Abstract
The main limitation of wireless sensor networks (WSNs) lies in their reliance on battery power. Therefore, the primary focus of the current research is to determine how to transmit data in a rational and efficient way while simultaneously extending the network’s lifespan. In this paper, a hybrid of a fuzzy logic system and a quantum annealing algorithm-based clustering and routing protocol (FQA) is proposed to improve the stability of the network and minimize energy consumption. The protocol uses a fuzzy inference system (FIS) to select appropriate cluster heads (CHs). In the routing phase, we used the quantum annealing algorithm to select the optimal route from the CHs and the base station (BS). Furthermore, we defined an energy threshold to filter candidate CHs in order to save computation time. Unlike with periodic clustering, we adopted an on-demand re-clustering mechanism to perform global maintenance of the network, thereby effectively reducing the computation and overhead. The FQA was compared with FRNSEER, BOA-ACO, OAFS-IMFO, and FC-RBAT in different scenarios from the perspective of energy consumption, alive nodes, network lifetime, and throughput. According to the simulation results, the FQA outperformed all the other methods in all scenarios.
1. Introduction
Data transmission, as the core element in information and communication technology, is a crucial component of modern communication networks. Efficient methods for data acquisition and transmission paths have theoretical and practical implications in the application of WSNs that can effectively save energy, thus extending the network lifetime and improving network feasibility for real-time applications [1,2]. Sensor nodes, which are distributed across a wide area, have the capability to acquire information at any time, in any place, and in any environment. As a result, WSNs find wide applications in industry [3], transportation [4], medical care [5], space exploration [6], and other fields that serve as the foundation for the development of the Internet of Things (IoT) [7,8]. Nevertheless, most sensor nodes have limited energy, computing, storage, and communication capabilities because the batteries they are equipped with are almost impossible to replace or continuously charge at any time [9]. Moreover, the continuous and independent data transmission between nodes and other nodes and between nodes and the base station increases the loss of power and hastens node mortality. Therefore, scholars have focused on how to effectively and energy-efficiently utilize sensor nodes for data acquisition and transmission, as well as analysis and processing via upper-level applications and users [10]. In order to realize this goal, many strategies have been proposed, with clustering and routing protocols being identified as the most effective ways [11].
A clustering algorithm divides sensor nodes into several independent groups, referred to as clusters [12]. Each cluster consists of a cluster head (CH) node and several ordinary nodes. Intra-cluster and inter-cluster communications lower the cost of the distance between the farthest nodes and the sink, and using data aggregation to transmit information consumes significantly less energy. In general, sensor nodes are arbitrarily distributed in the network; hence, the focus of research is on allocating nodes to the nearest designated CH. Unreasonable allocation will result in an unequal number of sensor nodes, resulting in uneven residual energy. Fuzzy logic performs well in optimization decision making [13,14,15], which is being used to resolve uncertainties in CH selection based on predefined fuzzy rules. Unlike the conventional technique, each variable in fuzzy logic is assigned a value between 0 and 1, signifying its correctness or incorrectness [16]. Fuzzy clustering algorithms typically set fuzzy rules based on input variables such as the residual energy of nodes, the distance to nodes, or the distance to the base station (BS) as input variables. Then, candidate nodes with the highest fuzzy outputs are selected as cluster heads (CHs), resulting in the appropriate distribution of CHs in a network [17]. Fuzzy logic has almost the same structure as human logic, and it can adapt to changing environments well, according to preset rules. Most protocols modify the node energy in each round, and CHs are adjusted based on fuzzy rules that can greatly prolong the network’s lifetime. However, in large networks, complex fuzzy rules demand a lot of computational resources and time.
The potential parallelism and distributed characteristics of meta-heuristic algorithms can effectively solve complex nonlinear problems, and their global optimization capability is ideal for solving NP-hard problems in wireless sensor networks that can achieve outcomes with fewer parameters. A meta-heuristic algorithm converts the selection of CHs and a routing path into an optimization problem with a specific objective function. Then, it continuously iterates until the optimal solution of the function is found. For example, the cat swarm algorithm [18], fish migration optimization algorithm [19], ant colony optimization algorithm [20], and genetic algorithm [21] are used to select CHs and find routing paths in a clustering and routing protocol. The calculation results of most meta-heuristic algorithms are random due to the initial parameter settings, and there is a risk of falling into a local optimum when dealing with complex problems. On this basis, the combination of various meta-heuristic approaches is derived to solve multi-objective problems, such as butterfly algorithm-based clustering combined with ant colony optimization-based routing [22], improved duck and traveler optimization-based clustering combined with artificial gorilla troop optimization-based routing [23], hybrid gray wolf optimization, and the marine predator algorithm for clustering integrated with hybrid gray wolf optimization and the graph model for routing [24]. However, the complexity of the protocols is largely increased for execution. Therefore, hybrid meta-heuristic and traditional protocols are utilized to balance the overall performance of a network. For instance, the BAT algorithm for clustering combined with the fuzzy logic-based routing technique [14] adjusts the control parameters of fuzzy rules with the shuffled frog-leaping algorithm [17], and fuzzy logic model-based clustering was combined with particle swarm optimization-based routing [25].
In recent years, the universal applicability of quantum mechanics has been continuously proved, and the integration of quantum theory into intelligent optimization has emerged as an attractive research branch. Due to its ability to significantly enhance the solution speed compared to classical algorithms, scholars have incorporated concepts and mathematical mechanisms from quantum computing into existing optimization algorithms. For instance, they have integrated the concept of quantum computing into the traditional tunicate swarm algorithm to solve objective functions and obtained a clustering scheme that minimizes network energy consumption [26]. Shakir Mahoomed Abas et al. combined quantum coding with a genetic algorithm and used qubits to represent candidate routes that explore and evaluate multiple routes simultaneously through quantum parallelism [27]. As a classical meta-heuristic algorithm, the simulated annealing (SA) algorithm is widely used in wireless sensor routing protocols. Despite being a random-step process, the algorithm is prone to stay in a local optimum when the objective function has many high obstacles [28]. To overcome this problem, the quantum annealing (QA) algorithm was developed by replacing the temperature parameter of the SA algorithm with the intensity of the tunneling field. The quantum wave motion is generated through the mechanism of quantum tunneling, enabling the attainment of an optimal point across the potential barrier [29]. WSNs consist of a multitude of nodes and complex network topologies, and the network environment changes constantly over time. Consequently, it is imperative for algorithms to possess a certain level of adaptability. The quantum annealing algorithm demonstrates robust global search capability, effectively optimizing routing schemes. Its inherent parallelism enables efficient handling of large-scale problems and facilitates rapid convergence speed, thereby significantly enhancing routing efficiency and prolonging network lifespan. We utilized the accuracy of the fuzzy logic in optimization decisions to select CHs. Considering that Type-2 fuzzy rules require a large amount of computing time, we adopt the quantum annealing algorithm with a fast convergence rate in the routing stage. The proposed protocol in this paper aims to transmit data efficiently and effectively while also conserving energy and reducing computational time.
