Automatic Pixel-Level Pavement Crack Recognition Using a Deep Feature Aggregation Segmentation Network with a scSE Attention Mechanism Module
Abstract
1. Introduction
- (1)
- This paper remodified the network architecture of DFANet, and integrated the scSE attention mechanism behind each encoder module, and the novel pavement crack detection algorithm calls CrackDFANet, which can make full use of the multi-scale receiving field to refine the crack detection results and extract the high-level features and low-level details of the crack. This allow us to achieve better results between detection speed and detection accuracy.
- (2)
- The scSE attention mechanism was integrated to the DFANet, a set of weight coefficients are learned independently through the network, and the mechanism of “dynamic weighting” to emphasize the crack region of interest while suppressing the irrelevant background region. And the attention module can correlate the global information of the crack. In this way, it effectively improves the detection efficiency of the model and reduces the computational cost.
- (3)
- The focal loss function can decrease the weight of easy-to-classify samples, and the model can focus on hard-to-classify samples during training. This paper uses the focal loss to solve the category imbalance problem.
2. Related Work
3. Data Collection
3.1. Our Datasets
3.1.1. Data Acquisition Process
3.1.2. Data Augmentation and Annotation
3.2. Public Datasets
4. Methods
4.1. Overall Architecture of the Proposed Method
4.1.1. Lightweight Backbone Network
4.1.2. The scSE Attention Mechanism Module
4.1.3. Sub-Network Aggregation Module
4.1.4. Sub-Stage Aggregation Module
4.1.5. The Dual-Path Decoder
4.2. Loss Function
- (1)
- When an example is misclassified. At this time, is small, and then the modulation factor is close to 1, and the loss is not affected. At this time, the model enhances the focus on positive samples. When , the modulation factor is close to 0, which indicates that the classification is true and the samples are easy to classify at this time, and the modulation coefficient will approach 0, that is, the sample contributes little to the total loss.
- (2)
- The focusing parameter smoothly adjusts the proportion of the weight of the easy-to-divide samples to be reduced. Increasing can enhance the influence of modulation factors. in this paper.
4.3. Model Training and Optimization
5. Experiment and Analysis
5.1. Implementation Details
5.1.1. Computation Platform
5.1.2. Parameter Settings
5.2. Evaluation Criteria
5.3. Compared Methods
- (1)
- FCN: We use FCN-8s to detect cracks by replacing the loss function with FL. The hyperparameter settings are as follows: the base learning rate is set to , the momentum is set to 0.99, and the weight decay is set to 0.0005. We train the FCN model on our dataset.
- (2)
- SegNet: This network can achieve end-to-end learning and crack segmentation by using an encoder network and its corresponding decoder network. Except that the basic learning rate is set to , the settings of other hyperparameters are the same as those in FCN. We train the SegNet model on our dataset.
- (3)
- U-Net: This network uses skip-layer in the encoder-decoder network for crack segmentation. Except that the basic learning rate is set to , the settings of other hyperparameters are the same as those in FCN. We train the U-Net model on our dataset.
- (4)
- CrackDFANet: The CrackDFANet model is trained on our dataset.
