Evaluating a Hybrid Circuit Topology for Fault-Ride through in DFIG-Based Wind Turbines
Abstract
1. Introduction
2. Modeling of Wind Energy Conversion System
2.1. Wind Energy Conversion System Description
2.2. Modelling of Doubly Fed Induction Generator
2.2.1. Modelling of DFIG under Balanced Conditions
2.2.2. Behavior of the DFIG under Unbalanced Conditions
2.3. Rotor Side Converter Control
2.4. Grid-Side Converter Control
3. Fault Ride through Control Circuit Design
3.1. Proposed Circuit Topology
3.1.1. Modified Switch Type Fault Current Limiter Design
3.1.2. DC Chopper Design
3.2. Control Scheme Design
3.2.1. SMC Controller
3.2.2. PI Controller
4. Results and Discussion
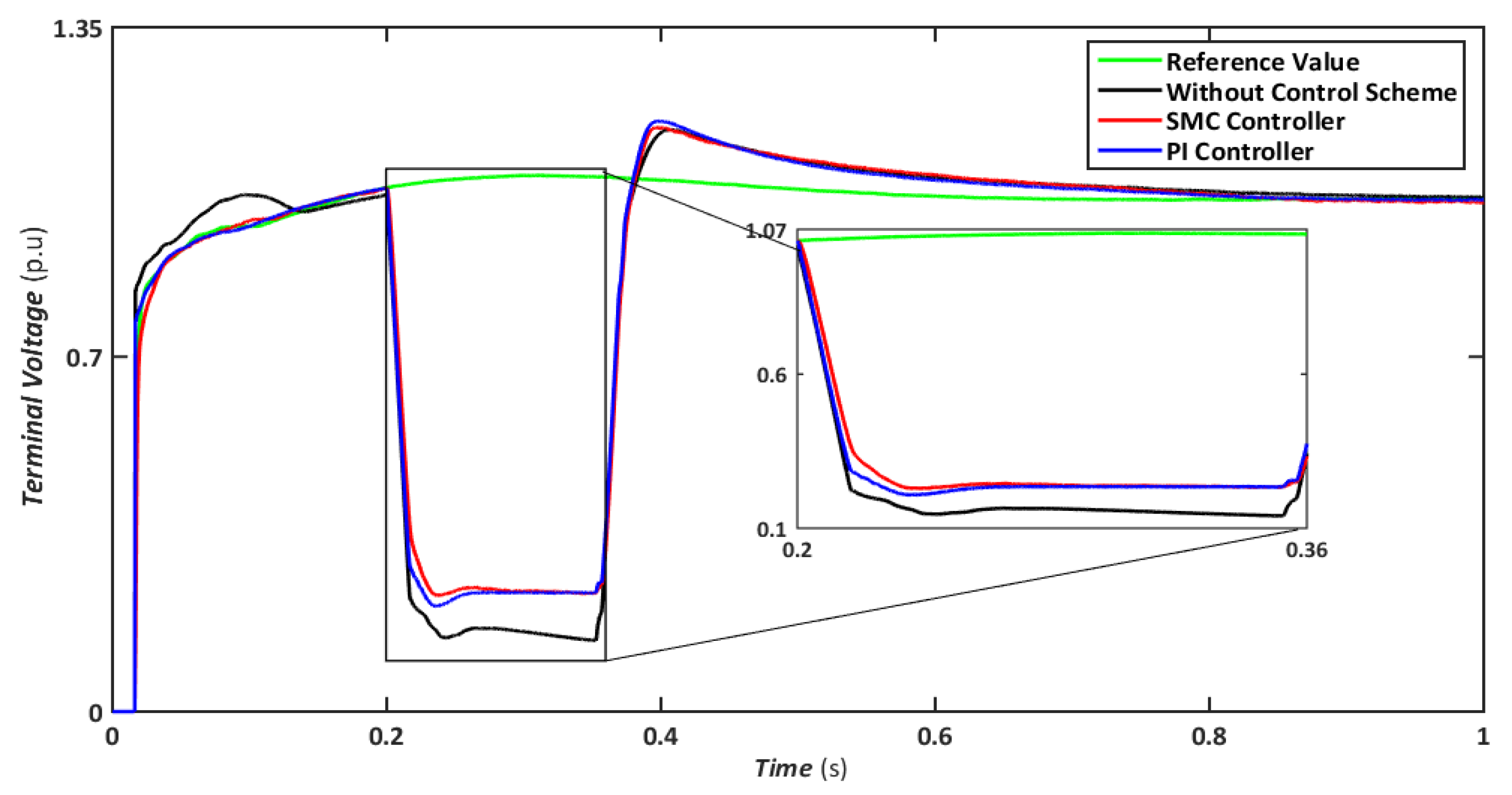
4.1. Symmetrical Grid Fault
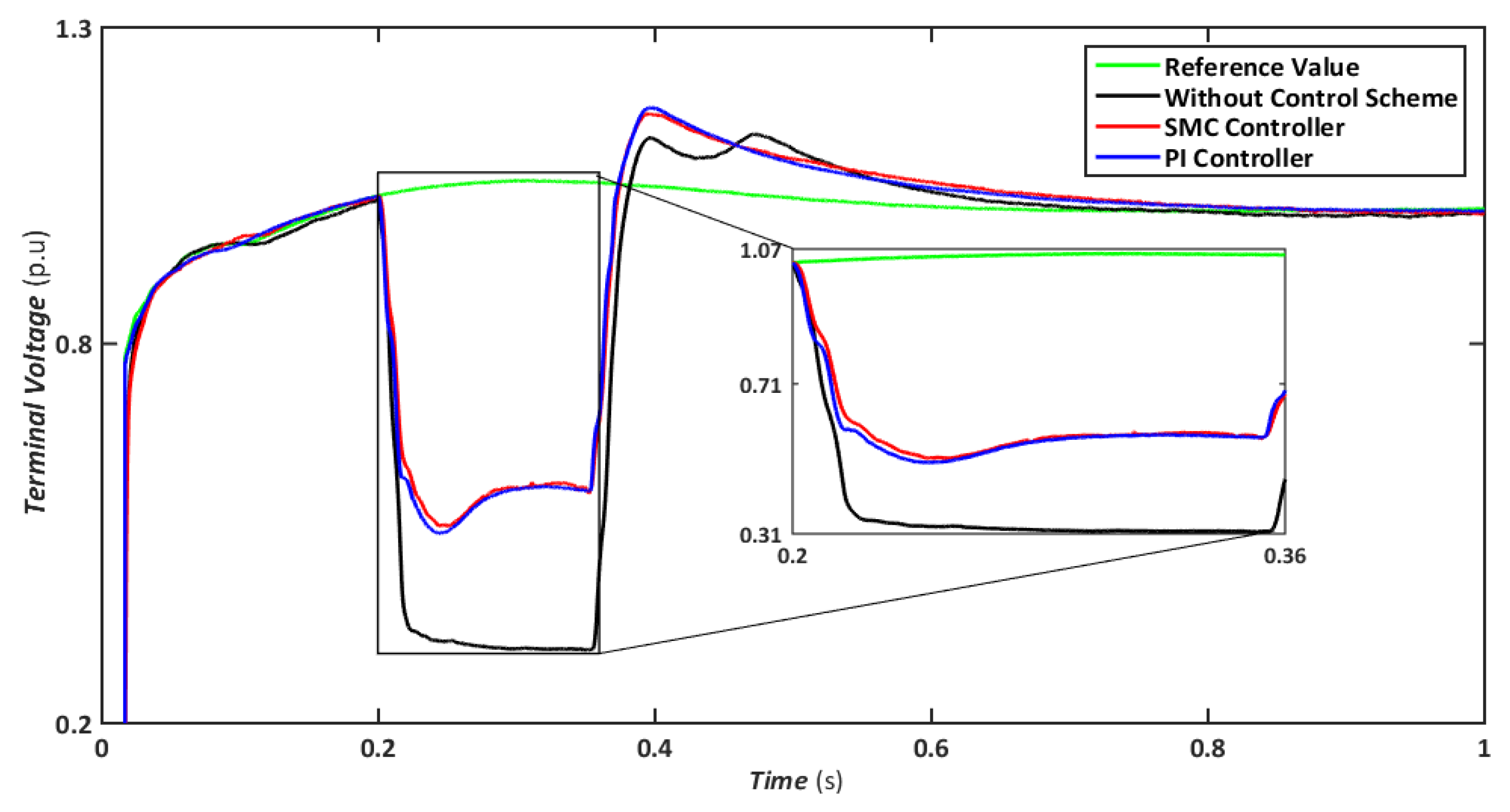
4.2. Asymmetrical Grid Fault
5. Conclusions
Author Contributions
Funding
Institutional Review Board Statement
Informed Consent Statement
Conflicts of Interest
References
- Jabbour, N.; Tsioumas, E.; Mademlis, C.; Solomin, E. A Highly Effective Fault-Ride-Through Strategy for a Wind Energy Conversion System with a Doubly Fed Induction Generator. IEEE Trans. Power Electron. 2020, 35, 8154–8164. [Google Scholar] [CrossRef]
- Moheb, A.M.; El-Hay, E.A.; El-Fergany, A.A. Comprehensive Review on Fault Ride-Through Requirements of Renewable Hybrid Microgrids. Energies 2022, 15, 6785. [Google Scholar] [CrossRef]
- Asghar, R.; Ullah, Z.; Azeem, B.; Aslam, S.; Hashmi, M.H.; Rasool, E.; Shaker, B.; Anwar, M.J.; Mustafa, K. Wind Energy Potential in Pakistan: A Feasibility Study in Sindh Province. Energies 2022, 15, 8333. [Google Scholar] [CrossRef]
- Asghar, R.; Rehman, F.; Ullah, Z.; Aman, A.; Iqbal, K.; Nawaz, A.A. Modified Switch Type Fault Current Limiter for Low-Voltage Ride-through Enhancement and Reactive Power Support of DFIG-WT under Grid Faults. IET Renew. Power Gener. 2020, 14, 1481–1490. [Google Scholar] [CrossRef]
- Kerrouche, K.D.E.; Wang, L.; Bossche, A.V.D.; Draou, A.; Mezouar, A.; Boumediene, L. Dual Robust Control of Grid-Connected DFIGs-Based Wind-Turbine-Systems under Unbalanced Grid Voltage Conditions. In Stability Control and Reliable Performance of Wind Turbines; IntechOpen: London, UK, 2018. [Google Scholar] [CrossRef]
