An Indoor Fire Detection Method Based on Multi-Sensor Fusion and a Lightweight Convolutional Neural Network
Abstract
:1. Introduction
2. Indoor Fire Detection Method
2.1. Sensor Signal Pre-Processing
2.2. ConvNeXt Network Model
3. Dataset Acquisition and Model Training
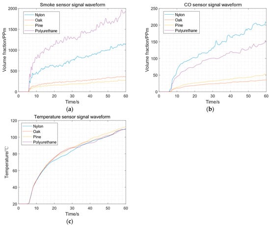
3.1. Acquisition of Datasets
3.1.1. Acquisition of Positive Samples
- (1)
- Modeling with PyroSim
- (2)
- Numerical Simulation of Indoor Fire
3.1.2. Acquisition of Negative Samples
3.2. Multi-Heterogeneous Sensor Signal Pre-Processing
3.3. Model Training
4. Experimental Verification
5. Conclusions
Author Contributions
Funding
Institutional Review Board Statement
Informed Consent Statement
Data Availability Statement
Conflicts of Interest
References
- Brushlinsky, N.N.; Ahrens, M.; Sokolov, S.V.; Wagner, P. World Fire Statistics; Center of Fire Statistics: 2022. Available online: https://ctif.org/news/ctif-world-fire-statistics-report-no-27-now-available-download (accessed on 7 October 2023).
- Luck, H.O. Dedicated detection algorithms for automatic fire detection. In Fire Safety Science—Proceedings of the Third International Symposium, Edinburgh, UK, 8–12 July 1991; Routledge: London, UK, 1991; pp. 135–148. [Google Scholar]
- Klose, J.; Siebel, R. A fire detection algorithm using second order statistics. In Fire Safety Science—Proceedings of the Third International Symposium, Edinburgh, UK, 8–12 July 1991; Routledge: London, UK, 1991; pp. 943–953. [Google Scholar]
- Zhang, H.; Zhang, H.; Yin, N. Design of Smoke-temperature Composite Detector Based on HWD32. In Proceedings of the 2023 IEEE 6th Information Technology, Networking, Electronic and Automation Control Conference (ITNEC), Chongqing, China, 24–26 February 2023; pp. 432–437. [Google Scholar]
- Anđelić, N.; Baressi Šegota, S.; Lorencin, I.; Car, Z. The Development of Symbolic Expressions for Fire Detection with Symbolic Classifier Using Sensor Fusion Data. Sensors 2023, 23, 169. [Google Scholar] [CrossRef] [PubMed]
- Feng, Y.; Hu, J.; Duan, R.; Chen, Z. Credibility Assessment Method of Sensor Data Based on Multi-Source Heterogeneous Information Fusion. Sensors 2021, 21, 2542. [Google Scholar] [CrossRef] [PubMed]
- Qaffas, A.A. Optimized Back Propagation Neural Network Using Quasi-Oppositional Learning-Based African Vulture Optimization Algorithm for Data Fusion in Wireless Sensor Networks. Sensors 2023, 23, 6261. [Google Scholar] [CrossRef] [PubMed]
- Zhang, L.; Wang, G. Design and implementation of automatic fire alarm system based on wireless sensor networks. In Proceedings of the 2009 International Symposium on Information Processing (ISIP 2009), Huangshan, China, 21–23 August 2009; p. 410. [Google Scholar]
- Liang, Y.H.; Tian, W.M. Multi-sensor Fusion Approach for Fire Alarm Using BP Neural Network. In Proceedings of the 2016 International Conference on Intelligent Networking and Collaborative Systems (INCoS), Ostrava, Czech Republic, 7–9 September 2016; pp. 99–102. [Google Scholar]
- Wang, T.; Hu, J.S.; Ma, T.Y.; Song, J. Forest fire detection system based on Fuzzy Kalman filter. In Proceedings of the 2020 International Conference on Urban Engineering and Management Science (ICUEMS), Zhuhai, China, 24–26 April 2020; pp. 630–633. [Google Scholar]
- Rachman, F.Z.; Hendrantoro, G. A Fire Detection System Using Multi-Sensor Networks Based on Fuzzy Logic in Indoor Scenarios. In Proceedings of the 2020 8th International Conference on Information and Communication Technology (ICoICT), Bandung, Indonesia, 24–26 June 2020; pp. 1–6. [Google Scholar]
- Wang, R.; Li, Y.H.; Sun, H.; Yang, K.X. Multisensor-Weighted Fusion Algorithm Based on Improved AHP for Aircraft Fire Detection. Complexity 2021, 2021, 8704924. [Google Scholar] [CrossRef]
- Maltezos, E.; Petousakis, K.; Dadoukis, A.; Karagiannidis, L.; Ouzounoglou, E.; Krommyda, M.; Hadjipavlis, G.; Amditis, A. A Smart Building Fire and Gas Leakage Alert System with Edge Computing and NG112 Emergency Call Capabilities. Information 2022, 13, 164. [Google Scholar] [CrossRef]
- Jiang, G.; Shang, F.; Wang, F.; Liu, X.; Qiu, T. A Combined Intelligent Fire Detector with BP Networks. In Proceedings of the 2006 6th World Congress on Intelligent Control and Automation, Dalian, China, 21–23 June 2006; pp. 5417–5419. [Google Scholar] [CrossRef]
