Convolutional Neural Network-Based Pattern Recognition of Partial Discharge in High-Speed Electric-Multiple-Unit Cable Termination
Abstract
1. Introduction
- Characteristic parameters of terminal discharge signals in high-speed EMU cables are not extracted; instead, the four types of discharge signals are directly used as input to the model, achieving high accuracy.
- The impact of different training datasets on the classification performance of the terminal discharge signal recognition model for high-speed EMUs is compared and analyzed. The proposed CNN-based model is demonstrated to flexibly meet the varying requirements for processing time and accuracy across different scenarios.
- The proposed recognition model for terminal discharge signals in high-speed EMU cables is compared with two existing NN-based models, and it is verified that the CNN-based model exhibits superior recognition effectiveness.
2. Experimental Data Acquisition
2.1. PD Test Platform
2.2. Four Typical Defect PD Models
- Tip discharge model: This model employs a steel needle with a curvature radius of 5 μm and uses ethylene–propylene–diene monomer (EPDM) rubber film as the insulating medium, with a diameter of 120 mm and a thickness of 3 mm. A ground electrode with a diameter of 80 mm is connected below the rubber film, and the steel needle is linked to a high-voltage electrode. The tip is inserted into the film to a depth of approximately 1 mm.
- Surface discharge model: In this model, the insulating medium consists of an EPDM rubber film with a diameter of 60 mm, structured as a double layer, and has a total thickness of 6 mm. Below this, a ground electrode with a diameter of 80 mm is connected, and a copper disk with a diameter of 30 mm is positioned between the insulating medium and the high-voltage electrode.
- Air gap discharge model: In this model, the insulating medium is again EPDM rubber film, with a diameter of 60 mm and a thickness of 3 mm. To simulate an air gap discharge, a circular hole with a diameter of 1 mm is created within the insulating medium. A copper disk is placed between the high-voltage electrode and the insulating medium. To avoid surface discharge interference, the high-voltage electrode in the air gap discharge model is sealed with epoxy resin.
- Suspension discharge model: In this model, the insulating medium is EPDM rubber with a diameter of 120 mm and a thickness of 3 mm, and the high electric electrode is a copper disk with a diameter of 30 mm. There is a certain gap between the high electrode and the insulating medium, and a copper sheet with a thickness of 1 mm is placed in the gap as a suspended metal particle to simulate the suspended electrode.

2.3. High-Frequency Pulse Signals of PD with Four Typical Defects
3. Design of Cable Discharge Classification Model
3.1. CNN
3.2. PD Data for Training and Verification
3.3. Classification Steps
- Signal acquisition: A test platform is built, and cable terminal models with four types of defects are created. The HFCT is used to measure the PD signals of the cable terminals.
- Dataset construction: Four different types of discharge signals are collected, and a single signal is extracted. For each of the four signals, 251 sampling points are selected, resulting in 400 sets of data for each type. Out of these 1600 datasets, 1200 are randomly chosen to construct the training dataset, while the remaining 400 sets are designated as the test dataset.
- Data normalization: To simplify the data complexity, disparate data in the set are processed. This step facilitates faster gradient descent, aiding in finding the optimal solution and enhancing the model’s accuracy and convergence speed. The dataset from step 2 is normalized using the following expression.where yi is the sample value before normalization, Yi is the normalized sample value. ymin is the minimum value of the sample, and ymax is the maximum value of the sample.
- CNN training and classification: The normalized dataset from step 3 serves as the input to the constructed CNN-based model. After processing through two convolutional layers, two pooling layers, and one fully connected layer, the classification results are produced.

