Validity and Reliability of a Load Cell Sensor-Based Device for Assessment of the Isometric Mid-Thigh Pull Test
Abstract
1. Introduction
2. Materials and Methods
2.1. The Experimental Approach to the Problem
2.2. Subjects
2.3. Procedures
2.4. Instruments
2.5. Statistical Analysis
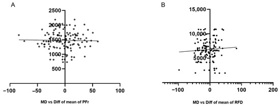
3. Results
4. Discussion
5. Conclusions
Author Contributions
Funding
Institutional Review Board Statement
Informed Consent Statement
Data Availability Statement
Acknowledgments
Conflicts of Interest
References
- Suchomel, T.J.; Nimphius, S.; Stone, M.H. Scaling isometric mid-thigh pull maximum strength in division I Athletes: Are we meeting the assumptions? Sports Biomech. 2020, 19, 532–546. [Google Scholar] [CrossRef] [PubMed]
- Comfort, P.; Dos’Santos, T.; Jones, P.A.; McMahon, J.J.; Suchomel, T.J.; Bazyler, C.; Stone, M.H. Normalization of Early Isometric Force Production as a Percentage of Peak Force During Multijoint Isometric Assessment. Int. J. Sports Physiol. Perform. 2019, 15, 478–482. [Google Scholar] [CrossRef] [PubMed]
- Walters, V.; Coppack, R.J.; Cassidy, R.P.; Suffield, C.; Papadopoulou, T.; Bilzon, J.; Ladlow, P. Use of an isometric mid-thigh pull test during musculoskeletal rehabilitation: Can the criterion values from the updated British Army physical employment standards be used to inform UK Defence Rehabilitation practice? BMJ Mil. Health 2022, 168, 279–285. [Google Scholar] [CrossRef] [PubMed]
- Stone, M.H.; Sands, W.A.; Carlock, J.; Callan, S.; Dickie, D.; Daigle, K.; Cotton, J.; Smith, S.L.; Hartman, M. The importance of isometric maximum strength and peak rate-of-force development in sprint cycling. J. Strength Cond. Res. 2004, 18, 878–884. [Google Scholar] [CrossRef] [PubMed]
- Dos’Santos, T.; Thomas, C.; Comfort, P.; McMahon, J.J.; Jones, P.A. Relationships between Isometric Force-Time Characteristics and Dynamic Performance. Sports 2017, 5, 68. [Google Scholar] [CrossRef]
- James, L.P.; Roberts, L.A.; Haff, G.G.; Kelly, V.G.; Beckman, E.M. Validity and Reliability of a Portable Isometric Mid-Thigh Clean Pull. J. Strength Cond. Res. 2017, 31, 1378–1386. [Google Scholar] [CrossRef]
- Grgic, J.; Scapec, B.; Mikulic, P.; Pedisic, Z. Test-retest reliability of isometric mid-thigh pull maximum strength assessment: A systematic review. Biol. Sport 2022, 39, 407–414. [Google Scholar] [CrossRef]
- Beckham, G.; Mizuguchi, S.; Carter, C.; Sato, K.; Ramsey, M.; Lamont, H.; Hornsby, G.; Haff, G.; Stone, M. Relationships of isometric mid-thigh pull variables to weightlifting performance. J. Sport Med. Phys. Fit. 2013, 53, 573–581. [Google Scholar]
- Atkins, S.J. Normalizing expressions of strength in elite rugby league players. J. Strength Cond. Res. 2004, 18, 53–58. [Google Scholar] [CrossRef]
- Martin, E.A.; Beckham, G.K. Isometric Mid-Thigh Pull Performance in Rugby Players: A Systematic Literature Review. J. Funct. Morphol. Kinesiol. 2020, 5, 91. [Google Scholar] [CrossRef]
- Haff, G.G.; Carlock, J.M.; Hartman, M.J.; Kilgore, J.L.; Kawamori, N.; Jackson, J.R.; Morris, R.T.; Sands, W.A.; Stone, M.H. Force-time curve characteristics of dynamic and isometric muscle actions of elite women olympic weightlifters. J. Strength Cond. Res. 2005, 19, 741–748. [Google Scholar] [CrossRef] [PubMed]
- Ruschel, C.; Haupenthal, A.; Jacomel, G.F.; Fontana Hde, B.; Santos, D.P.; Scoz, R.D.; Roesler, H. Validity and reliability of an instrumented leg-extension machine for measuring isometric muscle strength of the knee extensors. J. Sport Rehabil. 2015, 24. [Google Scholar] [CrossRef]
- Macedo, M.C.; Souza, M.A.; Ferreira, K.R.; Campos, L.O.; Souza, I.S.O.; Barbosa, M.A.; Brito, C.J.; Intelangelo, L.; Barbosa, A.C. Validity and Test-Retest Reliability of a Novel Push Low-Cost Hand-Held Dynamometer for Knee Strength Assessment during Different Force Ranges. Diagnostics 2022, 12, 186. [Google Scholar] [CrossRef] [PubMed]
- Machado Rodrigues, F.; Demeyer, H.; Hornikx, M.; Camillo, C.A.; Calik-Kutukcu, E.; Burtin, C.; Janssens, W.; Troosters, T.; Osadnik, C. Validity and reliability of strain gauge measurement of volitional quadriceps force in patients with COPD. Chron. Respir. Dis. 2017, 14, 289–297. [Google Scholar] [CrossRef]
- Mondiale, A.M. The Helsinki Declaration. Assist. Inferm. Ric. 2010, 29, 41–44. [Google Scholar]
- Guppy, S.N.; Brady, C.J.; Kotani, Y.; Stone, M.H.; Medic, N.; Haff, G.G. The Effect of Altering Body Posture and Barbell Position on the Between-Session Reliability of Force-Time Curve Characteristics in the Isometric Mid-Thigh Pull. Sports 2018, 6, 162. [Google Scholar] [CrossRef]