- Deng, L.; Liu, Q.Y.; Hu, L.; He, Y.H. Joint detection method of fire in confined space based on BP neural network. J. Saf. Sci. Technol. 2020, 16, 158–162. [Google Scholar]
- Andrew, A.M.; Zakaria, A.; Mad Saad, S.; Md Shakaff, A.Y. Multi-stage feature selection based intelligent classifier for classification of incipient stage fire in building. Sensors 2016, 16, 31. [Google Scholar] [CrossRef] [PubMed]
- Huang, L.; Liu, G.; Wang, Y.; Yuan, H.; Chen, T. Fire detection in video surveillances using convolutional neural networks and wavelet transform. Eng. Appl. Artif. Intell. 2022, 110, 104737. [Google Scholar] [CrossRef]
- Baek, J.; Alhindi, T.J.; Jeong, Y.-S.; Jeong, M.K.; Seo, S.; Kang, J.; Shim, W.; Heo, Y. Real-time fire detection system based on dynamic time warping of multichannel sensor networks. Fire Saf. J. 2021, 123, 103364. [Google Scholar] [CrossRef]
- Sun, T.T.; Li, J.; Su, N. Multi feature fusion prediction of marine engine room fire based on LSTM network. Fire Sci. Technol. 2020, 39, 985–988. [Google Scholar]
- Liu, Z.; Mao, H.; Wu, C.Y.; Feichtenhofer, C.; Darrell, T.; Xie, S. A convnet for the 2020s. In Proceedings of the IEEE/CVF Conference on Computer Vision and Pattern Recognition, New Orleans, LA, USA, 18–24 June 2022; pp. 11976–11986. [Google Scholar]
- Tanu; Kakkar, D. Accounting For Order-Frame Length Tradeoff of Savitzky-Golay Smoothing Filters. In Proceedings of the 2018 5th International Conference on Signal Processing and Integrated Networks (SPIN), Noida, India, 22–23 February 2018; pp. 805–810. [Google Scholar] [CrossRef]
- Wang, Z.; Oates, T. Imaging time-series to improve classification and imputation. arXiv 2015, arXiv:1506.00327. [Google Scholar]
- Tzani, M.; Besharat, J.; Charalampous, V.; Stylios, C. Building a Virtual Reality Fire Environment based on Fire Dynamic Simulator. In Proceedings of the 2020 International Conference on Information Technologies (InfoTech), Varna, Bulgaria, 17–18 September 2020; pp. 1–5. [Google Scholar] [CrossRef]











| Actual Space Size | Modeling Space Size | Grid Number |
|---|---|---|
| 2.4 m × 2.4 m × 3 m | 2.6 m × 2.6 m × 3.2 m | 20,280 |
| Model Name | Parameters | FLOPs | Accuracy |
|---|---|---|---|
| BPNN [15] | 12.4 M | 12.41 M | 93.40% |
| LSTM [19] | 218.88 K | 12.27 M | 92.90% |
| ConvNeXt-FiRe | 399.91 k | 12.58 M | 99.10% |
| Time Period | Non-Fire Probability | Fire Probability | Classification Result |
|---|---|---|---|
| 0~10 s | 1.0 | 0 | Non-fire |
| 10~20 s | 1.0 | 0 | Non-fire |
| 20~30 s | 0.783 | 0.217 | Non-fire |
| 30~40 s | 0.294 | 0.706 | Fire |
| 40~50 s | 0.246 | 0.754 | Fire |
| 50~60 s | 0.341 | 0.659 | Fire |
Disclaimer/Publisher’s Note: The statements, opinions and data contained in all publications are solely those of the individual author(s) and contributor(s) and not of MDPI and/or the editor(s). MDPI and/or the editor(s) disclaim responsibility for any injury to people or property resulting from any ideas, methods, instructions or products referred to in the content. |
© 2023 by the authors. Licensee MDPI, Basel, Switzerland. This article is an open access article distributed under the terms and conditions of the Creative Commons Attribution (CC BY) license (https://creativecommons.org/licenses/by/4.0/).
Share and Cite
Deng, X.; Shi, X.; Wang, H.; Wang, Q.; Bao, J.; Chen, Z. An Indoor Fire Detection Method Based on Multi-Sensor Fusion and a Lightweight Convolutional Neural Network. Sensors 2023, 23, 9689. https://doi.org/10.3390/s23249689
Deng X, Shi X, Wang H, Wang Q, Bao J, Chen Z. An Indoor Fire Detection Method Based on Multi-Sensor Fusion and a Lightweight Convolutional Neural Network. Sensors. 2023; 23(24):9689. https://doi.org/10.3390/s23249689
Chicago/Turabian StyleDeng, Xinwei, Xuewei Shi, Haosen Wang, Qianli Wang, Jun Bao, and Zhuming Chen. 2023. "An Indoor Fire Detection Method Based on Multi-Sensor Fusion and a Lightweight Convolutional Neural Network" Sensors 23, no. 24: 9689. https://doi.org/10.3390/s23249689
APA StyleDeng, X., Shi, X., Wang, H., Wang, Q., Bao, J., & Chen, Z. (2023). An Indoor Fire Detection Method Based on Multi-Sensor Fusion and a Lightweight Convolutional Neural Network. Sensors, 23(24), 9689. https://doi.org/10.3390/s23249689

