DOSIF: Long-Term Daily SIF from OCO-3 with Global Contiguous Coverage
Abstract
1. Introduction
2. Materials and Methods
2.1. Data
2.1.1. SIF Data
- We first applied the quality control flag provided in the original OCO-3 SIF dataset to filter out lower-quality retrievals, retaining only the highest-quality data.
- We then performed cross-band noise reduction following the method of Sun et al. [12], which effectively combines SIF observations at 757 nm and 771 nm to suppress random noise. The formula is given as
- 3.
- To effectively reduce noise in SIF at the footprint scale that could impact the model, we further applied a five-nearest-neighbor smoothing technique, as suggested by Yu et al., to generate training data [26]. The following formula illustrates this method.where represents the i-th daily observation among the five nearest neighboring footprints to the target SIF footprint. According to Yu et al., the five-nearest-neighbor footprints align well with the target resolution, and the processed data can enhance the model’s future stability [26].
2.1.2. MODIS Surface Reflectance
2.1.3. Land-Cover Data
2.1.4. CFIS SIF Data for Cross-Sensor Evaluation
2.2. Methods
2.2.1. Modeling Strategy
2.2.2. Machine Learning Algorithm Selection
2.2.3. Training and Prediction Configuration
2.2.4. Evaluation Methods
2.2.5. Cross-Biome Performance Assessment
2.2.6. Strategy Comparison
2.2.7. Computational Environment
3. Results
3.1. Overall Performance of Prediction Framework
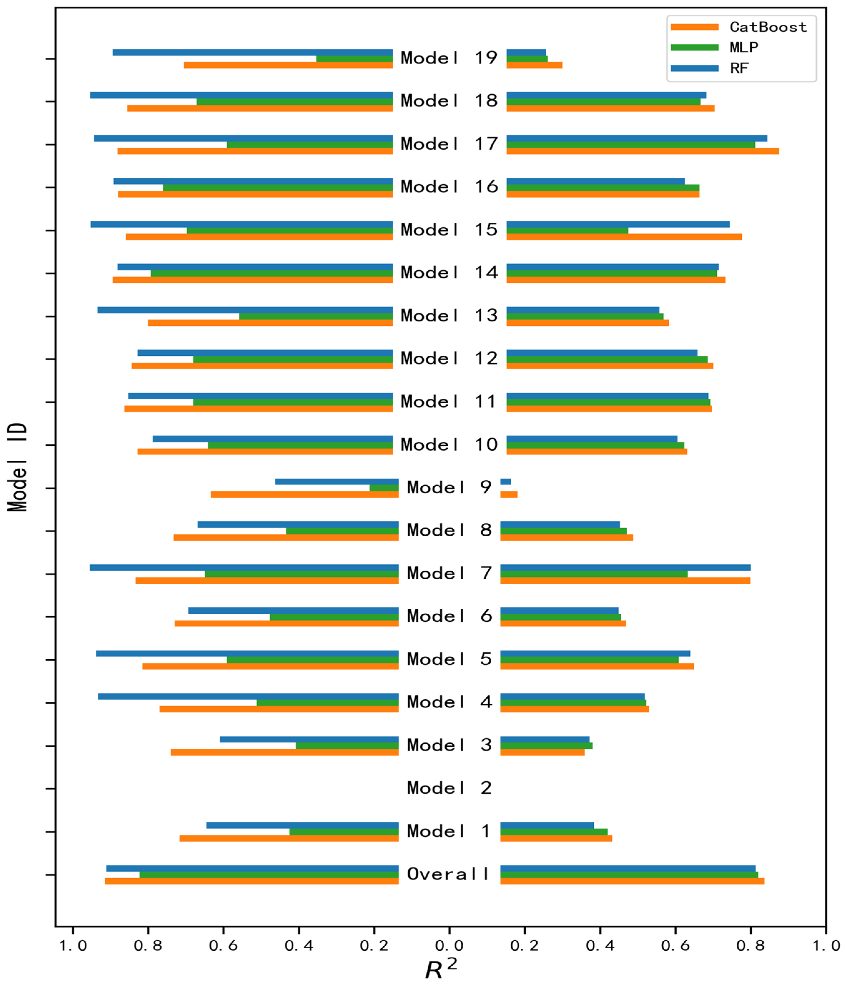
3.2. Comparison of Machine Learning Algorithms Across Sub-Models
3.3. Comparison Between the MSTWS and Universal Strategies
3.4. Spatial Pattern of DOSIF
3.5. Cross-Sensor Validation with Independent CFIS SIF
4. Discussion
5. Conclusions
Author Contributions
Funding
Institutional Review Board Statement
Informed Consent Statement
Data Availability Statement
Acknowledgments
Conflicts of Interest
Abbreviations
| SIF | Solar-Induced Chlorophyll Fluorescence |
| MSTWS | Moving Spatial–Temporal Window Sampling |
| GEE | Google Earth Engine |
| CFIS | Carbon Flux Imaging Spectrometer |
| NDVI | Normalized Difference Vegetation Index |
| EVI | Enhanced Vegetation Index |
| NIRv | Near-Infrared Reflectance of Vegetation |
| LAI | Leaf Area Index |
| OCO | Orbiting Carbon Observatory |
| DOSIF | Daily OCO-3 SIF |
| DOY | Day of the Year |
| ANN | Artificial Neural Networks |
| RF | Random Forest |
| IGBP | International Geosphere-Biosphere Programme |
| NF | Needleleaf Forest |
| EBF | Evergreen Broadleaf Forest |
| DBF | Deciduous Broadleaf Forest |
