RCoD: Reputation-Based Context-Aware Data Fusion for Mobile IoT
Abstract
1. Introduction
2. Related Work
3. Problem Formulation
4. Reputation System
4.1. Malicious Entities and Attacker Strategies
4.1.1. On–Off Attack
4.1.2. Data-Corruption Attack
4.2. RCoD Mechanism
4.3. Dynamic Set of Trusted Participants
| Algorithm 1: Formation of Initial Trusted Set |
Input: Participant Contributions, initEpoch_end
|
4.4. Trust Value Assignment
4.4.1. Contribution Score
4.4.2. Proximity Score
4.4.3. Rating Score Validation
4.4.4. Willingness
4.4.5. Context Score
4.4.6. Timeliness
4.5. Trust Level Mapping
| Algorithm 2: Heterogeneous Trust distribution System |
Input: Participant Contributions, epoch_begin, epoch_end |
4.6. Reputation Score
| Algorithm 3: Reputation computation |
Input: , reputation_table Output: Reputation value ()
|
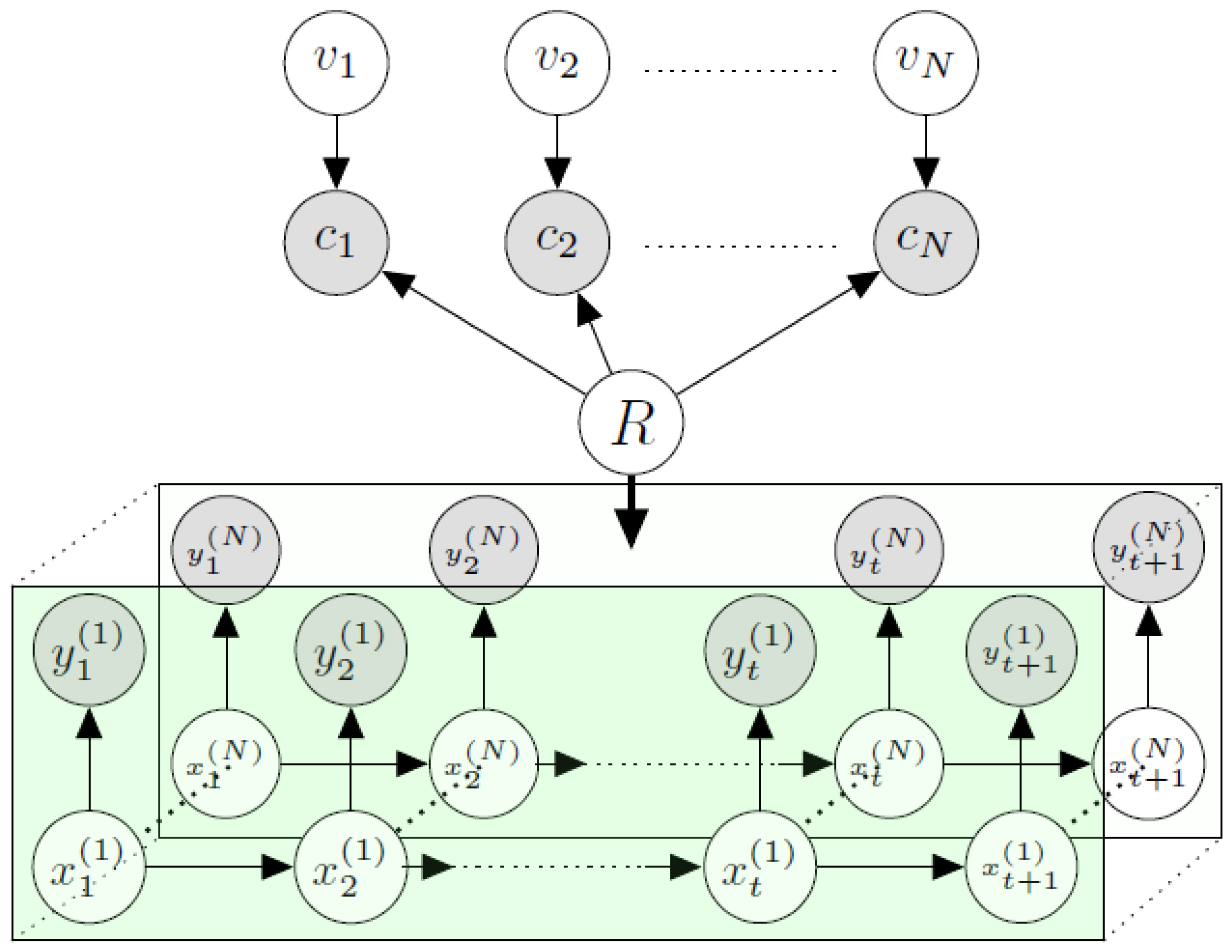
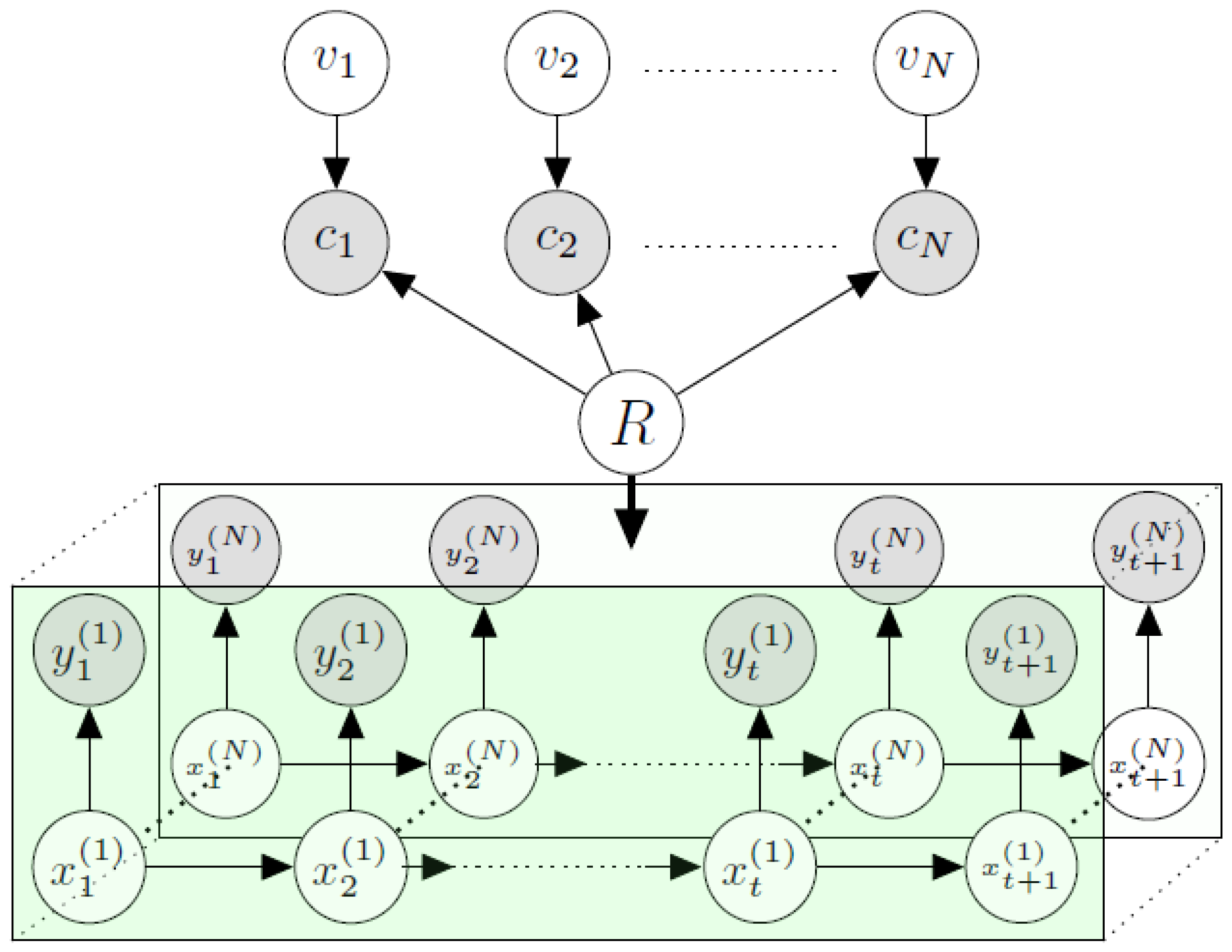
5. Reputation-Aware Data Prediction Methodology
Contextual Hidden Markov Model
| Algorithm 4: Missing Value Estimation |
Input: time, participant_id, TrustedSet
|
6. Performance Evaluation
6.1. Dataset Description
6.2. Simulation Setting
Assumptions for False Data Injection
6.3. Results and Analysis
Mean Absolute Error (MAE)
Accuracy, Precision, Recall and F1 Score
