Comparing Nadir and Oblique Thermal Imagery in UAV-Based 3D Crop Water Stress Index Applications for Precision Viticulture with LiDAR Validation
Abstract
:1. Introduction
2. Materials and Methods
2.1. Research Area
2.2. LiDAR Data, Multispectral and Thermal Imagery
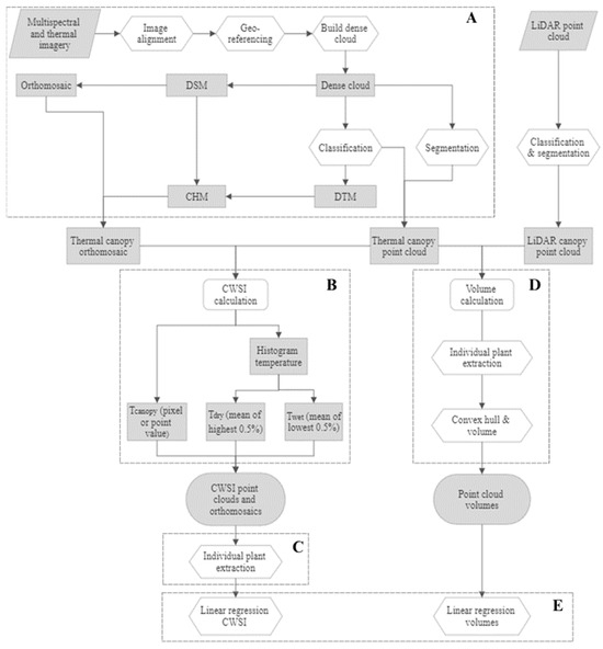
2.3. Proposed Methodology
2.3.1. Image Processing (A)
2.3.2. CWSI Calculation (B)
2.3.3. Individual Plant Extraction (C)
2.3.4. Volume Calculation (D)
2.3.5. Evaluation Methods (E)
3. Results
3.1. Qualitative Results
3.1.1. Orthomosaics
3.1.2. Point Clouds
3.2. Statistical Results
3.2.1. General Statistics
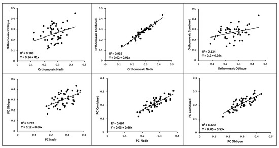
3.2.2. CWSI Accuracy and Flight Angle Influence
3.3. Point Cloud Accuracy
4. Discussion
5. Conclusions
- The point clouds unveiled a distribution pattern of the CWSI values throughout the canopy not observable with the orthomosaics. The linear regression analysis revealed that the segmented CWSI point cloud had a stronger correlation with the CWSI orthomosaics compared to the entire point cloud, accentuating the information augmentation provided by the point clouds, especially when considering the entire canopy structure.
- The point clouds manifested a broader range of temperature and CWSI values, attributable to the additional information from the lateral and basal canopy regions.
- Furthermore, nadir images by themselves are adequate for 2D orthomosaic creation; yet, the combination of oblique and nadir imagery is essential for generating accurate 3D point clouds in precision viticulture/precision agriculture for woody crops.
- Finally, the volume calculations revealed that combining the nadir and oblique flights engendered the most accurate results compared to the ground-truth data (LiDAR) in terms of canopy representation, which likely enhanced the accuracy of the CWSI assessments.
