A Water Environment-Based Simulated Method for Ultrasonic Testing of Slag Inclusion Weld Defects Based on Improved VMD
Abstract
1. Introduction
2. Theory and Methods
2.1. VMD
2.1.1. VMD Theory
2.1.2. Solution of Variational Equations
- Step 1. Initialize , , , and n such that all their values are zero, and set a suitable number of decomposition modes K.
- Step 3. Update using the following equation:where represents the noise tolerance for a given discrimination accuracy . If this satisfies the following condition, then stop the iteration. Otherwise, return to Step 2:where is the updated expression of .
- Step 4. Arrange the obtained K IMF components from low to high frequencies, calculate the correlation coefficient between each component and the original signal, eliminate the IMF components with smaller correlation coefficients, and reconstruct the remaining components.
2.2. Improved VMD through Particle Swarm Optimization
- Step 1. Firstly, input the original series (ultrasonic signal). Then, set the range of the VMD parameter pairs (K, ), where K takes integer values in the range of [2, 12] and ’s range is within [100, 30,000]. After that, initialize the positions and velocities of the swarm’s particles. Finally, calculate the local and global optimal solutions using Equation (14).
- Step 3. Output the global optimal solution of the IMF’s number K and the penalty factor when the fitness value is less than 0.1 or the maximum number of iterations is reached.
- Step 4. Using the optimized results, apply the VMD method to break down the vibration signal into different IMFs. Filter out the IMFs that fall outside the frequency range of the ultrasonic processing equipment, and combine the remaining effective IMFs to obtain a precise ultrasonic vibration signal.
2.3. Ultrasonic Wave Propagation Theory
3. Experiment
3.1. Experimental Set-Up
3.2. Evaluating Indicator
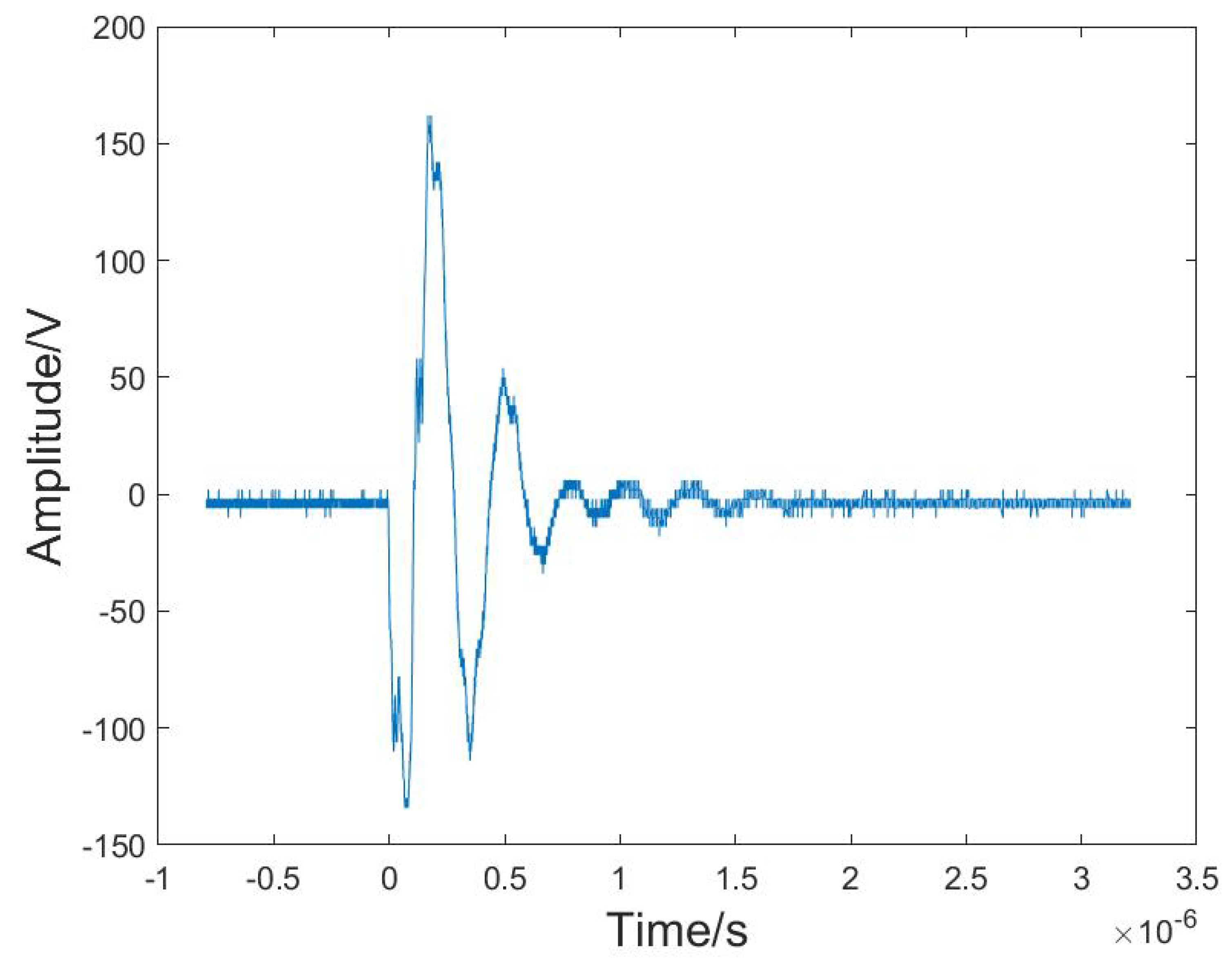
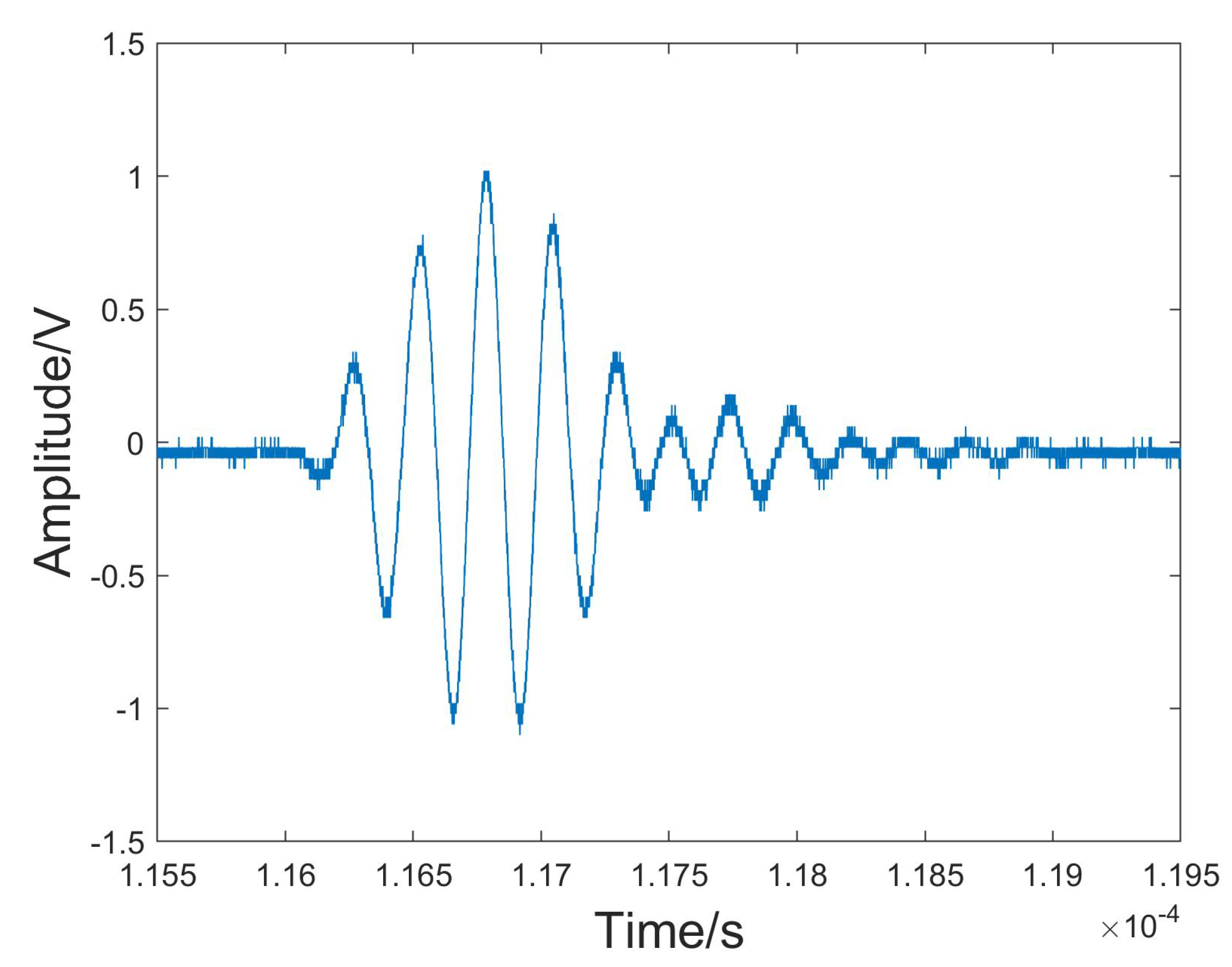
4. Results
4.1. PSO-VMD Denoising
4.2. Phase of the Echo Signal
5. Conclusions
- A water environment experiment with six categories of cubic samples, including four metallic and two non-metallic materials, was used to simulate the slag inclusion defects with different materials in the weldments of austenitic stainless steel.
- The proposed method with PSO-VMD denoising the ultrasonic signals utilizes PSO to optimize the VMD hyperparameters, including the suitable number of decomposition modes K and penalty factor . This was proven to effectively denoise the noisy signal and to be superior to other comparative algorithms, namely WOA-VMD, GA-VMD and ALO-VMD. PSO-VMD’s results show that it decomposed the minimum number of modes (only seven IMFs) but with the highest SNR and lowest RSME among all methods, which demonstrates that PSO-VMD has superior performance in the noise reduction of slag inclusion defect detection signals.
- The phase spectrum was proposed as a valuable tool for analysis of the phase characteristics of ultrasound echo signals. By analyzing the phase spectrum, we can ascertain whether a slag inclusion has a thicker or thinner medium compared with the austenitic stainless steel base material, based on the presence or absence of a half-wave loss in the echo signal phase.
