A Dual-Polarized and Broadband Multiple-Antenna System for 5G Cellular Communications
Abstract
1. Introduction
2. Characteristics of the Dual-Polarized CPW-Fed Antenna
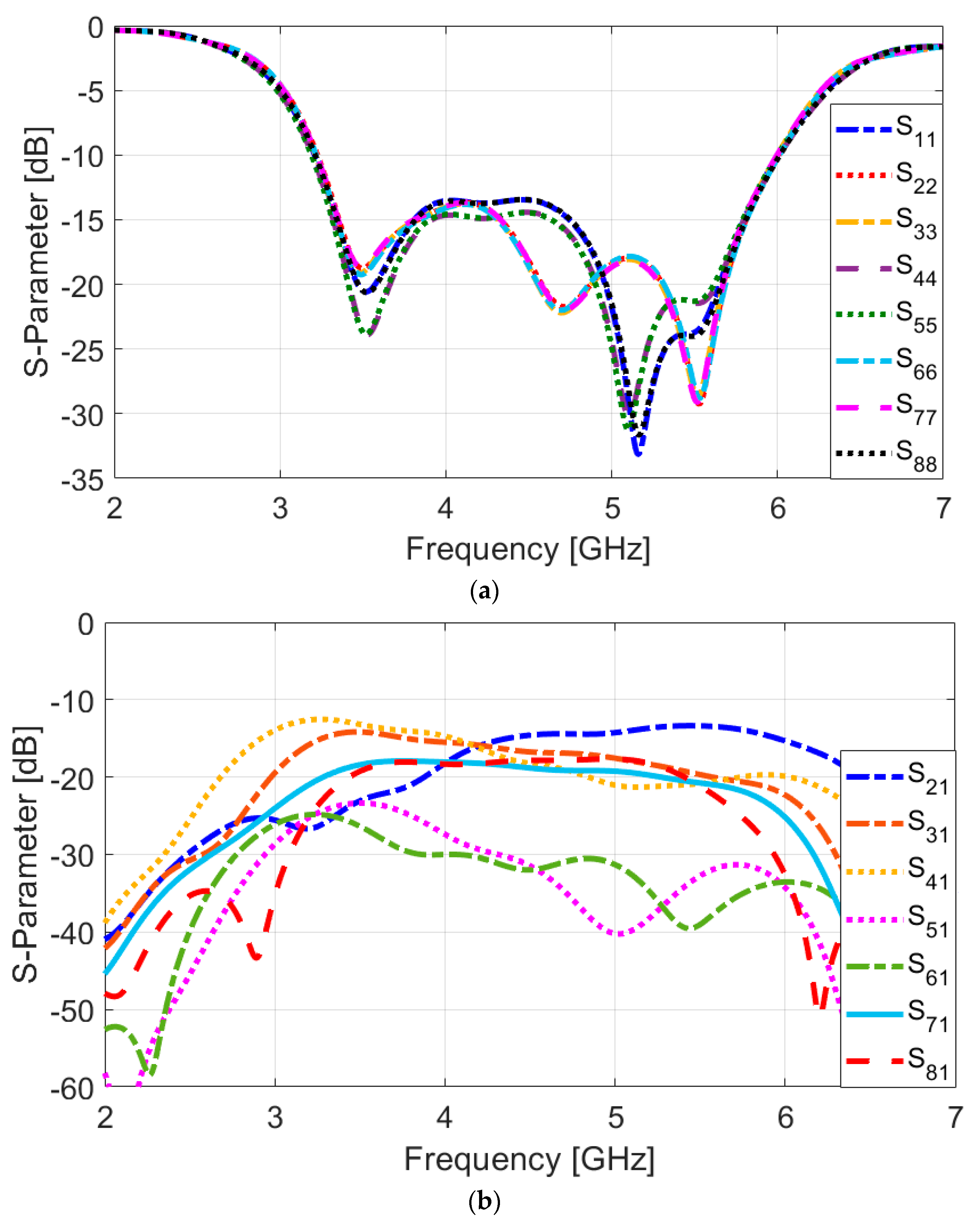
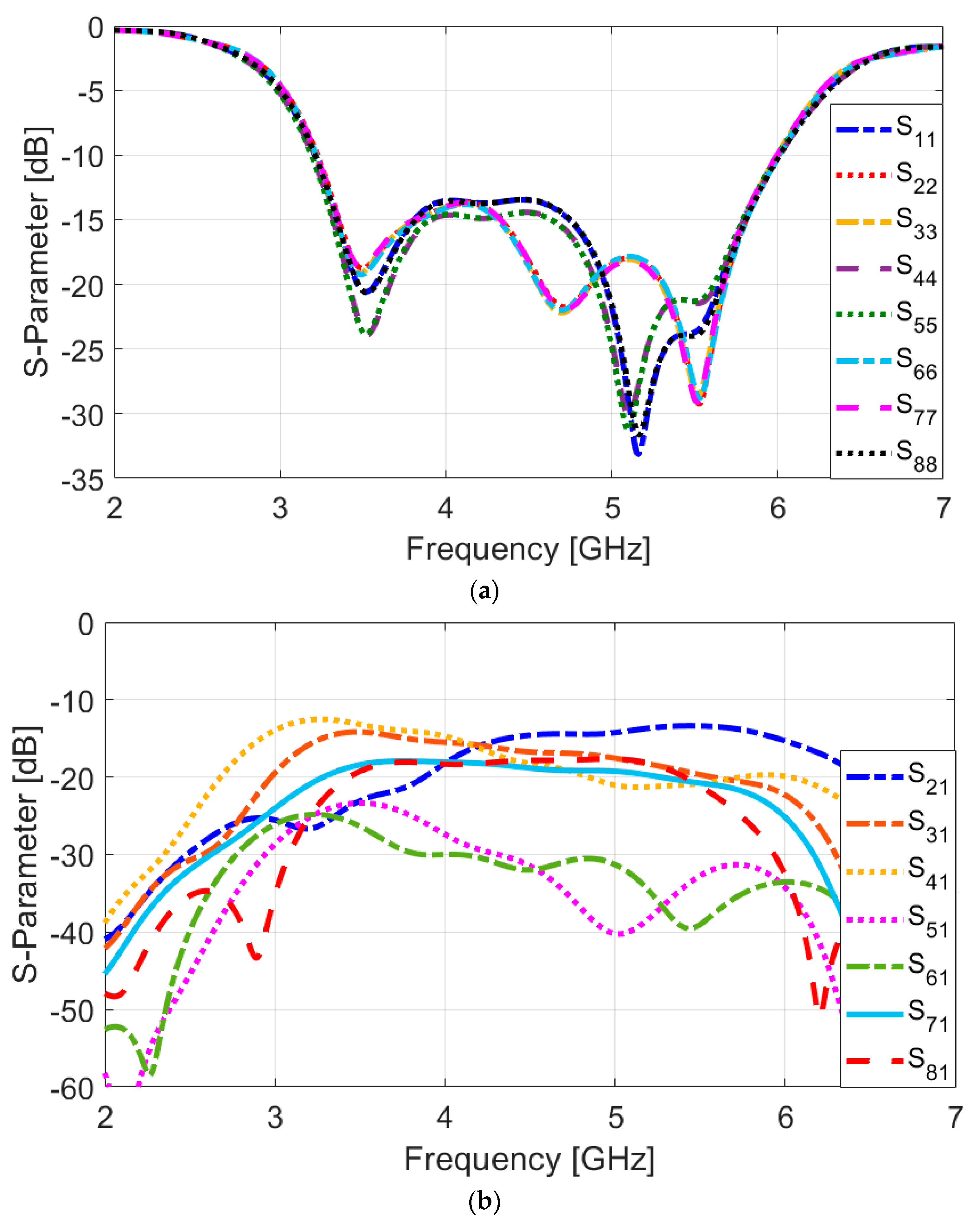
3. Fundamental Characteristics of the Suggested MIMO Antenna
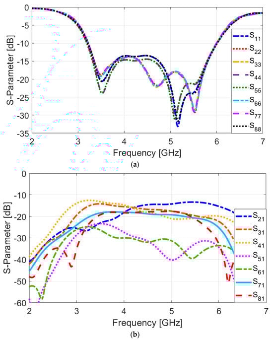
4. Prototyping and Measurements of the Suggested Design
5. SAR Evaluation
6. Comparison
7. Possible Integration of a High-Frequency Antenna
8. Conclusions
Author Contributions
Funding
Institutional Review Board Statement
Informed Consent Statement
Data Availability Statement
Conflicts of Interest
References
- Osseiran, A.; Boccardi, F.; Braun, V.; Kusume, K.; Marsch, P.; Maternia, M.; Queseth, O.; Schellmann, M.; Schotten, H.; Taoka, H.; et al. Scenarios for 5G mobile and wireless communications: The vision of the METIS project. IEEE Commun. Mag. 2014, 52, 26–35. [Google Scholar] [CrossRef]
- Yarali, A. Fifth Generation (5G) Cellular Technology. In Public Safety Networks from LTE to 5G; Wiley: Hoboken, NJ, USA, 2020; pp. 171–188. [Google Scholar]
- Wang, Y.; Li, J.; Huang, L.; Jing, Y.; Georgakopoulos, A.; Demestichas, P. 5G mobile: Spectrum broadening to higher-frequency bands to support high data rates. IEEE Veh. Technol. Mag. 2014, 9, 39–46. [Google Scholar] [CrossRef]
- Al-Yasir, Y.; Abdulkhaleq, A.M.; Parchin, N.O.; Elfergani, I.T.; Rodriguez, J.; Noras, J.M.; Abd-Alhameed, R.A.; Rayit, A.; Qahwaji, R. Green and Highly Efficient MIMO Transceiver System for 5G Heterogenous Networks. IEEE Trans. Green Commun. Netw. 2022, 6, 500–511. [Google Scholar] [CrossRef]
- Jensen, M.; Wallace, J. A review of antennas and propagation for MIMO wireless communications. IEEE Trans. Antennas Propag. 2004, 52, 2810–2824. [Google Scholar] [CrossRef]