Author Contributions
Funding
Data Availability Statement
Conflicts of Interest
References
- Comba, L.; Biglia, A.; Aimonino, D.R.; Barge, P.; Tortia, C.; Gay, P. 2D and 3D Data Fusion for Crop Monitoring in Precision Agriculture. In Proceedings of the 2019 IEEE International Workshop on Metrology for Agriculture and Forestry (MetroAgriFor), Portici, Italy, 24–26 October 2019; IEEE: Portici, Italy, 2019; pp. 62–67. [Google Scholar]
- Sassu, A.; Gambella, F.; Ghiani, L.; Mercenaro, L.; Caria, M.; Pazzona, A.L. Advances in Unmanned Aerial System Remote Sensing for Precision Viticulture. Sensors 2021, 21, 956. [Google Scholar] [CrossRef]
- Santesteban, L.G.; Di Gennaro, S.F.; Herrero-Langreo, A.; Miranda, C.; Royo, J.B.; Matese, A. High-Resolution UAV-Based Thermal Imaging to Estimate the Instantaneous and Seasonal Variability of Plant Water Status within a Vineyard. Agric. Water Manag. 2017, 183, 49–59. [Google Scholar] [CrossRef]
- Vélez, S.; Ariza-Sentís, M.; Valente, J. Mapping the Spatial Variability of Botrytis Bunch Rot Risk in Vineyards Using UAV Multispectral Imagery. Eur. J. Agron. 2023, 142, 126691. [Google Scholar] [CrossRef]
- Giovos, R.; Tassopoulos, D.; Kalivas, D.; Lougkos, N.; Priovolou, A. Remote Sensing Vegetation Indices in Viticulture: A Critical Review. Agriculture 2021, 11, 457. [Google Scholar] [CrossRef]
- Vélez, S.; Barajas, E.; Rubio, J.A.; Vacas, R.; Poblete-Echeverría, C. Effect of Missing Vines on Total Leaf Area Determined by NDVI Calculated from Sentinel Satellite Data: Progressive Vine Removal Experiments. Appl. Sci. 2020, 10, 3612. [Google Scholar] [CrossRef]
- Radočaj, D.; Šiljeg, A.; Marinović, R.; Jurišić, M. State of Major Vegetation Indices in Precision Agriculture Studies Indexed in Web of Science: A Review. Agriculture 2023, 13, 707. [Google Scholar] [CrossRef]
- Matese, A.; Di Gennaro, S.F. Technology in Precision Viticulture: A State of the Art Review. Int. J. Wine Res. 2015, 7, 69–81. [Google Scholar] [CrossRef]
- Singh, A.P.; Yerudkar, A.; Mariani, V.; Iannelli, L.; Glielmo, L. A Bibliometric Review of the Use of Unmanned Aerial Vehicles in Precision Agriculture and Precision Viticulture for Sensing Applications. Remote Sens. 2022, 14, 1604. [Google Scholar] [CrossRef]
- Zhang, C.; Kovacs, J.M. The Application of Small Unmanned Aerial Systems for Precision Agriculture: A Review. Precis. Agric. 2012, 13, 693–712. [Google Scholar] [CrossRef]
- Mack, J.; Lenz, C.; Teutrine, J.; Steinhage, V. High-Precision 3D Detection and Reconstruction of Grapes from Laser Range Data for Efficient Phenotyping Based on Supervised Learning. Comput. Electron. Agric. 2017, 135, 300–311. [Google Scholar] [CrossRef]
- Wallace, L.; Lucieer, A.; Malenovský, Z.; Turner, D.; Vopěnka, P. Assessment of Forest Structure Using Two UAV Techniques: A Comparison of Airborne Laser Scanning and Structure from Motion (SfM) Point Clouds. Forests 2016, 7, 62. [Google Scholar] [CrossRef]
- Schonberger, J.L.; Frahm, J.-M. Structure-From-Motion Revisited. In Proceedings of the IEEE Conference on Computer Vision and Pattern Recognition, Las Vegas, NV, USA, 27–30 June 2016; pp. 4104–4113. [Google Scholar]
- Messina, G.; Modica, G. Applications of UAV Thermal Imagery in Precision Agriculture: State of the Art and Future Research Outlook. Remote Sens. 2020, 12, 1491. [Google Scholar] [CrossRef]
- Vadivambal, R.; Jayas, D.S. Applications of Thermal Imaging in Agriculture and Food Industry—A Review. Food Bioprocess Technol. 2011, 4, 186–199. [Google Scholar] [CrossRef]