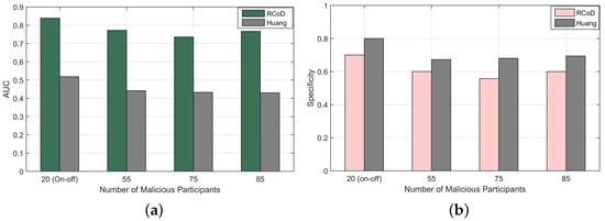
AUC and Specificity
Breaking Point of RCoD
Root Mean Square Error (RMSE)
7. Conclusions and Future Work
Author Contributions
Funding
Institutional Review Board Statement
Informed Consent Statement
Data Availability Statement
Conflicts of Interest
References
- Liu, S.; Zheng, Z.; Wu, F.; Tang, S.; Chen, G. Context-aware data quality estimation in mobile crowdsensing. In Proceedings of the INFOCOM 2017-IEEE Conference on Computer Communications, Atlanta, GA, USA, 1–4 May 2017; pp. 1–9. [Google Scholar]
- Alnahdi, A.; Liu, S.H. Mobile internet of things (MIoT) and its applications for smart environments: A positional overview. In Proceedings of the 2017 IEEE International Congress on Internet of Things (ICIOT), Honolulu, HI, USA, 25–30 June 2017; pp. 151–154. [Google Scholar]
- Hao, X.; Xu, L.; Lane, N.D.; Liu, X.; Moscibroda, T. Density-aware compressive crowdsensing. In Proceedings of the 16th ACM/IEEE International Conference on Information Processing in Sensor Networks, Pittsburgh, PA, USA, 18–21 April 2017; pp. 29–40. [Google Scholar]
- Chen, F.; Deng, P.; Wan, J.; Zhang, D.; Vasilakos, A.V.; Rong, X. Data mining for the internet of things: Literature review and challenges. Int. J. Distrib. Sens. Netw. 2015, 11, 431047. [Google Scholar] [CrossRef]
