Sign in to use this feature.

Years

Between: -

Subjects

remove_circle_outline
remove_circle_outline
remove_circle_outline
remove_circle_outline
remove_circle_outline
remove_circle_outline
remove_circle_outline
remove_circle_outline
remove_circle_outline

Journals

remove_circle_outline
remove_circle_outline
remove_circle_outline
remove_circle_outline
remove_circle_outline
remove_circle_outline
remove_circle_outline
remove_circle_outline
remove_circle_outline
remove_circle_outline
remove_circle_outline
remove_circle_outline
remove_circle_outline
remove_circle_outline
remove_circle_outline
remove_circle_outline
remove_circle_outline
remove_circle_outline
remove_circle_outline
remove_circle_outline
remove_circle_outline
remove_circle_outline
remove_circle_outline
remove_circle_outline
remove_circle_outline

Article Types

Countries / Regions

remove_circle_outline
remove_circle_outline
remove_circle_outline
remove_circle_outline
remove_circle_outline

Search Results (2,046)

Search Parameters:
Keywords = reputation

Order results
Result details
Results per page
Select all
Export citation of selected articles as:
27 pages, 1313 KB  
Article
RepuTrade: A Reputation-Based Deposit Consensus Mechanism for P2P Energy Trading in Smart Environments
by Xingyu Yang, Ben Chen and Hui Cui
Computers 2026, 15(3), 199; https://doi.org/10.3390/computers15030199 - 23 Mar 2026
Abstract
Current peer-to-peer (P2P) energy trading systems face important challenges in decentralised trading environments, particularly in managing participant trustworthiness, preventing dishonest behaviour, and mitigating transaction defaults. These limitations reduce transaction reliability and weaken trust among participants in community-scale energy trading markets. Although P2P energy [...] Read more.
Current peer-to-peer (P2P) energy trading systems face important challenges in decentralised trading environments, particularly in managing participant trustworthiness, preventing dishonest behaviour, and mitigating transaction defaults. These limitations reduce transaction reliability and weaken trust among participants in community-scale energy trading markets. Although P2P energy trading enables communities to exchange locally generated renewable energy in smart environments, existing platforms often lack effective mechanisms to regulate participant behaviour and support reliable transactions. This paper proposes RepuTrade, a blockchain-based P2P energy trading platform tailored for community-scale microgrids. The proposed framework integrates a reputation-based consensus mechanism and a dynamic collateral management scheme that is directly linked to participant reputations such that trading reliability can be strengthened through behavioural incentives. In addition, a reputation-driven matching algorithm preferentially pairs highly reputable participants to improve market stability and trust. Simulation-based evaluation, involving 200 users across 8 trading rounds, shows that the RepuTrade framework consistently achieves higher trade success rates (92–99% compared to 83–95% in the baseline) and reduces defaults by more than 40% (27–44 vs. 55–72 per run). The results further reveal a strong negative correlation between user reputation and default probability, indicating that higher reputation is associated with a lower likelihood of dishonest behaviour. Overall, under the simulated settings considered in this study, the proposed framework improves transaction reliability and execution efficiency by reducing failed trades and lowering consensus validation latency. These findings contribute to the design of trust-aware decentralised energy trading mechanisms and provide simulation-based insights for developing more reliable and transparent community-scale renewable energy markets. Full article
Show Figures

