, P.D.; Jobim, G.D.S.B.; Ferreira, C.C.d.S.; Bernardes, L.R.; Dias, R.B.; Sales, C.B.S.; Valverde, L.D.F.; Rocha, C.A.; Soares, M.B.; Bezerra, D.P.; et al. A new synthetic antitumor naphthoquinone induces ROS-mediated apoptosis with activation of the JNK and p38 signaling pathways. Chem. Biol. Interact. 2021, 343, 109444. [Google Scholar] [CrossRef]
- Provencio, M.; Nadal, E.; Insa, A.; García-Campelo, M.R.; Casal-Rubio, J.; Dómine, M.; Majem, M.; Rodríguez-Abreu, D.; Martínez-Martí, A.; Carpeño, J.D.C.; et al. Neoadjuvant chemotherapy and nivolumab in resectable non-small-cell lung cancer (NADIM): An open-label, multicentre, single-arm, phase 2 trial. Lancet Oncol. 2020, 21, 1413–1422. [Google Scholar] [CrossRef]
- Wu, Y.-L.; Tsuboi, M.; He, J.; John, T.; Grohe, C.; Majem, M.; Goldman, J.W.; Laktionov, K.; Kim, S.-W.; Kato, T.; et al. Osimertinib in Resected EGFR-Mutated Non–Small-Cell Lung Cancer. N. Engl. J. Med. 2020, 383, 1711–1723. [Google Scholar] [CrossRef]
- Nie, W.; Zan, X.; Yu, T.; Ran, M.; Hong, Z.; He, Y.; Yang, T.; Ju, Y.; Gao, X. Synergetic therapy of glioma mediated by a dual delivery system loading α-mangostin and doxorubicin through cell cycle arrest and apoptotic pathways. Cell Death Dis. 2020, 11, 928. [Google Scholar] [CrossRef]
- El-Mesery, M.; Seher, A.; El-Shafey, M.; El-Dosoky, M.; Badria, F.A. Repurposing of quinoline alkaloids identifies their ability to enhance doxorubicin-induced sub-G0/G1 phase cell cycle arrest and apoptosis in cervical and hepatocellular carcinoma cells. Biotechnol. Appl. Biochem. 2021, 68, 832–840. [Google Scholar] [CrossRef]
- Sulthana, S.; Banerjee, T.; Kallu, J.; Vuppala, S.R.; Heckert, B.; Naz, S.; Shelby, T.; Yambem, O.; Santra, S. Combination Therapy of NSCLC Using Hsp90 Inhibitor and Doxorubicin Carrying Functional Nanoceria. Mol. Pharm. 2017, 14, 875–884. [Google Scholar] [CrossRef]
- Hasanifard, L.; Samadi, N.; Rashtchizadeh, N.; Dastmalchi, S.; Karimi, P. Sphingosine kinase-2 Inhibitor ABC294640 Enhances Doxorubicin-Induced Apoptosis of NSCLC Cells via Altering Survivin Expression. Drug Res. 2018, 68, 45–53. [Google Scholar] [CrossRef]
- Koleini, N.; Kardami, E. Autophagy and mitophagy in the context of doxorubicin-induced cardiotoxicity. Oncotarget 2017, 8, 46663–46680. [Google Scholar] [CrossRef] [Green Version]
- Bhagat, A.; Kleinerman, E.S. Anthracycline-Induced Cardiotoxicity: Causes, Mechanisms, and Prevention. Adv. Exp. Med. Biol. 2020, 1257, 181–192. [Google Scholar] [CrossRef]
- Wenningmann, N.; Knapp, M.; Ande, A.; Vaidya, T.R.; Ait-Oudhia, S. Insights into Doxorubicin-induced Cardiotoxicity: Molecular Mechanisms, Preventive Strategies, and Early Monitoring. Mol. Pharmacol. 2019, 96, 219–232. [Google Scholar] [CrossRef]