4. Results Analysis
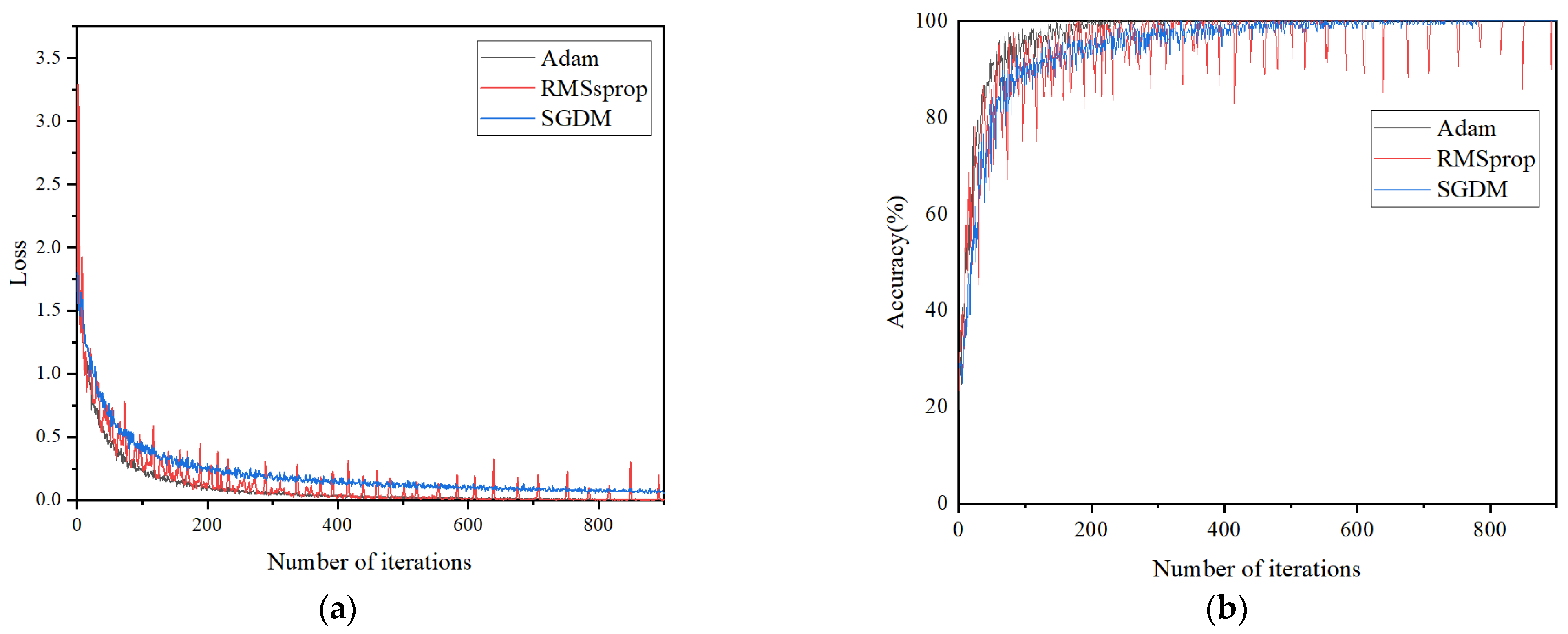
4.1. Influence of Different Optimizers
4.2. Influence of Different Training Data Amounts
4.3. Comparison of CNN with Other Classification Models
5. Conclusions
- Compared with SGDM and RMSprop optimizers, the Adam optimizer shows lower loss and higher classification accuracy in CNN-based classification model training, and the training effect is more stable.
- It is found that increasing the amount of training data can enhance the robustness of the model and improve the classification accuracy but at the cost of increasing the training time.
- Compared with the BPNN-based and RBFNN-based classification models, the CNN-based classification model proposed in this paper shows higher classification accuracy and can identify four different types of defects more accurately.
