Strain-Compensated Quantum Well Asymmetric Waveguide Edge-Emitting Laser Operating at 730 nm
Abstract
1. Introduction
2. Epitaxial Structure Design
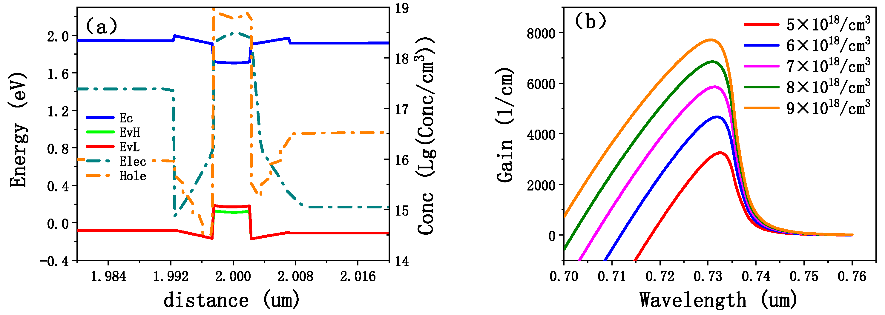
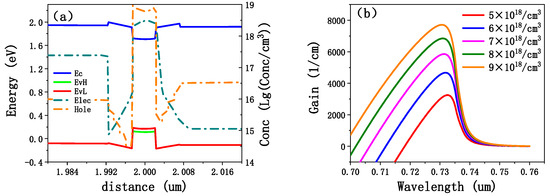
2.1. Active Region Design
2.2. Waveguide Design
2.2.1. Graded Waveguide Design
2.2.2. Asymmetric Waveguide Design
2.3. Doping Design
3. Device Fabrication
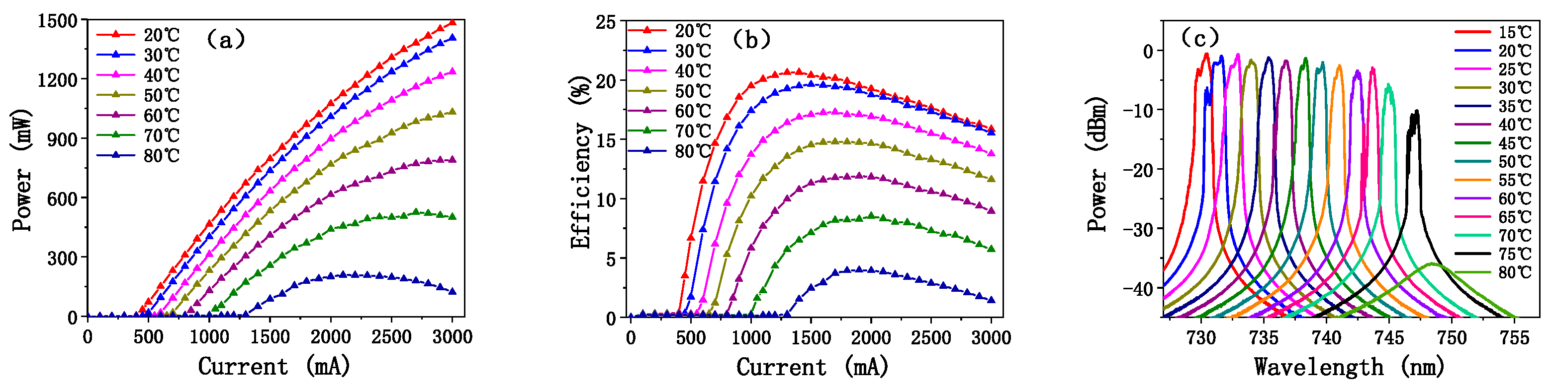
4. Results and Analysis
5. Discussion
6. Conclusions
Author Contributions
Funding
Institutional Review Board Statement
Informed Consent Statement
Data Availability Statement
Acknowledgments
Conflicts of Interest
References
- Chen, B.J.; Shen, L.F.; Pun, E.Y.B.; Lin, H. Sm3+-Doped Germanate Glass Channel Waveguide as Light Source for Minimally Invasive Photodynamic Therapy Surgery. Opt. Exp. 2012, 20, 879–889. [Google Scholar] [CrossRef] [PubMed]
- Mawsi, L.J.; Rusli, S.; Al-Muhanna, A.; Wade, J.K. Short-Wavelength (0.7 μm < λ < 0.78 μm) High-Power InGaAsP-Active Diode Lasers. IEEE Xplore 1999, 5, 785–791. [Google Scholar]
- Tihanyi, P.L.; Jain, F.C.; Robinson, M.J.; Dixon, J.E.; Williams, J.E.; Meehan, K.; O’Neill, M.S.; Heath, L.S.; Beyea, D.M. High-Power AlGaAs-GaAs Visible Diode Lasers. IEEE Xplore 1994, 6, 775–777. [Google Scholar] [CrossRef]
- Schmitt, F.J.; Campbell, Z.Y.; Bui, M.V.; Hüls, A.; Tomo, T.; Chen, M.; Maksimov, E.G.; Allakhverdiev, S.I.; Friedrich, T. Photosynthesis Supported by a Chlorophyll f-Dependent, Entropy-Driven Uphill Energy Transfer in Halomicronema hongdechloris Cells Adapted to Far-Red Light. Photosynth. Res. 2019, 139, 185–201. [Google Scholar] [CrossRef] [PubMed]
- Minglai, Y.A.; Li, Q.I.; Peng, J.I.; Liang, X.; Helong, Y.U.; Ting, B.I.; Qiang, M.A.; Hui, W.A.; Chenglong, L.I.; Sicheng, T.I.; et al. Progress in the Application of New Laser Light Sources in Rice Seedling Cultivation. J. Intell. Agric. Mech. 2024, 5, 22–32. [Google Scholar]
- Jang, I.; Do, G.; Suh, S.; Yu, J.; Jang, I.; Moon, J.; Chun, C. Physiological Responses and Ginsenoside Production of Panax ginseng Seedlings Grown Under Various Ratios of Red to Blue Light-Emitting Diodes. Hortic. Environ. Biotechnol. 2020, 61, 663–672. [Google Scholar] [CrossRef]
- Zhu, Z.; Xiao, C.; Xia, W.; Zhang, X.; Su, J.; Li, P.; Xu, X. Design and fabrication of high-power 640nm red semiconductor lasers. Prog. Laser Optoelectron. 2018, 55, 344–348. [Google Scholar]
- Blume, G.; Schiemangk, M.; Pohl, J.; Feise, D.; Ressel, P.; Sumpf, B.; Wicht, A.; Paschke, K. Narrow Linewidth of 633-nm DBR Ridge-Waveguide Lasers. IEEE Xplore 2013, 25, 550–552. [Google Scholar] [CrossRef]
- Sumpf, B.; Adamiec, P.; Zorn, M.; Wenzel, H.; Erbert, G.; Tränkle, G. 670 nm Nearly Diffraction-Limited Tapered Lasers with More than 30% Conversion Efficiency and 1 W CW and 3 W Pulsed Output Power. Proc. SPIE 2011, 7953, 79530Z. [Google Scholar]