5.4. Experiment Results and Discussion
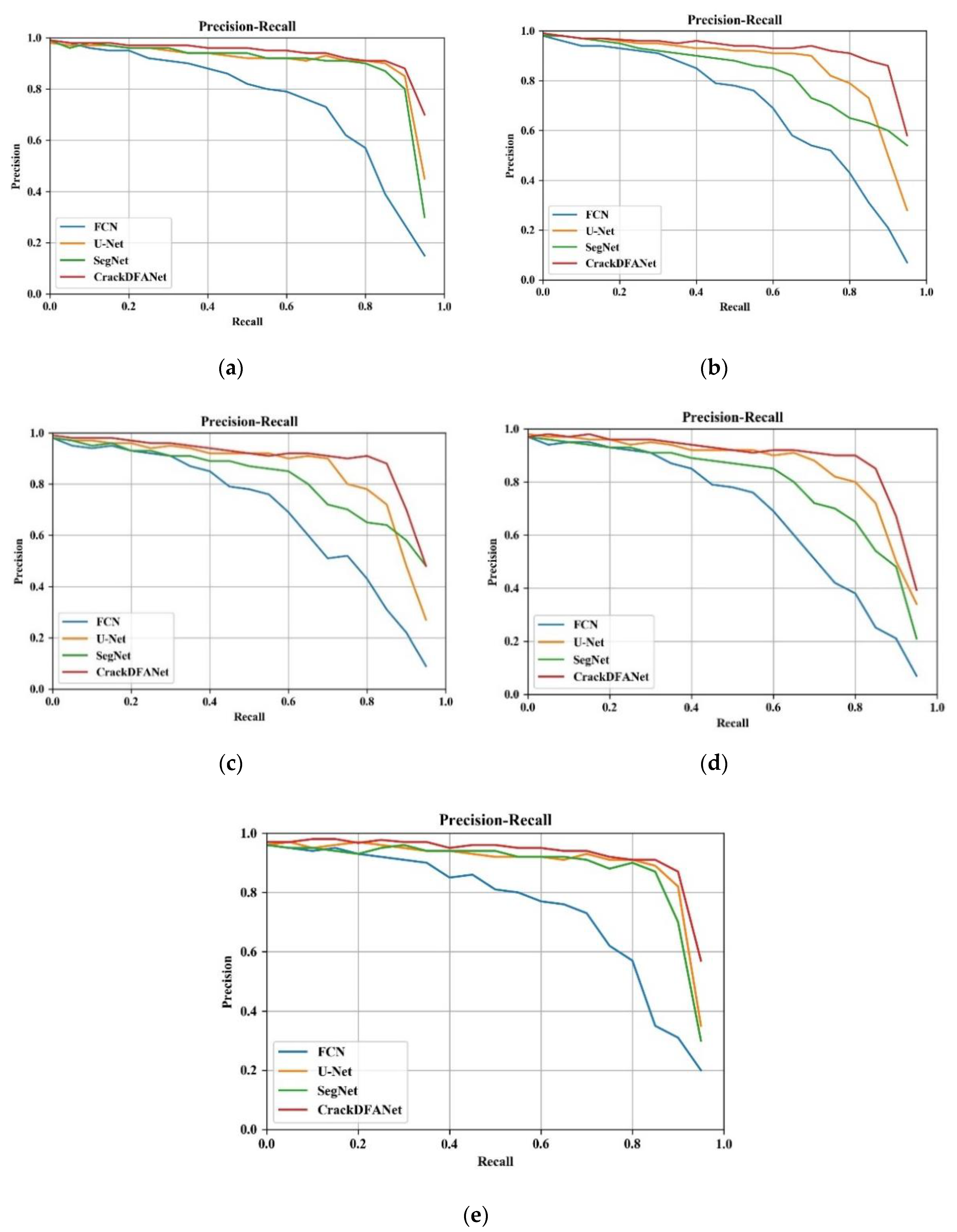
5.4.1. Results on Our Dataset
5.4.2. Results on GAPs384 Dataset
5.4.3. Results on Crack500 Dataset
5.4.4. Results on AigleRN Dataset
5.4.5. Results on CFD Dataset
5.4.6. Special Cases Discussion
6. Error Rate
7. Conclusions
- (1)
- Model validation performed on five different crack datasets, CrackDFANet records the MIoU of 0.8972 on our dataset. And the model processes in real-time (64.5 FPS) images with pixels. At the same time, to further verify the generalization ability of the model, the model tests were performed on four public datasets: GAPs384, Crack500, AigleRN and CFD. Experimental results show that CrackDFANet achieves best P, R, F1, ACC, MIoU and FPS and surpasses FCN, SegNet, and U-Net crack detection algorithms.
- (2)
- The CrackDFANet can get a good balance between detection accuracy and detection speed. Meanwhile, the parameters of the model are greatly reduced.
- (3)
- Under the interference of light interference, parking line, water stains, plant disturbance, oil stains, and shadow conditions, the CrackDFANet has strong anti-interference ability, and has better robustness and generalization ability.