- Bourgeois, F.A.; Gamble, P.; Gill, N.D.; McGuigan, M.R. Effects of a Six-Week Strength Training Programme on Change of Direction Performance in Youth Team Sport Athletes. Sports 2017, 5, 83. [Google Scholar] [CrossRef]
- Marrier, B.; Robineau, J.; Piscione, J.; Lacome, M.; Peeters, A.; Hausswirth, C.; Morin, J.B.; Le Meur, Y. Supercompensation Kinetics of Physical Qualities During a Taper in Team-Sport Athletes. Int. J. Sports Physiol. Perform. 2017, 12, 1163–1169. [Google Scholar] [CrossRef]
- Dos’Santos, T.; Thomas, C.; Jones, P.A.; McMahon, J.J.; Comfort, P. The Effect of Hip Joint Angle on Isometric Midthigh Pull Kinetics. J. Strength Cond. Res. 2017, 31, 2748–2757. [Google Scholar] [CrossRef]
- Haff, G.G.; Ruben, R.P.; Lider, J.; Twine, C.; Cormie, P. A comparison of methods for determining the rate of force development during isometric midthigh clean pulls. J. Strength Cond. Res. 2015, 29, 386–395. [Google Scholar] [CrossRef]
- Montoro-Bombú, R.; de la Paz Arencibia, L.; Buzzichelli, C.; Miranda-Oliveira, P.; Fernandes, O.; Santos, A.; Rama, L. The Validity of the Push Band 2.0 on the Reactive Strength Index Assessment in Drop Jump. Sensors 2022, 22, 4724. [Google Scholar] [CrossRef]
- Montoro-Bombu, R.; Field, A.; Santos, A.C.; Rama, L. Validity and reliability of the Output sport device for assessing drop jump performance. Front. Bioeng. Biotechnol. 2022, 10, 1015526. [Google Scholar] [CrossRef] [PubMed]
- Cohen, J. Statistical Power Analysis for the Behavioral Sciences, 2nd ed.; L. Erlbaum Associates: Hillsdale, NJ, USA, 1988; 567p. [Google Scholar]
- Banyard, H.G.; Nosaka, K.; Haff, G.G. Reliability and Validity of the Load-Velocity Relationship to Predict the 1RM Back Squat. J. Strength Cond. Res. 2017, 31, 1897–1904. [Google Scholar] [CrossRef] [PubMed]
- Koo, T.K.; Li, M.Y. A Guideline of Selecting and Reporting Intraclass Correlation Coefficients for Reliability Research. J. Chiropr. Med. 2016, 15, 155–163. [Google Scholar] [CrossRef] [PubMed]
- Atkinson, G.; Nevill, A.M. Statistical methods for assessing measurement error (reliability) in variables relevant to sports medicine. Sports Med. 1998, 26, 217–238. [Google Scholar] [CrossRef]
- Gaudet, J.; Handrigan, G. Assessing the Validity and Reliability of a Low-Cost Microcontroller-Based Load Cell Amplifier for Measuring Lower Limb and Upper Limb Muscular Force. Sensors 2020, 20, 4999. [Google Scholar] [CrossRef]
- Sung, K.-S.; Yi, Y.G.; Shin, H.-I. Reliability and validity of knee extensor strength measurements using a portable dynamometer anchoring system in a supine position. BMC Musculoskelet. Disord. 2019, 20, 320. [Google Scholar] [CrossRef]
- Maffiuletti, N.A.; Aagaard, P.; Blazevich, A.J.; Folland, J.; Tillin, N.; Duchateau, J. Rate of force development: Physiological and methodological considerations. Eur. J. Appl. Physiol. 2016, 116, 1091–1116. [Google Scholar] [CrossRef]





Disclaimer/Publisher’s Note: The statements, opinions and data contained in all publications are solely those of the individual author(s) and contributor(s) and not of MDPI and/or the editor(s). MDPI and/or the editor(s) disclaim responsibility for any injury to people or property resulting from any ideas, methods, instructions or products referred to in the content. |
© 2023 by the authors. Licensee MDPI, Basel, Switzerland. This article is an open access article distributed under the terms and conditions of the Creative Commons Attribution (CC BY) license (https://creativecommons.org/licenses/by/4.0/).
Share and Cite
Montoro-Bombú, R.; Gomes, B.B.; Santos, A.; Rama, L. Validity and Reliability of a Load Cell Sensor-Based Device for Assessment of the Isometric Mid-Thigh Pull Test. Sensors 2023, 23, 5832. https://doi.org/10.3390/s23135832
Montoro-Bombú R, Gomes BB, Santos A, Rama L. Validity and Reliability of a Load Cell Sensor-Based Device for Assessment of the Isometric Mid-Thigh Pull Test. Sensors. 2023; 23(13):5832. https://doi.org/10.3390/s23135832
Chicago/Turabian StyleMontoro-Bombú, Raynier, Beatriz Branquinho Gomes, Amândio Santos, and Luis Rama. 2023. "Validity and Reliability of a Load Cell Sensor-Based Device for Assessment of the Isometric Mid-Thigh Pull Test" Sensors 23, no. 13: 5832. https://doi.org/10.3390/s23135832
APA StyleMontoro-Bombú, R., Gomes, B. B., Santos, A., & Rama, L. (2023). Validity and Reliability of a Load Cell Sensor-Based Device for Assessment of the Isometric Mid-Thigh Pull Test. Sensors, 23(13), 5832. https://doi.org/10.3390/s23135832