- Lee, B.; Pham, M.D.; Cui, M.; Lee, H.; Hwang, H.; Jang, I.; Chun, C. Growth and Physiological Responses of Panax ginseng Seedlings as Affected by Light Intensity and Photoperiod. Hortic. Environ. Biotechnol. 2022, 63, 835–846. [Google Scholar] [CrossRef]
- Matsumoto, K.; Albernaz, T.C.L.; Cardoso, L.D. Effects of Light-Emitting Diodes (LEDs) on the In Vitro Growth of Potato and Brazilian Ginseng Germplasms. Acta Hortic. 2016, 1145, 93–96. [Google Scholar] [CrossRef]
- Fafard, S.; Hinzer, K.; Raymond, S.; Dion, M.; McCaffrey, J.; Feng, Y.; Charbonneau, S. Red-Emitting Semiconductor Quantum Dot Lasers. Science 1996, 274, 1350–1353. [Google Scholar] [CrossRef] [PubMed]
- Bao, L.; Grimshaw, M.; DeVito, M.; Kanskar, M.; Dong, W.; Guan, X.; Zhang, S.; Patterson, J.; Dickerson, P.; Kennedy, K.; et al. High-Power Diode Lasers Emitting from 639 nm to 690 nm. Proc. SPIE 2014, 8965, 896512. [Google Scholar]
- Smowton, P.M.; Blood, P.; Mogensen, P.C.; Roberts, J.S. AlxGayIn1−x−yAs/AlGaAs Quantum Well Lasers at 670 to 750 nm. Proc. SPIE 1997, 3001, 153–162. [Google Scholar] [CrossRef]
- Emanuel, M.A.; Skidmore, J.A.; Jansen, M. High-Power InAlGaAs–GaAs Laser Diode Emitting Near 731 nm. IEEE Photon. Technol. Lett. 1997, 9, 1451–1453. [Google Scholar] [CrossRef]
- Erbert, G.; Bugge, F.; Knauer, A.; Sebastian, J.; Thies, A.; Wenzel, H.; Weyers, M.; Trankle, G. High-Power Tensile-Strained GaAsP-AlGaAs Quantum-Well Lasers Emitting Between 715 and 790 nm. IEEE J. Sel. Top. Quantum Electron. 1999, 5, 780–784. [Google Scholar] [CrossRef]
- Knauer, A.; Erbert, G.; Wenzel, H.; Bhattacharya, A.; Bugge, F.; Maege, J.; Pittroff, W.; Sebastian, J. 7W CW Power from Tensile-Strained GaAsxP1−x/AlGaAs (λ = 735 nm) QW Diode Lasers. Electron. Lett. 1999, 35, 584–586. [Google Scholar] [CrossRef]
- Erbert, G.; Fricke, J.; Huelsewede, R.; Knauer, A. 3-W High-Brightness Tapered Diode Lasers at 735 nm Based on Tensile-Strained GaAsP QWs. Proc. SPIE 2003, 4995, 29–38. [Google Scholar] [CrossRef]
- Mauerhoff, F.; Hildenstein, P.; Maasdorf, A.; Feise, D.; Werner, N.; Glaab, J.; Blume, G.; Paschke, K. GaAs-Based Edge Emitters at 626 nm, 725 nm, and 1180 nm. IEEE J. Sel. Top. Quantum Electron. 2025, 31, 2. [Google Scholar] [CrossRef]
- Bour, D.P.; Treat, D.W.; Beernink, K.J.; Thornton, R.L.; Paoli, T.L.; Bringans, R.D. Tensile-Strained AlGaAsP- and InGaAsP-(AlGa)0.5In0.5P Quantum-Well Laser Diodes for TM-Mode Emission in the Wavelength Range 650 nm < λ < 850 nm. IEEE Photonics Technol. Lett. 1994, 6, 1283–1285. [Google Scholar]
- Nomoto, E.; Taniguchi, T.; Sasaki, S.; Kasai, J.; Ohtoshi, T.; Aoki, M. 703-nm InGaAsP Quantum-Well Ridge-Waveguide Lasers. In Proceedings of the 2007 International Conference on Indium Phosphide and Related Materials, Matsue, Japan, 14–18 May 2007; pp. 426–429. [Google Scholar]