- Luo, F.-L.; Zhang, C. Massive MIMO for 5G: Theory, Implementation and Prototyping. In Signal Processing for 5G: Algorithms and Implementations; Wiley: Hoboken, NJ, USA, 2016; pp. 189–230. [Google Scholar]
- Sharawi, M.S. Printed MIMO Antenna Engineering; Artech House: Norwood, MA, USA, 2014. [Google Scholar]
- Zhang, K.; Wang, Y.; Burokur, S.N. Generating Dual-Polarized Vortex Beam by Detour Phase: From Phase Gradient Metasurfaces to Metagratings. IEEE Trans. Microw. Theory Tech. 2022, 70, 200–209. [Google Scholar] [CrossRef]
- Jabbar, A.; Jamshed, M.A.; Rehman, M.U. Antennas for Wireless Sensors. in Multimodal Intelligent Sensing in Modern Applications, IEEE, 2025, pp. 29–54.
- Li, M.; Ban, Y.-L.; Xu, Z.-Q.; Wu, G.; Sim, C.-Y.-D.; Kang, K.; Yu, Z.-F. Eight-Port Orthogonally Dual-Polarized Antenna Array for 5G Smartphone Applications. IEEE Trans. Antennas Propag. 2016, 64, 3820–3830. [Google Scholar] [CrossRef]
- Abdullah, M.; Altaf, A.; Anjum, M.R.; Arain, Z.A.; Jamali, A.A.; Alibakhshikenari, M.; Falcone, F.; Limiti, E. Future Smartphone: MIMO Antenna System for 5G Mobile Terminals. IEEE Access 2021, 9, 91593–91603. [Google Scholar] [CrossRef]
- Zhao, A.; Ren, Z. Size Reduction of Self-Isolated MIMO Antenna System for 5G Mobile Phone Applications. IEEE Antennas Wirel. Propag. Lett. 2019, 8, 152–156. [Google Scholar] [CrossRef]
- Li, Y.; Sim, C.; Luo, Y.; Yang, G. High-Isolation 3.5 GHz Eight-Antenna MIMO Array Using Balanced Open-Slot Antenna Element for 5G Smartphones. IEEE Trans. Antennas Propag. 2019, 67, 3820–3830. [Google Scholar] [CrossRef]
- Zhao, X.; Yeo, S.P.; Ong, L.C. Decoupling of Inverted-F Antennas With High-Order Modes of Ground Plane for 5G Mobile MIMO Platform. IEEE Trans. Antennas Propag. 2018, 66, 4485–4495. [Google Scholar] [CrossRef]