- (4)
- To compare the accuracy of different algorithms in the crack detection, we calculated the error rate for different images. The experimental results show that the average error rate of our algorithm is 0.73%, which is significantly better than the other three comparison algorithms.
Author Contributions
Funding
Institutional Review Board Statement
Informed Consent Statement
Data Availability Statement
Conflicts of Interest
References
- Shi, Y.; Cui, L.; Qi, Z.; Meng, F.; Chen, Z. Automatic road crack detection using random structured forests. IEEE Trans. Intell. Transp. Syst. 2016, 17, 3434–3445. [Google Scholar] [CrossRef]
- Nguyen, H.-N.; Kam, T.-Y.; Cheng, P.-Y. An automatic approach for accurate edge detection of concrete crack utilizing 2D geometric features of crack. J. Signal Process. Syst. 2014, 77, 221–240. [Google Scholar] [CrossRef]
- Abdel-Qader, I.; Abudayyeh, O.; Kelly, M.E. Analysis of edge-detection techniques for crack identification in bridges. J. Comput. Civ. Eng. 2003, 17, 255–263. [Google Scholar] [CrossRef]
- Zhang, Y. The design of glass crack detection system based on image preprocessing technology. In Proceedings of the 2014 IEEE 7th Joint International Information Technology and Artificial Intelligence Conference, Chongqing, China, 20–21 December 2014; pp. 39–42. [Google Scholar]
- Ni, T.; Zhou, R.; Gu, C.; Yang, Y. Measurement of concrete crack feature with android smartphone APP based on digital image processing techniques. Measurement 2020, 150, 107093. [Google Scholar] [CrossRef]
- Choi, S.; Kim, K.; Lee, J.; Park, S.H.; Lee, H.-J.; Yoon, J. Image processing algorithm for real-time crack inspection in hole expansion test. Int. J. Precis. Eng. Manuf. 2019, 20, 1139–1148. [Google Scholar] [CrossRef]
- Chen, F.-C.; Jahanshahi, M.R. NB-CNN: Deep learning-based crack detection using convolutional neural network and Naïve Bayes data fusion. IEEE Trans. Ind. Electron. 2017, 65, 4392–4400. [Google Scholar] [CrossRef]
- Dung, C.V. Autonomous concrete crack detection using deep fully convolutional neural network. Autom. Constr. 2019, 99, 52–58. [Google Scholar] [CrossRef]
- Liu, Z.; Cao, Y.; Wang, Y.; Wang, W. Computer vision-based concrete crack detection using U-net fully convolutional networks. Autom. Constr. 2019, 104, 129–139. [Google Scholar] [CrossRef]
- Bang, S.; Park, S.; Kim, H.; Kim, H. Encoder–decoder network for pixel-level road crack detection in black-box images. Comput. Aided Civ. Infrastruct. Eng. 2019, 34, 713–727. [Google Scholar] [CrossRef]
- Roy, A.G.; Navab, N.; Wachinger, C. Concurrent spatial and channel ‘squeeze & excitation’in fully convolutional networks. In International Conference on Medical Image Computing and Computer-Assisted Intervention; Springer: Berlin/Heidelberg, Germany, 2018; pp. 421–429. [Google Scholar]
- Hu, J.; Shen, L.; Sun, G. Squeeze-and-excitation networks. In Proceedings of the IEEE Conference on Computer Vision and Pattern Recognition (CVPR), Salt Lake City, UT, USA, 26 June–1 July 2018; pp. 7132–7141. [Google Scholar]