In this paper, a hybrid of a fuzzy logic system and a quantum annealing algorithm-based clustering and routing protocol (FQA) is proposed to improve the stability of the network and extend the network lifetime. The protocol selected CHs from all candidate nodes with higher residual energy rates, more neighbors, shorter distances to the BS, and shorter average distances to the member nodes than other candidate nodes and planned the most energy-efficient routing path from the CHs to the BS. Furthermore, the protocol adopts an on-demand re-clustering mechanism instead of clustering periodically or round-by-round like other protocols. The proposed protocol was compared with other latest protocols FRNSEER, FC-RBAT, BOA-ACO, and OAFS-IMFO in four scenarios. The simulation results showed that our protocol is significantly better than other protocols in terms of alive nodes, network lifetime, energy consumption, and throughput. The main contributions of this paper are summarized as follows:
- We utilized fuzzy logic-based clustering and quantum annealing algorithm-based routing to establish an energy-efficient data transmission mode that can effectively prolong the network lifetime;
- We adopted an energy threshold to filter candidate CHs to save computation time;
- Application-based FIS is used to select appropriate CHs from candidate CHs and considers four parameters as fuzzy input variables: residual energy, the number of neighboring nodes, distance to the BS, node centrality;
- A two-dimensional routing matrix and weight matrix are constructed to obtain the objective function. Moreover, we used the quantum annealing algorithm to evaluate the objective function and then obtain the optimal routing route from CHs to the BS;
- An on-demand re-clustering mechanism is used to maintain clusters locally and globally for computation and message overhead reduction.
The remaining parts of the paper are organized as follows: Section 2 reviews the related literature. Section 3 introduces the system model in detail. Section 4 describes the proposed protocol FQA in detail. Section 5 discusses the performance of the proposed methodology with the existing protocols. Finally, Section 6 presents the conclusion.
2. Related Works
Traditional clustering usually refers to hard clustering in which each node is classified into a unique category, clusters are independent of each other, and nodes belong exclusively to one cluster. Node grouping can be based on different parameters, mainly residual energy and physical proximity [12]. For instance, K-means clustering is an iterative distance-based clustering algorithm that updates CHs based on the distance of nodes to the cluster center [30]. In view of the problems existing in classical clustering and routing protocols, such as CH selection, difficulty in handling large-scale data, and incomplete parameter selection, scholars have been trying to improve traditional algorithms and propose new algorithms to solve the above shortcomings and improve the performance of the protocol.
The exceptional multi-objective optimization capabilities of meta-heuristic algorithms have enabled them to be extensively employed by scholars in WSNs. In [18], CSO is used to optimize the selection of CHs by simulating the tracking mode of a cat. The received signal strength, residual energy, and intra-cluster distance are considered factors in this scenario, and only CHs are allowed to communicate with the BS. The authors completed indoor experiments with sensor nodes, a microcontroller, and a LabVIEW interface. The results showed that the algorithm has a significant improvement in extending the network lifetime and reducing the computation time. However, the performance of the network is affected when the cluster has numerous nodes. In [22], the BOA (butterfly optimization) algorithm is proposed to optimize the selection of CHs, constructing an objective function based on factors such as residual energy, distance to neighbors, distance to the BS, node degree, and node centrality. Then the ACO (ant colony optimization) algorithm is adopted to plan the optimal transmission path from the source node to the BS via CH. The distance to the BS, residual energy, and node degree are taken into consideration. Compared with traditional algorithms and some existing methods, the network lifetime is significantly improved. In [24], a two-tier protocol for clustering and routing (THSI-RP) was proposed. In the first tier, THSI-RP designed the objective function incorporating energy, the intra-cluster distance, the distance between CH and BS, and node centrality as parameters to select the optimal CHs. Additionally, GWO (grey wolf optimization) and MPA (marine predator algorithm) were combined for clustering to enhance search efficiency. In the second tier, THSI-RP established a communication routing tree between CHs and BS to achieve the shortest data transmission path. Experimental results showed that THSI-RP can effectually improve the network lifetime, but a two-tier protocol design results in a higher network complexity. The two-level genetic algorithm [31] introduced a novel approach to solve two problems simultaneously: selection of CHs and optimal multi-hop routing. In this proposed method, the energy consumption of the multi-hop routing, designed by the second-level algorithm, is considered as a parameter when evaluating the chromosomes in the first-level algorithm. The experimental results showed that network lifetime has been increased when compared to three approaches. The selection of CHs and the routing among them are performed separately. Furthermore, the GA algorithm was substituted with another meta-heuristic algorithm for a two-level framework, and the results of the two methods are quite close. It can be concluded that the results obtained from the proposed framework are not heavily influenced by the algorithms used for optimization. In [32], S. Jagadeesh et al. proposed a novel protocol for clustering and routing. OAFS-IMFO used the OAFS (oppositional artificial fish swarm) algorithm to optimize the selection of CHs, which constructed an objective function based on residual energy, distance between CHs, and distance between CHs and CMs (cluster members). Subsequently, the IMFO (improved moth flame optimization) algorithm was adopted to plan the shortest transmission path from CHs to the BS, including factors such as residual energy of CHs and distance among CH, relay CH, and BS. Compared with some existing protocols, OAFS-IMFO achieves significantly higher packet throughput while consuming more energy.
The proposed hybrid differential evolution and simulated annealing (DESA) algorithm in [33] aims at maximizing the network lifetime of the WSN by combining the simulated annealing (SA) approach for global optimal solution with the DE approach for local search. The DESA algorithm takes only two factors into account, energy and distance between nodes, in the process of selecting cluster heads, which is not comprehensive enough. As a classic meta-heuristic algorithm, the SA algorithm has been widely applied in WSNs. However, it still has several limitations, such as easily falling into local optima. With the rapid development of quantum technology, scholars have integrated the concept and mathematical mechanism of quantum computing into existing optimization algorithms to improve their ability to search the solution space. Among these approaches, the quantum annealing algorithm swiftly emerged as a classical discrete quantum technology in quantum optimization algorithms. Compared to the simulated annealing algorithm, it can solve the NP-hard problem in WSNs more effectively. In [34], the clustering objective function was reformulated as a quadratic unconstrained binary optimization (QUBO) problem, and the paper proposed two encoding methods. One is the one-hot encoding, which associates each data point with a k-bit string, but this method fails to utilize quantum bits effectively and has inherent limitations; the other is binary encoding, which represents each data point’s classification by a binary string and is executed hierarchically. The proposed method needs to be implemented with the help of commercially available quantum annealing hardware and a purely classical solver, “qbsolv” released by D-Wave. In [29], the mobile sink node collects data from all nodes within the communication range along the planned path and returns to the initial location after completing one round. The problem of finding the shortest path for a mobile sink node is essentially a traveling salesman problem (TSP). Zhijie Huang et al. employed quantum encoding techniques to represent the mobile path and utilized the Hamiltonian of the QA algorithm to guide the operation of a quantum revolving gate which effectively addresses the energy hole problem.