- Jerin, A.R.A.; Kaliannan, P.; Subramaniam, U.; El Moursi, M.S. Review on FRT Solutions for Improving Transient Stability in DFIG-WTs. IET Renew. Power Gener. 2018, 12, 1786–1799. [Google Scholar] [CrossRef]
- Yifan, X.; Aimin, A.; Yingying, Z.; Wei, C. Design and Implementation of Crowbar Circuits Combined with Chopper Circuits for LVRT in Wind Farms. J. Phys. Conf. Ser. 2020, 1639, 012040. [Google Scholar] [CrossRef]
- Shen, Y.-W.; Liang, L.-Q.; Cui, M.; Shen, F.; Zhang, B.; Cui, T. Advanced Control of DFIG to Enhance the Transient Voltage Support Capability. J. Energy Eng. 2018, 144, 04018009. [Google Scholar] [CrossRef]
- İnci, M.; Bayindir, K.Ç.; Tümay, M. The Performance Improvement of Dynamic Voltage Restorer Based on Bidirectional Dc–Dc Converter. Electr. Eng. 2017, 99, 285–300. [Google Scholar] [CrossRef]
- Meral, M.E.; Çelik, D. Mitigation of DC-Link Voltage Oscillations to Reduce Size of DC-Side Capacitor and Improve Lifetime of Power Converter. Electr. Power Syst. Res. 2021, 194, 107048. [Google Scholar] [CrossRef]
- Çelik, D.; Meral, M.E. Voltage Support Control Strategy of Grid-Connected Inverter System under Unbalanced Grid Faults to Meet Fault Ride through Requirements. IET Gener. Transm. Distrib. 2020, 14, 3198–3210. [Google Scholar] [CrossRef]
- Hamdan, I.; Ibrahim, A.M.A.; Noureldeen, O. Modified STATCOM Control Strategy for Fault Ride-through Capability Enhancement of Grid-Connected PV/Wind Hybrid Power System during Voltage Sag. SN Appl. Sci. 2020, 2, 364. [Google Scholar] [CrossRef]
- Rehman, F.; Azeem, B.; Mehmood, C.A.; Ali, S.M.; Khan, B.; Rehman, F. Control of Grid Interfaced Doubly Fed Induction Generator (DFIG) Using Adaptive SMC Improved with LVRT Enhancement. In Proceedings of the 2016 International Conference on Frontiers of Information Technology (FIT), Islamabad, Pakistan, 18–20 December 2017; pp. 336–341. [Google Scholar] [CrossRef]