| SHR | Shrubland |
| GRA | Savannas |
| CRO | Grassland |
| SH | Southern Hemisphere |
| NH | Northern Hemisphere |
| BRDF | Bidirectional Reflectance Distribution Function |
References
- Köhler, P.; Guanter, L.; Joiner, J. A Linear Method for the Retrieval of Sun-Induced Chlorophyll Fluorescence from GOME-2 and SCIAMACHY Data. Atmos. Meas. Tech. 2015, 8, 2589–2608. [Google Scholar] [CrossRef]
- Frankenberg, C.; Fisher, J.B.; Worden, J.; Badgley, G.; Saatchi, S.S.; Lee, J.-E.; Toon, G.C.; Butz, A.; Jung, M.; Kuze, A.; et al. New Global Observations of the Terrestrial Carbon Cycle from GOSAT: Patterns of Plant Fluorescence with Gross Primary Productivity. Geophys. Res. Lett. 2011, 38, L17706. [Google Scholar] [CrossRef]
- Mohammed, G.H.; Colombo, R.; Middleton, E.M.; Rascher, U.; van der Tol, C.; Nedbal, L.; Goulas, Y.; Pérez-Priego, O.; Damm, A.; Meroni, M.; et al. Remote Sensing of Solar-Induced Chlorophyll Fluorescence (SIF) in Vegetation: 50 years of Progress. Remote Sens. Environ. 2019, 231, 111177. [Google Scholar] [CrossRef] [PubMed]
- Wang, C.; Wu, Y.; Hu, Q.; Hu, J.; Chen, Y.; Lin, S.; Xie, Q. Comparison of Vegetation Phenology Derived from Solar-Induced Chlorophyll Fluorescence and Enhanced Vegetation Index, and Their Relationship with Climatic Limitations. Remote Sens. 2022, 14, 3018. [Google Scholar] [CrossRef]
- Pierrat, Z.; Magney, T.; Parazoo, N.C.; Grossmann, K.; Bowling, D.R.; Seibt, U.; Johnson, B.; Helgason, W.; Barr, A.; Bortnik, J.; et al. Diurnal and Seasonal Dynamics of Solar-Induced Chlorophyll Fluorescence, Vegetation Indices, and Gross Primary Productivity in the Boreal Forest. J. Geophys. Res. Biogeosci. 2022, 127, e2021JG006588. [Google Scholar] [CrossRef]
- Sun, Y.; Fu, R.; Dickinson, R.; Joiner, J.; Frankenberg, C.; Gu, L.; Xia, Y.; Fernando, N. Drought Onset Mechanisms Revealed by Satellite Solar-Induced Chlorophyll Fluorescence: Insights from Two Contrasting Extreme Events. J. Geophys. Res. Biogeosci. 2015, 120, 2427–2440. [Google Scholar] [CrossRef]
- Chen, Z.-M.; Babiker, I.S.; Chen, Z.-X.; Komaki, K.; Mohamed, M.A.A.; Kato, K. Estimation of Interannual Variation in Productivity of Global Vegetation Using NDVI Data. Int. J. Remote Sens. 2004, 25, 3139–3159. [Google Scholar] [CrossRef]
- Huang, X.; Xiao, J.; Ma, M. Evaluating the Performance of Satellite-Derived Vegetation Indices for Estimating Gross Primary Productivity Using FLUXNET Observations across the Globe. Remote Sens. 2019, 11, 1823. [Google Scholar] [CrossRef]