- Feng, Z.; Zhu, Y. A survey on trajectory data mining: Techniques and applications. IEEE Access 2016, 4, 2056–2067. [Google Scholar] [CrossRef]
- Pal, A.; Kant, K. Smart sensing communication and control in perishable food supply chain. ACM Trans. Sens. Netw. (TOSN) 2019, 16, 1–41. [Google Scholar] [CrossRef]
- Restuccia, F.; Ghosh, N.; Bhattacharjee, S.; Das, S.K.; Melodia, T. Quality of information in mobile crowdsensing: Survey and research challenges. ACM Trans. Sens. Netw. (TOSN) 2017, 13, 34. [Google Scholar] [CrossRef]
- Sivaraman, V.; Carrapetta, J.; Hu, K.; Luxan, B.G. HazeWatch: A participatory sensor system for monitoring air pollution in Sydney. In Proceedings of the 38th Annual IEEE Conference on Local Computer Networks-Workshops, Sydney, NSW, Australia, 21–23 October 2013; pp. 56–64. [Google Scholar]
- Reynolds, E. Air Pollution a Cause of UK Girl’s Death, Finds Global Landmark Ruling. 2020. Available online: https://edition.cnn.com/2020/12/16/uk/air-pollution-death-ella-kissi-debrah-uk-gbr-intl/index.html (accessed on 14 December 2024).
- World Health Organization. Ambient (Outdoor) Air Pollution. 2024. Available online: https://www.who.int/news-room/fact-sheets/detail/ambient-(outdoor)-air-quality-and-health (accessed on 14 December 2024).