- Mehmood, F.; Ashraf, N.; Alvarez, L.; Malik, T.N.; Qureshi, H.K.; Kamal, T. Grid Integrated Photovoltaic System with Fuzzy Based Maximum Power Point Tracking Control along with Harmonic Elimination. Trans. Emerg. Telecommun. Technol. 2022, 33, e3856. [Google Scholar] [CrossRef]
- Roy, T.K.; Mahmud, M.A.; Islam, S.N.; Amanullah, M.T.O. Direct Power Controller Design for Improving FRT Capabilities of DFIG-Based Wind Farms Using a Nonlinear Backstepping Approach. In Proceedings of the 2018 8th International Conference on Power and Energy Systems (ICPES), Colombo, Sri Lanka, 21–22 December 2018; pp. 240–245. [Google Scholar] [CrossRef]
- El Makrini, A.; El Karkri, Y.; Boukhriss, Y.; El Markhi, H.; El Moussaoui, H. LVRT Control Strategy of DFIG Based Wind Turbines Combined the Active and Passive Protections. Int. J. Renew. Energy Res. 2017, 7, 1258–1269. [Google Scholar] [CrossRef]
- Qais, M.H.; Hasanien, H.M.; Alghuwainem, S. Optimal Transient Search Algorithm-Based PI Controllers for Enhancing Low Voltage Ride-Through Ability of Grid-Linked PMSG-Based Wind Turbine. Electronics 2020, 9, 1807. [Google Scholar] [CrossRef]
- Xiong, L.; Wang, J.; Mi, X.; Khan, M.W. Fractional Order Sliding Mode Based Direct Power Control of Grid-Connected DFIG. IEEE Trans. Power Syst. 2018, 33, 3087–3096. [Google Scholar] [CrossRef]
- Shoaib, M.; Siddiqui, I.; Rehman, S.; Khan, S.; Alhems, L.M. Assessment of Wind Energy Potential Using Wind Energy Conversion System. J. Clean. Prod. 2019, 216, 346–360. [Google Scholar] [CrossRef]
- Boubzizi, S.; Abid, H.; Hajjaji, A.E.; Chaabane, M. Comparative Study of Three Types of Controllers for DFIG in Wind Energy Conversion System. Prot. Control Mod. Power Syst. 2018, 3, 1–12. [Google Scholar] [CrossRef]
- Ali, M.A.S.; Mehmood, K.K.; Baloch, S.; Kim, C.H. Modified Rotor-Side Converter Control Design for Improving the LVRT Capability of a DFIG-Based WECS. Electr. Power Syst. Res. 2020, 186, 106403. [Google Scholar] [CrossRef]
- Wu, Y.K.; Shu, W.H.; Cheng, H.Y.; Ye, G.T.; Jiang, D.C. Mathematical Modelling and Simulation of the DFIG-Based Wind Turbine. In Proceedings of the 2014 CACS International Automatic Control Conference, Kaohsiung, Taiwan, 26–28 November 2014; pp. 57–62. [Google Scholar] [CrossRef]