With the excellent performance of fuzzy theory in optimizing decisions and reducing energy consumption in WSNs, fuzzy logic is widely used in selecting CHs and clustering. Utilizing the fuzzy logic control system enables real-time adjustments based on dynamic environmental conditions, thereby enhancing the fault tolerance and stability of the system. Combining fuzzy logic and meta-heuristic algorithms can fully leverage their respective strengths and enhance capabilities in addressing intricate optimization problems. The generation of fuzzy rules in [13] involves considering energy and utility factors, and the fuzzy inference system is employed to identify relay nodes. The minimum length route is determined based on coverage distance, energy, utility factor, and bandwidth availability. Amruta Lipare et al. [14] proposed load-balanced fuzzy C-means (FCM) algorithm-based clustering integrated with BAT approach-based routing (FC-RBAT). They used FCM to form clusters and find the centroid of the clusters. Then, they selected proper CHs among the sensor nodes from each cluster, which constructed the objective function based on residual energy, intra-cluster distance, distance to cluster centroid, and distance to the BS. The routing process is conducted using a BAT-inspired approach that considers the lifetime of CHs, the number of hops, and total transmission distance as essential parameters. In [17], the suggested protocol used the shuffling frog-leaping algorithm (SFLA) to pick relay nodes and CHs by optimizing two fuzzy rule tables. Firstly, FMSFLA designed fuzzy rules based on the parameters residual energy, distance to the BS, and the number of neighboring nodes to choose candidate CHs and ensure an appropriate distribution of CHs by specifying the overlap threshold between CHs. In the second phase, FMSFLA selected the relay nodes named parents from the candidate nodes based on the following parameters: energy, distance between each node, and the mean load of the selected route between the candidate CH node n and the BS. Simulation results demonstrated that FMSFLA can achieve a consistent network workload, lower energy consumption, and extend the network lifetime, but it requires off-line optimization. Yanika Kongsorot et al. [35] developed a fuzzy-based protocol by using an updated SFLA algorithm. They designed a new encoding scheme that utilized three fuzzy inference rules (FIS) to compute the odds of becoming a CH, the specific CH of a non-CH, and identifying an NH (next-hop node). EFC-ISFLA introduced the historical selection of nodes as CHs and defined an overlay boundary that sets the minimum allowable distance between adjacent CHs. In contrast to previous research [17], the improved SFLA (ISFLA) combined multiple OBL strategies to enhance the synergy between search algorithm advancements and exploratory capabilities. The comparison results showed that the protocol outperformed its competitors in terms of network stability, network lifetime, data transmission, and the correctness of test functions. Nevertheless, the superior performance of the protocol is accompanied by a significant increase in computation time, a more enormous load on the base station, and an increase in cost. In [36], the proposed designed Type-2 fuzzy logic system for CH selection was combined with a BFO (bacterial foraging optimization) routing algorithm. The node degree, node centrality, and energy are utilized as three fuzzy inputs to calculate the node’s probability of becoming CH. However, the generated 27 rules still exhibit low accuracy in solving the objective function.
3. System Model
3.1. Network Model
Assuming that N nodes are randomly dispersed within a Z*Z two-dimensional square, the CHs collect sensed data from all CMs (cluster members) through clusters, aggregate them, and then transmit data to the BS. The structure of WSN is depicted in Figure 1.
Figure 1.
WSN network model.
The network model is formulated based on the following considerations:
- The sensor nodes are homogeneous and static and are identified by their corresponding IDs;
- The distance between nodes is estimated based on the received signal strength indicator (RSSI);
- Wireless connections are bidirectional and symmetric;
- No energy constraint is attached to the BS;
- The sensor nodes communicate their information to the CHs and are in charge of collecting, aggregating, and sending the information to the BS directly or through other CHs.
3.2. Energy Model
The first-order radio model refers to the classic Leach protocol and the literature [16,30] to calculate the dissipated energy in this paper. The energy consumption for transmitting between nodes and with bits of data over distance is as follows:
where is the energy consumed in a transmitter or receiver circuit to send or receive one bit of packet data, and is the threshold distance of the transmission information which is estimated by . and are the amplifier coefficients used for free space and multi-path models. Similarly, the energy consumption for receiving between nodes and with bits of data can be calculated according to Equation (2):
Furthermore, the energy consumed for aggregating bits of data can be estimated by
where is the energy consumed for fusing 1-bit data.
4. Proposed Protocol
The FQA is a centralized protocol, and all computations are executed within a processor located in the BS. The objective is to develop an energy-efficient clustering and routing protocol that should be adjustable. We have divided the solution into four phases: CH selection, cluster formation, multi-hop routing, and on-demand re-clustering. The details of each phase are elaborated as follows.
4.1. CH Selection
The flexibility and fault tolerance of fuzzy logic enable simultaneous consideration of multiple factors when selecting the appropriate CH. The applicability of CHs can be evaluated comprehensively by defining appropriate membership functions and fuzzy rules. In the proposed FQA, we utilized an FIS (fuzzy inference system) with the classic Mamdani model to select the appropriate CHs based on the well-tuned fuzzy rule. In each round, the BS collects the information of all nodes in the network to select the set of CHs.
4.1.1. Step 1: Selection of Candidate CHs
Because nodes cannot be charged and their energy is limited, nodes with sufficient energy should be selected as CHs to improve network efficiency. The nodes with energy levels higher than the energy threshold are considered candidate CHs. The set of candidate CHs selected can be mathematically expressed by Equation (4):
where is the residual energy of the node and represents the average energy of the existing alive nodes:
Equation (5) is used to determine the nodes with enough energy to be selected for CHs.
