Electrical Properties and Strain Sensing Mechanisms in Hybrid Graphene Nanoplatelet/Carbon Nanotube Nanocomposites
Abstract
:1. Introduction
2. Materials and Methods
2.1. Manufacturing of Nanocomposites
2.2. Characterization of Nanocomposites
2.3. Strain Sensing Test by Electrical Measurements
3. Results and Discussion
3.1. Microstructural Characterization
3.2. Electrical Conductivity Measurements
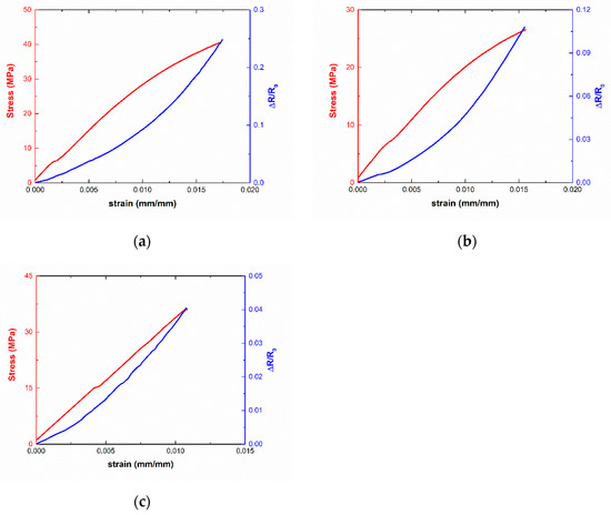
3.3. Strain Monitoring Tests
4. Conclusions
Author Contributions
Funding
Institutional Review Board Statement
Informed Consent Statement
Data Availability Statement
Conflicts of Interest
References
- Staszewski, W.J.; Mahzan, S.; Traynor, R. Health Monitoring of Aerospace Composite Structures-Active and Passive Approach. Compos. Sci. Technol. 2009, 69, 1678–1685. [Google Scholar] [CrossRef]
- Minakuchi, S.; Takeda, N.; Takeda, S.; Nagao, Y.; Franceschetti, A.; Liu, X. Life Cycle Monitoring of Large-Scale CFRP VARTM Structure by Fiber-Optic-Based Distributed Sensing. Compos. Part A Appl. Sci. Manuf. 2011, 42, 669–676. [Google Scholar] [CrossRef]
- Zhou, W.; Li, H.; Yuan, F. Guided Wave Generation, Sensing and Damage Detection using in-Plane Shear Piezoelectric Wafers. Smart Mater. Struct. 2014, 23, 015014. [Google Scholar] [CrossRef]
- Kishida, K.; Li, C. Pulse Pre-Pump-BOTDA Technology for New Generation of Distributed Strain Measuring System. In Structural Health Monitoring and Intelligent Infrastructure; Taylor & Francis: London, UK, 2006; pp. 471–477. [Google Scholar]
- Frieden, J.; Cugnoni, J.; Botsis, J.; Gmuer, T. Low Energy Impact Damage Monitoring of Composites using Dynamic Strain Signals from FBG Sensors-Part I: Impact Detection and Localization. Compos. Struct. 2012, 94, 438–445. [Google Scholar] [CrossRef]
- Riccio, A.; Di Caprio, F.; Camerlingo, F.; Scaramuzzino, F.; Gambino, B. Positioning of Embedded Optical Fibres Sensors for the Monitoring of Buckling in Stiffened Composite Panels. Appl. Compos. Mater. 2013, 20, 73–86. [Google Scholar] [CrossRef]
- Ruoff, R.S.; Lorents, D.C. Mechanical and Thermal Properties of Carbon Nanotubes. Carbon 1995, 33, 925–930. [Google Scholar] [CrossRef]
- Yu, M.F.; Lourie, O.; Dyer, M.J.; Moloni, K.; Kelly, T.F.; Ruoff, R.S. Strength and Breaking Mechanism of Multiwalled Carbon Nanotubes Under Tensile Load. Science 2000, 287, 637–640. [Google Scholar] [CrossRef] [Green Version]
- Young, R.J.; Kinloch, I.A.; Gong, L.; Novoselov, K.S. The Mechanics of Graphene Nanocomposites: A Review. Compos. Sci. Technol. 2012, 72, 1459–1476. [Google Scholar] [CrossRef]
- Ghaleb, Z.A.; Mariatti, M.; Ariff, Z.M. Properties of Graphene Nanopowder and Multi-Walled Carbon Nanotube-Filled Epoxy Thin-Film Nanocomposites for Electronic Applications: The Effect of Sonication Time and Filler Loading. Compos. Part A Appl. Sci. Manuf. 2014, 58, 77–83. [Google Scholar] [CrossRef]