- Velpula, S.; Rajaram, T. A Simple Approach to MODELLING and Control of DFIG-Based WECS in Network Reference Frame. Int. J. Ambient. Energy 2020, 43, 2475–2485. [Google Scholar] [CrossRef]
- Jabal Laafou, A.; Ait Madi, A.; Addaim, A.; Intidam, A. Dynamic Modeling and Improved Control of a Grid-Connected DFIG Used in Wind Energy Conversion Systems. Math. Probl. Eng. 2020, 2020, 1651648. [Google Scholar] [CrossRef]
- Rahimi, M.; Parniani, M. Low Voltage Ride-through Capability Improvement of DFIG-Based Wind Turbines under Unbalanced Voltage Dips. Int. J. Electr. Power Energy Syst. 2014, 60, 82–95. [Google Scholar] [CrossRef]
- Nadour, M.; Essadki, A.; Nasser, T. Improving Low-Voltage Ride-through Capability of a Multimegawatt DFIG Based Wind Turbine under Grid Faults. Prot. Control Mod. Power Syst. 2020, 5, 33. [Google Scholar] [CrossRef]
- Ghanbari, T.; Farjah, E.; Naseri, F.; Tashakor, N.; Givi, H.; Khayam, R. Solid-State Capacitor Switching Transient Limiter Based on Kalman Filter Algorithm for Mitigation of Capacitor Bank Switching Transients. Renew. Sustain. Energy Rev. 2018, 90, 1069–1081. [Google Scholar] [CrossRef]
- Zhu, J.; Deng, Z.; Yu, L.; Li, S.; Qu, C.; Qiu, W.; Adam, G.P.; Booth, C. A DC Chopper-Based Fast Active Power Output Reduction Scheme for DFIG Wind Turbine Generators. IET Renew. Power Gener. 2021, 15, 2480–2490. [Google Scholar] [CrossRef]
- Sami, I.; Khan, B.; Asghar, R.; Mehmood, C.A.; Ali, S.M.; Ullah, Z.; Basit, A. Sliding Mode-Based Model Predictive Torque Control of Induction Machine. In Proceedings of the 2019 International Conference on Engineering and Emerging Technologies (ICEET), Lahore, Pakistan, 21–22 February 2019. [Google Scholar] [CrossRef]
- Saad, N.H.; Sattar, A.A.; Mansour, A.E.A.M. Low Voltage Ride through of Doubly-Fed Induction Generator Connected to the Grid Using Sliding Mode Control Strategy. Renew. Energy 2015, 80, 583–594. [Google Scholar] [CrossRef]
- El-Naggar, M.F.; Mosaad, M.I.; Hasanien, H.M.; AbdulFattah, T.A.; Bendary, A.F. Elephant Herding Algorithm-Based Optimal PI Controller for LVRT Enhancement of Wind Energy Conversion Systems. Ain Shams Eng. J. 2021, 12, 599–608. [Google Scholar] [CrossRef]
