Fabric-Based Electrochemical Glucose Sensor with Integrated Millifluidic Path from a Hydrophobic Batik Wax
Abstract
1. Introduction
2. Experimental
2.1. Equipment and Materials
2.2. Fabrication of mFED
2.2.1. Design of mFED with Hydrophobic Batik Wax Fluidic Pattern
2.2.2. Stencil Printing Patterning
2.3. Electrochemical Measurement of the Device
2.3.1. Characterization of Electrochemical Detection
2.3.2. Optimum Detection Potential for Glucose Sensing Application
2.4. Analytical Performance
2.4.1. Analytical Validation
2.4.2. Continuous Measurement Using 3D mFED
2.5. Mechanical Deformation Test
3. Results and Discussion
3.1. Fabrication of mFED
3.2. Electrochemical Measurement of the Device
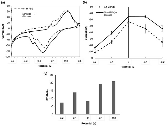
3.2.1. Evaluation for Finding Optimum Detection Potential
3.2.2. Analytical Performance
3.2.3. Analytical Validation
3.3. Continuous Microfluidics Fabric-Based Electrochemical Device
3.4. Mechanical Deformation Test
4. Conclusions
Author Contributions
Funding
Institutional Review Board Statement
Informed Consent Statement
Data Availability Statement
Conflicts of Interest
Abbreviations
| mFED | Millifluidic fabric-based electrochemical device | 
| LOD | Limit of detection | 
| LOQ | Limit of quantification | 
| FED | Fabric-based electrochemical device | 
| PB | Prussian blue | 
| PW | Prussian white | 
| PBS | Phosphate-buffered saline | 
| WE | Working electrode | 
| RE | Reference electrode | 
| CE | Counter electrode | 
| C-PB | Carbon-Prussian blue | 
| S/B ratio | Signal-to-background ratio | 
Appendix A. Calculation of Mechanical Deformation Test
Appendix B. Results on Mechanical Deformation Test
Appendix B.1. Deflection Point 1
Appendix B.2. Deflection Point 2
Appendix C. Measurement Setup of Continuous Chronoamperometry

References
- Taub, M.; Bugler, J.; Peyser, T. Analyte Monitoring and Management Device and Method to Analyze the Frequency of User Interaction with the Device. U.S. Patent 8,160,900, 17 April 2012. [Google Scholar]
 - Hassan, M.H.; Vyas, C.; Grieve, B.; Bartolo, P. Recent advances in enzymatic and non-enzymatic electrochemical glucose sensing. Sensors 2021, 21, 4672. [Google Scholar] [CrossRef]
 - Promphet, N.; Hinestroza, J.P.; Rattanawaleedirojn, P.; Soatthiyanon, N.; Siralertmukul, K.; Potiyaraj, P.; Rodthongkum, N. Cotton thread-based wearable sensor for non-invasive simultaneous diagnosis of diabetes and kidney failure. Sens. Actuators B Chem. 2020, 321, 128549. [Google Scholar] [CrossRef]
 - Promphet, N.; Rattanawaleedirojn, P.; Siralertmukul, K.; Soatthiyanon, N.; Potiyaraj, P.; Thanawattano, C.; Hinestroza, J.P.; Rodthongkum, N. Non-invasive textile based colorimetric sensor for the simultaneous detection of sweat pH and lactate. Talanta 2019, 192, 424–430. [Google Scholar] [CrossRef] [PubMed]
 - Xiao, G.; He, J.; Chen, X.; Qiao, Y.; Wang, F.; Xia, Q.; Yu, L.; Lu, Z. A wearable, cotton thread/paper-based microfluidic device coupled with smartphone for sweat glucose sensing. Cellulose 2019, 26, 4553–4562. [Google Scholar] [CrossRef]
 - Naveen Prasad, S.; Weerathunge, P.; Karim, M.N.; Anderson, S.; Hashmi, S.; Mariathomas, P.D.; Bansal, V.; Ramanathan, R. Non-invasive detection of glucose in human urine using a color-generating copper NanoZyme. Anal. Bioanal. Chem. 2021, 413, 1279–1291. [Google Scholar] [CrossRef]
