Ring Cavity Erbium-Doped Fiber for Refractive Index Measurements
Abstract
1. Introduction
2. Experimental Setup
3. Results
3.1. Output Spectrum
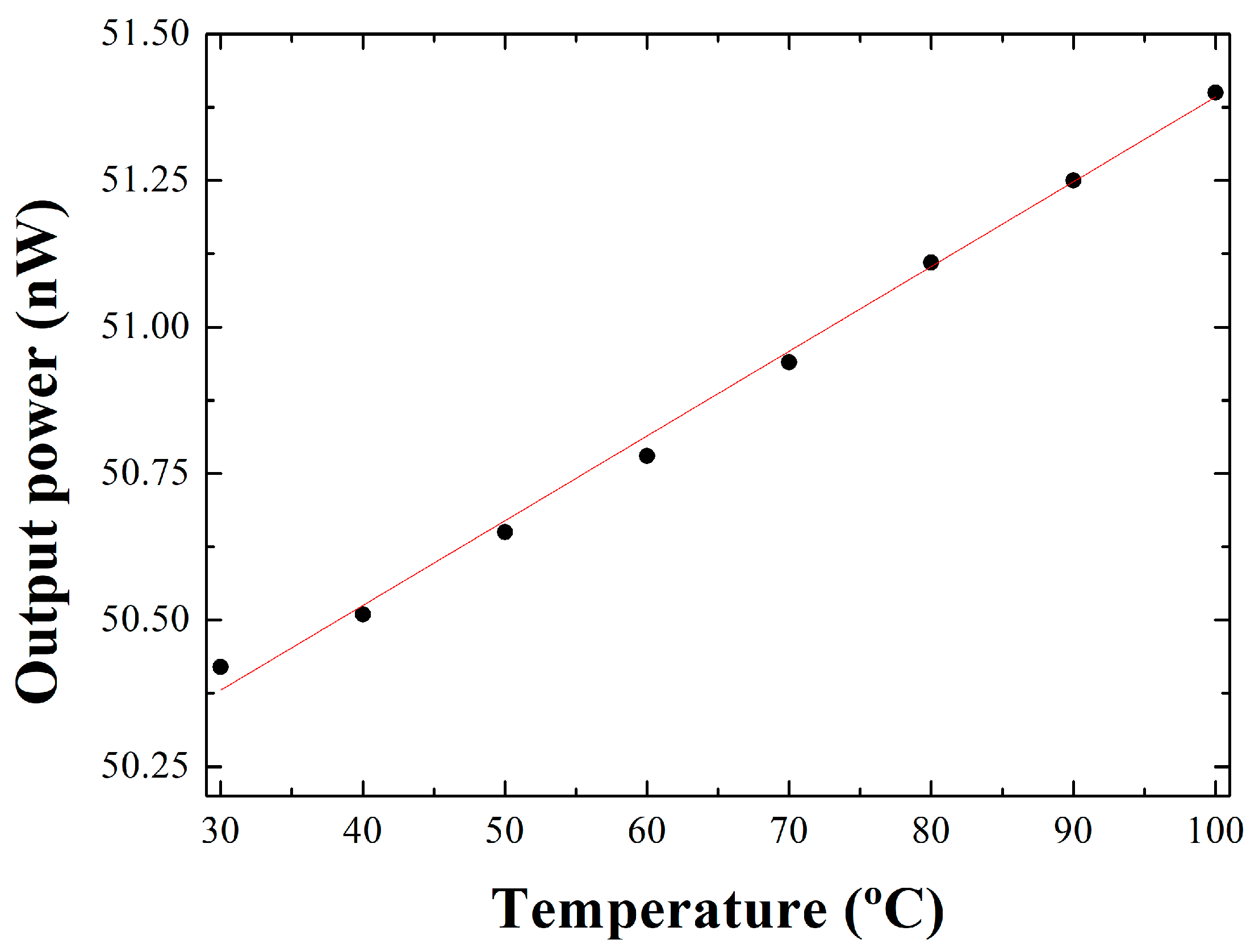
3.2. Fiber Ring Cavity Characterization
4. Conclusions
Author Contributions
Funding
Institutional Review Board Statement
Informed Consent Statement
Data Availability Statement
Conflicts of Interest
References
- Gu, M.; Yuan, S.; Yuan, Q.; Tong, Z. Temperature-independent refractive index sensor based on fiber Bragg grating and spherical-shape structure. Opt. Lasers Eng. 2019, 115, 86–89. [Google Scholar] [CrossRef]
- Qi, L.; Zhao, C.; Yuan, J.; Ye, M.; Wang, J.; Zhang, Z.; Jin, S. Highly reflective long period fiber grating sensor and its application in refractive index sensing. Sens. Actuators B-Chem. 2014, 191, 185–189. [Google Scholar] [CrossRef]
- Yang, H.; Li, Y.; Li, X. Intensity-modulated refractive index sensor based on the side modes of fiber Bragg grating. Opt. Commun. 2022, 505, 127319. [Google Scholar] [CrossRef]
- Jing, N.; Teng, C.; Zheng, J.; Wang, P.; Farrell, G. Refractive Index Sensing with a Macro-bending Structure of the Multimode Micro Plastic Optical Fiber. In Proceedings of the Asia Communications and Photonics Conference 2013, OSA Technical Digest, Paper AF2D.33, Beijing, China, 12–15 November 2013; Optica Publishing Group: Washington, DC, USA, 2013. [Google Scholar] [CrossRef]
- Miliou, A. In-Fiber Interferometric-Based Sensors: Overview and Recent Advances. Photonics 2021, 8, 265. [Google Scholar] [CrossRef]
- Zhang, Y.; Liao, C.; Lin, C.; Shao, Y.; Wang, Y.; Wang, Y. Surface plasmon resonance refractive index sensor based on fiber-interface waveguide inscribed by femtosecond laser. Opt. Lett. 2019, 44, 2434–2437. [Google Scholar] [CrossRef] [PubMed]
- Meng, H.; Shen, W.; Zhang, G.; Tan, C.; Huang, X. Fiber Bragg grating-based fiber sensor for simultaneous measurement of refractive index and temperature. Sens. Actuators B-Chem. 2010, 150, 226–229. [Google Scholar] [CrossRef]
- Shaimerdenova, M.; Ayupova, T.; Sypabekova, M.; Tosi, D. Fiber Optic Refractive Index Sensors Based on a Ball Resonator and Optical Backscatter Interrogation. Sensors 2020, 20, 6199. [Google Scholar] [CrossRef]
- Fernandes, A.J.G.; Jesus, C.; Jorge, P.A.S.; Baptista, J.M. Fiber optic intensity sensor referenced with a virtual delay line. Opt. Commun. 2011, 284, 5665–5668. [Google Scholar] [CrossRef]