- Wong, K.-L.; Lu, J.Y.; Chen, L.Y.; Li, W.Y.; Ban, Y.L. 8-antenna and 16-antenna arrays using the quad-antenna linear array as a building block for the 3.5-GHz LTE MIMO operation in the smartphone. Microw. Opt. Technol. Lett. 2016, 58, 174–181. [Google Scholar] [CrossRef]
- Abdullah, M.; Kiani, S.H.; Abdulrazak, L.F.; Iqbal, A.; Bashir, M.A.; Khan, S.; Kim, S. High-performance multiple-input multiple-output antenna system for 5G mobile terminals. Electronics 2016, 8, 1090. [Google Scholar] [CrossRef]
- Kiani, H.S.; Altaf, A.; Anjum, M.R.; Afridi, S.; Arain, Z.A.; Anwar, S.; Khan, S.; Alibakhshikenari, M.; Lalbakhsh, A.; Khan, M.A.; et al. MIMO Antenna System for Modern 5G Handheld Devices with Healthcare and High Rate Delivery. Sensors 2021, 21, 7415. [Google Scholar] [CrossRef]
- Wong, K.; Tsai, C.; Lu, J. Two Asymmetrically Mirrored Gap-Coupled Loop Antennas as a Compact Building Block for Eight-Antenna MIMO Array in the Future Smartphone. IEEE Trans. Antennas Propag. 2017, 65, 1765–1778. [Google Scholar] [CrossRef]
- Kiani, S.H.; Iqbal, A.; Wong, S.-W.; Savci, H.S.; Alibakhshikenari, M.; Dalarsson, M. Multiple Elements MIMO Antenna System With Broadband Operation for 5th Generation Smart Phones. IEEE Access 2022, 10, 38446–38457. [Google Scholar] [CrossRef]
- Alja’afreh, S.S.; Altarawneh, B.; Alshamaileh, M.H.; E’qab, R.A.; Hussain, R.; Sharawi, M.S.; Xing, L.; Xu, Q. Ten Antenna Array Using a Small Footprint Capacitive-Coupled-Shorted Loop Antenna for 3.5 GHz 5G Smartphone Applications. IEEE Access 2021, 9, 33796–33810. [Google Scholar] [CrossRef]
- Liu, Y.; Ren, A.; Liu, H.; Wang, H.; Sim, C.-Y.-D. Eight-Port MIMO Array Using Characteristic Mode Theory for 5G Smartphone Applications. IEEE Access 2019, 7, 45679–45692. [Google Scholar] [CrossRef]
- Ye, Y.; Zhao, X.; Wang, J. Compact High-Isolated MIMO Antenna Module With Chip Capacitive Decoupler for 5G Mobile Terminals. IEEE Antennas Wirel. Propag. Lett. 2022, 21, 928–932. [Google Scholar] [CrossRef]