 - He, J.; Xiao, G.; Chen, X.; Qiao, Y.; Xu, D.; Lu, Z. A thermoresponsive microfluidic system integrating a shape memory polymer-modified textile and a paper-based colorimetric sensor for the detection of glucose in human sweat. RSC Adv. 2019, 9, 23957–23963. [Google Scholar] [CrossRef]
 - Zhao, Z.; Li, Q.; Chen, L.; Zhao, Y.; Gong, J.; Li, Z.; Zhang, J. A thread/fabric-based band as a flexible and wearable microfluidic device for sweat sensing and monitoring. Lab Chip 2021, 21, 916–932. [Google Scholar] [CrossRef]
 - Karim, M.N.; Anderson, S.R.; Singh, S.; Ramanathan, R.; Bansal, V. Nanostructured silver fabric as a free-standing NanoZyme for colorimetric detection of glucose in urine. Biosens. Bioelectron. 2018, 110, 8–15. [Google Scholar] [CrossRef]
 - Zhao, Z.; Li, Q.; Dong, Y.; Gong, J.; Li, Z.; Zhang, J. Core-shell structured gold nanorods on thread-embroidered fabric-based microfluidic device for Ex Situ detection of glucose and lactate in sweat. Sens. Actuators B Chem. 2022, 353, 131154. [Google Scholar] [CrossRef]
 - Gunatilake, U.B.; Garcia-Rey, S.; Ojeda, E.; Basabe-Desmonts, L.; Benito-Lopez, F. TiO2 nanotubes alginate hydrogel scaffold for rapid sensing of sweat biomarkers: Lactate and glucose. ACS Appl. Mater. Interfaces 2021, 13, 37734–37745. [Google Scholar] [CrossRef]
 - Lu, W.; Jian, M.; Wang, Q.; Xia, K.; Zhang, M.; Wang, H.; He, W.; Lu, H.; Zhang, Y. Hollow core–sheath nanocarbon spheres grown on carbonized silk fabrics for self-supported and nonenzymatic glucose sensing. Nanoscale 2019, 11, 11856–11863. [Google Scholar] [CrossRef] [PubMed]
 - Jia, W.; Bandodkar, A.J.; Valdés-Ramírez, G.; Windmiller, J.R.; Yang, Z.; Ramírez, J.; Chan, G.; Wang, J. Electrochemical tattoo biosensors for real-time noninvasive lactate monitoring in human perspiration. Anal. Chem. 2013, 85, 6553–6560. [Google Scholar] [CrossRef] [PubMed]
 - Lamas-Ardisana, P.J.; Loaiza, O.A.; Añorga, L.; Jubete, E.; Borghei, M.; Ruiz, V.; Ochoteco, E.; Cabañero, G.; Grande, H.J. Disposable amperometric biosensor based on lactate oxidase immobilised on platinum nanoparticle-decorated carbon nanofiber and poly (diallyldimethylammonium chloride) films. Biosens. Bioelectron. 2014, 56, 345–351. [Google Scholar] [CrossRef]
 - Veenuttranon, K.; Kaewpradub, K.; Jeerapan, I. Screen-Printable Functional Nanomaterials for Flexible and Wearable Single-Enzyme-Based Energy-Harvesting and Self-Powered Biosensing Devices. Nano-Micro Lett. 2023, 15, 85. [Google Scholar] [CrossRef] [PubMed]
 - Gaines, M.; Gonzalez-Guerrero, M.J.; Uchida, K.; Gomez, F.A. A microfluidic glucose sensor incorporating a novel thread-based electrode system. Electrophoresis 2018, 39, 2131–2135. [Google Scholar] [CrossRef] [PubMed]
 - Chen, C.; Ran, R.; Yang, Z.; Lv, R.; Shen, W.; Kang, F.; Huang, Z.H. An efficient flexible electrochemical glucose sensor based on carbon nanotubes/carbonized silk fabrics decorated with Pt microspheres. Sens. Actuators B Chem. 2018, 256, 63–70. [Google Scholar] [CrossRef]
 - Singh, A.; Sharma, A.; Arya, S. Human sweat-based wearable glucose sensor on cotton fabric for real-time monitoring. J. Anal. Sci. Technol. 2022, 13, 11. [Google Scholar] [CrossRef]