- Deheer, W.; Bacsa, W.; Chatelain, A.; Gerfin, T.; Humphreybaker, R.; Forro, L.; Ugarte, D. Aligned Carbon Nanotube Films-Production and Optical and Electronic-Properties. Science 1995, 268, 845–847. [Google Scholar] [CrossRef] [PubMed]
- Bao, W.; Meguid, S.; Zhu, Z.; Meguid, M. Modeling Electrical Conductivities of Nanocomposites with Aligned Carbon Nanotubes. Nanotechnology 2011, 22, 485704. [Google Scholar] [CrossRef] [PubMed]
- Pei, S.; Cheng, H. The Reduction of Graphene Oxide. Carbon 2012, 50, 3210–3228. [Google Scholar] [CrossRef]
- De Vivo, B.; Lamberti, P.; Spinelli, G.; Tucci, V. Numerical Investigation on the Influence Factors of the Electrical Properties of Carbon Nanotubes-Filled Composites. J. Appl. Phys. 2013, 113, 244301. [Google Scholar] [CrossRef]
- Monti, M.; Rallini, M.; Puglia, D.; Peponi, L.; Torre, L.; Kenny, J.M. Morphology and Electrical Properties of Graphene–epoxy Nanocomposites obtained by Different Solvent Assisted Processing Methods. Compos. Part A Appl. Sci. Manuf. 2013, 46, 166–172. [Google Scholar] [CrossRef]
- Gan, L.; Dong, M.; Han, Y.; Xiao, Y.; Yang, L.; Huang, J. Connection-Improved Conductive Network of Carbon Nanotubes in the Rubber Crosslink Network. ACS Appl. Mater. Interfaces 2018, 10, 18213–18219. [Google Scholar] [CrossRef]
- Azizi, S.; David, E.; Fréchette, M.F.; Nguyen-Tri, P.; Ouellet-Plamondon, C.M. Electrical and Thermal Conductivity of Ethylene Vinyl Acetate Composite with Graphene and Carbon Black Filler. Polym. Test. 2018, 72, 24–31. [Google Scholar] [CrossRef]
- Balaji, R.; Sasikumar, M. Graphene Based Strain and Damage Prediction System for Polymer Composites. Compos. Part A Appl. Sci. Manuf. 2017, 103, 48–59. [Google Scholar] [CrossRef]
- Kumar, S.; Falzon, B.G.; Hawkins, S.C. Ultrasensitive Embedded Sensor for Composite Joints Based on a Highly Aligned Carbon Nanotube Web. Carbon 2019, 149, 380–389. [Google Scholar] [CrossRef] [Green Version]
- Han, S.; Meng, Q.; Chand, A.; Wang, S.; Li, X.; Kang, H.; Liu, T. A Comparative Study of Two Graphene Based Elastomeric Composite Sensors. Polym. Test. 2019, 80, 106106. [Google Scholar] [CrossRef]
- Han, S.; Chand, A.; Araby, S.; Car, R.; Chen, S.; Kang, H.; Cheng, R.; Meng, Q. Thermally and Electrically Conductive Multifunctional Sensor Based on Epoxy/Graphene Composite. Nanotechnology 2020, 31, 075702. [Google Scholar] [CrossRef]
- Li, C.; Thostenson, E.T.; Chou, T. Dominant Role of Tunneling Resistance in the Electrical Conductivity of Carbon Nanotube-Based Composites. Appl. Phys. Lett. 2007, 91, 223114. [Google Scholar] [CrossRef]
- Cullinan, M.A.; Culpepper, M.L. Carbon Nanotubes as Piezoresistive Microelectromechanical Sensors: Theory and Experiment. Phys. Rev. B 2010, 82, 115428. [Google Scholar] [CrossRef]