4.1.2. Step 2: Selection of CHs
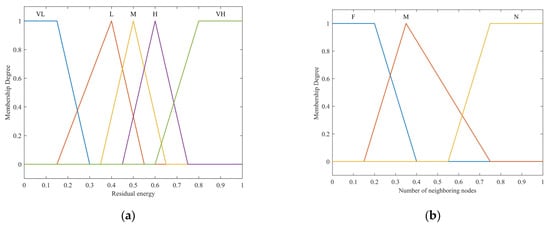
In this step, an FIS is adopted to compute the probabilities of becoming a CH for all candidate CHs stored in . We employed four fuzzy inputs including residual energy, number of neighboring nodes, distance to the BS, and node centrality to maximize the rationalization of CH selection. The parameters considered as FIS input characteristics are detailed as follows:
- Residual energy (): This parameter indicates the remaining energy of node denoted by in the current round. The CH serves as a critical node for data transmission, requiring a large amount of energy. This characteristic becomes more critical in the later stages of operation. In contrast to existing protocols that use a linearly declining weight constraint on this parameter, our approach determines the energy threshold at step 4.1.1 and selects nodes with the highest residual energy as candidate CHs.
- Number of neighboring nodes (): This parameter refers to the number of direct communication connections established between each node within its communication range and its surrounding nodes, representing each cluster’s compactness. A larger value of this parameter is considered a more satisfactory feature because it indicates a shorter intra-cluster distance.
- Distance to the BS (): This parameter concerns the Euclidean distance between the candidate node and the BS which is expressed by . The nodes with a closer distance to the BS have a higher probability of being selected as CHs because they consume less communication energy. Since the nodes are static, the BS has collected the distance information of all nodes based on RSSI in the first iteration.
- Node centrality (): Our protocol in this paper selects CHs before cluster formation, so we use the average distance between a candidate CH and its set of neighboring nodes () [35] to represent node centrality, which can be computed by
Using the above-mentioned inputs, the FLS outputs a chance to indicate the priority of nodes becoming CHs. The whole process involves normalization, fuzzification, a fuzzy logic system, and defuzzification, as shown in Figure 2.
Figure 2.
FIS for FQA.
Where normalization aims to standardize input variables from different ranges into a uniform range between 0 and 1, this step maps membership values to a standardized range that allows us to make efficient comparisons and calculations. Each normalized variable is mapped to a corresponding fuzzy linguistic variable via the membership functions.
In our proposed method, each selected input variable of each fuzzy system has different membership functions represented as trapezoidal, triangular–trapezoidal, and triangular. The fuzzy outputs for all the FISs are derived from the set of selected features obtained by the optimization process. We employed seven linguistic variables to express the outputs, providing enhanced flexibility in formulating the fuzzy rules. The detailed linguistic variables and parameters can be found in Table 1.
Table 1.
Input and output parameters.
The membership functions of the inputs and output can be formulated based on previous works [13,17] and experimental experiences. These are illustrated in Figure 3 and Figure 4, respectively.

Figure 3.
Membership function for the input variables: (a) residual energy; (b) number of neighboring nodes; (c) distance to the BS; (d) node centrality.
Figure 4.
Membership function for the output variable.
In the proposed FQA, we used the fuzzy logic model to select CHs based on probability values. The node with the highest probability values emerges as the winner and takes the CH position. Every node sends messages containing the node ID and probability value to all other nodes in the range after the fuzzy system generates the probability values. They receive a message with the node ID and probability from other nodes and use this information to select a CH. The function mapping between input and output variables is constructed based on the knowledge base consisting of if–then rules, and the final fuzzy rules are shown in Table 2.
Table 2.
Optimized fuzzy rule table for CH selection.
4.2. Cluster Formation
After the selection of the CHs, each final selected CH broadcasts the message that it becomes a CH within its communication range. The nodes that are not selected are treated as CMs (cluster members) and assigned to a particular CH with higher potential according to Equation (7):
where is the node potential, denotes the residual energy of the respective CH, and represents the Euclidean distance between the and . is the proportionality constant. Since the node with higher residual energy has been selected as the CH in step 4.1.1, is regarded as a more important factor in this section. After a simulation comparison, we set to 0.3.
4.3. Multi-Hop Routing Approaches
4.3.1. Simulated Annealing
Inspired by the physical annealing process, Metropolis et al. simulated the annealing process in metal smelting and proposed the simulated annealing algorithm, which is a Markov chain Monte Carlo method based on statistical mechanics, to find the optimal solution that minimizes the objective function among a set of candidate solutions. At the beginning of the annealing process, the SA algorithm avoids becoming stuck in local optima by occasionally moving uphill, which iteratively compares the value of the objective function corresponding to the current point and the adjacent points. In a later stage, it incorporates the Metropolis criterion to find the minimum value of the objective function. Although the SA algorithm is widely used in path planning, it still has many shortcomings. Parameters such as initial temperature and iteration times of the inner loop have a great influence on the results, and at the beginning of annealing, the probability of accepting the better solution and the worse solution is almost the same.
4.3.2. Quantum Annealing
Different from the simulated annealing algorithm which jumps over the barrier to eliminate the local optimum, the quantum annealing algorithm introduces a penetration field into the quantum system and generates quantum wave motion to penetrate the potential barrier itself, then reaches the lowest energy state [29]. In the early stage of annealing, the kinetic energy term is relatively large, providing a large disturbance that can fully traverse the entire solution space. The kinetic energy term is gradually reduced, and in the later stage of annealing, the kinetic energy term is gradually reduced to 0. The comparison of the ways of crossing the barrier is shown in Figure 5.
Figure 5.
Difference between SA and QA.
In other words, the state of the minimum potential energy of the system is reached. The evolution of the quantum system under the action of potential and kinetic energy can be described by the following Schrödinger Equation (8):
where is Planck’s constant and is the Hamiltonian operator.
where is the particle mass, is the gradient operator, is the potential field of the particle. In practice, the complexity of Equation (9) increases exponentially with the increase in problem complexity, so we adopt the PIMC (path-integral Monte Carlo) method to simulate the quantum annealing process. The two-dimensional stochastic Ising model is employed to elucidate the PIMC process [37]:
As shown in Figure 6, each arrow represents a distinct magnetic needle with varying spin magnetism. The collective spin orientation of all these magnetic needles determines the overall magnetization. The interaction between adjacent magnetic needles and environmental thermal noise influences the behavior of each needle. Thermal noise interference intensifies as temperature increases, leading to random magnetism in the magnetic needles. However, during the annealing process characterized by a gradual decrease in temperature, neighbor interactions become more prominent. Eventually, when the temperature reaches a sufficiently low level, many tiny magnetic needles in a uniform direction exhibit magnetism. At this time, the system energy is minimal. The Hamiltonian function of the transverse field Ising model is formulated as
where represents the external local field, which is not considered in this paper for the sake of simplicity and is assumed to be 0. denotes the coupling strength between quantum bit , ; and denote the Pauli operator Z spin matrices at point , . The concept of spin can be interpreted as a minute magnetic needle positioned in a specific state, oscillating between the states of 1 and 0 due to the influence of the transverse field’s kinetic energy. This transformation effectively shifts the model from classical to quantum. According to the Hamiltonian function of the Ising model, the Hamiltonian function of quantum annealing can be obtained:
where stands for field strength, and it induces the up-and-down transition of the spin state of a single quantum bit, similar to the temperature in the simulated annealing algorithm. According to the Trotter theorem, we decompose the Hamiltonian into multiple smaller Hamiltonians to efficiently compute the evolutionary outcomes.