Author Contributions
Funding
Institutional Review Board Statement
Informed Consent Statement
Data Availability Statement
Conflicts of Interest
References
- Kaçar, R.; Baylan, O. An investigation of microstructure/property relationships in dissimilar welds between martensitic and austenitic stainless steels. Mater. Des. 2004, 25, 317–329. [Google Scholar] [CrossRef]
- Haghshenas, M.; Gerlich, A.P. Joining of automotive sheet materials by friction-based welding methods: A review. Eng. Sci. Technol. Int. J. 2018, 21, 130–148. [Google Scholar] [CrossRef]
- Malarvel, M.; Singh, H. An autonomous technique for weld defects detection and classification using multi-class support vector machine in X-radiography image. Optik 2021, 231, 166342. [Google Scholar] [CrossRef]
- Dmitriev, S.F.; Malikov, V.N.; Sagalakov, A.M.; Shevtsova, L.I. Flaw inspection of welded joints in titanium alloys by the eddy current method. Weld. Int. 2017, 31, 608–611. [Google Scholar] [CrossRef]
- Abolfazl Zolfaghari, A.Z.; Kolahan, F. Reliability and sensitivity of magnetic particle nondestructive testing in detecting the surface cracks of welded components. Nondestruct. Test. Eval. 2018, 33, 290–300. [Google Scholar] [CrossRef]
- Azeez, S.T.; Mashinini, P.M. Radiography examination of friction stir welds of dissimilar aluminum alloys. Mater. Today Proc. 2022, 62, 3070–3075. [Google Scholar] [CrossRef]
- Dorafshan, S.; Maguire, M.; Collins, W. Infrared Thermography for Weld Inspection: Feasibility and Application. Infrastructures 2018, 3, 45. [Google Scholar] [CrossRef]
- Hwang, Y.I.; Park, J.; Kim, H.J.; Song, S.J.; Cho, Y.S.; Kang, S.S. Performance Comparison of Ultrasonic Focusing Techniques for Phased Array Ultrasonic Inspection of Dissimilar Metal Welds. Int. J. Precis. Eng. Manuf. 2019, 20, 525–534. [Google Scholar] [CrossRef]
- Ghubade, A.B.; Kumar, A. Review on casting defects and methodologies for quality improvement. J. Emerg. Technol. Innovat. Res. 2019, 6, 1008–1019. [Google Scholar]
- Singh, R.R.B.; Sasikumar, T.; Suresh, S.; Ramanan, G. A Novel Detection of Defects in Al–SiC Composite by Active Pulsed Infrared Thermography Using Data and Image Processing. Trans. Indian Inst. Met. 2020, 73, 2767–2783. [Google Scholar] [CrossRef]
- Li, P.; Xie, S.; Wang, K.; Zhao, Y.; Zhang, L.; Chen, Z.; Uchimoto, T.; Takagi, T. A novel frequency-band-selecting pulsed eddy current testing method for the detection of a certain depth range of defects. NDT Int. 2019, 107, 102154. [Google Scholar] [CrossRef]
- Oswald-Tranta, B.; Schmidt, R. Crack depth determination with inductive thermography. In Proceedings of the Thermosense: Thermal Infrared Applications XXXVII, Baltimore, MD, USA, 18–21 April 2015; Volume 9485, pp. 98–106. [Google Scholar] [CrossRef]
- Wang, K.Y.; Cheng, Y.Y. Design of X-ray digital imaging and data acquisition system. Russ. J. Nondestruct. Test. 2009, 45, 362–366. [Google Scholar] [CrossRef]
- Tkocz, J.; Greenshields, D.; Dixon, S. High power phased EMAT arrays for nondestructive testing of as-cast steel. NDT Int. 2019, 102, 47–55. [Google Scholar] [CrossRef]
- Li, X.; Li, B.; Liu, Z.; Niu, R.; Liu, Q.; Huang, X.; Xu, G.; Ruan, X. Detection and Numerical Simulation of Non-Metallic Inclusions in Continuous Casting Slab. Steel Res. Int. 2019, 90, 1800423. [Google Scholar] [CrossRef]