- Maaßdorf, A.; Martin, D.; Wenzel, H.; Knigge, A.; Weyers, M. Growth of Compressively Strained GaxIn1−xAsyP1−y Quantum Wells for 690–730 nm Laser Emission. J. Cryst. Growth 2023, 604, 127055. [Google Scholar] [CrossRef]
- Al-Muhanna, A.; Wade, J.K.; Mawst, L.J. 730-nm-Emitting Al-Free Active-Region Diode Lasers with Compressively Strained InGaAsP Quantum Wells. Appl. Phys. Lett. 1998, 72, 641–643. [Google Scholar] [CrossRef]
- Al-Muhanna, A.; Wade, J.K.; Earles, T.; Lopez, J.; Mawst, L.J. High-Performance, Reliable, 730-nm-Emitting Al-Free Active Region Diode Lasers. Appl. Phys. Lett. 1998, 73, 2869–2871. [Google Scholar] [CrossRef][Green Version]
- Rusli, S.; Al-Muhanna, A.; Earles, T.; Mawst, L.J. 1 W CW Reliable λ = 730 nm Aluminium-Free Active Layer Diode Laser. Electron. Lett. 2000, 36, 630–631. [Google Scholar] [CrossRef]
- Hiroyama, R.; Uetani, T.; Bessho, Y.; Shono, M.; Sawada, M.; Ibaraki, A. High-Power 630 nm Band Laser Diodes with Strain-Compensated Single Quantum Well Active Layer. Electron. Lett. 1997, 33, 1084–1086. [Google Scholar] [CrossRef]
- Qiu, B.; Kowalski, O.P.; McDougall, S.; Schmidt, B.; Marsh, J.H. High-Performance Visible Semiconductor Lasers Operating at 630 nm. IEEE Xplore 2010, 2, 563–570. [Google Scholar]
- Avrutin, E.A.; Ryvkin, B.S.; Kostamovaara, J.T. AlGaAs/GaAs Asymmetric-Waveguide, Short-Cavity Laser Diode Design with a Bulk Active Layer Near the p-Cladding for High Pulsed Power Emission. IET Optoelectron. 2021, 15, 194–199. [Google Scholar] [CrossRef]
- Avrutin, E.A.; Ryvkin, B.S. Semiconductor Laser Design with an Asymmetric Large Optical Cavity Waveguide and a Bulk Active Layer Near p-Cladding for Efficient High-Power Red Light Emission. Semicond. Sci. Technol. 2022, 37, 125002. [Google Scholar] [CrossRef]
- Hou, H.Q.; Hagerott Crawford, M.; Hickman, R.J.; Hammons, B.E. Room-Temperature Continuous Wave Operation of All-AlGaAs Visible (~700 nm) Vertical-Cavity Surface Emitting Lasers. Electron. Lett. 1996, 32, 1986–1987. [Google Scholar] [CrossRef]
- Zhang, Z.; Ning, Y.; Zhang, J.; Zhang, J.; Zeng, Y.; Zhang, J.; Zhang, X.; Zhou, Y.; Huang, Y.; Qin, L.; et al. Design and Fabrication of 1160-nm Optically-Pumped Vertical-External-Cavity Surface-Emitting Laser. Chin. J. Lasers 2020, 47, 701020. [Google Scholar] [CrossRef]
- Lichtenstein, N.; Winterhoff, R.; Scholz, F.; Schweizer, H.; Weiss, S.; Hutter, M.; Reichl, H. The Impact of LOC Structures on 670-nm (Al)GaInP High-Power Lasers. IEEE Xplore 2002, 6, 564–570. [Google Scholar] [CrossRef]
- Shono, M.; Hamada, H.; Honda, S.; Hiroyama, R.; Yodoshi, K.; Yamaguchi, T. Low-Threshold 630 nm-Band AlGaInP Multi-Quantum-Well Laser Diodes Grown on Misoriented Substrates. Electron. Lett. 1992, 28, 905–906. [Google Scholar] [CrossRef]
