A Semi-Empirical Approach to Gas Flow Velocity Measurement by Means of the Thermal Time-of-Flight Method
Abstract
1. Introduction
1.1. Introduction to the Thermal Time-of-Flight Method
- Based on pressure measurement (damming tubes, orifices, nozzles);
- Mechanical (vane anemometers);
- Thermal (hot-wire anemometers);
- Marker (LDA, PIV);
- Ultrasonic.
1.2. Motivation of the Study
2. Materials and Methods
2.1. Basics of the Thermal Time-of-Flight Method
2.2. Main Approaches to the Thermal Time-of-Flight Method
2.3. Measurement Stand
- Measurement chamber dimensions: 0.5 × 0.5 × 1.5 m (W × H × L);
- Velocity range: 0.01–62.0 m/s;
- Turbulence level: <0.4%;
- Temperature and relative humidity: Controlled.
2.4. Data Analysis and Visualisation
2.5. Shapes of Recorded Voltage Waveforms
3. Results and Discussion
3.1. Characteristic Points of Recorded Voltage Signals
3.2. Selection of Characteristic Points
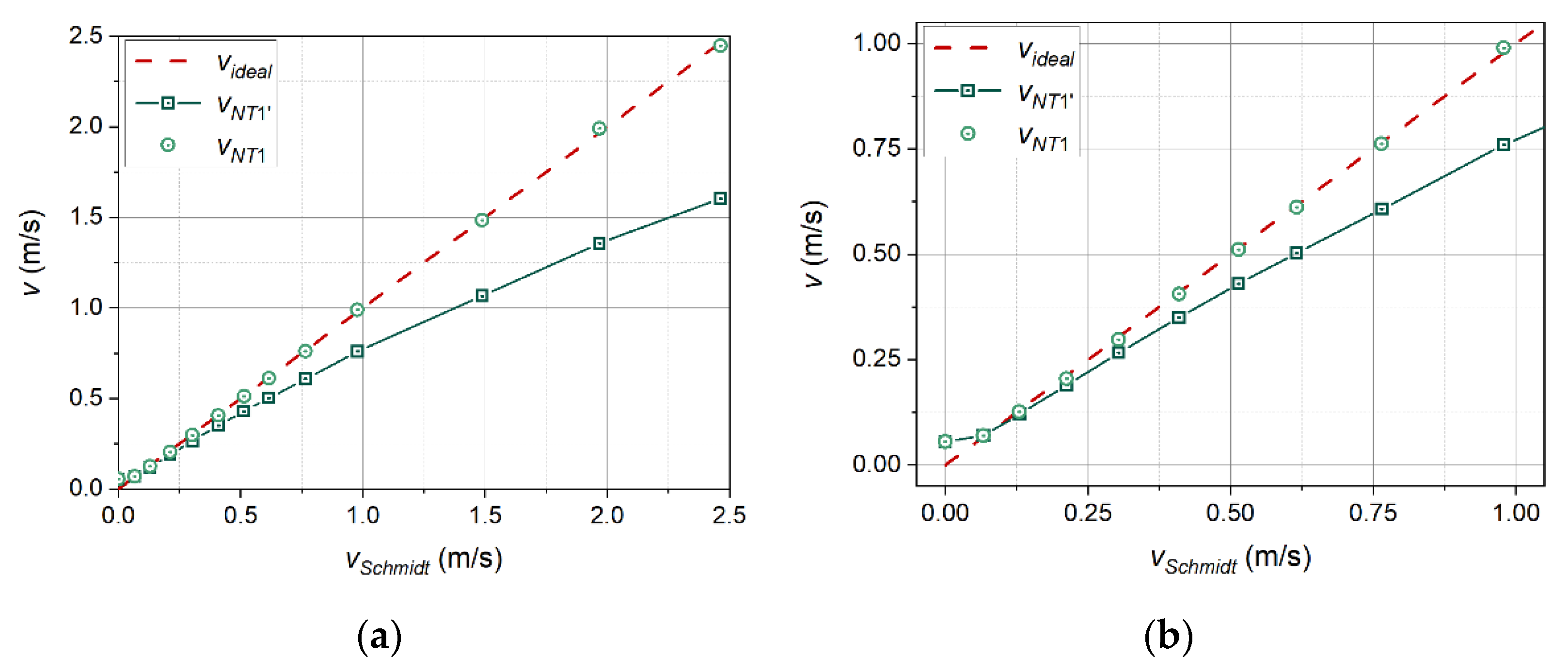
3.3. The Method of Correcting the Velocity Measurement Results
- vNT1—velocity with applied correction;
- vNT1′—measured velocity;
- vp—velocity of thermal wave propagation in the current medium;
- a, n—parameters of the Belehradek function, which are determined during fitting.
- a = 0.409;
- n = 1.650;
- vp = 0.055 m/s.