- Mousa, H.; Mokhtar, S.B.; Hasan, O.; Younes, O.; Hadhoud, M.; Brunie, L. Trust management and reputation systems in mobile participatory sensing applications: A survey. Comput. Netw. 2015, 90, 49–73. [Google Scholar] [CrossRef]
- Chen, R.; Guo, J.; Wang, D.C.; Tsai, J.J.; Al-Hamadi, H.; You, I. Trust-based service management for mobile cloud IoT systems. IEEE Trans. Netw. Serv. Manag. 2018, 16, 246–263. [Google Scholar] [CrossRef]
- Meeker, W.Q.; Escobar, L.A. Statistical Methods for Reliability Data; John Wiley & Sons: Hoboken, NJ, USA, 2014. [Google Scholar]
- Han, J.; Pei, J.; Kamber, M. Data Mining: Concepts and Techniques; Elsevier: Amsterdam, The Netherlands, 2011. [Google Scholar]
- Gill, S.; Lee, B.; Neto, E. Context aware model-based cleaning of data streams. In Proceedings of the Signals and Systems Conference (ISSC), Carlow, Ireland, 23 July 2015; pp. 1–6. [Google Scholar]
- Gill, S.; Lee, B. A Framework for Distributed Cleaning of Data Streams. Procedia Comput. Sci. 2015, 52, 1186–1191. [Google Scholar] [CrossRef]
- Appice, A.; Ciampi, A.; Fumarola, F.; Malerba, D. Sensor Networks and Data Streams: Basics. In Data Mining Techniques in Sensor Networks; Springer: Berlin/Heidelberg, Germany, 2014; pp. 1–8. [Google Scholar]
- Krishnan, S.; Wang, J.; Wu, E.; Franklin, M.J.; Goldberg, K. ActiveClean: Interactive data cleaning for statistical modeling. Proc. VLDB Endow. 2016, 9, 948–959. [Google Scholar] [CrossRef]
- Huang, K.L.; Kanhere, S.S.; Hu, W. On the need for a reputation system in mobile phone based sensing. Ad Hoc Netw. 2014, 12, 130–149. [Google Scholar] [CrossRef]
- Tasnim, S.; Pissinou, N.; Iyengar, S.; Shahid, A. Reputation-Aware Data Fusion and Malicious Participant Detection in Mobile Crowdsensing. In Proceedings of the 2018 IEEE International Conference on Big Data (Big Data), Seattle, WA, USA, 10–13 December 2018; pp. 4820–4828. [Google Scholar]
- Rollo, F.; Sudharsan, B.; Po, L.; Breslin, J.G. Air quality sensor network data acquisition, cleaning, visualization, and analytics: A real-world IoT use case. In Proceedings of the Adjunct Proceedings of the 2021 ACM International Joint Conference on Pervasive and Ubiquitous Computing and Proceedings of the 2021 ACM International Symposium on Wearable Computers, Virtual, 21–26 September 2021; pp. 67–68. [Google Scholar]
- Tasnim, S.; Pissinou, N.; Iyengar, S. A novel cleaning approach of environmental sensing data streams. In Proceedings of the 2017 14th IEEE Annual Consumer Communications & Networking Conference (CCNC), Las Vegas, NV, USA, 8–11 January 2017; pp. 632–633. [Google Scholar]
- Sun, Y.L.; Han, Z.; Yu, W.; Liu, K.R. Attacks on trust evaluation in distributed networks. In Proceedings of the 2006 40th Annual Conference on Information Sciences and Systems, Princeton, NJ, USA, 22–24 March 2006; pp. 1461–1466. [Google Scholar]
- Labraoui, N.; Gueroui, M.; Sekhri, L. On-off attacks mitigation against trust systems in wireless sensor networks. In Computer Science and Its Applications: Proceedings of the 5th IFIP TC 5 International Conference, CIIA 2015, Saida, Algeria, 20–21 May 2015; Springer: Berlin/Heidelberg, Germany, 2015; pp. 406–415. [Google Scholar]
- Zhang, W.; Wei, K.T.; Liu, X.m. Image denoising using multiple wavelet representations and local contextual hidden Markov model. In Proceedings of the 2007 IEEE International Conference on Robotics and Biomimetics (ROBIO), Sanya, China, 15–18 December 2007; pp. 156–161. [Google Scholar]