- Wang, J.-J.; Lei, K.-F.; Han, F. Tumor microenvironment: Recent advances in various cancer treatments. Eur. Rev. Med Pharmacol. Sci. 2018, 22, 3855–3864. [Google Scholar] [CrossRef]
- Van der Woude, L.L.; Gorris, M.; Halilovic, A.; Figdor, C.G.; de Vries, I.J.M. Migrating into the Tumor: A Roadmap for T Cells. Trends Cancer 2017, 3, 797–808. [Google Scholar] [CrossRef]
- Darmanis, S.; Sloan, S.A.; Croote, D.; Mignardi, M.; Chernikova, S.; Samghababi, P.; Zhang, Y.; Neff, N.; Kowarsky, M.; Caneda, C.; et al. Single-Cell RNA-Seq Analysis of Infiltrating Neoplastic Cells at the Migrating Front of Human Glioblastoma. Cell Rep. 2017, 21, 1399–1410. [Google Scholar] [CrossRef] [Green Version]
- Wang, Y.; Luo, Y.; Piao, X.; Shen, G.; Meng, L.; Zhang, Y.; Wang, J.; Li, J.; Wang, H.; Xu, W.; et al. Novel 1,4-naphthoquinone derivatives induce reactive oxygen species-mediated apoptosis in liver cancer cells. Mol. Med. Rep. 2018, 19, 1654–1664. [Google Scholar] [CrossRef] [Green Version]
- Wang, S.H.; Lo, C.Y.; Gwo, Z.H.; Lin, H.J.; Chen, L.G.; Kuo, C.D.; Wu, J.Y. Synthesis and Biological Evaluation of Lipophilic 1,4-Naphthoquinone Derivatives against Human Cancer Cell Lines. Molecules 2015, 20, 11994–12015. [Google Scholar] [CrossRef] [PubMed] [Green Version]
- Shen, G.-N.; Wang, C.; Luo, Y.-H.; Wang, J.-R.; Wang, R.; Xu, W.-T.; Zhang, Y.; Zhang, Y.; Zhang, D.-J.; Jin, C.-H. 2-(6-Hydroxyhexylthio)-5,8-dimethoxy-1,4-naphthoquinone Induces Apoptosis through ROS-Mediated MAPK, STAT3, and NF-κB Signalling Pathways in Lung Cancer A549 Cells. Evid. Based Complement. Altern. Med. 2020, 2020, 7375862. [Google Scholar] [CrossRef] [PubMed]
- Goleva, T.N.; Lyamzaev, K.G.; Rogov, A.G.; Khailova, L.S.; Epremyan, K.K.; Shumakovich, G.P.; Domnina, L.V.; Ivanova, O.Y.; Marmiy, N.V.; Zinevich, T.V.; et al. Mitochondria-targeted 1,4-naphthoquinone (SkQN) is a powerful prooxidant and cytotoxic agent. Biochim. Biophys. Acta 2020, 1861, 148210. [Google Scholar] [CrossRef] [PubMed]
- Majiene, D.; Kuseliauskyte, J.; Stimbirys, A.; Jekabsone, A. Comparison of the Effect of Native 1,4-Naphthoquinones Plumbagin, Menadione, and Lawsone on Viability, Redox Status, and Mitochondrial Functions of C6 Glioblastoma Cells. Nutrients 2019, 11, 1294. [Google Scholar] [CrossRef] [Green Version]
- Yokouchi, H.; Kanazawa, K. Revisiting the role of COX-2 inhibitor for non-small cell lung cancer. Transl. Lung Cancer Res. 2015, 4, 660–664. [Google Scholar] [CrossRef]
- Hernanz, R.; Briones, A.M.; Salaices, M.; Alonso, M.J. New roles for old pathways? A circuitous relationship between reactive oxygen species and cyclo-oxygenase in hypertension. Clin. Sci. 2014, 126, 111–121. [Google Scholar] [CrossRef]