Figure 1

43 pages, 4621 KB  
Article
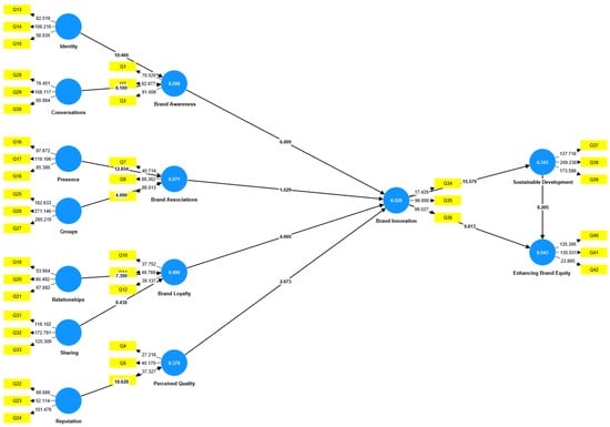
Sustainable Development and Innovation as Drivers of Brand Equity Enhancement in Knowledge-Based Enterprises: Empirical Evidence from Science Parks
by Sanee Mohammad Ebrahimzadeh, Somayeh Labafi, Datis Khajeheian, Taher Roshandel Arbatani and Samad Sepasgozar
Sustainability 2026, 18(6), 3115; https://doi.org/10.3390/su18063115 - 22 Mar 2026
Abstract
Sustainable development and innovation are increasingly relevant in startup branding strategies. While existing studies have explored sustainability-oriented branding and social media–brand equity relationships, evidence remains limited on how sustainability and social media attributes jointly shape brand equity in knowledge-based enterprises (KBEs). To address [...] Read more.
Sustainable development and innovation are increasingly relevant in startup branding strategies. While existing studies have explored sustainability-oriented branding and social media–brand equity relationships, evidence remains limited on how sustainability and social media attributes jointly shape brand equity in knowledge-based enterprises (KBEs). To address this specific underexplored area, this study develops the Innovation–Brand Equity–Sustainability (IBES) model to enhance brand equity in KBEs through strategic social media use, focusing on managers’ perspectives from such enterprises in science and technology parks. Employing partial least squares structural equation modeling, the research analyzed data from 471 participants in science and technology parks and KBEs, using SmartPLS 4 to ensure statistical robustness. The findings confirmed 13 proposed hypotheses, demonstrating IBES’ robustness. Social media factors, including identity (β = 0.510 for brand awareness), active presence (β = 0.561 for brand associations), content sharing (β = 0.401 for brand loyalty), and reputation (β = 0.615 for perceived quality), may influence components of brand equity. Brand innovation emerged as the strongest driver, with a total effect of 0.668 on brand equity enhancement and 0.586 on sustainable development. Both constructs serve as critical factors, channeling social media effects through a multistage indirect path (β = 0.225 for brand innovation to sustainable development to brand equity). This study bridges critical gaps in the digital branding literature and underscores the pivotal role of brand innovation and sustainable development in achieving competitive advantage in knowledge-driven economies. Full article
Show Figures