4. Conclusions
- The estimated thermal time-of-flight value strongly depends on the chosen characteristic points;
- for the single detector probe the most accurate flow velocity estimations can be achieved with the use of the following points: The beginning of the transmitter signal rise (point Na) and the inflection point of the detector signal rising slope (point T1b);
- flow velocity values resulting purely from the thermal time-of-flight estimations (with the use of Na-T1b pair of characteristic points) vary from the inflow velocity, and the difference increases with the increasing velocity;
- application of a simple numerical correction transfers the achieved results into an acceptable region.
- It does not require the use of information provided by detector T2;
- The algorithm calculating flow velocity values directly from the thermal time-of-flight estimations requires only two arguments—the positions of two points, Na and T1b. Moreover, only the position of T1b depends on flow;
- Of all the characteristic points of the signal from detector T1, T1b is the easiest to determine with the use of automatic methods. Moreover, its determination is the most unambiguous and accurate.
Author Contributions
Funding
Data Availability Statement
Acknowledgments
Conflicts of Interest
References
- Kiełbasa, J.; Piwowarczyk, J.; Rysz, J.; Smolarski, A.Z.; Stasicki, B. Heat Waves in Flow Metrology. In Proceedings of the Conference on FLOMEKO 1978 IMEKO Flow Measurement of Fluid, Groningen, The Netherlands, 11–15 September 1978; pp. 403–407. [Google Scholar]
- Rachalski, A. High-Precision Anemometer with Thermal Wave. Rev. Sci. Instrum. 2006, 77, 095107. [Google Scholar] [CrossRef]
- Bradbury, L.J.S.; Castro, I.P. A Pulsed-Wire Technique for Velocity Measurements in Highly Turbulent Flows. J. Fluid Mech. 1971, 49, 657–691. [Google Scholar] [CrossRef]
- Tombach, I.H. An Evaluation of the Heat Pulse Anemometer for Velocity Measurement in Inhomogeneous Turbulent Flow. Rev. Sci. Instrum. 1973, 44, 141–148. [Google Scholar] [CrossRef]
- Avirav, Y.; Guterman, H.; Ben-Yaakov, S. Implementation of Digital Signal Processing Techniques in the Design of Thermal Pulse Flowmeters. IEEE Trans. Instrum. Meas. 1990, 39, 761–766. [Google Scholar] [CrossRef]
- Mathioulakis, E.; Poloniecki, J.G. A Pulsed-Wire Technique for Velocity and Temperature Measurements in Natural Convection Flows. Exp. Fluids 1994, 18, 82–86. [Google Scholar] [CrossRef]
- Kovasznay, L.S.G. Hot-Wire Investigation of the Wake behind Cylinders at Low Reynolds Numbers. Proc. R. Soc. Lond. Ser. A Math. Phys. Sci. 1949, 198, 174–190. [Google Scholar] [CrossRef]
- Walker, R.E.; Westenberg, A.A. Absolute Low Speed Anemometer. Rev. Sci. Instrum. 1956, 27, 844–848. [Google Scholar] [CrossRef]
- Kiełbasa, J. Measurments of Steady Flow Velocity Using the Termal Wave Method. Arch. Min. Sci. 2005, 50, 191–208. [Google Scholar]
- Byon, C. Numerical and Analytic Study on the Time-of-Flight Thermal Flow Sensor. Int. J. Heat Mass Transf. 2015, 89, 454–459. [Google Scholar] [CrossRef]
- Biernacki, Z. A System of Wave Thermoanemometer with a Thermoresistive Sensor. Sens. Actuators A Phys. 1998, 70, 219–224. [Google Scholar] [CrossRef]
- Rachalski, A.; Poleszczyk, E.; Zięba, M. Use of the Thermal Wave Method for Measuring the Flow Velocity of Air and Carbon Dioxide Mixture. Measurement 2017, 95, 210–215. [Google Scholar] [CrossRef]
- Berthet, H.; Jundt, J.; Durivault, J.; Mercier, B.; Angelescu, D. Time-of-Flight Thermal Flowrate Sensor for Lab-on-Chip Applications. Lab Chip 2011, 11, 215–223. [Google Scholar] [CrossRef] [PubMed]
- Rachalski, A. Absolute Measurement of Low Gas Flow by Means of the Spectral Analysis of the Thermal Wave. Rev. Sci. Instrum. 2013, 84, 025105. [Google Scholar] [CrossRef]
- Bujalski, M.; Rachalski, A.; Ligęza, P.; Poleszczyk, E. The Use of Multifrequency Binary Sequences MBS Signal in the Anemometer with Thermal Wave. In Proceedings of the 10th International Conference on Measurement, Smolenice, Slovakia, 10–11 February 2015; pp. 297–300. [Google Scholar]