- Sheldrick, G.M. SHELXT—Integrated space-group and crystal-structure determination. Acta Crystallogr. Sect. A Found. Adv. 2015, 71, 3–8. [Google Scholar] [CrossRef] [Green Version]
- Sheldrick, G.M. A short history of SHELX. Acta Crystallogr. Sect. A 2008, A64, 112–122. [Google Scholar] [CrossRef] [Green Version]
- McGovern, M.; Quinlan, M.; Doyle, G.; Moore, G.; Geiger, S.; Eason, K.; Liddy, C.; Yu, H. Implementing a National Electronic Referral Program: Qualitative Study. JMIR Med. Inform. 2018, 6, e10488. [Google Scholar] [CrossRef]
- Daina, A.; Michielin, O.; Zoete, V. SwissADME: A free web tool to evaluate pharmacokinetics, drug-likeness and medicinal chemistry friendliness of small molecules. Sci. Rep. 2017, 7, 42717. [Google Scholar] [CrossRef] [Green Version]
- Daina, A.; Zoete, V. Application of the SwissDrugDesign Online Resources in Virtual Screening. Int. J. Mol. Sci. 2019, 20, 4612. [Google Scholar] [CrossRef] [Green Version]
- Banerjee, P.; Eckert, A.O.; Schrey, A.K.; Preissner, R. ProTox-II: A webserver for the prediction of toxicity of chemicals. Nucleic Acids Res. 2018, 46, W257–W263. [Google Scholar] [CrossRef] [Green Version]
- Adki, K.M.; Murugesan, S.; Kulkarni, Y.A. In Silico and In Vivo Toxicological Evaluation of Paeonol. Chem. Biodivers. 2020, 17, e2000422. [Google Scholar] [CrossRef]
- Mello, D.F.; Trevisan, R.; Rivera, N.; Geitner, N.K.; Di Giulio, R.T.; Wiesner, M.R.; Hsu-Kim, H.; Meyer, J.N. Caveats to the use of MTT, neutral red, Hoechst and Resazurin to measure silver nanoparticle cytotoxicity. Chem. Biol. Interact. 2019, 315, 108868. [Google Scholar] [CrossRef]
- Pascua-Maestro, R.; Corraliza-Gomez, M.; Diez-Hermano, S.; Perez-Segurado, C.; Ganfornina, M.D.; Sanchez, D. The MTT-formazan assay: Complementary technical approaches and in vivo validation in Drosophila larvae. Acta Histochem. 2018, 120, 179–186. [Google Scholar] [CrossRef]
- Eguchi, H.; Akizuki, R.; Maruhashi, R.; Tsukimoto, M.; Furuta, T.; Matsunaga, T.; Endo, S.; Ikari, A. Increase in resistance to anticancer drugs involves occludin in spheroid culture model of lung adenocarcinoma A549 cells. Sci. Rep. 2018, 8, 15157. [Google Scholar] [CrossRef] [Green Version]
- Jagetia, G.C.; Baliga, M.S. Evaluation of anticancer activity of the alkaloid fraction of Alstonia scholaris (Sapthaparna) in vitro and in vivo. Phytother. Res. 2006, 20, 103–109. [Google Scholar] [CrossRef]
- Liu, X.; Ouyang, S.; Yu, B.; Liu, Y.; Huang, K.; Gong, J.; Zheng, S.; Li, Z.; Li, H.; Jiang, H. PharmMapper Server: A web server for potential drug target identification using pharmacophore mapping approach. Nucleic Acids Res. 2010, 38, W609–W614. [Google Scholar] [CrossRef] [PubMed] [Green Version]