Figure 1

21 pages, 301 KB  
Article
The Remission Phase in the Canonization of Francis Borgia (1649–1655)
by Henar Pizarro Llorente
Religions 2026, 17(3), 401; https://doi.org/10.3390/rel17030401 - 21 Mar 2026
Abstract
This article examines a decisive yet relatively understudied stage in the canonization process of Francis Borgia, third superior general of the Society of Jesus, by focusing on the remission phase carried out between 1649 and 1655. Although Borgia had been beatified in 1624, [...] Read more.
This article examines a decisive yet relatively understudied stage in the canonization process of Francis Borgia, third superior general of the Society of Jesus, by focusing on the remission phase carried out between 1649 and 1655. Although Borgia had been beatified in 1624, the path toward his canonization extended over several decades, shaped by a combination of institutional, political, and procedural factors that slowed its progress. The pontificate of Innocent X marked a turning point, creating favorable conditions for renewed momentum within the Roman Curia. Following authorization by the Congregation of Rites, the remission phase formally commenced in 1649, leading to a series of witness examinations conducted in key Iberian centers—Toledo, Madrid, and Valencia—beginning in 1650. By analyzing the selection of witnesses in each location and the substance of their testimonies, the article sheds light on the strategies employed to consolidate Borgia’s reputation for sanctity and to address juridical expectations in Rome. Particular attention is given to the coordination between local ecclesiastical authorities and the central institutions of the Holy See. The study argues that the efficiency and coherence of this phase, culminating in the issuance of the remission briefs in 1655, played a crucial role in advancing the cause toward its successful conclusion in 1670. Full article
15 pages, 1495 KB  
Perspective
Artificial Intelligence in Higher Education: A Global Statistical Synthesis for Policy and Quality Assurance Reform
by Rima J. Isaifan
Educ. Sci. 2026, 16(3), 483; https://doi.org/10.3390/educsci16030483 - 20 Mar 2026
Abstract
Artificial intelligence has transitioned from a peripheral innovation to a core infrastructure shaping higher education within a remarkably short period. While conceptual debates on AI ethics, pedagogy, and academic integrity are expanding, empirically grounded syntheses that consolidate global evidence remain limited. This study [...] Read more.
Artificial intelligence has transitioned from a peripheral innovation to a core infrastructure shaping higher education within a remarkably short period. While conceptual debates on AI ethics, pedagogy, and academic integrity are expanding, empirically grounded syntheses that consolidate global evidence remain limited. This study addresses this gap by providing an integrated cross-domain synthesis and statistically grounded overview of AI adoption, use, and governance across higher education systems. Using a secondary statistical synthesis methodology, the study aggregates large-scale quantitative data published between 2021 and 2025 from reputable international sources, including student and faculty surveys, institutional reports, research indices, and regulatory datasets. Results demonstrate near-universal student adoption of AI tools, rapid but uneven professional engagement among faculty and staff, a sharp rise in AI-related academic misconduct, accelerating impacts on research production and scientific workflows, and persistent gaps in institutional preparedness, policy development, and equity. The findings reveal a widening disconnect between bottom-up AI adoption and top-down governance mechanisms, particularly in assessment design, academic integrity frameworks, faculty capacity building, and quality assurance systems. Moreover, this paper argues that AI can no longer be treated as an optional educational technology and must instead be governed as a foundational component of higher education infrastructure. The study concludes by outlining evidence-based policy implications for institutions, regulators, and quality assurance agencies, emphasizing the need for coordinated, adaptive, and equity-oriented governance frameworks grounded in empirical realities rather than speculative narratives. Full article
(This article belongs to the Topic Explainable AI in Education)
Show Figures