- Woo, S.; Park, J.; Lee, J.-Y.; Kweon, I.S. Cbam: Convolutional block attention module. In Proceedings of the European Conference on Computer Vision (ECCV), Munich, Germany, 8–14 September 2018; pp. 3–19. [Google Scholar]
- Zhao, H.; Qi, X.; Shen, X.; Shi, J.; Jia, J. Icnet for real-time semantic segmentation on high-resolution images. In Proceedings of the European Conference on Computer Vision (ECCV), Munich, Germany, 8–14 September 2018; pp. 405–420. [Google Scholar]
- Zhao, H.; Shi, J.; Qi, X.; Wang, X.; Jia, J. Pyramid scene parsing network. In Proceedings of the IEEE Conference on Computer Vision and Pattern Recognition, Venice, Italy, 26 June–1 July 2017; pp. 2881–2890. [Google Scholar]
- Li, H.; Xiong, P.; Fan, H.; Sun, J. DFANet: Deep Feature Aggregation for Real-Time Semantic Segmentation. In Proceedings of the IEEE/CVF Conference on Computer Vision and Pattern Recognition, Seoul, Korea, 26 June–1 July 2019; pp. 9522–9531. [Google Scholar]
- Johnson, J.M.; Khoshgoftaar, T.M. Survey on deep learning with class imbalance. J. Big Data 2019, 6, 1–54. [Google Scholar] [CrossRef]
- Lin, T.-Y.; Goyal, P.; Girshick, R.; He, K.; Dollár, P. Focal loss for dense object detection. In Proceedings of the IEEE International Conference on Computer Vision, Venice, Italy, 22–29 October 2017; pp. 2980–2988. [Google Scholar]
- Chanda, S.; Bu, G.; Guan, H.; Jo, J.; Pal, U.; Loo, Y.-C.; Blumenstein, M. Automatic bridge crack detection–a texture analysis-based approach. In IAPR Workshop on Artificial Neural Networks in Pattern Recognition; Springer: Berlin/Heidelberg, Germany, 2014; pp. 193–203. [Google Scholar]
- Kapela, R.; Śniatała, P.; Turkot, A.; Rybarczyk, A.; Pożarycki, A.; Rydzewski, P.; Wyczałek, M.; Błoch, A. Asphalt surfaced pavement cracks detection based on histograms of oriented gradients. In Proceedings of the 2015 22nd International Conference Mixed Design of Integrated Circuits & Systems (MIXDES), Torun, Poland, 25–27 June 2015; pp. 579–584. [Google Scholar]
- Hu, Y.; Zhao, C.-X. A novel LBP based methods for pavement crack detection. J. Pattern Recognit. Res. 2010, 5, 140–147. [Google Scholar] [CrossRef]
- Amhaz, R.; Chambon, S.; Idier, J.; Baltazart, V. Automatic crack detection on two-dimensional pavement images: An algorithm based on minimal path selection. IEEE Trans. Intell. Transp. Syst. 2016, 17, 2718–2729. [Google Scholar] [CrossRef]
- Szegedy, C.; Liu, W.; Jia, Y.; Sermanet, P.; Reed, S.; Anguelov, D.; Erhan, D.; Vanhoucke, V.; Rabinovich, A. Going deeper with convolutions. In Proceedings of the IEEE Conference on Computer Vision and Pattern Recognition, Boston, MA, USA, 7–12 June 2015; pp. 1–9. [Google Scholar]
- He, K.; Zhang, X.; Ren, S.; Sun, J. Deep residual learning for image recognition. In Proceedings of the IEEE Conference on Computer Vision and Pattern Recognition, Las Vegas, NV, USA, 27–30 June 2016; pp. 770–778. [Google Scholar]
- Zhang, L.; Yang, F.; Zhang, Y.D.; Zhu, Y.J. Road crack detection using deep convolutional neural network. In Proceedings of the 2016 IEEE International Conference on Image Processing (ICIP), Phoenix, AZ, USA, 25–28 September 2016; pp. 3708–3712. [Google Scholar]