Author Contributions
Funding
Institutional Review Board Statement
Informed Consent Statement
Data Availability Statement
Conflicts of Interest
References
- Xin, D.; Wu, G.; Chen, K.; Liu, K.; Xie, Y.; Gao, G.; Xiao, S.; Tang, Y.; Sun, C.; Lin, M. Research on the evolution characteristics of interfacial defect inside the vehicle-mounted high-voltage cable termination for high-speed trains. CSEE J. Power Energy Syst. 2023, 1–13. [Google Scholar] [CrossRef]
- Bai, L.; Fan, D.; Li, T.; Li, B.; Su, M.; Fan, S.; Zhang, L. Influence of surface discharge on the deterioration characteristics of ethylene-propylene rubber cable insulation under alternating current high voltage. IET Sci. Meas. Technol. 2022, 16, 293–304. [Google Scholar] [CrossRef]
- Bai, L.; Zhou, L.; Li, L.; Chen, Y.; Che, Y.; Yu, Y.; Guo, L. Partial discharge of cable termination on electric multiple unit of China high-speed railway below zero-degree centigrade. IET Sci. Meas. Technol. 2019, 13, 912–921. [Google Scholar] [CrossRef]
- Park, J.M.; Jeon, J.C.; Han, G.R. New approach in partial discharge diagnosis and maintenance of 22.9 kV XLPE power cables in service. Electr. Eng. 2019, 101, 1199–1209. [Google Scholar] [CrossRef]
- Hassan, W.; Shafiq, M.; Hussain, G.A.; Choudhary, M.; Palu, I. Investigating the progression of insulation degradation in power cable based on partial discharge measurements. Electr. Power Syst. Res. 2023, 221, 109452. [Google Scholar] [CrossRef]
- Arikan, O.; Uydur, C.C.; Kumru, C.F. Insulation evaluation of MV underground cable with partial discharge and dielectric dissipation factor measurements. Electr. Power Syst. Res. 2023, 220, 109338. [Google Scholar] [CrossRef]
- Sahoo, R.; Karmakar, S. Investigation of electrical tree growth characteristics and partial discharge pattern analysis using deep neural network. Electr. Power Syst. Res. 2023, 220, 109287. [Google Scholar] [CrossRef]
- Yaacob, M.M.; Alsaedi, M.A.; Rashed, J.R.; Dakhil, A.M.; Atyah, S.F. Review on partial discharge detection techniques related to high voltage power equipment using different sensors. Photonic Sens. 2014, 4, 325–337. [Google Scholar] [CrossRef]
- Chen, Y.; Heredia, L.C.C.; Smit, J.J.; Niasar, M.G.; Ross, R. Partial discharge detection on power equipment using a magneto-resistive sensor. Int. J. Electr. Power Energy Syst. 2023, 152, 109270. [Google Scholar] [CrossRef]
- Chen, H.C. Fractal features-based pattern recognition of partial discharge in XLPE power cables using extension method. IET Gener. Transm. Distrib. 2012, 6, 1096–1103. [Google Scholar] [CrossRef]
- Wang, X.; Li, B.; Xiao, Z.; Lee, S.H.; Roman, H.; Russo, O.L.; Chin, K.K.; Farmer, K.R. An ultra-sensitive optical MEMS sensor for partial discharge detection. J. Micromechanics Microengineering 2004, 15, 521. [Google Scholar] [CrossRef]
- Wei, X.; Teng, Y.; Liu, Z.Q.; Deng, J.Q.; Jia, Y.Y. Application research of the partial discharge automatic detection device and diagnostic method based on the ultrasonic in long distance GIL equipment. J. Phys. Conf. Ser. 2019, 1213, 052088. [Google Scholar] [CrossRef]
- Shin, J.Y.; Lee, Y.S.; Hong, J.-W. Partial discharge detection of high voltage switchgear using a ultra high frequency sensor. Trans. Electr. Electron. Mater. 2013, 14, 211–215. [Google Scholar] [CrossRef]
- Deng, K.; Wen, Q.; Zhang, Y. Detection method of partial discharge defects in cable terminals based on ultrasonic infrared thermography. Infrared Technol. 2022, 44, 972–978. [Google Scholar]
- Govindarajan, S.; Morales, A.; Ardila-Rey, J.A.; Purushothaman, N. A review on partial discharge diagnosis in cables: Theory, techniques, and trends. Measurement 2023, 216, 112882. [Google Scholar] [CrossRef]
- Álvarez, F.; Garnacho, F.; Ortego, J.; Sánchez-Urán, M.Á. Application of HFCT and UHF sensors in on-line partial discharge measurements for insulation diagnosis of high voltage equipment. Sensors 2015, 15, 7360–7387. [Google Scholar] [CrossRef]
- Tian, Y.; Lewin, P.L.; Davies, A.E. Comparison of on-line partial discharge detection methods for HV cable joints. IEEE Trans. Dielectr. Electr. Insul. 2002, 9, 604–615. [Google Scholar] [CrossRef]
- Ahmed, N.H.; Srinivas, N.N. On-line partial discharge detection in cables. IEEE Trans. Dielectr. Electr. Insul. 1998, 5, 181–188. [Google Scholar] [CrossRef]
- Zhang, H.; Duan, Y.; Wang, B.; Liu, H.; Lin, Y.; Hu, X.; Liu, R.; Wang, M. Case analysis on partial discharge signal of XLPE cable T-joint by using high-frequency pulse current method. Energy Procedia 2017, 141, 545–550. [Google Scholar]
- Yang, Y.; Li, J.; Chen, Z.; Liu, Y.; Chen, K.; Liu, K.; Xin, D.; Gao, G.; Wu, G. Classification of partial discharge in vehicle-mounted cable termination of high-speed electric multiple unit: A machine learning-based approach. Electronics 2024, 13, 495. [Google Scholar] [CrossRef]
- IEC-60270; High-Voltage Test Techniques: Partial Discharge Measurements. British Standards Institution (BSI): London, UK, 2000; pp. 13–31.