Figure 6.
Two-dimensional stochastic Ising model.
4.3.3. Route Generation
- A.
- The basic process of the QA algorithm
The limitation of the uncertain convergence time is overcome by optimizing the QA algorithm. The route generation process using the QA algorithm is described clearly in this section.
- The BS collects the location information and the residual energy information of each CH.
- We constructed a two-dimensional routing matrix and a two-dimensional weight matrix according to the number of CHs and energy consumption model.
- In order to minimize the energy consumption in the communication process, the objective function is constructed by using two matrices.
- We constructed constraint terms and combined them with the objective function to obtain the potential energy.
- The kinetic energy of the construction is combined with the potential energy to obtain the Hamiltonian.
- The routing planning scheme is obtained by solving the resulting Hamiltonian with the QA algorithm and repeating N times. Then, the scheme with the minimum energy consumption is taken as the current round scheme.
- The energy consumption difference between the current and last rounds was compared. If the relative difference was within 5%, the scheme with more minor energy consumption was selected as the optimal scheme; otherwise, the next round of comparison was performed.
- B.
- Construction of objective function and potential energy term
The matrix which represents the routing connection relationships of all CHs in the network is expressed in Equation (12):
where is the number of CHs. The CHs collect data and transmit them to the BS through multi-hop or single-hop routing, and the BS is the end of the data transmission. means that there is no routing connection between nodes and ; means that there is a routing connection between nodes and . At the same time, we use the energy consumption of single-bit data transmission as the connection weight and only consider the energy consumption of sending data from CHs to the BS when constructing the energy consumption weight matrix in this paper. The two-dimensional weight matrix representing the routing energy consumption is as follows:
So we obtain the objective function in Equation (14), and our optimization objective is to obtain the minimum value of ,
represents the routing connection state, corresponding to in the Ising model. In order to prevent the possible matrix from being in an arrangement that is not in line with the actual situation, we set the constraint term . Since the communication between nodes is bidirectional, it is an equal-probability event that node transmits data to node and node transmits data to the node , and the randomly generated routing connection easily causes loop breakage. Therefore, the concept of parent node and child node is used to eliminate the error situation. and represent two different connection relationships which cannot both be 1. means that node is the parent node of node , and data are transmitted from to . We set the first constraint that each node can have only one child node, that is, every column has only one element of 1, in which case = 0:
The second constraint term ensures that CHs are connected to a path:
We used an array to denote the total count of CHs in the matrix which satisfies the condition of the number of child nodes being zero. If , that is, only the BS has no child nodes, . Otherwise, , which is an unreasonable routing scheme. The potential energy is calculated from the above objective function and two constraint terms:
The weight of constraint terms is increased to eliminate incorrect routing schemes. is the largest element value in ω; if the routing scheme satisfies the actual situation, and , that is, the corresponding is smaller.
- C.
- Construction of classical Hamiltonian
The random construction generates n different connection replicas to form the set . The greater the number of copies, the higher the accuracy of the solution; however, this will also lead to an increase in calculation time and cost. After careful consideration, we refer to the parameter value, n = 40, with the best effect after comparative experiments in the literature [38]. Kinetic energy is generated by quantum fluctuations which refer to the interaction between n sets; that is, the values at the same position between adjacent copies are multiplied and summed. We used the scheme in [37] for the calculation:
where , and is introduced as a coupling term to adjust the magnetic field strength [39], which is calculated by Equation (19):
where is the effective QA temperature. As the Monte Carlo step progresses, the tunneling field intensity slowly decreases from a relatively high value. After manual parameter adjustment for testing, the optimal values of and were found within the ranges of and [40]. According to the Monte Carlo method, the classical Hamiltonian can be expressed as
If the number of the same positions with a value of 1 in n sets is higher, there tends to be greater consistency among adjacent copies, and then the value of is higher and the value of is lower. The operator set introduced in the subsequent section is utilized for updates, enabling kinetic energy to reach lower values when potential energy cannot be further reduced, thereby escaping local optima. determines the relative importance between the kinetic energy term and the potential energy term. With the annealing process, the sets gradually become similar, (the difference value between the candidate kinetic energy term and the current kinetic energy term) gradually decreases, and , which is inversely proportional to , gradually increases, ensuring that the kinetic energy term continues to play a role. From the current Hamiltonian, we obtain the optimal two-dimensional routing connection matrix using the PIMC-QA algorithm in Matlab.
- D.
- Construction of operator
Given that the constraint term has already been constructed in Section B, we exclusively construct one operation for updating the replica set. We find a random position in the matrix with the value of 1, disconnect it from its child node, and then choose a new child node within the same column. Figure 7 shows an example of the operator with arrows indicating the direction of data transmission.
Figure 7.
An example of the operator : (a) matrix before using ; (b) matrix after using ; (c) route before using ; (d) route after using .
- E.
- The Pseudo-Code of the QA algorithm
Algorithm 1 is the QA algorithm pseudo-code.
| Algorithm 1: The implementation of route planning |
17. end while 20. end while 22. end |
Here, is the maximum number of steps for Monte Carlo steps. is the candidate solution, which is obtained by updating the current solution with the operator , and the Monte Carlo criterion [38] of the simulated annealing algorithm is adopted in line 18.
4.4. Cluster Maintenance
To reduce energy consumption and balance the load, this paper adopts the on-demand maintenance mechanism. The CHs consume too much energy to collect and transmit data to the BS, and the clusters nearer to the BS consume energy too quickly, so the cluster maintenance phase is considered as one of the important phases for prolonging the network lifetime. Each selected CH remains in its position for a certain number of rounds. Once its remaining energy is below the threshold , the CH announces the node with the second-largest probability of becoming a new CH. Based on the saved chance values, the CH shift can be performed every time with only a small control packet. Moreover, when a node only functions as a CH in a round, it transmits a small control packet to its neighboring CHs instead of its CMs. Additionally, the data packet will be forwarded by the neighbor CHs until all CHs receive it. The BS will re-initialize the FIS and reselect the CHs on demand when all CHs perform a shift operation or if a CH has exhausted its energy. Then, the quantum annealing algorithm is used to obtain the optimal routing path from CHs to the BS.