- Zhang, H.H.; Yu, G.G.; Liu, X.Z.; Cheng, G.S.; Xu, Y.X.; Liu, Y.; Shi, G.M. Low-SAR MIMO Antenna Array Design Using Characteristic Modes for 5G Mobile Phones. IEEE Trans. Antennas Propag. 2022, 70, 3052–3057. [Google Scholar] [CrossRef]
- Zeng, W.-F.; Chen, F.-C.; Chu, Q.-X. Bandwidth-Enhanced 5G Mobile Phone Antenna Pair With Tunable Electric Field Null. IEEE Trans. Antennas Propag. 2023, 71, 1960–1964. [Google Scholar] [CrossRef]
- Tian, X.; Du, Z. Wideband Shared-Radiator Four-Element MIMO Antenna Module for 5G Mobile Terminals. IEEE Trans. Antennas Propag. 2023, 71, 4799–4811. [Google Scholar] [CrossRef]
- Parchin, N.O.; Amar, A.S.I.; Darwish, M.; Moussa, K.H.; See, C.H.; Abd-Alhameed, R.A.; Alwadai, N.M.; Mohamed, H.G. Four-Element/Eight-Port MIMO Antenna System With Diversity and Desirable Radiation for Sub 6 GHz Modern 5G Smartphones. IEEE Access 2022, 10, 133037–133051. [Google Scholar] [CrossRef]
- Abubakar, H.S.; Zhao, Z.; Wang, B.; Kiani, S.H.; Parchin, N.O.; Hakim, B. Eight-Port Modified E-Slot MIMO Antenna Array with Enhanced Isolation for 5G Mobile Phone. Electronics 2023, 12, 316. [Google Scholar] [CrossRef]
- Wang, Z.; You, W.; Yang, M.; Nie, W.; Mu, W. Design of MIMO Antenna with Double L-Shaped Structure for 5G NR. Symmetry 2023, 15, 579. [Google Scholar] [CrossRef]
- Parchin, N.O.; Mohamed, H.G.; Moussa, K.H.; See, C.H.; Abd-Alhameed, R.A.; Alwadai, N.M.; Amar, A.S. An efficient antenna system with improved radiation for multi-standard/multi-mode 5G cellular communications. Sci. Rep. 2023, 13, 4179. [Google Scholar]
- Zhao, A.; Ren, Z. Wideband MIMO antenna systems based on coupled-loop antenna for 5G N77/N78/N79 applications in mobile terminals. IEEE Access 2019, 7, 93761–93771. [Google Scholar] [CrossRef]