Figure 1

19 pages, 255 KB  
Article
From Compliance to Culture: Managerial Perceptions of Environmental Sustainability in Five-Star Hotels in Gauteng, South Africa
by Tidimalo Nong, Carina Kleynhans, Antionette Roeloffze and Joseph Robert Roberson
Sustainability 2026, 18(6), 3045; https://doi.org/10.3390/su18063045 - 20 Mar 2026
Abstract
Sustainability has become a strategic priority in the hospitality sector, particularly in luxury hotels where environmental responsibility must be balanced with high service quality. This study explores hotel managers’ perceptions and experiences of implementing environmentally friendly practices in five-star hotels in Gauteng, South [...] Read more.
Sustainability has become a strategic priority in the hospitality sector, particularly in luxury hotels where environmental responsibility must be balanced with high service quality. This study explores hotel managers’ perceptions and experiences of implementing environmentally friendly practices in five-star hotels in Gauteng, South Africa. A qualitative research approach, guided by a constructivist paradigm, was employed using semi-structured interviews with seventeen middle-level managers from major departments in the hotels. Data were manually and software-coded, and thematic analysis produced nine interrelated themes: Adoption Culture, Collaboration Networks, Consumption Tracking, Guest Revenue Drivers, Operational Shifts, Operational Prioritisation, Staff Enablement, Structural Constraints, and Valued Pragmatism. The findings indicate that managers generally perceive sustainability as both an ethical responsibility and a business imperative, particularly in relation to brand reputation, guest expectations, and cost efficiency. However, implementation is constrained by infrastructural instability, high initial investment costs, limited supplier availability, and occasional resistance from staff and guests. The study highlights the importance of embedding sustainability within governance systems, staff practices, and organisational culture to support long-term adoption. This research offers context-specific insights into sustainability implementation in South African luxury hotels and provides practical value for hotel managers, policymakers, and sustainability stakeholders operating in resource-constrained environments. Full article
63 pages, 13996 KB  
Article
Teaching and Research Optimization Algorithms Based on Social Networks for Global Optimization and Real Problems
by Xinyi Huang, Guangyuan Jin and Yi Fang
Symmetry 2026, 18(3), 529; https://doi.org/10.3390/sym18030529 - 19 Mar 2026
Abstract
The modeling and control of photovoltaic and other engineering systems highly depend on the accuracy of parameter identification. However, parameter extraction for photovoltaic equivalent models typically presents a high-dimensional, strongly nonlinear, and multimodal global optimization problem. Traditional analytical or gradient-based methods are sensitive [...] Read more.
The modeling and control of photovoltaic and other engineering systems highly depend on the accuracy of parameter identification. However, parameter extraction for photovoltaic equivalent models typically presents a high-dimensional, strongly nonlinear, and multimodal global optimization problem. Traditional analytical or gradient-based methods are sensitive to initial values and easily fall into local optima. To address this issue, this paper proposes a multi-strategy improvement teaching–learning-based optimization algorithm (SNTLBO). A social learning network structure with symmetric interaction topology is introduced into the classical TLBO framework to characterize the knowledge propagation relationships among individuals. Through this symmetric and balanced information exchange mechanism, learners can be guided not only by the teacher but also by multiple neighbors within the network, enabling more diverse and symmetric exploration of the search space and enhancing population diversity and global search capability. Furthermore, a teacher reputation mechanism is constructed, where historical performance is used to weight teacher influence, strengthening the guidance of high-quality solutions and accelerating convergence. Meanwhile, an adaptive teaching factor is designed to dynamically adjust the teaching intensity based on the distance between the teacher and students in the solution space, maintaining a dynamic balance (symmetry) between exploration and exploitation. To evaluate the performance of the proposed algorithm, SNTLBO is systematically compared with 11 advanced optimization algorithms on two benchmark test suites, CEC2017 (30D, 50D) and CEC2022 (10D, 20D). Non-parametric statistical tests are conducted to assess significance. The results demonstrate that SNTLBO shows competitive advantages in terms of convergence speed, solution accuracy, and stability. Finally, SNTLBO is applied to the parameter estimation of single-diode, double-diode, triple-diode, quadruple-diode, and photovoltaic module models. Experimental results show that the proposed algorithm achieves higher identification accuracy and robustness in terms of RMSE, IAE, and I–V/P–V curve fitting, verifying its effectiveness and practical value for complex global optimization and practical engineering applications. Full article
(This article belongs to the Special Issue Symmetry and Asymmetry in Optimization Algorithms and System Control)
Show Figures

Figure 1

29 pages, 2311 KB  
Review
Trust Assessment Methods for Blockchain-Empowered Internet of Things Systems: A Comprehensive Review
by Mostafa E. A. Ibrahim, Yassine Daadaa and Alaa E. S. Ahmed
Appl. Sci. 2026, 16(6), 2949; https://doi.org/10.3390/app16062949 - 18 Mar 2026
Viewed by 60
Abstract
The Internet of things (IoT) is rapidly pervading daily life and linking everything. Although higher connectivity offers many benefits, including higher productivity, robotic processes, and decision-making guided by data, it also poses a number of security dangers. Modern risks to data authenticity and [...] Read more.
The Internet of things (IoT) is rapidly pervading daily life and linking everything. Although higher connectivity offers many benefits, including higher productivity, robotic processes, and decision-making guided by data, it also poses a number of security dangers. Modern risks to data authenticity and confidence are getting harder to handle through typical central safety solutions. In this paper, we present a detailed investigation of the latest innovations and approaches for assessing reputation and confidence in the blockchain-empowered Internet of Things (BIoT) area. A comprehensive literature search was conducted across major electronic databases, including IEEE, Springer, Elsevier, Wiley, MDPI, and top indexed conference proceedings. The publication year was restricted to the period from 2018 to 2025. The methodological quality of a total of 122 studies met the inclusion criteria assessed using predefined quality measures. We figure out existing flaws at each layer of IoT architecture, illustrating how autonomous, transparent, and impenetrable blockchain ledgers address these flaws. Plus, we analytically compare public, private, consortium, and hybrid blockchain networking architectures to emphasize the underlying compromises among security, reliability, and decentralization. We also assess how reputation evaluation techniques evolved over time, moving from classical fuzzy logic and weighted average models to modern mature game theory and machine learning (ML) models, addressing their limitations in terms of computational overhead, scalability, adaptability, and deployment feasibility in IoT systems. Additionally, we outline future directions for BIoT system trust assessment and identify research limitations and potential solutions. Our research indicates that although ML-driven models offer more accurate predictions for identifying illicit node activities, they are still constrained by limited unbalanced data and high processing overhead. Full article
(This article belongs to the Special Issue Advanced Blockchain Technologies and Their Applications)
Show Figures