- Gu, X.; He, S.; Xu, Y.; Yan, Y.; Hou, S.; Fu, M. Partial discharge detection on 320 kV VSC-HVDC XLPE cable with artificial defects under DC voltage. IEEE Trans. Dielectr. Electr. Insul. 2018, 25, 939–946. [Google Scholar] [CrossRef]
- Zhou, Y.; Wang, Y.; Wang, W. A study on the propagation characteristics of partial discharge in cable joints based on the FDTD method. IEEE Access 2020, 8, 130094–130103. [Google Scholar] [CrossRef]
- Wang, D.; Zhou, L.; Yang, Z.X.; Quan, S.; Liu, C.; Tang, H.; Wu, J. Defects Detection of On-board Cable Termination in EMUs Using Partial Discharge Measurement and SDP-DL Framework. IEEE Trans. Transp. Electrif. 2022, 9, 3127–3136. [Google Scholar] [CrossRef]
- Zhao, Z.; Wu, J.; Li, T.; Sun, C.; Yan, R.; Chen, X. Challenges and opportunities of AI-enabled monitoring, diagnosis & prognosis: A review. Chin. J. Mech. Eng. 2021, 34, 56. [Google Scholar]
- Nor, A.K.M.; Pedapati, S.R.; Muhammad, M.; Leiva, V. Overview of explainable artificial intelligence for prognostic and health management of industrial assets based on preferred reporting items for systematic reviews and meta-analyses. Sensors 2021, 21, 8020. [Google Scholar] [CrossRef]
- Samanta, A.; Chowdhuri, S.; Williamson, S.S. Machine learning-based data-driven fault detection/diagnosis of lithium-ion battery: A critical review. Electronics 2021, 10, 1309. [Google Scholar] [CrossRef]
- Zhao, S.; Blaabjerg, F.; Wang, H. An overview of artificial intelligence applications for power electronics. IEEE Trans. Power Electron. 2020, 36, 4633–4658. [Google Scholar] [CrossRef]
- Liu, Y.-C.; Laghrouche, S.; N’Diaye, A.; Narayan, S.; Cirrincione, G.; Cirrincione, M. Sensorless Control of Synchronous Reluctance Motor Drives Based on the TLS EXIN Neuron. In Proceedings of the 2019 IEEE International Electric Machines & Drives Conference, San Diego, CA, USA, 12–15 May 2019. [Google Scholar]
- Zhang, S.; Zhang, S.; Wang, B.; Habetler, T.G. Deep learning algorithms for bearing fault diagnostics—A comprehensive review. IEEE Access 2020, 8, 29857–29881. [Google Scholar] [CrossRef]
- Skowron, M.; Orlowska-Kowalska, T.; Wolkiewicz, M.; Kowalski, C.T. Convolutional neural network-based stator current data-driven incipient stator fault diagnosis of inverter-fed induction motor. Energies 2020, 13, 1475. [Google Scholar] [CrossRef]
- Liu, Y.-C.; Laghrouche, S.; N’Diaye, A.; Cirrincione, M. Hermite neural network-based second-order sliding-mode control of synchronous reluctance motor drive systems. J. Frankl. Inst. 2021, 385, 400–427. [Google Scholar] [CrossRef]
- Deng, Y.; Du, S.; Wang, D.; Shao, Y.; Huang, D. A calibration-based hybrid transfer learning framework for RUL Prediction of rolling bearing across different machines. IEEE Trans. Instrum. Meas. 2023, 72, 3511015. [Google Scholar] [CrossRef]
- Majidi, M.; Fadali, M.S.; Etezadi-Amoli, M.; Oskuoee, M. Partial discharge pattern recognition via sparse representation and ANN. IEEE Trans. Dielectr. Electr. Insul. 2015, 22, 1061–1070. [Google Scholar] [CrossRef]
- Chen, H.C.; Gu, F.C.; Wang, M.H. A novel extension neural network based partial discharge pattern recognition method for high-voltage power apparatus. Expert Syst. Appl. 2012, 39, 3423–3431. [Google Scholar] [CrossRef]