- Zhou, Y.; Arghandeh, R.; Spanos, C.J. Online learning of contextual hidden markov models for temporal-spatial data analysis. In Proceedings of the 2016 IEEE 55th Conference on Decision and Control (CDC), Las Vegas, NV, USA, 12–14 December 2016; pp. 6335–6341. [Google Scholar]
- Crouse, M.S.; Baraniuk, R.G. Contextual hidden Markov models for wavelet-domain signal processing. In Proceedings of the Conference Record of the Thirty-First Asilomar Conference on Signals, Systems and Computers (Cat. No. 97CB36136), Pacific Grove, CA, USA, 2–5 November 1997; Volume 1, pp. 95–100. [Google Scholar]
- Zheng, Y.; Liu, F.; Hsieh, H.P. U-Air: When urban air quality inference meets big data. In Proceedings of the 19th ACM SIGKDD International Conference on Knowledge Discovery and Data Mining. ACM, Chicago, IL, USA, 11–14 August 2013; pp. 1436–1444. [Google Scholar]
- Peng, D.; Wu, F.; Chen, G. Pay as how well you do: A quality based incentive mechanism for crowdsensing. In Proceedings of the 16th ACM International Symposium on Mobile Ad Hoc Networking and Computing. ACM, Hangzhou, China, 22–25 June 2015; pp. 177–186. [Google Scholar]
- Lim, H.S.; Moon, Y.S.; Bertino, E. Provenance-based trustworthiness assessment in sensor networks. In Proceedings of the Seventh International Workshop on Data Management for Sensor Networks. ACM, Singapore, 13 September 2010; pp. 2–7. [Google Scholar]
- Yessembayev, A.; Sarkar, D.; Sikder, F. Detection of good and bad sensor nodes in the presence of malicious attacks and its application to data aggregation. IEEE Trans. Signal Inf. Process. Netw. 2018, 4, 549–563. [Google Scholar] [CrossRef]
- Alswailim, M.A.; Hassanein, H.S.; Zulkernine, M. A reputation system to evaluate participants for participatory sensing. In Proceedings of the 2016 IEEE Global Communications Conference (GLOBECOM), Washington, DC, USA, 4–8 December 2016; pp. 1–6. [Google Scholar]
- Yuan, Y.; Fang, Y.; Weisi, L. Moving Object Tracking with Structure Complexity Coefficients. In MultiMedia Modeling: Proceedings of the 21st International Conference, MMM 2015, Sydney, NSW, Australia, 5–7 January 2015; Springer: Berlin/Heidelberg, Germany, 2015; pp. 59–70. [Google Scholar]
- Park, D.W.; Kwon, J.; Lee, K.M. Robust visual tracking using autoregressive hidden Markov model. In Proceedings of the Computer Vision and Pattern Recognition (CVPR), Providence, RI, USA, 16–21 June 2012; pp. 1964–1971. [Google Scholar]
- Anjum, B.; Sabharwal, C.L. Filtering Compromised Environment Sensors Using Autoregressive Hidden Markov Model. Polibits 2016, 54, 5–10. [Google Scholar] [CrossRef]
- Chen, L.; Ding, Y.; Lyu, D.; Liu, X.; Long, H. Deep Multi-Task Learning Based Urban Air Quality Index Modelling. Proc. ACM Interact. Mob. Wearable Ubiquitous Technol. 2019, 3, 2. [Google Scholar] [CrossRef]
- Genc, D.D.; Yesilyurt, C.; Tuncel, G. Air pollution forecasting in Ankara, Turkey using air pollution index and its relation to assimilative capacity of the atmosphere. Environ. Monit. Assess. 2010, 166, 11–27. [Google Scholar] [CrossRef] [PubMed]
- Kumar, U.; Jain, V. ARIMA forecasting of ambient air pollutants (O 3, NO, NO 2 and CO). Stoch. Environ. Res. Risk Assess. 2010, 24, 751–760. [Google Scholar] [CrossRef]
- Cheng, Y.; He, X.; Zhou, Z.; Thiele, L. ICT: In-field Calibration Transfer for Air Quality Sensor Deployments. Proc. ACM Interact. Mob. Wearable Ubiquitous Technol. 2019, 3, 6. [Google Scholar] [CrossRef]
- da Costa, A.Z.; Aniceto, J.P.; Lopes, M. Low-Cost Sensor Network for Air Quality Assessment in Cabo Verde Islands. Sensors 2024, 24, 7656. [Google Scholar] [CrossRef] [PubMed]