Figure 1

19 pages, 1170 KB  
Article
Brand Trust as Value Chain Governance: How Perceived Consumer Demand Reshapes Profit Distribution in Mongolia’s Cashmere Industry
by Baigalzaya Batsukh, Chen Fei and Dafia Chabi Simin Najib
Sustainability 2026, 18(6), 2970; https://doi.org/10.3390/su18062970 - 18 Mar 2026
Viewed by 151
Abstract
This study examines brand trust as a governance mechanism within the Mongolian cashmere value chain and explores its impact on profit distribution and business relationships. Using a qualitative methodology involving key stakeholder interviews, document analysis and case studies, the study shows that brand [...] Read more.
This study examines brand trust as a governance mechanism within the Mongolian cashmere value chain and explores its impact on profit distribution and business relationships. Using a qualitative methodology involving key stakeholder interviews, document analysis and case studies, the study shows that brand trust acts as a powerful form of soft power. It institutionalises values such as ethical sourcing and sustainability, which simultaneously strengthen consumer loyalty and reconfigure power dynamics upstream. Transparency and traceability are the tools that enforce compliance with brand standards. These findings extend global value chain theory by incorporating intangible factors such as trust and reputation into models of value creation and distribution. Consequently, policies aimed at enhancing brand trust are presented as a viable strategy to promote sustainable and equitable outcomes in similar resource-based sectors. Full article
Show Figures

Figure 1

33 pages, 1277 KB  
Article
On the Sustainability of Software Recommendations: Analyzing the Least-Answered Site on the Stack Exchange Network
by Arjumand Fatima and Onaiza Maqbool
Data 2026, 11(3), 58; https://doi.org/10.3390/data11030058 - 16 Mar 2026
Viewed by 64
Abstract
As Stack Overflow considers asking for any sort of recommendation to be off-topic, Stack Exchange Network launched Software Recommendations, a particular question-answering (Q&A) community for this purpose. Out of 182 such Q&A sites, Software Recommendations has been the least-answered site for the last [...] Read more.
As Stack Overflow considers asking for any sort of recommendation to be off-topic, Stack Exchange Network launched Software Recommendations, a particular question-answering (Q&A) community for this purpose. Out of 182 such Q&A sites, Software Recommendations has been the least-answered site for the last 5 years, with only a 57% answered rate. We analyzed the complete data dump of Software Recommendations, containing data from its inception in 2014 to October 2025, to determine what makes it the least-answered site. We observed that incorrect tagging reduces the chances of questions being discovered by experts, and for this reason, certain topics receive better answers than others. Most questions are asked by users with a reputation of less than 300, while most of the answers are provided by those having a higher reputation. In total, 78.86% of users registered on the site act as silent observers and only 21.14% are involved in Q&A activities. Although knowledge-sharing activities on the site have decreased over this period, new users keep joining, which shows the need for software recommendations despite the increasing popularity of AI tools. Although similar questions are often asked and get closed as off-topic on sister sites, a very small proportion of such questions are migrated to Software Recommendations due to the lengthy migration process and reputation reversal on that site, which holds Software Recommendations back from attracting knowledgeable users and gaining popularity. Our findings suggest that the Stack Exchange community needs to revise its incentive mechanisms and devise ways to attract knowledgeable Stack Overflow users to the Software Recommendations site. Full article
(This article belongs to the Section Information Systems and Data Management)
Show Figures