- Pikhtin, N.A.; Slipchenko, S.O.; Sokolova, Z.N.; Tarasov, I.S. Internal Optical Loss in Semiconductor Lasers. Semiconductors 2004, 38, 360–367. [Google Scholar] [CrossRef]
- Sumpf, B.; Zorn, M.; Staske, R.; Fricke, J.; Ressel, P.; Erbert, G.; Weyers, M.; Trankle, G. 5-W Reliable Operation Over 2000 h of 5-mm-Wide 650-nm AlGaInP–GaInP–AlGaAs Laser Bars with Asymmetric Cladding Layers. IEEE Xplore 2006, 18, 1955–1957. [Google Scholar] [CrossRef]
- Meng, X.; Ning, Y.Q.; Zhang, J.W.; Zhang, X.; Peng, H.Y.; Qin, L.; Wang, L.J. Research Progress of Red Semiconductor Lasers for Laser Display. Laser Optoelectron. Prog. 2019, 56, 9–20. [Google Scholar]
- GB/T 31359-2015; Test Methods of Semiconductor Lasers. Standardization Administration of China: Beijing, China, 2015.













| Material | Lattice Constant/Å |
|---|---|
| GaAs | 5.6533 |
| InP | 5.8687 |
| AlP | 5.451 |
| GaP | 5.447 |
| Material | Refractive Index |
|---|---|
| GaAs | 3.65 |
| GaAs0.79P0.21 | 3.418 |
| Al0.7GaAs | 3.139 |
| Al0.6GaAs | 3.212 |
| Al0.5GaAs | 3.285 |
| (Al0.8Ga0.2)In0.5P | 3.257 |
Disclaimer/Publisher’s Note: The statements, opinions and data contained in all publications are solely those of the individual author(s) and contributor(s) and not of MDPI and/or the editor(s). MDPI and/or the editor(s) disclaim responsibility for any injury to people or property resulting from any ideas, methods, instructions or products referred to in the content. |
© 2025 by the authors. Licensee MDPI, Basel, Switzerland. This article is an open access article distributed under the terms and conditions of the Creative Commons Attribution (CC BY) license (https://creativecommons.org/licenses/by/4.0/).
Share and Cite
Fan, L.; Cao, L.; Jia, P.; Liu, Q.; Liu, B.; Chen, H.; Chen, Y.; Qin, L.; Liang, L.; Lei, Y.; et al. Strain-Compensated Quantum Well Asymmetric Waveguide Edge-Emitting Laser Operating at 730 nm. Sensors 2025, 25, 1173. https://doi.org/10.3390/s25041173
Fan L, Cao L, Jia P, Liu Q, Liu B, Chen H, Chen Y, Qin L, Liang L, Lei Y, et al. Strain-Compensated Quantum Well Asymmetric Waveguide Edge-Emitting Laser Operating at 730 nm. Sensors. 2025; 25(4):1173. https://doi.org/10.3390/s25041173
Chicago/Turabian StyleFan, Lutai, Lijie Cao, Peng Jia, Qian Liu, Baiheng Liu, Haofei Chen, Yongyi Chen, Li Qin, Lei Liang, Yuxin Lei, and et al. 2025. "Strain-Compensated Quantum Well Asymmetric Waveguide Edge-Emitting Laser Operating at 730 nm" Sensors 25, no. 4: 1173. https://doi.org/10.3390/s25041173
APA StyleFan, L., Cao, L., Jia, P., Liu, Q., Liu, B., Chen, H., Chen, Y., Qin, L., Liang, L., Lei, Y., Qiu, C., Song, Y., Wang, Y., Ning, Y., & Wang, L. (2025). Strain-Compensated Quantum Well Asymmetric Waveguide Edge-Emitting Laser Operating at 730 nm. Sensors, 25(4), 1173. https://doi.org/10.3390/s25041173