- Wang, X.; Hu, Z. Grid-based pavement crack analysis using deep learning. In Proceedings of the 2017 4th International Conference on Transportation Information and Safety (ICTIS), Banff, AB, Canada, 8–10 August 2017; pp. 917–924. [Google Scholar]
- Cha, Y.J.; Choi, W.; Büyüköztürk, O. Deep learning-based crack damage detection using convolutional neural networks. Comput. Aided Civ. Infrastruct. Eng. 2017, 32, 361–378. [Google Scholar] [CrossRef]
- An, Y.-K.; Jang, K.; Kim, B.; Cho, S. Deep learning-based concrete crack detection using hybrid images. In Sensors and Smart Structures Technologies for Civil, Mechanical, and Aerospace Systems; International Society for Optics and Photonics: Orlando, FL, USA, 2018; p. 1059812. [Google Scholar]
- Kim, B.; Yuvaraj, N.; Preethaa, K.S.; Pandian, R.A. Surface crack detection using deep learning with shallow CNN architecture for enhanced computation. Neural Comput. Appl. 2021, 1–17. [Google Scholar]
- Le, T.-T.; Nguyen, V.-H.; Le, M.V. Development of Deep Learning Model for the Recognition of Cracks on Concrete Surfaces. Appl. Comput. Intell. Soft Comput. 2021, 2021, 1–10. [Google Scholar]
- Ali, L.; Alnajjar, F.; Jassmi, H.A.; Gochoo, M.; Khan, W.; Serhani, M.A. Performance Evaluation of Deep CNN-Based Crack Detection and Localization Techniques for Concrete Structures. Sensors 2021, 21, 1688. [Google Scholar] [CrossRef]
- Wang, Z.; Yang, J.; Jiang, H.; Fan, X. CNN Training with Twenty Samples for Crack Detection via Data Augmentation. Sensors 2020, 20, 4849. [Google Scholar] [CrossRef] [PubMed]
- Huang, H.-W.; Li, Q.-T.; Zhang, D.-M. Deep learning based image recognition for crack and leakage defects of metro shield tunnel. Tunn. Undergr. Space Technol. 2018, 77, 166–176. [Google Scholar] [CrossRef]
- Zou, Q.; Zhang, Z.; Li, Q.; Qi, X.; Wang, Q.; Wang, S. Deepcrack: Learning hierarchical convolutional features for crack detection. IEEE Trans. Image Process. 2018, 28, 1498–1512. [Google Scholar] [CrossRef] [PubMed]
- Cheng, S.; Wu, Z. Pixel-Level Crack Detection in Images Using SegNet. In Proceedings of the Multi-disciplinary Trends in Artificial Intelligence: 13th International Conference, MIWAI 2019, Kuala Lumpur, Malaysia, 17–19 November 2019; Springer Nature: Berlin/Heidelberg, Germany, 2019; p. 247. [Google Scholar]
- Hsieh, Y.-A.; Tsai, Y.J. Machine learning for crack detection: Review and model performance comparison. J. Comput. Civ. Eng. 2020, 34, 04020038. [Google Scholar] [CrossRef]
- Li, G.; Wan, J.; He, S.; Liu, Q.; Ma, B. Semi-Supervised Semantic Segmentation Using Adversarial Learning for Pavement Crack Detection. IEEE Access 2020, 8, 51446–51459. [Google Scholar] [CrossRef]
- Kim, J.J.; Kim, A.-R.; Lee, S.-W. Artificial Neural Network-Based Automated Crack Detection and Analysis for the Inspection of Concrete Structures. Appl. Sci. 2020, 10, 8105. [Google Scholar] [CrossRef]
- Russell, B.C.; Torralba, A.; Murphy, K.; Freeman, W.T. LabelMe: A Database and Web-Based Tool for Image Annotation. Int. J. Comput. Vis. 2008, 77, 157–173. [Google Scholar] [CrossRef]