- Sufyan, A.; Khan, K.B.; Zhang, X.; Siddiqui, T.A.; Aziz, A. Dual-band independently tunable 8-element MIMO antenna for 5G smartphones. Heliyon 2024, 10, e25712. [Google Scholar] [CrossRef] [PubMed]
- Kazmi, A.; Zada, M.; Islam, S.; Yoo, H. Dual-Band MIMO Prototype in the Sub-6 GHz Integrated With mm-Wave Arrays: Ensuring Beamforming and Safety Measures. IEEE Access 2024, 12, 38957–38971. [Google Scholar] [CrossRef]
- Wei, X.; Lu, J.; Miao, Y.; Huang, J.; Chen, Z.; Liu, G. High Isolation MIMO Antenna System for 5G N77/N78/N79 Bands. Micromachines 2024, 15, 721. [Google Scholar] [CrossRef] [PubMed]
- Huang, J.; Dong, G.; Cai, Q.; Chen, Z.; Li, L.; Liu, G. Dual-Band MIMO Antenna for 5G/WLAN Mobile Terminals. Micromachines 2021, 12, 489. [Google Scholar] [CrossRef]
- Fang, Y.; Jia, Y.; Zhu, J.-Q.; Liu, Y.; An, J. Self-Decoupling, Shared-Aperture, Eight-Antenna MIMO Array With MIMO-SAR Reduction. IEEE Trans. Antennas Propag. 2024, 72, 1905–1910. [Google Scholar] [CrossRef]
- Valizade, A.; Ojaroudi, M.; Ojaroudi, N. CPW-fed small slot antenna with reconfigurable circular polarization and impedance bandwidth characteristics for DCS/WiMAX applications. Prog. Electromagn. Res. C 2015, 56, 65–72. [Google Scholar]
- Ojaroudi, N.; Ghadimi, N. Design of CPW-Fed slot antenna for MIMO system applications. Microw. Opt. Technol. Lett. 2014, 56, 1278–1281. [Google Scholar] [CrossRef]
- Naqvi, A.H.; Lim, S. Review of Recent Phased Arrays for Millimeter-Wave Wireless Communication. Sensors 2018, 18, 3194. [Google Scholar] [CrossRef] [PubMed]
- Parchin, N.O.; Zhang, J.; Abd-Alhameed, R.A.; Pedersen, G.F.; Zhang, S. A Planar Dual-Polarized Phased Array with Broad Bandwidth and Quasi-Endfire Radiation for 5G Mobile Handsets. IEEE Trans. Antennas Propag. 2021, 69, 6410–6419. [Google Scholar] [CrossRef]
- CST Microwave Studio, version 2022; CST: Danvers, MA, USA, 2022.