- Ali Shah, S.M.; Casado-Mansilla, D.; López-de Ipiña, D. An Image-Based Sensor System for Low-Cost Airborne Particle Detection in Citizen Science Air Quality Monitoring. Sensors 2024, 24, 6425. [Google Scholar] [CrossRef]
- Saloni, M.; Julien, C.; Murphy, A.L.; Picco, G.P. LASSO: A device-to-device group monitoring service for smart cities. In Proceedings of the 2017 International Smart Cities Conference (ISC2), Wuxi, China, 14–17 September 2017; pp. 1–6. [Google Scholar]
- Kishino, Y.; Takeuchi, K.; Shirai, Y.; Naya, F.; Ueda, N. Datafying city: Detecting and accumulating spatio-temporal events by vehicle-mounted sensors. In Proceedings of the 2017 IEEE International Conference on Big Data (Big Data), Boston, MA, USA, 11–14 December 2017; pp. 4098–4104. [Google Scholar]
- Koukoutsidis, I. Estimating Spatial Averages of Environmental Parameters Based on Mobile Crowdsensing. ACM Trans. Sens. Netw. (TOSN) 2018, 14, 2. [Google Scholar] [CrossRef]
- Deligiannakis, A.; Kotidis, Y.; Vassalos, V.; Stoumpos, V.; Delis, A. Another outlier bites the dust: Computing meaningful aggregates in sensor networks. In Proceedings of the 2009 IEEE 25th International Conference on Data Engineering, Shanghai, China, 29 March–2 April 2009; pp. 988–999. [Google Scholar]
- Giatrakos, N.; Kotidis, Y.; Deligiannakis, A.; Vassalos, V.; Theodoridis, Y. TACO: Tunable approximate computation of outliers in wireless sensor networks. In Proceedings of the 2010 ACM SIGMOD International Conference on Management of Data, ACM, Indianapolis, IN, USA, 6–10 June 2010; pp. 279–290. [Google Scholar]
- Branch, J.W.; Giannella, C.; Szymanski, B.; Wolff, R.; Kargupta, H. In-network outlier detection in wireless sensor networks. Knowl. Inf. Syst. 2013, 34, 23–54. [Google Scholar] [CrossRef]
- Liu, H.; Tk, A.K.; Thomas, J.P.; Hou, X. Cleaning Framework for BigData: An Interactive Approach for Data Cleaning. In Proceedings of the Big Data Computing Service and Applications (BigDataService), Oxford, UK, 29 March–1 April 2016; pp. 174–181. [Google Scholar]
- Dong, X.L.; Saha, B.; Srivastava, D. Less is more: Selecting sources wisely for integration. Proc. VLDB Endow. 2012, 6, 37–48. [Google Scholar] [CrossRef]
- Tasnim, S.; Caldas, J.; Pissinou, N.; Iyengar, S.; Ding, Z. Semantic-aware clustering-based approach of trajectory data stream mining. In Proceedings of the 2018 International Conference on Computing, Networking and Communications (ICNC), Maui, HI, USA, 5–8 March 2018; pp. 88–92. [Google Scholar]
- Burdakis, S.; Deligiannakis, A. Detecting outliers in sensor networks using the geometric approach. In Proceedings of the 2012 IEEE 28th International Conference on Data Engineering, Arlington, VA, USA, 1–5 April 2012; pp. 1108–1119. [Google Scholar]
- Franke, C.; Gertz, M. ORDEN: Outlier region detection and exploration in sensor networks. In Proceedings of the 2009 ACM SIGMOD International Conference on Management of Dat, Providence, RI, USA, 29 June–2 July 2009; pp. 1075–1078. [Google Scholar]
- Keally, M.; Zhou, G.; Xing, G. Watchdog: Confident event detection in heterogeneous sensor networks. In Proceedings of the Real-Time and Embedded Technology and Applications Symposium (RTAS), Stockholm, Sweden, 12–15 April 2010; pp. 279–288. [Google Scholar]
- Subramaniam, S.; Palpanas, T.; Papadopoulos, D.; Kalogeraki, V.; Gunopulos, D. Online outlier detection in sensor data using non-parametric models. In Proceedings of the 32nd International Conference on Very Large Data Bases, Seoul, Republic of Korea, 12–16 September 2006; pp. 187–198. [Google Scholar]