- Cao, J.; An, Q.; Zhang, X.; Xu, S.; Si, T.; Niyogi, D. Is Satellite Sun-Induced Chlorophyll Fluorescence More Indicative than Vegetation Indices under Drought Condition? Sci. Total Environ. 2021, 792, 148396. [Google Scholar] [CrossRef]
- Xu, Y.; Li, X.; Du, H.; Mao, F.; Zhou, G.; Huang, Z.; Fan, W.; Chen, Q.; Ni, C.; Guo, K. Improving Extraction Phenology Accuracy Using SIF Coupled with the Vegetation Index and Mapping the Spatiotemporal Pattern of Bamboo Forest Phenology. Remote Sens. Environ. 2023, 297, 113785. [Google Scholar] [CrossRef]
- Sun, Y.; Frankenberg, C.; Wood, J.D.; Schimel, D.S.; Jung, M.; Guanter, L.; Drewry, D.T.; Verma, M.; Porcar-Castell, A.; Griffis, T.J.; et al. OCO-2 Advances Photosynthesis Observation from Space via Solar-Induced Chlorophyll Fluorescence. Science 2017, 358, eaam5747. [Google Scholar] [CrossRef]
- Sun, Y.; Frankenberg, C.; Jung, M.; Joiner, J.; Guanter, L.; Köhler, P.; Magney, T. Overview of Solar-Induced Chlorophyll Fluorescence (SIF) from the Orbiting Carbon Observatory-2: Retrieval, Cross-Mission Comparison, and Global Monitoring for GPP. Remote Sens. Environ. 2018, 209, 808–823. [Google Scholar] [CrossRef]
- Badgley, G.; Field, C.B.; Berry, J.A. Canopy Near-Infrared Reflectance and Terrestrial Photosynthesis. Sci. Adv. 2017, 3, e1602244. [Google Scholar] [CrossRef] [PubMed]
- Recuero, L.; Litago, J.; Pinzón, J.E.; Huesca, M.; Moyano, M.C.; Palacios-Orueta, A. Mapping Periodic Patterns of Global Vegetation Based on Spectral Analysis of NDVI Time Series. Remote Sens. 2019, 11, 2497. [Google Scholar] [CrossRef]
- Zhang, J.; Xiao, J.; Tong, X.; Zhang, J.; Meng, P.; Li, J.; Liu, P.; Yu, P. NIRv and SIF Better Estimate Phenology than NDVI and EVI: Effects of Spring and Autumn Phenology on Ecosystem Production of Planted Forests. Agric. For. Meteorol. 2022, 315, 108819. [Google Scholar] [CrossRef]
- Gamon, J.A.; Huemmrich, K.F.; Stone, R.S.; Tweedie, C.E. Spatial and Temporal Variation in Primary Productivity (NDVI) of Coastal Alaskan Tundra: Decreased Vegetation Growth Following Earlier Snowmelt. Remote Sens. Environ. 2013, 129, 144–153. [Google Scholar] [CrossRef]
- Köhler, P.; Frankenberg, C.; Magney, T.S.; Guanter, L.; Joiner, J.; Landgraf, J. Global Retrievals of Solar-Induced Chlorophyll Fluorescence with TROPOMI: First Results and Intersensor Comparison to OCO-2. Geophys. Res. Lett. 2018, 45, 10,456–10,563. [Google Scholar] [CrossRef]
- Taylor, T.E.; Eldering, A.; Merrelli, A.; Kiel, M.; Somkuti, P.; Cheng, C.; Rosenberg, R.; Fisher, B.; Crisp, D.; Basilio, R.; et al. OCO-3 Early Mission Operations and Initial (vEarly) XCO2 and SIF Retrievals. Remote Sens. Environ. 2020, 251, 112032. [Google Scholar] [CrossRef]