 - Taleat, Z.; Khoshroo, A.; Mazloum-Ardakani, M. Screen-printed electrodes for biosensing: A review (2008–2013). Microchim. Acta 2014, 181, 865–891. [Google Scholar] [CrossRef]
 - Yamanaka, K.; Vestergaard, M.C.; Tamiya, E. Printable electrochemical biosensors: A focus on screen-printed electrodes and their application. Sensors 2016, 16, 1761. [Google Scholar] [CrossRef]
 - Downs, C.; Nejely, A.; Fu, E. Disposable fabric-based electrochemical sensors fabricated from wax-transfer-printed fluidic cells and stencil-printed electrodes. Anal. Methods 2018, 10, 3696–3703. [Google Scholar] [CrossRef]
 - Choudhary, T.; Rajamanickam, G.; Dendukuri, D. Woven electrochemical fabric-based test sensors (WEFTS): A new class of multiplexed electrochemical sensors. Lab Chip 2015, 15, 2064–2072. [Google Scholar] [CrossRef] [PubMed]
 - Modali, A.; Vanjari, S.R.K.; Dendukuri, D. Wearable Woven Electrochemical Biosensor Patch for Non-invasive Diagnostics. Electroanalysis 2016, 28, 1276–1282. [Google Scholar] [CrossRef]
 - Malon, R.S.; Chua, K.; Wicaksono, D.H.; Córcoles, E.P. Cotton fabric-based electrochemical device for lactate measurement in saliva. Analyst 2014, 139, 3009–3016. [Google Scholar] [CrossRef]
 - Nilghaz, A.; Wicaksono, D.H.; Gustiono, D.; Majid, F.A.A.; Supriyanto, E.; Kadir, M.R.A. Flexible microfluidic cloth-based analytical devices using a low-cost wax patterning technique. Lab Chip 2012, 12, 209–218. [Google Scholar] [CrossRef] [PubMed]
 - Yuen, A.C.; Bakir, A.A.; Rajdi, N.N.Z.M.; Lam, C.L.; Saleh, S.M.; Wicaksono, D.H. Proprioceptive sensing system for therapy assessment using cotton fabric-based biomedical microelectromechanical system. IEEE Sens. J. 2014, 14, 2872–2880. [Google Scholar] [CrossRef]
 - Wong, C.M.; Wong, K.H.; Chen, X.D. Glucose oxidase: Natural occurrence, function, properties and industrial applications. Appl. Microbiol. Biotechnol. 2008, 78, 927–938. [Google Scholar] [CrossRef]
 - Yoo, E.H.; Lee, S.Y. Glucose biosensors: An overview of use in clinical practice. Sensors 2010, 10, 4558–4576. [Google Scholar] [CrossRef]
 - Lović, J.; Stevanović, S.; Nikolić, N.D.; Petrović, S.; Vuković, D.; Prlainović, N.; Mijin, D.; Ivić, M.A.; Avramov, I. Glucose sensing using glucose oxidase-glutaraldehyde-cysteine modified gold electrode. Int. J. Electrochem. Sci. 2017, 12, 5806–5817. [Google Scholar] [CrossRef]
 - Elgrishi, N.; Rountree, K.J.; McCarthy, B.D.; Rountree, E.S.; Eisenhart, T.T.; Dempsey, J.L. A practical beginner’s guide to cyclic voltammetry. J. Chem. Educ. 2018, 95, 197–206. [Google Scholar] [CrossRef]
 - Ricci, F.; Palleschi, G. Sensor and biosensor preparation, optimisation and applications of Prussian Blue modified electrodes. Biosens. Bioelectron. 2005, 21, 389–407. [Google Scholar] [CrossRef]
 - Karyakin, A.A.; Karyakina, E.E.; Gorton, L. On the mechanism of H2O2 reduction at Prussian Blue modified electrodes. Electrochem. Commun. 1999, 1, 78–82. [Google Scholar] [CrossRef]
 - Noiphung, J.; Songjaroen, T.; Dungchai, W.; Henry, C.S.; Chailapakul, O.; Laiwattanapaisal, W. Electrochemical detection of glucose from whole blood using paper-based microfluidic devices. Anal. Chim. Acta 2013, 788, 39–45. [Google Scholar] [CrossRef]
 - NIfHaC, E. Type 2 diabetes: Prevention in people at high risk. NICE Guidel. (PH38) 2012. [Google Scholar]