- Eisenbach, M.; Stricker, R.; Seichter, D.; Amende, K.; Debes, K.; Sesselmann, M.; Ebersbach, D.; Stoeckert, U.; Gross, H.-M. How to get pavement distress detection ready for deep learning? A systematic approach. In Proceedings of the 2017 International Joint Conference on Neural Networks (IJCNN), Anchorage, AK, USA, 14–19 May 2017; pp. 2039–2047. [Google Scholar]
- Yang, F.; Zhang, L.; Yu, S.; Prokhorov, D.; Mei, X.; Ling, H. Feature pyramid and hierarchical boosting network for pavement crack detection. IEEE Trans. Intell. Transp. Syst. 2019, 21, 1525–1535. [Google Scholar] [CrossRef]
- Chollet, F. Xception: Deep learning with depthwise separable convolutions. In Proceedings of the IEEE conference on computer vision and pattern recognition, Honolulu, HI, USA, 21–26 July 2017; pp. 1251–1258. [Google Scholar]
- Zhou, Y.; Gao, Z. Intelligent Recognition of Medical Motion Image Combining Convolutional Neural Network With Internet of Things. IEEE Access 2019, 7, 145462–145476. [Google Scholar] [CrossRef]
- Huyan, J.; Li, W.; Tighe, S.L.; Xu, Z.; Zhai, J. CrackU-net: A novel deep convolutional neural network for pixelwise pavement crack detection. Struct. Control Health Monit. 2020, 27, 2551. [Google Scholar] [CrossRef]















| Image Description | Training Sets | Verification Sets | Test Sets |
|---|---|---|---|
| Image size(pixels) | |||
| Number of images | 2000 | 660 | 660 |
| Datasets | Image Size (Pixels) | Number of Images |
|---|---|---|
| GAPs384 [40] | 1969 | |
| Crack500 [41] | 500 | |
| AigleRN [22] | 269 | |
| CFD [1] | 118 |
| Stage | Kernel Size | Padding | Stride |
|---|---|---|---|
| conv1 | 8 | 2 | |
| enc2 | 12 | 4 | |
| 12 | 4 | ||
| 48 | 4 | ||
| enc3 | 24 | 6 | |
| 24 | 6 | ||
| 96 | 6 | ||
| enc4 | 48 | 4 | |
| 48 | 4 | ||
| 192 | 4 |
| Ground Truth Case | Crack | Non-Crack | |
|---|---|---|---|
| Predicted Case | |||
| Crack | True positive (TP) | False positive (FP) | |
| Non-crack | False negative (FN) | True negative (TN) | |
| Methods | Detection Effect Evaluation Index | |||||||
|---|---|---|---|---|---|---|---|---|
| P | R | F1 | ACC | MIoU | Params | FLOPs | FPS (Milliseconds/Image) | |
| FCN | 0.8201 | 0.7912 | 0.8054 | 0.8496 | 0.8297 | 250.8 M | 136.3 G | 14.7 (68.03) |
| SegNet | 0.8457 | 0.8068 | 0.7967 | 0.8896 | 0.8550 | 49 M | 286.1 G | 21.1 (47.39) |
| U-Net | 0.9021 | 0.9115 | 0.9067 | 0.9021 | 0.8603 | 58 M | 354.2 G | 17.0 (58.82) |
| Ours | 0.9418 | 0.9329 | 0.9373 | 0.9674 | 0.8972 | 14.5 M | 3.8 G | 64.5 (15.50) |
| Methods | Detection Effect Evaluation Index | |||||
|---|---|---|---|---|---|---|
| P | R | F1 | ACC | MIoU | FPS (Milliseconds/Image) | |
| FCN | 0.6879 | 0.6179 | 0.6510 | 0.8121 | 0.7257 | 1.9 (526.31) |
| SegNet | 0.6902 | 0.6738 | 0.6819 | 0.8542 | 0.7391 | 2.7 (370.37) |
| U-Net | 0.7092 | 0.6115 | 0.6567 | 0.8861 | 0.7294 | 2.2 (454.54) |
| Ours | 0.8980 | 0.7673 | 0.8275 | 0.9554 | 0.8723 | 8.2 (121.95) |
| Methods | Detection Effect Evaluation Index | |||||