- Parchin, N.O.; Al-Yasir, Y.I.A.; Noras, J.M.; Abd-Alhameed, R.A. Dual-Polarized MIMO Antenna Array Design Using Miniaturized Self-Complementary Structures for 5G Smartphone Applications. In Proceedings of the 2019 13th European Conference on Antennas and Propagation (EuCAP), Krakow, Poland, 31 March–5 April 2019. [Google Scholar]
- Parchin, N.O.; Al-Yasir, Y.; Alabdullah, A.; Basherlou, H.; Abdulkhaleq, A.; Abd-Alhameed, R.; Noras, J. 8×8 MIMO antenna system with coupled-fed elements for 5G handsets. In Proceedings of the The IET Conference on Antennas and Propagation (APC), Birmingham, UK, 11–12 November 2019. [Google Scholar]
- Muhsin, M.Y.; Salim, A.J.; Ali, J.K. An Eight-Element MIMO Antenna system for 5G Mobile Handsets. In Proceedings of the 2021 International Symposium on Networks, Computers and Communications (ISNCC), Dubai, United Arab Emirates, 30 October–2 November 2021; pp. 1–4. [Google Scholar]
- Shi, C.; Sun, Y. Wideband Six-Port 5G MIMO Mobile Phone Antenna. In Proceedings of the International Conference on Microwave and Millimeter Wave Technology (ICMMT), Nanjing, China, 23–26 May 2021; pp. 1–3. [Google Scholar]
- Rao, L.; Tsai, C. 8-Loop Antenna Array in the 5 Inches Size Smartphone for 5G Communication the 3.4 GHz–3.6 GHz Band MIMO Operation. In Proceedings of the 2018 Progress in Electromagnetics Research Symposium (PIERS-Toyama), Toyama, Japan, 1–4 August 2018; pp. 1995–1999. [Google Scholar]
- Ullah, A.; Parchin, N.O.; Abdul-Al, M.; Santos, H.M.D.; See, C.H.; Hu, Y.F.; Abd-Alhameed, R.A. Internal MIMO Antenna Design for Multi-Band Mobile Handset Applications. In Proceedings of the 2021 29th Telecommunications Forum (TELFOR), Belgrade, Serbia, 23–24 November 2021; pp. 1–4. [Google Scholar]
- Chen, X.; Zhang, S.; Li, Q. A Review of Mutual Coupling in MIMO Systems. IEEE Access 2018, 6, 24706–24719. [Google Scholar] [CrossRef]
- Faouri, Y.S.; Ahmad, S.; Parchin, N.O.; See, C.H.; Abd-Alhameed, R. A Novel Meander Bowtie-Shaped Antenna with Multi-Resonant and Rejection Bands for Modern 5G Communications. Electronics 2022, 11, 821. [Google Scholar] [CrossRef]
- Ahmad, S.; Ijaz, U.; Naseer, S.; Ghaffar, A.; Qasim, M.A.; Abrar, F.; Parchin, N.O.; See, C.H.; Abd-Alhameed, R. A Jug-Shaped CPW-Fed Ultra-Wideband Printed Monopole Antenna for Wireless Communications Networks. Appl. Sci. 2022, 12, 821. [Google Scholar] [CrossRef]
- Zhang, H.H.; Liu, X.Z.; Cheng, G.S.; Liu, Y.; Shi, G.M.; Li, K. Low-SAR Four-Antenna MIMO Array for 5G Mobile Phones Based on the Theory of Characteristic Modes of Composite PEC-Lossy Dielectric Structures. IEEE Trans. Antennas Propag. 2022, 70, 1623–1631. [Google Scholar] [CrossRef]
- Khaleel, S.A.; Hamad, E.K.I.; Parchin, N.O.; Saleh, M.B. MTM-Inspired Graphene-Based THz MIMO Antenna Configurations Using Characteristic Mode Analysis for 6G/IoT Applications. Electronics 2022, 11, 2152. [Google Scholar] [CrossRef]
- Abdelghany, M.A.; Ibrahim, A.A.; Mohamed, H.A.; Tammam, E. Compact Sub-6 GHz Four-Element Flexible Antenna for 5G Applications. Electronics 2024, 13, 537. [Google Scholar] [CrossRef]