- Buckley, T.N. How Do Stomata Respond to Water Status? New Phytol. 2019, 224, 21–36. [Google Scholar] [CrossRef] [PubMed]
- Gutiérrez, S.; Diago, M.P.; Fernández-Novales, J.; Tardaguila, J. Vineyard Water Status Assessment Using On-the-Go Thermal Imaging and Machine Learning. PLoS ONE 2018, 13, e0192037. [Google Scholar] [CrossRef]
- Zhou, Z.; Majeed, Y.; Diverres Naranjo, G.; Gambacorta, E.M.T. Assessment for Crop Water Stress with Infrared Thermal Imagery in Precision Agriculture: A Review and Future Prospects for Deep Learning Applications. Comput. Electron. Agric. 2021, 182, 106019. [Google Scholar] [CrossRef]
- Bian, J.; Zhang, Z.; Chen, J.; Chen, H.; Cui, C.; Li, X.; Chen, S.; Fu, Q. Simplified Evaluation of Cotton Water Stress Using High Resolution Unmanned Aerial Vehicle Thermal Imagery. Remote Sens. 2019, 11, 267. [Google Scholar] [CrossRef]
- Bahat, I.; Netzer, Y.; Grünzweig, J.M.; Alchanatis, V.; Peeters, A.; Goldshtein, E.; Ohana-Levi, N.; Ben-Gal, A.; Cohen, Y. In-Season Interactions between Vine Vigor, Water Status and Wine Quality in Terrain-Based Management-Zones in a ‘Cabernet Sauvignon’ Vineyard. Remote Sens. 2021, 13, 1636. [Google Scholar] [CrossRef]
- Araújo-Paredes, C.; Portela, F.; Mendes, S.; Valín, M.I. Using Aerial Thermal Imagery to Evaluate Water Status in Vitis Vinifera Cv. Loureiro. Sensors 2022, 22, 8056. [Google Scholar] [CrossRef]
- Katz, L.; Ben-Gal, A.; Litaor, M.I.; Naor, A.; Peeters, A.; Goldshtein, E.; Lidor, G.; Keisar, O.; Marzuk, S.; Alchanatis, V.; et al. How Sensitive Is Thermal Image-Based Orchard Water Status Estimation to Canopy Extraction Quality? Remote Sens. 2023, 15, 1448. [Google Scholar] [CrossRef]
- Pádua, L.; Marques, P.; Adão, T.; Guimarães, N.; Sousa, A.; Peres, E.; Sousa, J.J. Vineyard Variability Analysis through UAV-Based Vigour Maps to Assess Climate Change Impacts. Agronomy 2019, 9, 581. [Google Scholar] [CrossRef]
- Park, S.; Ryu, D.; Fuentes, S.; Chung, H.; Hernández-Montes, E.; O’Connell, M. Adaptive Estimation of Crop Water Stress in Nectarine and Peach Orchards Using High-Resolution Imagery from an Unmanned Aerial Vehicle (UAV). Remote Sens. 2017, 9, 828. [Google Scholar] [CrossRef]
- Weiss, M.; Baret, F. Using 3D Point Clouds Derived from UAV RGB Imagery to Describe Vineyard 3D Macro-Structure. Remote Sens. 2017, 9, 111. [Google Scholar] [CrossRef]
- Pagliai, A.; Ammoniaci, M.; Sarri, D.; Lisci, R.; Perria, R.; Vieri, M.; D’Arcangelo, M.E.M.; Storchi, P.; Kartsiotis, S.-P. Comparison of Aerial and Ground 3D Point Clouds for Canopy Size Assessment in Precision Viticulture. Remote Sens. 2022, 14, 1145. [Google Scholar] [CrossRef]
- Yandun Narvaez, F.; Reina, G.; Torres-Torriti, M.; Kantor, G.; Cheein, F.A. A Survey of Ranging and Imaging Techniques for Precision Agriculture Phenotyping. IEEE/ASME Trans. Mechatron. 2017, 22, 2428–2439. [Google Scholar] [CrossRef]
- Jurado, J.M.; López, A.; Pádua, L.; Sousa, J.J. Remote Sensing Image Fusion on 3D Scenarios: A Review of Applications for Agriculture and Forestry. Int. J. Appl. Earth Obs. Geoinf. 2022, 112, 102856. [Google Scholar] [CrossRef]
- Webster, C.; Westoby, M.; Rutter, N.; Jonas, T. Three-Dimensional Thermal Characterization of Forest Canopies Using UAV Photogrammetry. Remote Sens. Environ. 2018, 209, 835–847. [Google Scholar] [CrossRef]