- Sheng, B.; Li, Q.; Mao, W.; Jin, W. Outlier detection in sensor networks. In Proceedings of the 8th ACM international Symposium on Mobile Ad Hoc Networking and Computing, ACM, Montreal, QC, Canada, 9–14 September 2007; pp. 219–228. [Google Scholar]
- Jeffery, S.R.; Alonso, G.; Franklin, M.J.; Hong, W.; Widom, J. Declarative support for sensor data cleaning. Lect. Notes Comput. Sci. 2006, 3968, 83–100. [Google Scholar]
- Sharma, A.B.; Golubchik, L.; Govindan, R. Sensor faults: Detection methods and prevalence in real-world datasets. ACM Trans. Sens. Netw. (TOSN) 2010, 6, 23. [Google Scholar] [CrossRef]
- Žliobaitė, I.; Hollmén, J. Fault tolerant regression for sensor data. In Proceedings of the Joint European Conference on Machine Learning and Knowledge Discovery in Databases, Prague, Czech Republic, 23–27 September 2013; Springer: Berlin/Heidelberg, Germany, 2013; pp. 449–464. [Google Scholar]
- Bosman, H.H.; Iacca, G.; Tejada, A.; Wörtche, H.J.; Liotta, A. Spatial anomaly detection in sensor networks using neighborhood information. Inf. Fusion 2017, 33, 41–56. [Google Scholar] [CrossRef]
- Zhang, Y.; Szabo, C.; Sheng, Q.Z. Cleaning environmental sensing data streams based on individual sensor reliability. In Proceedings of the International Conference on Web Information Systems Engineering, Hessaloniki, Greece, 12–14 October 2014; Springer: Berlin/Heidelberg, Germany, 2014; pp. 405–414. [Google Scholar]
- Liang, J.; Zhang, M.; Leung, V.C. A reliable trust computing mechanism based on multisource feedback and fog computing in social sensor cloud. IEEE Internet Things J. 2020, 7, 5481–5490. [Google Scholar] [CrossRef]
- Lv, D.; Zhu, S. Achieving secure big data collection based on trust evaluation and true data discovery. Comput. Secur. 2020, 96, 101937. [Google Scholar] [CrossRef]
- Wang, T.; Li, Y.; Fang, W.; Xu, W.; Liang, J.; Chen, Y.; Liu, X. A comprehensive trustworthy data collection approach in sensor-cloud systems. IEEE Trans. Big Data 2018, 8, 140–151. [Google Scholar] [CrossRef]
- Han, Q.; Meikang, Q.; Zhihui, L.; Memmi, G. An efficient key distribution system for data fusion in V2X heterogeneous networks. Inf. Fusion 2019, 50, 212–220. [Google Scholar]
- Yu, J.; Wang, K.; Li, P.; Xia, R.; Guo, S.; Guo, M. Efficient trustworthiness management for malicious user detection in big data collection. IEEE Trans. Big Data 2017, 8, 99–112. [Google Scholar] [CrossRef]
- Gao, Y.; Li, X.; Li, J.; Gao, Y.; Philip, S.Y. Info-trust: A multi-criteria and adaptive trustworthiness calculation mechanism for information sources. IEEE Access 2019, 7, 13999–14012. [Google Scholar] [CrossRef]
- Bragatto, T.; Bucarelli, M.A.; Bucarelli, M.S.; Carere, F.; Geri, A.; Maccioni, M. False data injection impact on high res power systems with centralized voltage regulation architecture. Sensors 2023, 23, 2557. [Google Scholar] [CrossRef]
- Dua, A.; Bulusu, N.; Feng, W.C.; Hu, W. Towards trustworthy participatory sensing. In Proceedings of the 4th USENIX Conference on Hot Topics in Security, USENIX Association, Montreal, QC, Canada, 11 August 2009; p. 8. [Google Scholar]
- Gilbert, P.; Cox, L.P.; Jung, J.; Wetherall, D. Toward trustworthy mobile sensing. In Proceedings of the Eleventh Workshop on Mobile Computing Systems & Applications, Annapolis, MD, USA, 22–23 February 2010; pp. 31–36. [Google Scholar]
- Saroiu, S.; Wolman, A. I am a sensor, and i approve this message. In Proceedings of the Eleventh Workshop on Mobile Computing Systems & Applications, Annapolis, MD, USA, 22–23 February 2010; pp. 37–42. [Google Scholar]