5. Simulation Results and Discussion
The proposed FQA is simulated using MATLAB 2022a software because its Fuzzy Toolbox examines all fuzzy membership functions, hence making it suitable for use. The performance is compared with the existing protocols, including FRNSEER [13], FC-RBAT [14], BOA-ACO [22], and OAFS-IMFO [32]. The simulation parameters are presented in Table 3.
Table 3.
Simulation parameters.
The positioning of the BS and the number of nodes can influence the experimental outcomes. Thus, we established four different scenarios to evaluate the proposed approach. In scenario 1, we randomly deployed 70 nodes within a network area measuring 100 m × 100 m, and the BS was positioned at the center of the network. In the second scenario, the BS is switched to the edge of the network. Then, we expanded the network to 200 m × 200 m and increased the number of nodes to 150, which can further verify the stability of the proposed algorithm. Finally, we placed the BS at the corner of the network. The scenario parameters are shown in Table 4.
Table 4.
Descriptions of scenarios.
The proposed protocol was compared with the FRNSEER, BOA-ACO, OAFS-IMFO, and FC-RBAT in different scenarios from the perspective of alive nodes, network lifetime, energy consumption, and throughput. The detailed test results are shown and discussed as follows.
5.1. Network Lifetime
This section compares the network lifetime between the proposed methodology and existing protocols. The lifetime of a network is defined as the number of rounds when the total number of nodes completely exhausts their energy, and it is the most important metric for measuring the protocol. Table 5 shows the simulation results of the first node death round (FND), half node death round (HND), and all node death round (LND) for different protocols. In addition, the simulation results of the number of surviving nodes in the network are shown in Figure 8.
Table 5.
FND, HND, LND in different scenarios.
Figure 8.
Network lifetime comparison in different scenarios: (a) scenario 1; (b) scenario 2; (c) scenario 3; (d) scenario 4.
As shown in Table 5, our proposed protocol overcomes the shortcomings of other protocols while extending the network lifetime; it also performs well in HND and LND. The BOA-ACO protocol utilizes the ACO algorithm to determine the optimal path from CHs to the BS, which has the risk of falling into local optima. OAFS-IMFO introduced two different meta-heuristic algorithms in the CH selection and routing path planning, which increases the risk of falling into the local optimal solution. The two sets of fuzzy rules of FC-RBAT significantly prolong system computation time, leading to higher energy consumption and reduced network lifetime. Our protocol uses the fuzzy system in CHs selection to plan cluster distribution accurately and choose a quantum annealing algorithm in the routing stage. Compared with the FRNSEER protocol, it can quickly obtain the optimal solution in all the transmission paths from CHs to the BS. As shown in Figure 8, our protocol provides better performance in terms of network lifetime. The alive nodes of the proposed protocol are sustained until 2838, 2489, 3040, and 1482 rounds in four scenarios. The performance of the proposed protocol is 81.23%, 85.33%, 83.35%, and 29.66% higher than OAFS-IMFO; 46.36%, 48.77%, 71.27%, and 18.65% higher than FC-RBAT, 29.83%; 16.04%, 28.98%, and 16.60% higher than FRNSEER; and 14.95%, 14.49%, 15.37%, and 13.39% higher than BOA-ACO, respectively, in the different scenarios.
5.2. Energy Consumption
The wireless sensor nodes are usually powered by batteries with limited capacity that cannot be easily replaced or recharged promptly. Therefore, effectively reducing energy consumption is crucial for ensuring efficient resource utilization and achieving a sustainable network. Enhancing the system’s sustainability can effectively reduce the frequency and cost of maintenance for networks requiring long-term detection [41]. Figure 9 compares our proposed protocol’s energy consumption with four other latest protocols across four scenarios.
Figure 9.
Network energy consumption comparison in different scenarios: (a) scenario 1; (b) scenario 2; (c) scenario 3; (d) scenario 4.
Frequent updates of CHs will increase network energy consumption. Our protocol adds the process of candidate CHs to ensure that the selected CHs are higher than the average remaining energy of existing nodes, prolonging the survival time of CHs and minimizing energy consumption. The FRNSEER and OAFS-IMFO protocols do not consider the degree of cluster compactness, which may cause an uneven distribution of clusters. FC-RBAT used fuzzy C-means for clustering, and its accuracy in selecting reasonable CHs is significantly lower than that of FQA. The parameters considered by the BOA-ACO protocol are more comprehensive, thereby increasing the complexity of calculations. Under identical conditions, our protocol can achieve superior results in terms of clustering and routing.
In the experiment, FQA consumes half of the energy in 880, 752, 518, 503 rounds, which is 43.79%, 96.86%, 58.41%, 93.46% lower than OAFS-IMFO; 37.72%, 49.80%, 49.28%, 40.50% lower than FC-RBAT; 31.54%, 47.75%, 7.25%, 22.68% lower than FRNSEER; and 1.49%, 20.51%, 5.715, 10.55% lower than the BOA-ACO protocol in the four scenarios. FQA has more evident advantages in saving energy.
5.3. Throughput
Throughput is a crucial metric for evaluating network performance, as it measures the amount of data that can be successfully transmitted within a given time frame. The results of the simulation comparison demonstrate that our protocol exhibits superior network data transmission efficiency and reliability.
Figure 10 shows the throughput comparison. At the scale of a 100 m × 100 m network, in terms of throughput, compared with OAFS-IMFO, FC-RBAT, FRNSEER, and BOA-ACO, FQA has increased by 38.89%, 32.765%, 26.165%, and 8.72% on average, respectively. These data show that our protocol maintains the effectiveness of data transmission rates as the network expands. FQA has increased by 22.01%, 22,79%, 3.58%, and 2.04% on average at 200 m × 200 m, respectively.
Figure 10.
Network throughput comparison in different scenarios: (a) area 100 m × 100 m, 15%CH; (b) area 200 m × 200 m, 10%CH.
6. Conclusions
The combination of FCM and QA is employed in this paper to optimize a network’s energy consumption and prolong the network’s lifetime. Initially, candidate CHs are selected based on a predefined energy threshold, prioritizing nodes with higher residual energy. Then, the proposed FQA considers effective parameters, including residual energy, the number of neighboring nodes, distance to the BS, and node centrality as descriptors of FIS to achieve the best decision, and the remaining nodes are assigned to particular CHs with higher potential according to energy and distance. Subsequently, an objective function is formulated based on potential energy derived from the energy matrix, distance matrix, and constraint terms. Then, we combine it with the kinetic energy generated by the interaction between n sets to obtain the Hamiltonian. The QA algorithm calculates the Hamiltonian to obtain the routing scheme from CHs to the BS with the minimum energy consumption. Finally, we utilized an on-demand re-clustering mechanism to decrease energy consumption further. Simulation results showed that FQA performs better than the existing protocols OAFS-IMFO, FC-RBAT, FRNSEER, and BOA-ACO in all scenarios regarding energy consumption, network lifetime, the number of surviving nodes, and throughput. Significantly, the network lifetime of FQA in scenario 1 has increased by 81.23%, 46.36%, 29.83%, and 14.95%, compared to OAFS-IMFO, FC-RBAT, FRNSEER, and BOA-ACO, respectively.