- González, O.; Lizarraga, M.I.; Karaman, S.; Salas, J. Thermal Radiation Dynamics of Soil Surfaces with Unmanned Aerial Systems. In Pattern Recognition, Proceedings of the 11th Mexican Conference, MCPR 2019, Querétaro, Mexico, 26–29 June 2019; Carrasco-Ochoa, J.A., Martínez-Trinidad, J.F., Olvera-López, J.A., Salas, J., Eds.; Springer International Publishing: Cham, Switzerland, 2019; pp. 183–192. [Google Scholar]
- Ramón, A.; Adán, A.; Javier Castilla, F. Thermal Point Clouds of Buildings: A Review. Energy Build. 2022, 274, 112425. [Google Scholar] [CrossRef]
- Li, M.; Shamshiri, R.R.; Schirrmann, M.; Weltzien, C.; Shafian, S.; Laursen, M.S. UAV Oblique Imagery with an Adaptive Micro-Terrain Model for Estimation of Leaf Area Index and Height of Maize Canopy from 3D Point Clouds. Remote Sens. 2022, 14, 585. [Google Scholar] [CrossRef]
- Lin, L.; Yu, K.; Yao, X.; Deng, Y.; Hao, Z.; Chen, Y.; Wu, N.; Liu, J. UAV Based Estimation of Forest Leaf Area Index (LAI) through Oblique Photogrammetry. Remote Sens. 2021, 13, 803. [Google Scholar] [CrossRef]
- Xiao, S.; Ye, Y.; Fei, S.; Chen, H.; Zhang, B.; Li, Q.; Cai, Z.; Che, Y.; Wang, Q.; Ghafoor, A.; et al. High-Throughput Calculation of Organ-Scale Traits with Reconstructed Accurate 3D Canopy Structures Using a UAV RGB Camera with an Advanced Cross-Circling Oblique Route. ISPRS J. Photogramm. Remote Sens. 2023, 201, 104–122. [Google Scholar] [CrossRef]
- Tanda, G.; Chiarabini, V. Use of Multispectral and Thermal Imagery in Precision Viticulture. J. Phys. Conf. Ser. 2019, 1224, 012034. [Google Scholar] [CrossRef]
- Bellvert, J.; Zarco-Tejada, P.J.; Girona, J.; Fereres, E. Mapping Crop Water Stress Index in a ‘Pinot-Noir’ Vineyard: Comparing Ground Measurements with Thermal Remote Sensing Imagery from an Unmanned Aerial Vehicle. Precis. Agric. 2014, 15, 361–376. [Google Scholar] [CrossRef]
- Prueger, J.H.; Parry, C.K.; Kustas, W.P.; Alfieri, J.G.; Alsina, M.M.; Nieto, H.; Wilson, T.G.; Hipps, L.E.; Anderson, M.C.; Hatfield, J.L.; et al. Crop Water Stress Index of an Irrigated Vineyard in the Central Valley of California. Irrig. Sci. 2019, 37, 297–313. [Google Scholar] [CrossRef]
- Matese, A.; Baraldi, R.; Berton, A.; Cesaraccio, C.; Di Gennaro, S.; Duce, P.; Facini, O.; Mameli, M.; Piga, A.; Zaldei, A. Estimation of Water Stress in Grapevines Using Proximal and Remote Sensing Methods. Remote Sens. 2018, 10, 114. [Google Scholar] [CrossRef]
- Martínez-Peña, R.; Vélez, S.; Vacas, R.; Martín, H.; Álvarez, S. Remote Sensing for Sustainable Pistachio Cultivation and Improved Quality Traits Evaluation through Thermal and Non-Thermal UAV Vegetation Indices. Appl. Sci. 2023, 13, 7716. [Google Scholar] [CrossRef]
- Vélez, S.; Ariza-Sentís, M.; Valente, J. Dataset on Unmanned Aerial Vehicle Multispectral Images Acquired over a Vineyard Affected by Botrytis Cinerea in Northern Spain. Data Brief 2023, 46, 108876. [Google Scholar] [CrossRef] [PubMed]
- Torres-Sánchez, J.; Mesas-Carrascosa, F.J.; Santesteban, L.-G.; Jiménez-Brenes, F.M.; Oneka, O.; Villa-Llop, A.; Loidi, M.; López-Granados, F. Grape Cluster Detection Using UAV Photogrammetric Point Clouds as a Low-Cost Tool for Yield Forecasting in Vineyards. Sensors 2021, 21, 3083. [Google Scholar] [CrossRef]
- Jurado, J.M.; Pádua, L.; Feito, F.R.; Sousa, J.J. Automatic Grapevine Trunk Detection on UAV-Based Point Cloud. Remote Sens. 2020, 12, 3043. [Google Scholar] [CrossRef]
- Che, Y.; Wang, Q.; Xie, Z.; Zhou, L.; Li, S.; Hui, F.; Wang, X.; Li, B.; Ma, Y. Estimation of Maize Plant Height and Leaf Area Index Dynamics Using an Unmanned Aerial Vehicle with Oblique and Nadir Photography. Ann. Bot. 2020, 126, 765–773. [Google Scholar] [CrossRef]