Graphical abstract

25 pages, 1015 KB  
Article
Incentive Strategies in Security Crowdsourced Testing Platforms Under White Hat Preferences
by Liurong Zhao, Qiongyao Wang and Xinyi Zhu
Mathematics 2026, 14(6), 1005; https://doi.org/10.3390/math14061005 - 16 Mar 2026
Viewed by 83
Abstract
Platforms often fail to incorporate the needs of white hats who prefer non-material incentives when designing reward schemes. To study incentive design under private preference information, this paper develops a dynamic game with incomplete information and examines how appointing communications specialists can facilitate [...] Read more.
Platforms often fail to incorporate the needs of white hats who prefer non-material incentives when designing reward schemes. To study incentive design under private preference information, this paper develops a dynamic game with incomplete information and examines how appointing communications specialists can facilitate truthful preference disclosure and improve the platform’s incentive strategy. The results indicate that the platform’s decision depends on the white hats’ net utility from participation, white hats’ reputational losses, and the platform’s prior probability that white hats participate. When the platform appoints communications specialists, white hats disclose their preference information truthfully once their net utility from participation exceeds a threshold. Under this condition, the platform can identify their preference types and match incentive types to white hats’ preferences. Under misaligned signaling, where white hats use material (non-material) incentives to signal non-material (material) preferences, the platform has no incentive to appoint communications specialists. Full article
Show Figures

Figure 1

31 pages, 1881 KB  
Article
DRT-PBFT: A Novel PBFT-Optimized Consensus Algorithm for Blockchain Based on Dynamic Reputation Tree
by Xiaohong Deng, Lihui Liu, Zhigang Chen, Xinrong Lu and Juan Li
Future Internet 2026, 18(3), 150; https://doi.org/10.3390/fi18030150 - 16 Mar 2026
Viewed by 144
Abstract
While the practical Byzantine fault tolerance (PBFT) consensus algorithm provides excellent theoretical fault tolerance, its performance in practical blockchain applications is often constrained by high communication overhead, especially in scenarios with limited node resources and high mobility, such as Vehicular Ad hoc Networks [...] Read more.
While the practical Byzantine fault tolerance (PBFT) consensus algorithm provides excellent theoretical fault tolerance, its performance in practical blockchain applications is often constrained by high communication overhead, especially in scenarios with limited node resources and high mobility, such as Vehicular Ad hoc Networks (VANETs). To address these blockchain-specific limitations without sacrificing the fundamental safety guarantees against arbitrary Byzantine failures, this paper proposes a novel PBFT-optimized consensus algorithm based on a dynamic reputation tree (DRT-PBFT). First, to address the issue of limited storage resources, we propose a block synchronization method based on differentiated storage of reputation values. The lower-reputation nodes retain only “micro-blocks” that contain essential information of the complete block, while the higher-reputation nodes store and synchronize complete blocks, significantly reducing the storage overhead. Second, on the basis of the reputation values, we construct a tree communication topology from the leaf node layer in a bottom-up manner. Messages are transmitted from multiple child nodes to their parent node, resolving the problem of a single message source in the tree structure. Additionally, we optimize the consensus process, reducing the number of mutual communications between nodes to a linear level. Finally, to address the problem of malicious nodes in the tree structure, we introduce a dynamic reconstruction mechanism for the reputation tree. When child node messages are inconsistent, the parent node splits the child nodes to mitigate the influence of malicious nodes, enhancing both the security and scalability of the consensus process. The experimental results show that, compared with typical improved PBFT algorithms, the proposed algorithm improves the average throughput by 34.1% and reduces the average latency by 27.4%. Moreover, compared with the full replication block synchronization method, the differentiated storage method reduces the storage overhead by 26.3%, making it potentially more suitable for large-scale VANET scenarios. Full article
Show Figures