- Ghahramani, Z. An introduction to hidden Markov models and Bayesian networks. In Hidden Markov Models: Applications in Computer Vision; World Scientific: Singapore, 2001; pp. 9–41. [Google Scholar]
- Sokolova, M.; Lapalme, G. A systematic analysis of performance measures for classification tasks. Inf. Process. Manag. 2009, 45, 427–437. [Google Scholar] [CrossRef]
















| Notation | Description |
|---|---|
| Participant count | |
| Sensor data of type k contributed by participant i | |
| Contribution score of participant i with sensor type j | |
| Set of trusted participants | |
| Ending epoch for initial trusted set calculation | |
| Proximity score of participant i | |
| Reputation of feedback provider | |
| Reputation of participant i | |
| Number of feedback providers | |
| Feedback from participant f regarding data reported by participant i | |
| Feedback score of participant i | |
| Willingness of participant i for sensor data type j | |
| Context value of the trusted set of participants | |
| Context score of participant i with sensor type j | |
| Application-dependent threshold | |
| Timeliness score of participant i | |
| Trust of participant i with sensor type j | |
| Number of Trusted Participants | |
| Global 3-column table for storing participant reputation score | |
| C | Context matrix |
| N | Number of participants |
| Y | Reported data matrix |
| T | Final epoch |
| Observation dependence vector | |
| Hidden contextual dependence vector |
| Parameter | Value | Parameter | Value |
|---|---|---|---|
| ine | 0.4 | 0.15 | |
| 0.15 | 0 | ||
| 0 | 0.3 | ||
| 0 | threshold | 0.5 | |
| Epoch Length | 1 h | initEpoch_end | 24 h |
| reward_val | 0.2 | punish_val | 0.5 |
| Number of Malicious Participants | TP | TN | FP | FN |
|---|---|---|---|---|
| 55 | 85 | 33 | 22 | 5 |
| 75 | 64 | 39 | 31 | 6 |
| 85 | 56 | 51 | 34 | 4 |
| 88 | 19 | 53 | 35 | 38 |
| Precision | Recall | Accuracy | F1 Score | AUC | Specificity |
|---|---|---|---|---|---|
| 0.3518 | 0.3333 | 0.4965 | 0.3423 | 0.4678 | 0.6022 |
Disclaimer/Publisher’s Note: The statements, opinions and data contained in all publications are solely those of the individual author(s) and contributor(s) and not of MDPI and/or the editor(s). MDPI and/or the editor(s) disclaim responsibility for any injury to people or property resulting from any ideas, methods, instructions or products referred to in the content. |
© 2025 by the authors. Licensee MDPI, Basel, Switzerland. This article is an open access article distributed under the terms and conditions of the Creative Commons Attribution (CC BY) license (https://creativecommons.org/licenses/by/4.0/).
Share and Cite
Tasnim, S.; Pissinou, N.; Iyengar, S.S.; Boroojeni, K.G.; Ahmed, K. RCoD: Reputation-Based Context-Aware Data Fusion for Mobile IoT. Sensors 2025, 25, 1171. https://doi.org/10.3390/s25041171
Tasnim S, Pissinou N, Iyengar SS, Boroojeni KG, Ahmed K. RCoD: Reputation-Based Context-Aware Data Fusion for Mobile IoT. Sensors. 2025; 25(4):1171. https://doi.org/10.3390/s25041171
Chicago/Turabian StyleTasnim, Samia, Niki Pissinou, S. Sitharama Iyengar, Kianoosh G. Boroojeni, and Kishwar Ahmed. 2025. "RCoD: Reputation-Based Context-Aware Data Fusion for Mobile IoT" Sensors 25, no. 4: 1171. https://doi.org/10.3390/s25041171
APA StyleTasnim, S., Pissinou, N., Iyengar, S. S., Boroojeni, K. G., & Ahmed, K. (2025). RCoD: Reputation-Based Context-Aware Data Fusion for Mobile IoT. Sensors, 25(4), 1171. https://doi.org/10.3390/s25041171