- Du, S.; Liu, L.; Liu, X.; Zhang, X.; Zhang, X.; Bi, Y.; Zhang, L. Retrieval of Global Terrestrial Solar-Induced Chlorophyll Fluorescence from TanSat Satellite. Sci. Bull. 2018, 63, 1502–1512. [Google Scholar] [CrossRef]
- Wen, J.; Köhler, P.; Duveiller, G.; Parazoo, N.; Magney, T.; Hooker, G.; Yu, L.; Chang, C.; Sun, Y. A Framework for Harmonizing Multiple Satellite Instruments to Generate a Long-Term Global High Spatial-Resolution Solar-Induced Chlorophyll Fluorescence (SIF). Remote Sens. Environ. 2020, 239, 111644. [Google Scholar] [CrossRef]
- Li, X.; Xiao, J. TROPOMI Observations Allow for Robust Exploration of the Relationship between Solar-Induced Chlorophyll Fluorescence and Terrestrial Gross Primary Production. Remote Sens. Environ. 2022, 268, 112748. [Google Scholar] [CrossRef]
- Doughty, R.; Köhler, P.; Frankenberg, C.; Magney, T.S.; Xiao, X.; Qin, Y.; Wu, X.; Moore, B. TROPOMI Reveals Dry-Season Increase of Solar-Induced Chlorophyll Fluorescence in the Amazon Forest. Proc. Natl. Acad. Sci. USA 2019, 116, 22393–22398. [Google Scholar] [CrossRef] [PubMed]
- Yang, J.; Xiao, X.; Doughty, R.; Zhao, M.; Zhang, Y.; Köhler, P.; Wu, X.; Frankenberg, C.; Dong, J. TROPOMI SIF Reveals Large Uncertainty in Estimating the End of Plant Growing Season from Vegetation Indices Data in the Tibetan Plateau. Remote Sens. Environ. 2022, 280, 113209. [Google Scholar] [CrossRef]
- Qiu, R.; Li, X.; Han, G.; Xiao, J.; Ma, X.; Gong, W. Monitoring Drought Impacts on Crop Productivity of the U.S. Midwest with Solar-Induced Fluorescence: GOSIF Outperforms GOME-2 SIF and MODIS NDVI, EVI, and NIRv. Agric. For. Meteorol. 2022, 323, 109038. [Google Scholar] [CrossRef]
- Lee, J.-E.; Frankenberg, C.; van der Tol, C.; Berry, J.A.; Guanter, L.; Boyce, C.K.; Fisher, J.B.; Morrow, E.; Worden, J.R.; Asefi, S.; et al. Forest Productivity and Water Stress in Amazonia: Observations from GOSAT Chlorophyll Fluorescence. Proc. R. Soc. B Biol. Sci. 2013, 280, 20130171. [Google Scholar] [CrossRef]
- Yu, L.; Wen, J.; Chang, C.; Frankenberg, C.; Sun, Y. High-Resolution Global Contiguous SIF of OCO-2. Geophys. Res. Lett. 2019, 46, 1449–1458. [Google Scholar] [CrossRef]
- Hu, J.; Jia, J.; Ma, Y.; Liu, L.; Yu, H. A Reconstructed Global Daily Seamless SIF Product at 0.05 Degree Resolution Based on TROPOMI, MODIS and ERA5 Data. Remote Sens. 2022, 14, 1504. [Google Scholar] [CrossRef]