Figure 1

16 pages, 2783 KB  
Article
The Spectacle of Power: Hybridisation and Digital Populism in White House Communication (2025)
by Ana Velasco Molpeceres, Jonattan Rodríguez Hernández and Eglée Ortega Fernández
Soc. Sci. 2026, 15(3), 186; https://doi.org/10.3390/socsci15030186 - 14 Mar 2026
Viewed by 253
Abstract
This article examines the institutional communication of the White House on X (formerly Twitter) during the first nine months of Donald Trump’s second presidency (January–October 2025). Through a mixed-methods approach that combines thematic, network, and lexical–discursive analysis, the study explores how the presidential [...] Read more.
This article examines the institutional communication of the White House on X (formerly Twitter) during the first nine months of Donald Trump’s second presidency (January–October 2025). Through a mixed-methods approach that combines thematic, network, and lexical–discursive analysis, the study explores how the presidential account (@WhiteHouse) integrates informational, emotional, and performative dimensions within a hybrid media system. The dataset comprises 4297 tweets, analysed through Graphext, NodeXL/Gephi, and Sketch Engine. The findings reveal that audiovisual and symbolic content dominate over political or policy-related topics, while financial and technological actors occupy central positions in the network of mentions. Lexical analysis highlights three semantic nuclei—Trump, President, and America—that structure a moralised and affective narrative of leadership. The results reflect that White House communication operates as a hybrid and post-bureaucratic model, where political legitimacy increasingly depends on visibility and reputational association with market logics. Full article
(This article belongs to the Special Issue Big Data and Political Communication)
Show Figures