 - Dungchai, W.; Chailapakul, O.; Henry, C.S. Electrochemical detection for paper-based microfluidics. Anal. Chem. 2009, 81, 5821–5826. [Google Scholar] [CrossRef] [PubMed]
 - Phillips, J. Fundamentals of Enzymology; Scientific e-Resources: Singapore, 2019. [Google Scholar]
 - Liu, X.; Mwangi, M.; Li, X.; O’Brien, M.; Whitesides, G.M. based piezoresistive MEMS sensors. Lab Chip 2011, 11, 2189–2196. [Google Scholar] [CrossRef]
 - Coslett, W.A.; Kelly, L.A.; Parsons, J.C. Two-Sided Hydrophilic/Hydrophobic Nonwoven and Method of Manufacturing Thereof. U.S. Patent 12/874,007, 8 September 2011. [Google Scholar]
 








| Electrode | Resistance ± SD * | |
|---|---|---|
| Brush | Stencil Printing | |
| Reference electrode | ||
| Working electrode | ||
| Counter electrode | ||
| Parameter | Method | |
|---|---|---|
| Brush | Stencil Printing | |
| Difficulty | Very easy | Easy | 
| Time | Time-consuming | Time-saving | 
| Electrode paste amount | Low | High | 
| Resistance value | High | Low | 
| Standard deviation | High | Low | 
| Electrode | Concentration (mM ± sd) | |||
|---|---|---|---|---|
| Chemistry Control Level I | Chemistry Control Level II | |||
| Glucometer | mFED | Glucometer | mFED | |
| Glucose | ||||
| Percent Error (%) | 7.00 | 41.47 | ||
Disclaimer/Publisher’s Note: The statements, opinions and data contained in all publications are solely those of the individual author(s) and contributor(s) and not of MDPI and/or the editor(s). MDPI and/or the editor(s) disclaim responsibility for any injury to people or property resulting from any ideas, methods, instructions or products referred to in the content.  | 
© 2023 by the authors. Licensee MDPI, Basel, Switzerland. This article is an open access article distributed under the terms and conditions of the Creative Commons Attribution (CC BY) license (https://creativecommons.org/licenses/by/4.0/).
Share and Cite
Anshori, I.; Heriawan, E.V.; Suhayat, P.Y.; Wicaksono, D.H.B.; Kusumocahyo, S.P.; Satriawan, A.; Shalannanda, W.; Dwiyanti, L.; Setianingsih, C.; Handayani, M. Fabric-Based Electrochemical Glucose Sensor with Integrated Millifluidic Path from a Hydrophobic Batik Wax. Sensors 2023, 23, 5833. https://doi.org/10.3390/s23135833
Anshori I, Heriawan EV, Suhayat PY, Wicaksono DHB, Kusumocahyo SP, Satriawan A, Shalannanda W, Dwiyanti L, Setianingsih C, Handayani M. Fabric-Based Electrochemical Glucose Sensor with Integrated Millifluidic Path from a Hydrophobic Batik Wax. Sensors. 2023; 23(13):5833. https://doi.org/10.3390/s23135833
Chicago/Turabian StyleAnshori, Isa, Elfrida Vanesa Heriawan, Putri Yulianti Suhayat, Dedy H. B. Wicaksono, Samuel Priyantoro Kusumocahyo, Ardianto Satriawan, Wervyan Shalannanda, Latifa Dwiyanti, Casi Setianingsih, and Murni Handayani. 2023. "Fabric-Based Electrochemical Glucose Sensor with Integrated Millifluidic Path from a Hydrophobic Batik Wax" Sensors 23, no. 13: 5833. https://doi.org/10.3390/s23135833
APA StyleAnshori, I., Heriawan, E. V., Suhayat, P. Y., Wicaksono, D. H. B., Kusumocahyo, S. P., Satriawan, A., Shalannanda, W., Dwiyanti, L., Setianingsih, C., & Handayani, M. (2023). Fabric-Based Electrochemical Glucose Sensor with Integrated Millifluidic Path from a Hydrophobic Batik Wax. Sensors, 23(13), 5833. https://doi.org/10.3390/s23135833
        