- Wang, X.; Shen, Y.; Wang, S.; Li, S.; Zhang, W.; Liu, X.; Lai, L.; Pei, J.; Li, H. PharmMapper 2017 Update: A web server for potential drug target identification with a comprehensive target pharmacophore database. Nucleic Acids Res. 2017, 45, W356–W360. [Google Scholar] [CrossRef] [PubMed] [Green Version]
- Gfeller, D.; Michielin, O.; Zoete, V. Shaping the interaction landscape of bioactive molecules. Bioinformatics 2013, 29, 3073–3079. [Google Scholar] [CrossRef] [PubMed]
- O’Boyle, N.M.; Banck, M.; James, C.A.; Morley, C.; Vandermeersch, T.; Hutchison, G.R. Open babel: An open chemical toolbox. J. Cheminform. 2011, 3, 33. [Google Scholar] [CrossRef] [Green Version]
- Zoete, V.; Michel, C.; Aurélien, G.; Michielin, O. SwissParam: A Fast Force Field Generation Tool for Small Organic Molecules Vincent. J. Comput. Chem. 2012, 32, 174–182. [Google Scholar] [CrossRef]
- Izzo, J.G.; Ajani, J.A.; Therapeutics, E.; Oncology, G.M. Thinking In and Out of the Box When It Comes to Gastric Cancer and Cyclooxygenase-2. J. Clin. Oncol. 2019, 25, 4865–4867. [Google Scholar] [CrossRef]
- Khanna, P.; Chua, P.J.; Bay, B.H.; Baeg, G.H. The JAK/STAT signaling cascade in gastric carcinoma (Review). Int. J. Oncol. 2017, 47, 1617–1626. [Google Scholar] [CrossRef] [Green Version]
- Petkova, D.; Clelland, C.; Ronan, J.; Pang, L.; Coulson, J.; Lewis, S.; Knox, A. Overexpression of cyclooxygenase-2 in non-small cell lung cancer. Respir. Med. 2004, 98, 164–172. [Google Scholar] [CrossRef] [Green Version]
- Sepulveda, A.R. Helicobacter, Inflammation, and Gastric Cancer. Curr. Pathobiol. Rep. 2014, 1, 9–18. [Google Scholar] [CrossRef] [Green Version]
- Sobolewski, C.; Cerella, C.; Dicato, M.; Ghibelli, L.; Diederich, M. The Role of Cyclooxygenase-2 in Cell Proliferation and Cell Death in Human Malignancies. Int. J. Cell Biol. 2010, 2010, 215158. [Google Scholar] [CrossRef] [Green Version]
- Humphrey, W.; Dalke, A.; Schulten, K. VMD: Visual molecular dynamics. J. Mol. Graph. 1996, 14, 33–38. [Google Scholar] [CrossRef]













| Compound | MW | No of Heavy Atoms | No of Aromatic Heavy Atoms | Fraction Csp3 | Rotatable Bonds | H-Bond Acceptors | H-Bond Donors | Molar Refractivity | TPSA |
|---|---|---|---|---|---|---|---|---|---|
| 9 | 289.71 | 22 | 17 | 0 | 2 | 4 | 1 | 79.35 | 72.2 |
| 16 | 265.27 | 24 | 12 | 0 | 4 | 4 | 3 | 88.09 | 95.5 |
| DOX | 579.98 | 40 | 12 | 0.44 | 5 | 12 | 6 | 139.63 | 206.07 |
| Compound | GI Absorption | BBB Permeant | P-gp Substrate | CYP1A2 Inhibitor | CYP2C19 Inhibitor | CYP2C9 Inhibitor | CYP2D6 Inhibitor | CYP3A4 Inhibitor |
|---|---|---|---|---|---|---|---|---|
| 9 | High | Yes | No | Yes | Yes | Yes | Yes | Yes |
| 16 | High | No | No | Yes | No | Yes | No | Yes |
| DOX | Low | No | Yes | No | No | No | No | No |