However, the proposed FQA is implemented only for a homogeneous and stationary network. In our future work, we will consider the incorporation of heterogeneous networks and mobile sinks into our research.
Author Contributions
Conceptualization, H.W. and H.H.; methodology, K.L. and H.H.; software, K.L.; validation, H.W. and K.L.; formal analysis, K.L. and H.H.; investigation, H.H. and C.W.; resources, H.W. and C.W.; data curation, K.L. and C.W.; writing—original draft preparation, K.L.; writing—review and editing, H.W. and H.H.; visualization, H.W. and C.W.; supervision, H.H.; project administration, H.W. and H.H.; funding acquisition, H.W. and C.W. All authors have read and agreed to the published version of the manuscript.
Funding
This work is supported by the Science and Technology Development Project of Jilin Province [grant number: 20210201113GX; 20210201051GX; 20240302054GX; 20210203161SF].
Institutional Review Board Statement
Not applicable.
Informed Consent Statement
Not applicable.
Data Availability Statement
Data are contained within the article.
Conflicts of Interest
The authors declare no conflicts of interest.
References
- Pandey, O.J.; Hegde, R.M. Low-latency and energy-balanced data transmission over cognitive small world WSN. IEEE Trans. Veh. Technol. 2018, 67, 7719–7733. [Google Scholar] [CrossRef]
- Zhang, G.; Li, R. Fog computing architecture-based data acquisition for WSN applications. China Commun. 2017, 14, 69–81. [Google Scholar] [CrossRef]
- Flammini, A.; Ferrari, P.; Marioli, D.; Sisinni, E.; Taroni, A. Wired and wireless sensor networks for industrial applications. Microelectron. J. 2009, 40, 1322–1336. [Google Scholar] [CrossRef]
- Kafi, M.A.; Challal, Y.; Djenouri, D.; Doudou, M.; Bouabdallah, A.; Badache, N. A study of wireless sensor networks for urban traffic monitoring: Applications and architectures. Procedia Comput. Sci. 2013, 19, 617–626. [Google Scholar] [CrossRef]
- Wu, F.; Li, X.; Sangaiah, A.K.; Xu, L.L.; Kumari, S.; Wu, L.X.; Shen, J. A lightweight and robust two-factor authentication scheme for personalized healthcare systems using wireless medical sensor networks. Futur. Gener. Comp. Syst. 2018, 82, 727–737. [Google Scholar] [CrossRef]
- Dubois, P.; Botteron, C.; Mitev, V.; Menon, C.; Farine, P.A.; Dainesi, P.; Ionescu, A.; Shea, H. Ad hoc wireless sensor networks for exploration of Solar-system bodies. Acta Astronaut. 2009, 64, 626–643. [Google Scholar] [CrossRef]
- Gulec, O. Extending lifetime of Wireless Nano-Sensor Networks: An energy efficient distributed routing algorithm for Internet of Nano-Things. Futur. Gener. Comp. Syst. 2022, 135, 382–393. [Google Scholar] [CrossRef]
- Amer, A.; Abd El-Samie, F.E.; Salem, A.A.; Shokair, M.; Benaya, A.M. Secure Transmission in Wireless Sensor Networks via Reconfigurable Intelligent Surface. Digit. Signal Prog. 2023, 140, 8. [Google Scholar] [CrossRef]
- Nguyen, L.; Nguyen, H.T. Mobility based network lifetime in wireless sensor networks: A review. Comput. Netw. 2020, 174, 24. [Google Scholar] [CrossRef]
- Nassra, I.; Capella, J.V. Data compression techniques in IoT-enabled wireless body sensor networks: A systematic literature review and research trends for QoS improvement. Internet Things 2023, 23, 19. [Google Scholar] [CrossRef]
- Fanian, F.; Rafsanjani, M.K. Cluster-based routing protocols in wireless sensor networks: A survey based on methodology. J. Netw. Comput. Appl. 2019, 142, 111–142. [Google Scholar] [CrossRef]
- Shahraki, A.; Taherkordi, A.; Haugen, O.; Eliassen, F. Clustering objectives in wireless sensor networks: A survey and research direction analysis. Comput. Netw. 2020, 180, 18. [Google Scholar] [CrossRef]
- Ramkumar, K.; Ananthi, N.; Brabin, D.R.D.; Goswami, P.; Baskar, M.; Bhatia, K.K.; Kumar, H. Efficient routing mechanism for neighbour selection using fuzzy logic in wireless sensor network. Comput. Electr. Eng. 2021, 94, 13. [Google Scholar] [CrossRef]
- Lipare, A.; Edla, D.R.; Dharavath, R. Energy efficient fuzzy clustering and routing using BAT algorithm. Wirel. Netw. 2021, 27, 2813–2828. [Google Scholar] [CrossRef]
- Reddy, P.V.S. Fuzzy conditional inference and application to wireless sensor network fuzzy control systems. In Proceedings of the 2015 IEEE 12th International Conference on Networking, Sensing and Control, Taipei, Taiwan, 9–11 April 2015; IEEE: New York, NY, USA, 2015; pp. 1–6. [Google Scholar]
- Nayak, P.; Devulapalli, A. A Fuzzy Logic-Based Clustering Algorithm for WSN to Extend the Network Lifetime. IEEE Sens. J. 2016, 16, 137–144. [Google Scholar] [CrossRef]
- Fanian, F.; Rafsanjani, M.K. A new fuzzy multi-hop clustering protocol with automatic rule tuning for wireless sensor networks. Appl. Soft. Comput. 2020, 89, 24. [Google Scholar] [CrossRef]
- Chandirasekaran, D.; Jayabarathi, T. Cat swarm algorithm in wireless sensor networks for optimized cluster head selection: A real time approach. Clust. Comput. 2019, 22, 11351–11361. [Google Scholar] [CrossRef]
- Zheng, W.M.; Xu, L.D.; Pan, J.S.; Chai, Q.W. Cluster head selection strategy of WSN based on binary multi-objective adaptive fish migration optimization algorithm. Appl. Soft. Comput. 2023, 148, 10. [Google Scholar] [CrossRef]
- Zheng, E.X.; Liu, R.R. Routing Technology in Wireless Sensor Network Based on Ant Colony Optimization Algorithm. Wirel. Pers. Commun. 2017, 95, 1911–1925. [Google Scholar]