- Henderson, I.A.; Mcghee, J. Compact Symmetrical Binary Codes for System Identification. Math. Comput. Model. Int. J. 1990, 14, 213–218. [Google Scholar] [CrossRef]
- Mosse, C.A.; Roberts, S.P. Microprocessor-Based Time-of-Flight Respirometer. Med. Biol. Eng. Comput. 1987, 25, 34–40. [Google Scholar] [CrossRef]
- Engelien, E.; Ecin, O.; Viga, R.; Hosticka, B.J.; Grabmaier, A. Calibration-Free Volume Flow Measurement Principle Based on Thermal Time-of-Flight (TToF). Procedia Eng. 2011, 25, 765–768. [Google Scholar] [CrossRef]
- Ong, L.; Wallace, J. The Velocity Field of the Turbulent Very near Wake of a Circular Cylinder. Exp. Fluids 1996, 20, 441–453. [Google Scholar] [CrossRef]
- Kiełbasa, J. Measurement of Aerodynamic and Thermal Footprints. Arch. Min. Sci. 1999, 44, 71–84. (In Polish) [Google Scholar]
- Bujalski, M.; Gawor, M.; Sobczyk, J. Closed-Circuit Wind Tunnel with Air Temperature and Humidity Stabilization, Adapted for Measurements by Means of Optical Methods; Prace Instytutu Mechaniki Górotworu PAN: Krakow, Poland, 2013. (In Polish) [Google Scholar]
- Ligȩza, P. Four-Point Non-Bridge Constant-Temperature Anemometer Circuit. Exp. Fluids 2000, 29, 505–507. [Google Scholar] [CrossRef]
- Sobczyk, J. Experimental Study of the Flow Field Disturbance in the Vicinity of Single Sensor Hot-Wire Anemometer. In EPJ Web of Conferences; EDP Sciences: Les Ulis, France, 2018. [Google Scholar] [CrossRef][Green Version]
- Gawor, M.; Sobczyk, J.; Wodziak, W.; Ligęza, P.; Rachalski, A.; Jamróz, P.; Socha, K.; Palacz, J. Distribution of Flow Velocity in the Vicinity of the Thermal Wave Anemometer Probe; Prace Instytutu Mechaniki Górotworu PAN: Krakow, Poland, 2019. (In Polish) [Google Scholar]
- Gumbel, E.J. The Return Period of Flood Flows. Ann. Math. Stat. 1941, 12, 163–190. [Google Scholar] [CrossRef]
- Gumbel, E.J. Les Valeurs Extrêmes Des Distributions Statistiques. Ann. Inst. Henri Poincaré 1935, 5, 115–158. [Google Scholar]
- Help Online—Origin Help—Extreme. Available online: https://www.originlab.com/doc/Origin-Help/Extreme-FitFunc (accessed on 14 August 2021).
- Levenberg, K. A Method for the Solution of Certain Non-Linear Problems in Least Squares. Q. Appl. Math. 1944, 2, 164–168. [Google Scholar] [CrossRef]
- Marquardt, D.W. An Algorithm for Least-Squares Estimation of Nonlinear Parameters. J. Soc. Ind. Appl. Math. 1963, 11, 431–441. [Google Scholar] [CrossRef]
- Help Online—Origin Help—Belehradek. Available online: https://www.originlab.com/doc/Origin-Help/Belehradek-FitFunc (accessed on 28 June 2021).













Publisher’s Note: MDPI stays neutral with regard to jurisdictional claims in published maps and institutional affiliations. |
© 2021 by the authors. Licensee MDPI, Basel, Switzerland. This article is an open access article distributed under the terms and conditions of the Creative Commons Attribution (CC BY) license (https://creativecommons.org/licenses/by/4.0/).
Share and Cite
Sobczyk, J.; Rachalski, A.; Wodziak, W. A Semi-Empirical Approach to Gas Flow Velocity Measurement by Means of the Thermal Time-of-Flight Method. Sensors 2021, 21, 5679. https://doi.org/10.3390/s21175679
Sobczyk J, Rachalski A, Wodziak W. A Semi-Empirical Approach to Gas Flow Velocity Measurement by Means of the Thermal Time-of-Flight Method. Sensors. 2021; 21(17):5679. https://doi.org/10.3390/s21175679
Chicago/Turabian StyleSobczyk, Jacek, Andrzej Rachalski, and Waldemar Wodziak. 2021. "A Semi-Empirical Approach to Gas Flow Velocity Measurement by Means of the Thermal Time-of-Flight Method" Sensors 21, no. 17: 5679. https://doi.org/10.3390/s21175679
APA StyleSobczyk, J., Rachalski, A., & Wodziak, W. (2021). A Semi-Empirical Approach to Gas Flow Velocity Measurement by Means of the Thermal Time-of-Flight Method. Sensors, 21(17), 5679. https://doi.org/10.3390/s21175679