| Toxicity Target | Compound 9 | Compound 16 | DOX | |||
|---|---|---|---|---|---|---|
| Result | Probability | Result | Probability | Result | Probability | |
| Hepatotoxicity | Active | 0.59 | Active | 0.58 | Inactive | 0.86 |
| Carcinogenicity | Active | 0.58 | Inactive | 0.51 | Inactive | 0.9 |
| Immunotoxicity | Inactive | 0.96 | Active | 0.66 | Active | 0.99 |
| Mutagenicity | Inactive | 0.52 | Inactive | 0.53 | Active | 0.98 |
| Cytotoxicity | Inactive | 0.72 | Inactive | 0.64 | Active | 0.94 |
| Aryl hydrocarbon Receptor (AhR) | Active | 0.58 | Active | 0.56 | Inactive | 0.92 |
| Androgen Receptor (AR) | Inactive | 0.92 | Inactive | 0.97 | Inactive | 0.99 |
| Androgen Receptor Ligand Binding Domain (AR-LBD) | Inactive | 0.98 | Inactive | 0.97 | Inactive | 0.55 |
| Aromatase | Inactive | 0.84 | Inactive | 0.86 | Active | 0.52 |
| Estrogen Receptor Alpha (ER) | Inactive | 0.88 | Inactive | 0.8 | Inactive | 0.73 |
| Estrogen Receptor Ligand Binding Domain (ER-LBD) | Inactive | 0.98 | Inactive | 0.97 | Inactive | 0.74 |
| Peroxisome Proliferator Activated Receptor Gamma (PPAR-Gamma) | Inactive | 0.97 | Inactive | 0.83 | Inactive | 0.97 |
| Nuclear factor (erythroid-derived 2)-like 2/antioxidant responsive element (nrf2/ARE) | Inactive | 0.96 | Inactive | 0.87 | Inactive | 0.98 |
| Heat shock factor response element (HSE) | Inactive | 0.96 | Inactive | 0.87 | Inactive | 0.98 |
| Mitochondrial Membrane Potential (MMP) | Active | 0.52 | Active | 0.6 | Inactive | 0.56 |
| Phosphoprotein (Tumor Suppressor) p53 | Inactive | 0.8 | Inactive | 0.71 | Active | 0.52 |
| ATPase family AAA domain-containing protein 5 (ATAD5) | Inactive | 0.76 | Inactive | 0.91 | Inactive | 0.63 |
| NafoQ | ERK2 | MEK1 | TPK-JAK | DHFR | TXNRD1 | COX-2 | NOX4 | CYP26A1 | N avge. |
|---|---|---|---|---|---|---|---|---|---|
| 9 | −8.3 | −8.7 | −7.9 | −9.4 | −8.0 | −9.4 | −9.1 | −8.2 | −8.63 |
| 10 | −8.4 | −9.0 | −8.5 | −9.6 | −9.0 | −9.6 | −9.3 | −8.5 | −8.99 |
| 11 | −8.5 | −9.0 | −8.4 | −9.7 | −7.9 | −8.8 | −8.9 | −8.5 | −8.71 |
| 12 | −8.5 | −9.2 | −7.6 | −7.8 | −7.8 | −9.0 | −8.8 | −8.1 | −8.35 |
| 13 | −8.2 | −9.4 | −8.4 | −7.8 | −7.6 | −9.5 | −9.1 | −8.6 | −8.58 |
| 14 | −8.3 | −8.7 | −8.3 | −7.9 | −7.5 | −8.7 | −8.9 | −8.3 | −8.33 |
| 15 | −8.3 | −9.0 | −8.6 | −9.1 | −7.3 | −9.0 | −8.8 | −8.2 | −8.54 |
| 16 | −8.4 | −8.8 | −9.1 | −9.1 | −7.2 | −9.5 | −8.7 | −8.1 | −8.61 |
| P avge. | −8.36 | −8.98 | −8.35 | −8.80 | −7.79 | −9.19 | −8.95 | −8.31 |
| Parameter | Compound 9 | Compound 12 |
|---|---|---|
| Empirical formula | C16H10ClNO2 | C16H9BrClNO2 |
| Formula weight | 283.72 | 362.59 |
| Crystal size (mm3) | 0.19 × 0.11 × 0.06 | 0.23 × 0.14 × 0.12 |
| Crystal system | monoclinic | Orthorhombic |