Figure 1

53 pages, 636 KB  
Article
Sexual Abuse in the Roman Catholic Church as Spiritual Violence: The Loyola Community Under Accusations Against Marko Ivan Rupnik
by Jasna Podreka and Marija Zidar
Religions 2026, 17(3), 351; https://doi.org/10.3390/rel17030351 - 12 Mar 2026
Viewed by 494
Abstract
This qualitative research examines the systemic dynamics of the abuse of consecrated women in the Loyola Community, analyzing the allegations against the influential sacral artist and theologian Marko Ivan Rupnik within broader scholarly debates on abuse in Catholic ecclesial contexts. Drawing on survivor [...] Read more.
This qualitative research examines the systemic dynamics of the abuse of consecrated women in the Loyola Community, analyzing the allegations against the influential sacral artist and theologian Marko Ivan Rupnik within broader scholarly debates on abuse in Catholic ecclesial contexts. Drawing on survivor testimonies, the study explores how clericalism and forms of spiritual authority were instrumentalized within this specific community to produce a sequential chain of harm encompassing sexual, psychological, and spiritual violence against consecrated women. The analysis demonstrates how vulnerance—the systemic capacity to produce harm—is engineered through institutional configurations and theological distortions. This condition normalizes exploitation and silences survivors over extended periods. Moving beyond individual pathology, the study critically examines systemic power asymmetries, hermeneutical injustice, and forms of institutional betrayal that emerge when the protection of religious reputation takes precedence over accountability and human dignity. Finally, the article highlights the significance of public testimony and digital movements such as #NunsToo in disrupting cultures of silence and contributing to the restoration of epistemic justice for survivors. Full article
25 pages, 379 KB  
Article
Dynamics of the Approach to Enterprise Risk Management in the Context of Economic Growth and Global Crises
by Mária Hudáková, Alena Kuricová and Matej Masár
Adm. Sci. 2026, 16(3), 141; https://doi.org/10.3390/admsci16030141 - 12 Mar 2026
Viewed by 257
Abstract
The primary objective of this research is to identify, analyse, and compare the development of risk management approaches adopted by Slovak industrial enterprises in two distinct economic periods: during a phase of economic growth (2019) and during a period of global crises and [...] Read more.
The primary objective of this research is to identify, analyse, and compare the development of risk management approaches adopted by Slovak industrial enterprises in two distinct economic periods: during a phase of economic growth (2019) and during a period of global crises and regional crises with significant global implications, which have had substantial global economic, energy, and security impacts, as well as the increasing intensity of cyber threats affecting enterprises in Slovakia (2022–2023). Emphasis is placed on identifying key factors influencing the effectiveness of risk management implementation, as well as on assessing the use of individual stages of the risk management process in business practice. The research has a quantitative character and consists of two empirical surveys conducted through questionnaire-based data collection. The first survey was carried out in 2019 under conditions of economic growth, while the second was conducted in 2022–2023 in the context of multiple global crises and regional crises, particularly the impacts of the COVID-19 pandemic, the global energy crisis, the military conflict in Ukraine, and increasing cyber threats. The first study obtained 450 valid responses, and the second obtained 390 responses from enterprises operating across various sectors of the private economy in Slovakia. The results of the study confirmed the existence of significant differences in companies’ approaches to risk management depending on the economic context. During the period of economic growth, the main reason for insufficient attention to risks was low staff motivation, with enterprises focusing primarily on risk identification, analysis, and assessment, and less on designing specific mitigation measures. In contrast, during the period of global crises and regional crises, companies’ attitudes shifted, with stronger resistance to implemented measures but, at the same time, increased attention to the development of risk-reduction actions. Neglecting systematic preventive steps increases companies’ vulnerability to crises, which may result in operational, financial, and reputational losses, delayed responses, and a decline in competitiveness. The two-phase nature of the research made it possible to capture the dynamics of managerial behaviour under different economic conditions and to formulate practical recommendations for integrating risk management into both strategic and operational levels of management. Full article
(This article belongs to the Topic Risk Management in Public Sector)
14 pages, 268 KB  
Proceeding Paper
IoT and AI-Driven Approaches for Energy Optimization in Off-Grid Solar Systems
by Panagiotis Priamos Koumoulos, Leonidas Mazarakis, Stylianos Katsoulis, Fotios Zantalis and Grigorios Koulouras
Eng. Proc. 2026, 124(1), 67; https://doi.org/10.3390/engproc2026124067 - 10 Mar 2026
Viewed by 387
Abstract
The growing reliance on renewable energy sources, particularly solar photovoltaics (PVs), requires intelligent management strategies to address challenges of intermittency, storage, and efficiency in autonomous microgrids. This review investigates IoT-based solutions for energy optimization, focusing on hardware platforms, communication protocols, and intelligent control [...] Read more.
The growing reliance on renewable energy sources, particularly solar photovoltaics (PVs), requires intelligent management strategies to address challenges of intermittency, storage, and efficiency in autonomous microgrids. This review investigates IoT-based solutions for energy optimization, focusing on hardware platforms, communication protocols, and intelligent control strategies that enhance the reliability and autonomy of PV-powered systems. This review follows a structured methodological protocol including predefined research questions, database selection, screening criteria, and systematic categorization of studies of IoT-enabled solar microgrid applications, relying on peer-reviewed journal articles, reputable conference proceedings, and scholarly works published between 2020 and 2025. The focus centers on microcontroller-based platforms (e.g., Arduino, ESP32, NodeMCU, TTGO LoRa32) and Single-Board Computers (SBCs) (e.g., Raspberry Pi), alongside the integration of optimization algorithms with Machine Learning (ML) and Neural Network (NN) approaches. Results highlight that lightweight microcontrollers offer cost-effective monitoring, ESP32 and NodeMCU balance real-time analytics with energy efficiency, Raspberry Pi supports edge-level AI processing, and LoRa enables scalable long-range communication for remote PV systems. Furthermore, optimization algorithms (PSO, WOA-SA) and neural models (ANN, LSTM, CNN–LSTM) are explored as methods to improve forecasting accuracy, fault detection, and demand-side management. Conclusions indicate that IoT-based architectures significantly improve energy efficiency, support predictive maintenance, and enable scalable deployment of autonomous solar microgrids. The study emphasizes the necessity of hybrid IoT architectures, combining edge and cloud intelligence, to balance computational complexity, power constraints, and cybersecurity requirements. These findings provide practical insights into designing robust, cost-effective, and scalable IoT-enabled PV microgrids that contribute to decentralized and sustainable energy transitions. Full article
(This article belongs to the Proceedings of The 6th International Electronic Conference on Applied Sciences)
Back to TopTop