- Mukhtar, M.F.H.; Mahmod, M.F. Simulation Analysis of Ultrasonic Testing in Steel-based Butt Weld Joint. Res. Prog. Mech. Manuf. Eng. 2021, 2, 136–144. [Google Scholar]
- Song, Y.; Hua, L.; Wang, X.; Wang, B.; Liu, Y. Research on the Detection Model and Method for Evaluating Spot Welding Quality Based on Ultrasonic A-Scan Analysis. J. Nondestruct. Eval. 2015, 35, 4. [Google Scholar] [CrossRef]
- Kasban, H.; Zahran, O.; Arafa, H.; El-Kordy, M.; Elaraby, S.M.; Abd El-Samie, F. Welding defect detection from radiography images with a cepstral approach. NDT Int. 2011, 44, 226–231. [Google Scholar] [CrossRef]
- Ditchburn, R.; Burke, S.; Scala, C. NDT of welds: State of the art. NDT Int. 1996, 29, 111–117. [Google Scholar] [CrossRef]
- Daubechies, I. The wavelet transform, time-frequency localization and signal analysis. IEEE Trans. Inf. Theory 1990, 36, 961–1005. [Google Scholar] [CrossRef]
- Huang, N.E.; Shen, Z.; Long, S.R.; Wu, M.C.; Shih, H.H.; Zheng, Q.; Yen, N.C.; Tung, C.C.; Liu, H.H. The empirical mode decomposition and the Hilbert spectrum for nonlinear and non-stationary time series analysis. Proc. R. Soc. Lond. Ser. Math. Phys. Eng. Sci. 1998, 454, 903–995. [Google Scholar] [CrossRef]
- Wu, Z.; Huang, N.E. Ensemble empirical mode decomposition: A noise-assisted data analysis method. Adv. Adapt. Data Anal. 2009, 1, 1–41. [Google Scholar] [CrossRef]
- Torres, M.E.; Colominas, M.A.; Schlotthauer, G.; Flandrin, P. A complete ensemble empirical mode decomposition with adaptive noise. In Proceedings of the 2011 IEEE International Conference on Acoustics, Speech and Signal Processing (ICASSP), Prague, Czech Republic, 22–27 May 2011; pp. 4144–4147. [Google Scholar] [CrossRef]
- Dragomiretskiy, K.; Zosso, D. Variational Mode Decomposition. IEEE Trans. Signal Process. 2014, 62, 531–544. [Google Scholar] [CrossRef]
- Li, H.; Liu, T.; Wu, X.; Chen, Q. An optimized VMD method and its applications in bearing fault diagnosis. Measurement 2020, 166, 108185. [Google Scholar] [CrossRef]
- Wang, D.; Yue, C.; Wei, S.; Lv, J. Performance Analysis of Four Decomposition-Ensemble Models for One-Day-Ahead Agricultural Commodity Futures Price Forecasting. Algorithms 2017, 10, 108. [Google Scholar] [CrossRef]
- Hua, T.; Dai, K.; Zhang, X.; Yao, Z.; Wang, H.; Xie, K.; Feng, T.; Zhang, H. Optimal VMD-Based Signal Denoising for Laser Radar via Hausdorff Distance and Wavelet Transform. IEEE Access 2019, 7, 167997–168010. [Google Scholar] [CrossRef]
- Qi, B.; Yang, G.; Guo, D.; Wang, C. EMD and VMD-GWO parallel optimization algorithm to overcome Lidar ranging limitations. Opt. Express 2021, 29, 2855–2873. [Google Scholar] [CrossRef] [PubMed]
- Long, J.; Wang, X.; Dai, D.; Tian, M.; Zhu, G.; Zhang, J. Denoising of UHF PD signals based on optimised VMD and wavelet transform. IET Sci. Meas. Technol. 2017, 11, 753–760. [Google Scholar] [CrossRef]
- Eberhart, R.; Kennedy, J. A new optimizer using particle swarm theory. In Proceedings of the MHS’95 Sixth International Symposium on Micro Machine and Human Science, Nagoya, Japan, 4–6 October 1995; pp. 39–43. [Google Scholar] [CrossRef]
- Richman, J.S.; Lake, D.E.; Moorman, J. Sample Entropy. In Numerical Computer Methods, Part E; Methods in Enzymology; Academic Press: Cambridge, MA, USA, 2004; Volume 384, pp. 172–184. [Google Scholar] [CrossRef]