- Elabd, R.H. Low mutual coupling miniaturized dual-band quad-port MIMO antenna array using decoupling structure for 5G smartphones. Discov. Appl. Sci. 2024, 6, 189. [Google Scholar] [CrossRef]
- Munir, M.E.; Al Harbi, A.G.; Kiani, S.H.; Marey, M.; Parchin, N.O.; Khan, J.; Mostafa, H.; Iqbal, J.; Khan, M.A.; See, C.H.; et al. A New mm-Wave Antenna Array with Wideband Characteristics for Next Generation Communication Systems. Electronics 2022, 11, 1560. [Google Scholar] [CrossRef]
- AI-Yasir, Y.I.A.; Parchin, N.O.; Alabdullah, A.; Mshwat, W.; Ullah, A.; Abd-Alhameed, R. New Pattern Reconfigurable Circular Disk Antenna Using Two PIN Diodes for WiMax/WiFi (IEEE 802.11a) Applications. In Proceedings of the 2019 16th International Conference on Synthesis, Modeling, Analysis and Simulation Methods and Applications to Circuit Design (SMACD), Lausanne, Switzerland, 15–18 July 2019. [Google Scholar]
- Ji, Z.; Guo, Y.; He, Y.; Zhao, L.; Huang, G.L.; Zhou, C.; Zhang, Q.; Lin, W. Low Mutual Coupling Design for 5G MIMO Antennas Using Multi-Feed Technology and Its Application on Metal-Rimmed Mobile Phones. IEEE Access 2021, 9, 151023–151036. [Google Scholar] [CrossRef]
- Vaughan, R.G.; Andersen, J.B. Antenna diversity in mobile communication. IEEE Trans. Veh. Technol. 1987, VT-36, 149–172. [Google Scholar]
- Repacholi, M.H.; Grandolfo, M.; Ahlbom, A. Health issues related to the use of hand-held radiotelephones and base transmitters. Health Phys. 1996, 70, 587–593. [Google Scholar]
- Zhang, H.H.; Yu, G.G.; Liu, Y.; Fang, Y.X.; Shi, G.; Wang, S. Design of low-SAR mobile phone antenna: Theory and applications. IEEE Trans. Antennas Propag. 2021, 69, 698–707. [Google Scholar] [CrossRef]
- Hong, W.; Jiang, Z.H.; Yu, C.; Hou, D.; Wang, H.; Guo, C.; Hu, Y.; Kuai, L.; Yu, Y.; Jiang, Z.; et al. The Role of Millimeter-Wave Technologies in 5G/6G Wireless Communications. IEEE J. Microw. 2021, 1, 101–122. [Google Scholar] [CrossRef]




















| Param. | mm | Param. | mm |
|---|---|---|---|
| W | 23 | W2 | 1.8 |
| L | 23 | L2 | 10.2 |
| WS | 150 | W3 | 4.5 |
| LS | 75 | L3 | 0.25 |
| W1 | 2.4 | W4 | 2.9 |
| L1 | 14.25 | L4 | 1 |
| Ref. | Antenna Trype | Bandwidth (GHz) | Efficiency (%) | Size (mm2) | Isolation (dB) | ECC | Diversity |
|---|---|---|---|---|---|---|---|
| [10] | Monopole-slot | 2.55–2.65 (0.1) | 50–70 | 136 × 68 | 12 | <0.15 | Yes |
| [11] | L-shaped monopole | 3.4–3.6 (0.2) | 50–5 | 136 × 68 | 15 | <0.10 | No |
| [12] | Self-isolated monopole | 3.4–3.6 (0.2) | 60–70 | 150 × 75 | 19 | <0.02 | No |
| [13] | Balanced open-slot | 3.4–3.6 (0.2) | 60–75 | 150 × 80 | 17 | <0.05 | No |
| [14] | Inverted-F antenna | 3.4–3.6 (0.2) | - | 110 × 60 | 19 | - | Yes (Limited) |
| [15] | Decoupled open-slot | 3.4–3.6 (0.2) | 40–60 | 150 × 75 | 12 | <0.40 | No |
| [16] | Rectangular Slot | 3.4–3.6 (0.2) | 50–60 | 136 × 68 | 11 | c < 0.05 | No |
| [17] | H-shaped monopole | 3.4–3.6 (0.2) | 60–70 | 150 × 75 | 11 | <0.15 | No |
| [18] | Gap-Coupled Loop | 3.4–3.6 (0.2) | 40–60 | 150 × 75 | 12 | <0.20 | No |