- Köhler, P.; Behrenfeld, M.J.; Landgraf, J.; Joiner, J.; Magney, T.S.; Frankenberg, C. Global Retrievals of Solar-Induced Chlorophyll Fluorescence at Red Wavelengths with TROPOMI. Geophys. Res. Lett. 2020, 47, e2020GL087541. [Google Scholar] [CrossRef]
- Li, X.; Xiao, J. A Global, 0.05-Degree Product of Solar-Induced Chlorophyll Fluorescence Derived from OCO-2, MODIS, and Reanalysis Data. Remote Sens. 2019, 11, 517. [Google Scholar] [CrossRef]
- Schaaf, C.B.; Gao, F.; Strahler, A.H.; Lucht, W.; Li, X.; Tsang, T.; Strugnell, N.C.; Zhang, X.; Jin, Y.; Muller, J.-P.; et al. First Operational BRDF, Albedo Nadir Reflectance Products from MODIS. Remote Sens. Environ. 2002, 83, 135–148. [Google Scholar] [CrossRef]
- Friedl, M.A.; McIver, D.K.; Hodges, J.C.; Zhang, X.; Muchoney, D.; Strahler, A.H.; Woodcock, C.E.; Gopal, S.; Schneider, A.; Cooper, A.; et al. Global Land Cover Mapping from MODIS: Algorithms and Early Results. Remote Sens. Environ. 2002, 83, 287–302. [Google Scholar] [CrossRef]
- Van der Tol, C.; Berry, J.; Campbell, P.; Rascher, U. Models of Fluorescence and Photosynthesis for Interpreting Measurements of Solar-Induced Chlorophyll Fluorescence. J. Geophys. Res. Biogeosci. 2014, 119, 2312–2327. [Google Scholar] [CrossRef] [PubMed]
- Bishop, C.M. Neural Networks for Pattern Recognition; Oxford University Press: Oxford, UK, 1995. [Google Scholar]
- Breiman, L. Random Forests. Mach. Learn. 2001, 45, 5–32. [Google Scholar] [CrossRef]
- Hancock, J.T.; Khoshgoftaar, T.M. CatBoost for Big Data: An Interdisciplinary Review. J. Big Data 2020, 7, 94. [Google Scholar] [CrossRef] [PubMed]
- Prokhorenkova, L.; Gusev, G.; Vorobev, A.; Dorogush, A.V.; Gulin, A. CatBoost: Unbiased Boosting with Categorical Features. Adv. Neural Inf. Process. Syst. 2018, 31. [Google Scholar]
- Mutanga, O.; Kumar, L. Google Earth Engine Applications. Remote Sens. 2019, 11, 591. [Google Scholar] [CrossRef]
- Velastegui-Montoya, A.; Montalván-Burbano, N.; Carrión-Mero, P.; Rivera-Torres, H.; Sadeck, L.; Adami, M. Google Earth Engine: A Global Analysis and Future Trends. Remote Sens. 2023, 15, 3675. [Google Scholar] [CrossRef]
- Zhao, Q.; Yu, L.; Li, X.; Peng, D.; Zhang, Y.; Gong, P. Progress and Trends in the Application of Google Earth and Google Earth Engine. Remote Sens. 2021, 13, 3778. [Google Scholar] [CrossRef]
- Bisong, E. Google Colaboratory. In Building Machine Learning and Deep Learning Models on Google Cloud Platform: A Comprehensive Guide for Beginners; Springer: Berlin/Heidelberg, Germany, 2019; pp. 59–64. [Google Scholar]