- Tang, J.; Zhuo, R.; Wang, D.B.; Wu, J.; Zhang, X. Application of SA-SVM incremental algorithm in GIS PD pattern recognition. J. Electr. Eng. Technol. 2016, 11, 192–199. [Google Scholar] [CrossRef]
- Karimi, M.; Majidi, M.; MirSaeedi, H.; Arefi, M.M.; Oskuoee, M. A novel application of deep belief networks in learning partial discharge patterns for classifying corona, surface, and internal discharges. IEEE Trans. Ind. Electron. 2019, 67, 3277–3287. [Google Scholar] [CrossRef]
- Alvarez, F.; Ortego, J.; Garnacho, F.; Sanchez-Uran, M.A. A clustering technique for partial discharge and noise sources identification in power cables by means of waveform parameters. IEEE Trans. Dielectr. Electr. Insul. 2016, 23, 469–481. [Google Scholar] [CrossRef]
- Uckol, H.I.; Ilhan, S.; Ozdemir, A. Workmanship defect classification in medium voltage cable terminations with convolutional neural network. Electr. Power Syst. Res. 2021, 194, 107105. [Google Scholar] [CrossRef]
- Peng, X.; Yang, F.; Wang, G.; Wu, Y.; Li, L.; Li, Z.; Bhatti, A.A.; Zhou, C.; Hepburn, D.M.; Reid, A.J. A convolutional neural network-based deep learning methodology for recognition of partial discharge patterns from high-voltage cables. IEEE Trans. Power Deliv. 2019, 34, 1460–1469. [Google Scholar] [CrossRef]
- Fu, Y.; Liang, L.; Huang, W.; Huang, G.; Zhang, Z.; Chen, C.; Wang, C. Partial discharge pattern recognition method based on Transfer Learning and DenseNet model. IEEE Trans. Dielectr. Electr. Insul. 2023, 30, 1240–1246. [Google Scholar]
- Gao, G.; Zhou, S.; Yang, S.; Chen, K.; Xin, D.; Tang, Y.; Liu, K.; Wu, G. Accurate identification partial discharge of cable termination for high-speed trains based on wavelet transform and convolutional neural network. Electr. Power Syst. Res. 2023, 225, 109838. [Google Scholar] [CrossRef]
- Su, M.S.; Chen, J.F.; Lin, Y.H. Phase determination of partial discharge source in a three-phase transmission line based on high-frequency equivalent circuit model and signal detection using HFCT. Int. Trans. Electr. Energy Syst. 2013, 23, 97–108. [Google Scholar] [CrossRef]
- Kim, J.T.; Kim, D.U.; Lee, Y.J.; Koo, J.Y. Analysis of Partial Discharge Inception Voltages for the Wrong Positioning Defects in the Joint of Distribution Power Cables. J. Electr. Eng. Technol. 2012, 7, 977–982. [Google Scholar] [CrossRef]
- Qi, F.; Wan, D.; OuYang, X.; Jiang, Q.; Zhao, M.; Zhou, H. Influence of different XLPE cable defects on the initiation of electric trees. J. Electr. Eng. Technol. 2019, 14, 2625–2632. [Google Scholar] [CrossRef]
- Jiang, T.; Li, J.; Zheng, Y.; Sun, C. Improved bagging algorithm for pattern recognition in UHF signals of partial discharges. Energies 2011, 4, 1087–1101. [Google Scholar] [CrossRef]
- Khan, M.Y.A.; Koo, J.Y. Neural network based diagnosis of partial discharge defects patterns at XLPE cable under DC stress. Electr. Eng. 2017, 99, 119–132. [Google Scholar] [CrossRef]
- Peng, X.; Wen, J.; Li, Z.; Yang, G.; Zhou, C.; Reid, A.; Hepburn, D.M.; Judd, M.D.; Siew, W.H. SDMF based interference rejection and PD interpretation for simulated defects in HV cable diagnostics. IEEE Trans. Dielectr. Electr. Insul. 2017, 24, 83–91. [Google Scholar] [CrossRef]
- Yang, B.; Wang, H.; Peng, X.; Zhou, H.; Xia, Z.; Sun, C.; Guo, H. Partial discharge characteristics of typical defects of high voltage DC cables. In Proceedings of the 2020 IEEE International Conference on High Voltage Engineering and Application, Beijing, China, 6–10 September 2020. [Google Scholar]