- Cao, M.; Yuan, J.; Liu, H.; Fang, X.; Zhu, J. A simulation of the quasi-standing wave and generalized half-wave loss of electromagnetic wave in non-ideal media. Mater. Des. 2003, 24, 31–35. [Google Scholar] [CrossRef]
- Wojciech, J.; Jacek, G. Detection of slag inclusions using infrared thermal imagining system. MATEC Web Conf. 2021, 338, 01012. [Google Scholar] [CrossRef]
- Liu, Z.; Peng, Y. Study on Denoising Method of Vibration Signal Induced by Tunnel Portal Blasting Based on WOA-VMD Algorithm. Appl. Sci. 2023, 13, 3322. [Google Scholar] [CrossRef]
- Liu, Z.; Liu, H. A novel hybrid model based on GA-VMD, sample entropy reconstruction and BiLSTM for wind speed prediction. Measurement 2023, 222, 113643. [Google Scholar] [CrossRef]
- Shi, L.; Wen, J.; Pan, B.; Xiang, Y.; Zhang, Q.; Lin, C. Dynamic Characteristics of a Gear System with Double-Teeth Spalling Fault and Its Fault Feature Analysis. Appl. Sci. 2020, 10, 7058. [Google Scholar] [CrossRef]








| Methods | WOA-VMD | GA-VMD | ALO-VMD | PSO-VMD |
|---|---|---|---|---|
| K | 10 | 8 | 10 | 7 |
| 5000 | 4589 | 27,595 | 2962 | |
| SNR/dB | 22.854 | 22.8964 | 22.908 | 23.0279 |
| RMSE | 0.02139 | 0.02129 | 0.02126 | 0.02097 |
| Processing time/s | 79.7 | 1155.9 | 78.9 | 536.7 |
| IMFs | IMF1 | IMF2 | IMF3 | IMF4 | IMF5 | IMF6 | IMF7 |
|---|---|---|---|---|---|---|---|
| NCC | 0.9975 | 0.0330 | 0.0291 | 0.0288 | 0.0280 | 0.0275 | 0.0271 |
| Material | Frequency (MHz) | Phase (°) |
|---|---|---|
| Wood | 4 | −43.36 |
| Resin | 4 | −24.81 |
| Iron | 4.25 | 97.11 |
| Copper | 4.25 | 64.87 |
| Magnet | 4.25 | 161.7 |
| Aluminum Alloy | 4.25 | 155.6 |
Disclaimer/Publisher’s Note: The statements, opinions and data contained in all publications are solely those of the individual author(s) and contributor(s) and not of MDPI and/or the editor(s). MDPI and/or the editor(s) disclaim responsibility for any injury to people or property resulting from any ideas, methods, instructions or products referred to in the content. |
© 2024 by the authors. Licensee MDPI, Basel, Switzerland. This article is an open access article distributed under the terms and conditions of the Creative Commons Attribution (CC BY) license (https://creativecommons.org/licenses/by/4.0/).
Share and Cite
Zhang, J.; Zhang, G.; Chen, Z.; Zou, H.; Xue, S.; Deng, J.; Li, J. A Water Environment-Based Simulated Method for Ultrasonic Testing of Slag Inclusion Weld Defects Based on Improved VMD. Sensors 2024, 24, 4199. https://doi.org/10.3390/s24134199
Zhang J, Zhang G, Chen Z, Zou H, Xue S, Deng J, Li J. A Water Environment-Based Simulated Method for Ultrasonic Testing of Slag Inclusion Weld Defects Based on Improved VMD. Sensors. 2024; 24(13):4199. https://doi.org/10.3390/s24134199
Chicago/Turabian StyleZhang, Jing, Guocai Zhang, Zijie Chen, Hailin Zou, Shuai Xue, Jianjie Deng, and Jianqing Li. 2024. "A Water Environment-Based Simulated Method for Ultrasonic Testing of Slag Inclusion Weld Defects Based on Improved VMD" Sensors 24, no. 13: 4199. https://doi.org/10.3390/s24134199
APA StyleZhang, J., Zhang, G., Chen, Z., Zou, H., Xue, S., Deng, J., & Li, J. (2024). A Water Environment-Based Simulated Method for Ultrasonic Testing of Slag Inclusion Weld Defects Based on Improved VMD. Sensors, 24(13), 4199. https://doi.org/10.3390/s24134199