- Beer, C.; Reichstein, M.; Tomelleri, E.; Ciais, P.; Jung, M.; Carvalhais, N.; Rödenbeck, C.; Arain, M.A.; Baldocchi, D.; Bonan, G.B.; et al. Terrestrial Gross Carbon Dioxide Uptake: Global Distribution and Covariation with Climate. Science 2010, 329, 834–838. [Google Scholar] [CrossRef]







| Data | Source | Spatial Resolution | Temporal Resolution | Spatial Coverage | Temporal Span | Role |
|---|---|---|---|---|---|---|
| Spaceborne SIF | OCO-3 SIF | 1.3 × 2.25 km2 | Daily | Striped local coverage | 2019 to 2023 | Target variable |
| Surface reflectance | MCD43A4 | 500 m | Daily | Global contiguous | 2000–2024 | Predictive features |
| Land cover | MCD12C1 Version 6 | 5600 m | Yearly | Global contiguous | 2000–2024 | Training and prediction configuration |
| Independent airborne SIF | CFIS SIF | <<0.05-degree | Daily | Regional | 2016 | Cross-sensor evaluation |
| Biome Types | Sub-Biomes | Model ID |
|---|---|---|
| NF | NH | 1 |
| SH | 2 | |
| EBF | Amazon | 3 |
| Congo | 4 | |
| Southeast Asia | 5 | |
| DBF | NH | 6 |
| SH | 7 | |
| SHR | NH | 8 |
| SH | 9 | |
| SAV | NH | 10 |
| SH | 11 | |
| GRA | NH | 12 |
| SH | 13 | |
| CRO | North America | 14 |
| South America | 15 | |
| Europe | 16 | |
| Africa | 17 | |
| Asia | 18 | |
| Australia | 19 |
Disclaimer/Publisher’s Note: The statements, opinions and data contained in all publications are solely those of the individual author(s) and contributor(s) and not of MDPI and/or the editor(s). MDPI and/or the editor(s) disclaim responsibility for any injury to people or property resulting from any ideas, methods, instructions or products referred to in the content. |
© 2025 by the authors. Licensee MDPI, Basel, Switzerland. This article is an open access article distributed under the terms and conditions of the Creative Commons Attribution (CC BY) license (https://creativecommons.org/licenses/by/4.0/).
Share and Cite
Yu, L.; Zhang, X.; Wang, L.; Ga, R.; Chen, Y.; Cai, P. DOSIF: Long-Term Daily SIF from OCO-3 with Global Contiguous Coverage. Sensors 2025, 25, 6771. https://doi.org/10.3390/s25216771
Yu L, Zhang X, Wang L, Ga R, Chen Y, Cai P. DOSIF: Long-Term Daily SIF from OCO-3 with Global Contiguous Coverage. Sensors. 2025; 25(21):6771. https://doi.org/10.3390/s25216771
Chicago/Turabian StyleYu, Longlong, Xiang Zhang, Lizhi Wang, Rongzhuma Ga, Yingying Chen, and Peng Cai. 2025. "DOSIF: Long-Term Daily SIF from OCO-3 with Global Contiguous Coverage" Sensors 25, no. 21: 6771. https://doi.org/10.3390/s25216771
APA StyleYu, L., Zhang, X., Wang, L., Ga, R., Chen, Y., & Cai, P. (2025). DOSIF: Long-Term Daily SIF from OCO-3 with Global Contiguous Coverage. Sensors, 25(21), 6771. https://doi.org/10.3390/s25216771