- Li, Z.; Xu, Y.; Jiang, X. Pattern recognition of DC partial discharge on XLPE cable based on ADAM-DBN. Energies 2020, 13, 4566. [Google Scholar] [CrossRef]
- LeCun, Y.; Bottou, L.; Bengio, Y.; Haffner, P. Gradient-based learning applied to document recognition. Proc. IEEE 1998, 86, 2278–2324. [Google Scholar] [CrossRef]
- Han, T.; Tian, Z.; Yin, Z.; Tan, A.C. Bearing fault identification based on convolutional neural network by different input modes. J. Braz. Soc. Mech. Sci. Eng. 2020, 42, 1–10. [Google Scholar] [CrossRef]
- Biswas, S.; Nayak, P.K.; Panigrahi, B.K.; Pradhan, G. An intelligent fault detection and classification technique based on variational mode decomposition-CNN for transmission lines installed with UPFC and wind farm. Electr. Power Syst. Res. 2023, 223, 109526. [Google Scholar] [CrossRef]
- He, J.; Li, L.; Xu, J.; Zheng, C. ReLU deep neural networks and linear finite elements. arXiv 2018, arXiv:1807.03973. [Google Scholar]
- Khan, M.A.; Choo, J.; Kim, Y.H. End-to-end partial discharge detection in power cables via time-domain convolutional neural networks. J. Electr. Eng. Technol. 2019, 14, 1299–1309. [Google Scholar] [CrossRef]
- Zheng, J.; Chen, Z.; Wang, Q.; Qiang, H.; Xu, W. GIS partial discharge pattern recognition based on time-frequency features and improved convolutional neural network. Energies 2022, 15, 7372. [Google Scholar] [CrossRef]
- Beura, C.P.; Wenger, P.; Tozan, E.; Beltle, M.; Tenbohlen, S. Classification of partial discharge sources in HVDC gas insulated switchgear using neural networks. In Proceedings of the VDE High Voltage Technology; 4. ETG-Symposium, Berlin, Germany, 8–10 November 2022. [Google Scholar]
- Wang, L.; Hou, K.; Tan, L. Research of GIS partial discharge type evaluation based on convolutional neural network. AIP Adv. 2020, 10, 085305. [Google Scholar] [CrossRef]
- Kingma, D.P.; Ba, J. Adam: A method for stochastic optimization. arXiv 2014, arXiv:1412.6980. [Google Scholar]











| Detection Method | Major Advantage | Major Defect | Main Applicable Scopes |
|---|---|---|---|
| Pulse current method | High sensitivity | Limited anti-interference capability | Offline measurement |
| Chemical detection method | Strong anti-interference | Challenges in online gas component extraction | Oil filling equipment |
| Radio frequency detection method | High sensitivity without affecting equipment operation | Limited anti-interference capability | Online measurement |
| Infrared imaging | High sensitivity | Incomplete detection | Electrical equipment |
| Flash spotting | Strong resistance to electromagnetic interference | Expensive | Laboratory research |
| High-frequency pulse current method | High sensitivity; easy to install | Susceptible to ground commutation | High voltage cables and electrical equipment |
| Ultrasonic method | Strong resistance to electromagnetic interference | Average sensitivity | Electrical primary equipment |
| Ultra-high frequency method | High sensitivity | Limitations in quantifying | Electrical equipment such as transformers |
| Predicted | 0 | 1 | |
|---|---|---|---|
| Actual | |||
| 0 | |||
| 1 | |||
| Discharge Type | Adam | RMSprop | SGDM | |||