- Zeb, K.; Islam, S.U.; Uddin, W.; Ullah, K.; Asghar, R.; Busarello, T.D.C.; Kim, H.J. DC-Link Voltage Regulation of Single-Phase Grid- Tied PV System Using Fuzzy-PI Controller. In Proceedings of the 2019 15th International Conference on Emerging Technologies (ICET), Peshawar, Pakistan, 2–3 December 2019. [Google Scholar] [CrossRef]













| Parameters | Values |
|---|---|
| DFIGs rated power | 9 MW |
| Inertia constant | 0.685 pu |
| DC-Link voltage | 1150 V |
| Stator voltage | 575 V |
| Mutual inductance | 2.5 pu |
| Syn speed | 2 π 60 |
| Pitch controller gain | 150 |
| Turn ratio | 1 |
| Magnetizing resistance | 0.264 Ω |
| Magnetizing inductance | 0.0004 H |
| Stator-rotor leakage inductance | 0.18 pu, 0.16 pu |
| Stator/rotor leakage resistance | 0.023 pu, 0.016 pu |
Publisher’s Note: MDPI stays neutral with regard to jurisdictional claims in published maps and institutional affiliations. |
© 2022 by the authors. Licensee MDPI, Basel, Switzerland. This article is an open access article distributed under the terms and conditions of the Creative Commons Attribution (CC BY) license (https://creativecommons.org/licenses/by/4.0/).
Share and Cite
Saeed, S.; Asghar, R.; Mehmood, F.; Saleem, H.; Azeem, B.; Ullah, Z. Evaluating a Hybrid Circuit Topology for Fault-Ride through in DFIG-Based Wind Turbines. Sensors 2022, 22, 9314. https://doi.org/10.3390/s22239314
Saeed S, Asghar R, Mehmood F, Saleem H, Azeem B, Ullah Z. Evaluating a Hybrid Circuit Topology for Fault-Ride through in DFIG-Based Wind Turbines. Sensors. 2022; 22(23):9314. https://doi.org/10.3390/s22239314
Chicago/Turabian StyleSaeed, Sarmad, Rafiq Asghar, Faizan Mehmood, Haider Saleem, Babar Azeem, and Zahid Ullah. 2022. "Evaluating a Hybrid Circuit Topology for Fault-Ride through in DFIG-Based Wind Turbines" Sensors 22, no. 23: 9314. https://doi.org/10.3390/s22239314
APA StyleSaeed, S., Asghar, R., Mehmood, F., Saleem, H., Azeem, B., & Ullah, Z. (2022). Evaluating a Hybrid Circuit Topology for Fault-Ride through in DFIG-Based Wind Turbines. Sensors, 22(23), 9314. https://doi.org/10.3390/s22239314