- Elosua, C.; Perez-Herrera, R.A.; Lopez-Amo, M.; Bariain, C.; Garcia-Olcina, R.; Sales, S.; Capmany, J. Amplified CWDM self-referencing sensor network based on Phase-Shifted FBGs in transmissive configuration. Meas. Sci. Technol. 2009, 20, 034017. [Google Scholar] [CrossRef]
- Zhao, X.; Xie, Y.; Hu, L.; Wu, B. A novel optical refractive index sensor based on VCSELs and gold nanoparticle arrays. In Proceedings of the 4th International Conference on Electron Device and Mechanical Engineering (ICEDME), Guangzhou, China, 19–21 March 2021; pp. 110–113. [Google Scholar] [CrossRef]
- Jiao, T.; Meng, H.; Deng, S.; Liu, S.; Wang, X.; Wei, Z.; Wang, F.; Tan, C.; Huang, X. Simultaneous measurement of refractive index and temperature using a Mach-Zehnder interferometer with forward core-cladding-core recoupling. Opt. Laser Technol. 2019, 111, 612–615. [Google Scholar] [CrossRef]






| Reference | a0 | a1 | a2 | |
|---|---|---|---|---|
| Air | Value | 335.72 | −356.61 | 121.19 |
| Standard Error | ±21.18 | ±31.51 | ±11.71 | |
| Adj. R-Square | 0.994 | |||
| Water | Value | 324.73 | −378.5 | 129.17 |
| Standard Error | ±38.9 | ±57.87 | ±21.5 | |
| Adj. R-square | 0.901 | |||
| Port Immersed in Water | a0 | a1 | |
|---|---|---|---|
| reference port | Value | 49.95 | 0.0145 |
| Standard Error | ±0.021 | ±3.1 × 10−4 | |
| Adj. R-Square | 0.994 | ||
| sensor head and reference ports | Value | 82.89 | 0.006 |
| Standard Error | ±0.036 | ±5.29 × 10−4 | |
| Adj. R-square | 0.901 | ||
Publisher’s Note: MDPI stays neutral with regard to jurisdictional claims in published maps and institutional affiliations. |
© 2022 by the authors. Licensee MDPI, Basel, Switzerland. This article is an open access article distributed under the terms and conditions of the Creative Commons Attribution (CC BY) license (https://creativecommons.org/licenses/by/4.0/).
Share and Cite
Perez-Herrera, R.A.; Soares, L.; Silva, S.; Frazão, O. Ring Cavity Erbium-Doped Fiber for Refractive Index Measurements. Sensors 2022, 22, 9315. https://doi.org/10.3390/s22239315
Perez-Herrera RA, Soares L, Silva S, Frazão O. Ring Cavity Erbium-Doped Fiber for Refractive Index Measurements. Sensors. 2022; 22(23):9315. https://doi.org/10.3390/s22239315
Chicago/Turabian StylePerez-Herrera, Rosa Ana, Liliana Soares, Susana Silva, and Orlando Frazão. 2022. "Ring Cavity Erbium-Doped Fiber for Refractive Index Measurements" Sensors 22, no. 23: 9315. https://doi.org/10.3390/s22239315
APA StylePerez-Herrera, R. A., Soares, L., Silva, S., & Frazão, O. (2022). Ring Cavity Erbium-Doped Fiber for Refractive Index Measurements. Sensors, 22(23), 9315. https://doi.org/10.3390/s22239315