|---|---|---|---|---|---|---|
| Precision (%) | Accuracy (%) | Precision (%) | Accuracy (%) | Precision (%) | Accuracy (%) | |
| Surface Discharge | 100 | 95.8 | 100 | 94.5 | 100 | 95 |
| Tip Discharge | 92.5 | 84.4 | 90.1 | |||
| Suspended Discharge | 100 | 98.1 | 100 | |||
| Air Gap Discharge | 91.2 | 96.3 | 90.1 | |||
| Training Data Volume | Surface Discharge | Tip Discharge | Suspended Discharge | Air Gap Discharge | Accuracy |
|---|---|---|---|---|---|
| 20% | 74.2% | 63.4% | 85.6% | 71.4% | 73.6% |
| 40% | 95.4% | 79.9% | 96.7% | 81.8% | 88.5% |
| 60% | 99.2% | 90.2% | 99.6% | 89.8% | 94.7% |
| 80% | 100% | 95.8% | 100% | 93.8% | 97.4% |
| 90% | 100% | 97.9% | 100% | 96.8% | 98.7% |
| Discharge Type | CNN | RBFNN | BPNN | |||
|---|---|---|---|---|---|---|
| Precision (%) | Accuracy (%) | Precision (%) | Accuracy (%) | Precision (%) | Accuracy (%) | |
| Surface Discharge | 100 | 95.8 | 80.2 | 91.2 | 91.6 | 94.8 |
| Tip Discharge | 92.5 | 89.7 | 97 | |||
| Suspended Discharge | 100 | 96.8 | 93 | |||
| Air Gap Discharge | 91.2 | 98.2 | 97.8 | |||
| Discharge Type | CNN | RBFNN | BPNN | |||
|---|---|---|---|---|---|---|
| Recall (%) | F1-Score (%) | Recall (%) | F1-Score (%) | Recall (%) | F1-Score (%) | |
| Surface Discharge | 100 | 100 | 100 | 89 | 93.3 | 92.4 |
| Tip Discharge | 90.8 | 91.6 | 85 | 87.3 | 97 | 97 |
| Suspended Discharge | 100 | 100 | 95.6 | 96.2 | 91.1 | 92 |
| Air Gap Discharge | 92.7 | 92 | 86.7 | 92.1 | 97.3 | 97.5 |
Disclaimer/Publisher’s Note: The statements, opinions and data contained in all publications are solely those of the individual author(s) and contributor(s) and not of MDPI and/or the editor(s). MDPI and/or the editor(s) disclaim responsibility for any injury to people or property resulting from any ideas, methods, instructions or products referred to in the content. |
© 2024 by the authors. Licensee MDPI, Basel, Switzerland. This article is an open access article distributed under the terms and conditions of the Creative Commons Attribution (CC BY) license (https://creativecommons.org/licenses/by/4.0/).
Share and Cite
Sun, C.; Wu, G.; Pan, G.; Zhang, T.; Li, J.; Jiao, S.; Liu, Y.-C.; Chen, K.; Liu, K.; Xin, D.; et al. Convolutional Neural Network-Based Pattern Recognition of Partial Discharge in High-Speed Electric-Multiple-Unit Cable Termination. Sensors 2024, 24, 2660. https://doi.org/10.3390/s24082660
Sun C, Wu G, Pan G, Zhang T, Li J, Jiao S, Liu Y-C, Chen K, Liu K, Xin D, et al. Convolutional Neural Network-Based Pattern Recognition of Partial Discharge in High-Speed Electric-Multiple-Unit Cable Termination. Sensors. 2024; 24(8):2660. https://doi.org/10.3390/s24082660
Chicago/Turabian StyleSun, Chuanming, Guangning Wu, Guixiang Pan, Tingyu Zhang, Jiali Li, Shibo Jiao, Yong-Chao Liu, Kui Chen, Kai Liu, Dongli Xin, and et al. 2024. "Convolutional Neural Network-Based Pattern Recognition of Partial Discharge in High-Speed Electric-Multiple-Unit Cable Termination" Sensors 24, no. 8: 2660. https://doi.org/10.3390/s24082660
APA StyleSun, C., Wu, G., Pan, G., Zhang, T., Li, J., Jiao, S., Liu, Y.-C., Chen, K., Liu, K., Xin, D., & Gao, G. (2024). Convolutional Neural Network-Based Pattern Recognition of Partial Discharge in High-Speed Electric-Multiple-Unit Cable Termination. Sensors, 24(8), 2660. https://doi.org/10.3390/s24082660