- Li, M.; Shamshiri, R.R.; Schirrmann, M.; Weltzien, C. Impact of Camera Viewing Angle for Estimating Leaf Parameters of Wheat Plants from 3D Point Clouds. Agriculture 2021, 11, 563. [Google Scholar] [CrossRef]
- Sangjan, W.; McGee, R.J.; Sankaran, S. Optimization of UAV-Based Imaging and Image Processing Orthomosaic and Point Cloud Approaches for Estimating Biomass in a Forage Crop. Remote Sens. 2022, 14, 2396. [Google Scholar] [CrossRef]












| Name | Center | Bandwidth | Sensor Resolution (Pixels) |
|---|---|---|---|
| Blue | 475 nm | 32 nm | 2064 × 1544 (3.2 MP) |
| Green | 560 nm | 27 nm | 2064 × 1544 (3.2 MP) |
| Red | 668 nm | 16 nm | 2064 × 1544 (3.2 MP) |
| Red edge | 717 nm | 12 nm | 2064 × 1544 (3.2 MP) |
| Near-infrared | 842 nm | 57 nm | 2064 × 1544 (3.2 MP) |
| Panchromatic | 634.5 nm | 463 nm | 4112 × 3008 (12 MP) |
| LWIR (Thermal) | 10.5 × 103 nm (10.5 μm) | 6 × 103 nm | 320 × 256 (0.08 MP) |
| Flight | Data Model | Min Temp | Max Temp | Mean Temp | St. Dev. Temp | Min CWSI | Max CWSI | Mean CWSI | Twet | Tdry | St. Dev CWSI | Pixels/Points (N) | Pixel Size (cm/Pixel)/Point Distance (cm) |
|---|---|---|---|---|---|---|---|---|---|---|---|---|---|
| Nadir | Ortho | 31.9 | 54.4 | 37.9 | 3.42 | −0.04 | 1.21 | 0.29 | 32.5 | 50.7 | 0.19 | 66,945 | 1.57 |
| PC | 31.7 | 56.2 | 38.9 | 3.69 | −0.10 | 1.26 | 0.30 | 33.5 | 51.5 | 0.20 | 215,199 | 5.58 | |
| Oblique | Ortho | 31.4 | 44.8 | 34.9 | 1.86 | −0.04 | 1.30 | 0.31 | 31.8 | 41.9 | 0.19 | 47,717 | 1.91 |
| PC | 31.0 | 43.2 | 35.2 | 1.64 | −0.09 | 1.20 | 0.35 | 31.9 | 41.3 | 0.17 | 181,372 | 6.64 | |
| Combined | Ortho | 31.8 | 55.5 | 38.3 | 3.83 | −0.04 | 1.19 | 0.30 | 32.5 | 51.8 | 0.20 | 53,315 | 1.79 |
| PC | 31.1 | 55.0 | 36.4 | 2.72 | −0.06 | 1.27 | 0.23 | 32.2 | 50.1 | 0.15 | 208,687 | 6.04 |
Disclaimer/Publisher’s Note: The statements, opinions and data contained in all publications are solely those of the individual author(s) and contributor(s) and not of MDPI and/or the editor(s). MDPI and/or the editor(s) disclaim responsibility for any injury to people or property resulting from any ideas, methods, instructions or products referred to in the content. |
© 2023 by the authors. Licensee MDPI, Basel, Switzerland. This article is an open access article distributed under the terms and conditions of the Creative Commons Attribution (CC BY) license (https://creativecommons.org/licenses/by/4.0/).
Share and Cite
Buunk, T.; Vélez, S.; Ariza-Sentís, M.; Valente, J. Comparing Nadir and Oblique Thermal Imagery in UAV-Based 3D Crop Water Stress Index Applications for Precision Viticulture with LiDAR Validation. Sensors 2023, 23, 8625. https://doi.org/10.3390/s23208625
Buunk T, Vélez S, Ariza-Sentís M, Valente J. Comparing Nadir and Oblique Thermal Imagery in UAV-Based 3D Crop Water Stress Index Applications for Precision Viticulture with LiDAR Validation. Sensors. 2023; 23(20):8625. https://doi.org/10.3390/s23208625
Chicago/Turabian StyleBuunk, Thomas, Sergio Vélez, Mar Ariza-Sentís, and João Valente. 2023. "Comparing Nadir and Oblique Thermal Imagery in UAV-Based 3D Crop Water Stress Index Applications for Precision Viticulture with LiDAR Validation" Sensors 23, no. 20: 8625. https://doi.org/10.3390/s23208625
APA StyleBuunk, T., Vélez, S., Ariza-Sentís, M., & Valente, J. (2023). Comparing Nadir and Oblique Thermal Imagery in UAV-Based 3D Crop Water Stress Index Applications for Precision Viticulture with LiDAR Validation. Sensors, 23(20), 8625. https://doi.org/10.3390/s23208625