| [19] | S-shaped monopole | 3.45–3.55 (0.1) | 50–68 | 130 × 50 | 15 | <0.30 | No |
| [20] | Shorted loop | 3.4–3.6 (0.2) | 50–78 | 150 × 77 | 10 | <0.1 | No |
| [21] | L-shaped monopole | 3.4–3.6 (0.2) | 40–70 | 145 × 75 | 15 | <0.15 | No |
| [22] | L-shaped strip monopole | 3.4–3.6 (0.2) | 40–70 | 150 × 63 | 10 | <0.1 | No |
| [23] | Folded dipole | 3.45–3.55 (0.1) | 50–70 | 154 × 74 | 15 | <0.1 | No |
| [24] | Inverted-F antenna | 3.3–3.8 (0.5) | 40–75 | 150 × 75 | 13 | <0.06 | No |
| [25] | Corner-cut patch | 4.4–5 (0.6) | 40–80 | 150 × 75 | 10 | <0.1 | No |
| [26] | Square-loop with slot | 3.4–3.8 (0.4) | 55–70 | 150 × 75 | 17 | <0.03 | Yes |
| [27] | E-shaped slot | 3.4–3.6 (0.2) | 40–75 | 150 × 75 | 19 | <0.1 | No |
| [28] | L-shaped slot | 3.6–4.7 (1.1) | 85–95 | 150 × 75 | 10 | <0.08 | No |
| [29] | SCS Patch-Slot | 3.5–3.7 (0.2) | 50–80 | 150 × 75 | 16 | <0.03 | Yes |
| [30] | Coupled-loop monopole | 3.3–5 (1.7) | 40–70 | 150 × 75 | 13 | <0.1 | No |
| [31] | E-shaped slot with F-probe | 3.5/4.7 (0.2/0.2) | 65–70 | 150 × 80 | 18 | <0.1 | Yes (Limited) |
| [32] | PIFA | 3.8/5.4 (0.1/0.1) | 40–85 | 150 × 74 | 13 | <0.01 | No |
| [33] | Monopole with T-slot | 3.5/5.5(0.4/1) | 30–80 | 150 × 75 | 14 | <0.02 | No |
| [34] | Open-loop monopole | 3.5/4.9 (0.2/0.2) | 60–80 | 150 × 75 | 10 | <0.1 | No |
| [35] | Paired Slot | 3.4–3.6 (0.2) | 40–65 | 150 × 75 | 18 | <0.1 | No |
| This Work | Trapezoid slot with L-monopole feeding | 3.2–6 (2.8) | 65–80 | 150 × 75 | 13 | <0.005 | Yes |
Disclaimer/Publisher’s Note: The statements, opinions and data contained in all publications are solely those of the individual author(s) and contributor(s) and not of MDPI and/or the editor(s). MDPI and/or the editor(s) disclaim responsibility for any injury to people or property resulting from any ideas, methods, instructions or products referred to in the content. |
© 2025 by the authors. Licensee MDPI, Basel, Switzerland. This article is an open access article distributed under the terms and conditions of the Creative Commons Attribution (CC BY) license (https://creativecommons.org/licenses/by/4.0/).
Share and Cite
Jahanbakhsh Basherlou, H.; Ojaroudi Parchin, N.; See, C.H. A Dual-Polarized and Broadband Multiple-Antenna System for 5G Cellular Communications. Sensors 2025, 25, 1032. https://doi.org/10.3390/s25041032
Jahanbakhsh Basherlou H, Ojaroudi Parchin N, See CH. A Dual-Polarized and Broadband Multiple-Antenna System for 5G Cellular Communications. Sensors. 2025; 25(4):1032. https://doi.org/10.3390/s25041032
Chicago/Turabian StyleJahanbakhsh Basherlou, Haleh, Naser Ojaroudi Parchin, and Chan Hwang See. 2025. "A Dual-Polarized and Broadband Multiple-Antenna System for 5G Cellular Communications" Sensors 25, no. 4: 1032. https://doi.org/10.3390/s25041032
APA StyleJahanbakhsh Basherlou, H., Ojaroudi Parchin, N., & See, C. H. (2025). A Dual-Polarized and Broadband Multiple-Antenna System for 5G Cellular Communications. Sensors, 25(4), 1032. https://doi.org/10.3390/s25041032