|---|---|---|---|---|---|---|
| P | R | F1 | ACC | MIoU | FPS (Milliseconds/Image) | |
| FCN | 0.6932 | 0.6183 | 0.6536 | 0.7648 | 0.7273 | 1.3 (769.23) |
| SegNet | 0.7001 | 0.6034 | 0.6481 | 0.7912 | 0.7643 | 1.8 (555.56) |
| U-Net | 0.7119 | 0.6083 | 0.6561 | 0.8321 | 0.7991 | 1.5 (666.67) |
| Ours | 0.8890 | 0.8521 | 0.8701 | 0.9237 | 0.8753 | 5.7 (175.44) |
| Methods | Detection Effect Evaluation Index | |||||
|---|---|---|---|---|---|---|
| P | R | F1 | ACC | MIoU | FPS (Milliseconds/Image) | |
| FCN | 0.7322 | 0.8752 | 0.7973 | 0.8524 | 0.7435 | 9.9 (101.01) |
| SegNet | 0.7685 | 0.7432 | 0.7656 | 0.8652 | 0.7647 | 13.7 (72.99) |
| U-Net | 0.8656 | 0.8016 | 0.8323 | 0.8833 | 0.8213 | 11.4 (87.72) |
| Ours | 0.8947 | 0.8283 | 0.8602 | 0.9234 | 0.8745 | 43.5 (22.99) |
| Methods | Detection Effect Evaluation Index | |||||
|---|---|---|---|---|---|---|
| P | R | F1 | ACC | MIoU | FPS (Milliseconds/Image) | |
| FCN | 0.8228 | 0.8945 | 0.8572 | 0.9210 | 0.8110 | 25.4 (39.37) |
| SegNet | 0.8990 | 0.8947 | 0.8804 | 0.9320 | 0.8160 | 35.2 (28.41) |
| U-Net | 0.9070 | 0.8460 | 0.8710 | 0.9415 | 0.8289 | 29.3 (34.12) |
| Ours | 0.9729 | 0.9456 | 0.9590 | 0.9821 | 0.8759 | 111.3 (8.98) |
| Crack Images | Error Rate (%) | |||
|---|---|---|---|---|
| FCN | SegNet | U-Net | CrackDFANet | |
| Crack-only | 7.6 | 4.8 | 3.2 | 0.3 |
| Light interference | 8.2 | 9.6 | 5.2 | 1.2 |
| Parking line | 5.3 | 3.9 | 3.7 | 0.8 |
| Water stains | 4.6 | 4.2 | 3.1 | 0.5 |
| Plant disturbances | 6.3 | 4.6 | 3.3 | 0.7 |
| Oil pollution | 8.3 | 6.6 | 5.8 | 0.6 |
| Shadow | 12.26 | 10.78 | 9.48 | 1.0 |
| Mean value | 5.75 | 6.35 | 4.83 | 0.73 |
Publisher’s Note: MDPI stays neutral with regard to jurisdictional claims in published maps and institutional affiliations. |
© 2021 by the authors. Licensee MDPI, Basel, Switzerland. This article is an open access article distributed under the terms and conditions of the Creative Commons Attribution (CC BY) license (https://creativecommons.org/licenses/by/4.0/).
Share and Cite
Qiao, W.; Liu, Q.; Wu, X.; Ma, B.; Li, G. Automatic Pixel-Level Pavement Crack Recognition Using a Deep Feature Aggregation Segmentation Network with a scSE Attention Mechanism Module. Sensors 2021, 21, 2902. https://doi.org/10.3390/s21092902
Qiao W, Liu Q, Wu X, Ma B, Li G. Automatic Pixel-Level Pavement Crack Recognition Using a Deep Feature Aggregation Segmentation Network with a scSE Attention Mechanism Module. Sensors. 2021; 21(9):2902. https://doi.org/10.3390/s21092902
Chicago/Turabian StyleQiao, Wenting, Qiangwei Liu, Xiaoguang Wu, Biao Ma, and Gang Li. 2021. "Automatic Pixel-Level Pavement Crack Recognition Using a Deep Feature Aggregation Segmentation Network with a scSE Attention Mechanism Module" Sensors 21, no. 9: 2902. https://doi.org/10.3390/s21092902
APA StyleQiao, W., Liu, Q., Wu, X., Ma, B., & Li, G. (2021). Automatic Pixel-Level Pavement Crack Recognition Using a Deep Feature Aggregation Segmentation Network with a scSE Attention Mechanism Module. Sensors, 21(9), 2902. https://doi.org/10.3390/s21092902