| Space group | P21/c | Pna21 |
| a (Å) | 4.8166(1) | 12.18779(9) |
| b (Å) | 22.4574(4) | 23.6416(2) |
| c (Å) | 11.7402(2) | 4.73623(3) |
| β (°) | 98.081(2) | 90 |
| Unit cell volume (Å3) | 1257.31(4) | 1364.69(2) |
| Molecular multiplicity | 4 | 4 |
| Calculated density (g/cm3) | 1.499 | 1.765 |
| Absorption coefficient (mm−1) | 2.693 | 5.940 |
| F(000) | 584 | 720 |
| 2θmax (°) | 155.0 | 155.0 |
| Reflections collected | 13,655 | 11,253 |
| Number of independent reflections | 2618 (Rint = 0.0279) | 2259 (Rint = 0.0270) |
| Reflections with I > 2σ(I) | 2548 | 2242 |
| Number of refined parameters | 185 | 195 |
| Goodness of fit | 1.052 | 1.043 |
| R-factors (R1 for I > 2σ(I), and wR2 for all data) | 0.0382, 0.1037 | 0.0260, 0.0710 |
| Δρmax, Δρmin (e Å−3) | 0.245, −0.472 | 0.688, −0.301 |
| CCDC deposition number | 2,093,829 | 2,093,828 |
Publisher’s Note: MDPI stays neutral with regard to jurisdictional claims in published maps and institutional affiliations. |
© 2022 by the authors. Licensee MDPI, Basel, Switzerland. This article is an open access article distributed under the terms and conditions of the Creative Commons Attribution (CC BY) license (https://creativecommons.org/licenses/by/4.0/).
Share and Cite
Kavaliauskas, P.; Opazo, F.S.; Acevedo, W.; Petraitiene, R.; Grybaitė, B.; Anusevičius, K.; Mickevičius, V.; Belyakov, S.; Petraitis, V. Synthesis, Biological Activity, and Molecular Modelling Studies of Naphthoquinone Derivatives as Promising Anticancer Candidates Targeting COX-2. Pharmaceuticals 2022, 15, 541. https://doi.org/10.3390/ph15050541
Kavaliauskas P, Opazo FS, Acevedo W, Petraitiene R, Grybaitė B, Anusevičius K, Mickevičius V, Belyakov S, Petraitis V. Synthesis, Biological Activity, and Molecular Modelling Studies of Naphthoquinone Derivatives as Promising Anticancer Candidates Targeting COX-2. Pharmaceuticals. 2022; 15(5):541. https://doi.org/10.3390/ph15050541
Chicago/Turabian StyleKavaliauskas, Povilas, Felipe Stambuk Opazo, Waldo Acevedo, Ruta Petraitiene, Birutė Grybaitė, Kazimieras Anusevičius, Vytautas Mickevičius, Sergey Belyakov, and Vidmantas Petraitis. 2022. "Synthesis, Biological Activity, and Molecular Modelling Studies of Naphthoquinone Derivatives as Promising Anticancer Candidates Targeting COX-2" Pharmaceuticals 15, no. 5: 541. https://doi.org/10.3390/ph15050541
APA StyleKavaliauskas, P., Opazo, F. S., Acevedo, W., Petraitiene, R., Grybaitė, B., Anusevičius, K., Mickevičius, V., Belyakov, S., & Petraitis, V. (2022). Synthesis, Biological Activity, and Molecular Modelling Studies of Naphthoquinone Derivatives as Promising Anticancer Candidates Targeting COX-2. Pharmaceuticals, 15(5), 541. https://doi.org/10.3390/ph15050541