- Muruganantham, N.; El-Ocla, H. Routing Using Genetic Algorithm in a Wireless Sensor Network. Wirel. Pers. Commun. 2020, 111, 2703–2732. [Google Scholar] [CrossRef]
- Maheshwari, P.; Sharma, A.K.; Verma, K. Energy efficient cluster based routing protocol for WSN using butterfly optimization algorithm and ant colony optimization. Ad Hoc Netw. 2021, 110, 15. [Google Scholar] [CrossRef]
- Asiri, M.M.; Alotaibi, S.S.; Elkamchouchi, D.H.; Aziz, A.S.A.; Hamza, M.A.; Motwakel, A.; Zamani, A.; Yaseen, I. Metaheuristics Enabled Clustering with Routing Scheme for Wireless Sensor Networks. CMC-Comput. Mat. Contin. 2022, 73, 5491–5507. [Google Scholar]
- Yang, X.; Yan, J.Q.; Wang, D.S.; Xu, Y.G.; Hua, G. THSI-RP: A two-tier hybrid swarm intelligence based node clustering and multi-hop routing protocol optimization for wireless sensor networks. Ad Hoc Netw. 2023, 149, 22. [Google Scholar] [CrossRef]
- Rawat, P.; Kumar, P.; Chauhan, S. Fuzzy logic and particle swarm optimization-based clustering protocol in wireless sensor network. Soft Comput. 2023, 27, 5177–5193. [Google Scholar] [CrossRef]
- Srinivas, P.; Swapna, P. Quantum tunicate swarm algorithm based energy aware clustering scheme for wireless sensor networks. Microprocess. Microsyst. 2022, 94, 10. [Google Scholar] [CrossRef]
- Abas, S.M.; Noori, S.F.; Yuvaraj, D.; Priya, S.S. Quantum Computing-Inspired Genetic Algorithm for Network Optimization in WSN. Int. J. Intell. Syst. Appl. Eng. 2024, 12, 188–194. [Google Scholar]
- Nikouei, R.; Rasouli, N.; Tahmasebi, S.; Zolfi, S.; Faragardi, H.; Fotouhi, H. A quantum-annealing-based approach to optimize the deployment cost of a multi-sink multi-controller WSN. Procedia Comput. Sci. 2019, 155, 250–257. [Google Scholar] [CrossRef]
- Huang, Z.J.; Zhang, J.L.; Wu, M.Q.; Li, X.; Dong, Y.M. Evolutionary Method of Sink Node Path Planning Guided by the Hamiltonian of Quantum Annealing Algorithm. IEEE Access 2021, 9, 53466–53479. [Google Scholar] [CrossRef]
- Al-Khayyat, A.T.A.; Ibrahim, A. Energy optimization in wsn routing by using the K-means clustering algorithm and ant colony algorithm. In Proceedings of the 2020 4th International Symposium on Multidisciplinary Studies and Innovative Technologies (ISMSIT), Istanbul, Turkey, 22–24 October 2020; IEEE: New York, NY, USA, 2020; pp. 1–4. [Google Scholar]
- Kaedi, M.; Bohlooli, A.; Pakrooh, R. Simultaneous optimization of cluster head selection and inter-cluster routing in wireless sensor networks using a 2-level genetic algorithm. Appl. Soft. Comput. 2022, 128, 11. [Google Scholar] [CrossRef]
- Jagadeesh, S.; Muthulakshmi, I. A novel oppositional artificial fish swarm based clustering with improved moth flame optimization based routing protocol for wireless sensor networks. Energy Syst. 2022, 1–21. [Google Scholar] [CrossRef]
- Potthuri, S.; Shankar, T.; Rajesh, A. Lifetime Improvement in Wireless Sensor Networks using Hybrid Differential Evolution and Simulated Annealing (DESA). Ain Shams Eng. J. 2018, 9, 655–663. [Google Scholar] [CrossRef]
- Kumar, V.; Bass, G.; Tomlin, C.; Dulny, J. Quantum annealing for combinatorial clustering. Quantum Inf. Process. 2018, 17, 14. [Google Scholar] [CrossRef]
- Kongsorot, Y.; Musikawan, P.; Muneesawang, P.; So-In, C. An enhanced fuzzy-based clustering protocol with an improved shuffled frog leaping algorithm for WSNs. Expert Syst. Appl. 2022, 198, 23. [Google Scholar] [CrossRef]
- Alla, V.K.; Mallikarjuna, M. Routing protocol based on bacterial foraging optimization and type-2 fuzzy logic for wireless sensor networks. In Proceedings of the 2020 11th International Conference on Computing, Communication and Networking Technologies (ICCCNT), Kharagpur, India, 1–3 July 2020; IEEE: New York, NY, USA, 2020; pp. 1–6. [Google Scholar]
- Martoňák, R.; Santoro, G.E.; Tosatti, E. Quantum annealing by the path-integral Monte Carlo method: The two-dimensional random Ising model. Phys. Rev. B 2002, 66, 094203. [Google Scholar] [CrossRef]
- Syrichas, A.; Crispin, A. Large-scale vehicle routing problems: Quantum Annealing, tunings and results. Comput. Oper. Res. 2017, 87, 52–62. [Google Scholar] [CrossRef]
- Bi, Z.Q.; Yang, X.T.; Wang, B.N.; Zhang, W.N.; Dong, Z.; Zhang, D. Quantum annealing algorithm for fault section location in distribution networks. Appl. Soft. Comput. 2023, 149, 14. [Google Scholar] [CrossRef]
- Titiloye, O.; Crispin, A. Quantum annealing of the graph coloring problem. Discret. Optim. 2011, 8, 376–384. [Google Scholar] [CrossRef]
- Jiao, W.; Tang, R.; Zhou, W. Delay-sensitive energy-efficient routing scheme for the Wireless Sensor Network with path-constrained mobile sink. Ad Hoc Netw. 2024, 158, 103479. [Google Scholar] [CrossRef]
Disclaimer/Publisher’s Note: The statements, opinions and data contained in all publications are solely those of the individual author(s) and contributor(s) and not of MDPI and/or the editor(s). MDPI and/or the editor(s) disclaim responsibility for any injury to people or property resulting from any ideas, methods, instructions or products referred to in the content. |
© 2024 by the authors. Licensee MDPI, Basel, Switzerland. This article is an open access article distributed under the terms and conditions of the Creative Commons Attribution (CC BY) license (https://creativecommons.org/licenses/by/4.0/).