- Arif, M.F.; Kumar, S.; Gupta, T.K.; Varadarajan, K.M. Strong Linear-Piezoresistive-Response of Carbon Nanostructures Reinforced Hyperelastic Polymer Nanocomposites. Compos. Part A Appl. Sci. Manuf. 2018, 113, 141–149. [Google Scholar] [CrossRef]
- Hu, N.; Karube, Y.; Yan, C.; Masuda, Z.; Fukunaga, H. Tunneling Effect in a Polymer/Carbon Nanotube Nanocomposite Strain Sensor. Acta Mater. 2008, 56, 2929–2936. [Google Scholar] [CrossRef] [Green Version]
- Kuronuma, Y.; Takeda, T.; Shindo, Y.; Narita, F.; Wei, Z. Electrical Resistance-Based Strain Sensing in Carbon Nanotube/Polymer Composites Under Tension: Analytical Modeling and Experiments. Compos. Sci. Technol. 2012, 72, 1678–1682. [Google Scholar] [CrossRef]
- Thostenson, E.T.; Chou, T. Carbon Nanotube Networks: Sensing of Distributed Strain and Damage for Life Prediction and Self Healing. Adv. Mater. 2006, 18, 2837–2841. [Google Scholar] [CrossRef]
- Chiacchiarelli, L.M.; Rallini, M.; Monti, M.; Puglia, D.; Kenny, J.M.; Torre, L. The Role of Irreversible and Reversible Phenomena in the Piezoresistive Behavior of Graphene Epoxy Nanocomposites Applied to Structural Health Monitoring. Compos. Sci. Technol. 2013, 80, 73–79. [Google Scholar] [CrossRef]
- Yokaribas, V.; Wagner, S.; Schneider, D.S.; Friebertshäuser, P.; Lemme, M.C.; Fritzen, C. Strain Gauges Based on CVD Graphene Layers and Exfoliated Graphene Nanoplatelets with Enhanced Reproducibility and Scalability for Large Quantities. Sensors 2017, 17, 2937. [Google Scholar] [CrossRef] [Green Version]
- Sánchez, M.; Moriche, R.; Sánchez-Romate, X.F.; Prolongo, S.G.; Rams, J.; Ureña, A. Effect of Graphene Nanoplatelets Thickness on Strain Sensitivity of Nanocomposites: A Deeper Theoretical to Experimental Analysis. Compos. Sci. Technol. 2019, 181, 107697. [Google Scholar] [CrossRef]
- Huang, L.; Wang, H.; Wu, P.; Huang, W.; Gao, W.; Fang, F.; Cai, N.; Chen, R.; Zhu, Z. Wearable Flexible Strain Sensor Based on Three-Dimensional Wavy Laser-Induced Graphene and Silicone Rubber. Sensors 2020, 20, 4266. [Google Scholar] [CrossRef]
- Sánchez-Romate, X.F.; Artigas, J.; Jiménez-Suárez, A.; Sánchez, M.; Güemes, A.; Ureña, A. Critical Parameters of Carbon Nanotube Reinforced Composites for Structural Health Monitoring Applications: Empirical Results Versus Theoretical Predictions. Compos. Sci. Technol. 2019, 171, 44–53. [Google Scholar] [CrossRef]
- Güemes, A.; Pozo Morales, A.R.; Fernandez-Lopez, A.; Sanchez-Romate, X.X.F.; Sanchez, M.; Ureña, A. Directional Response of Randomly Dispersed Carbon Nanotube Strain Sensors. Sensors 2020, 20, 2980. [Google Scholar] [CrossRef]
- Li, J.; Kim, J. Percolation Threshold of Conducting Polymer Composites Containing 3D Randomly Distributed Graphite Nanoplatelets. Compos. Sci. Technol. 2007, 67, 2114–2120. [Google Scholar] [CrossRef] [Green Version]
- Li, J.; Ma, P.C.; Chow, W.S.; To, C.K.; Tang, B.Z.; Kim, J. Correlations between Percolation Threshold, Dispersion State, and Aspect Ratio of Carbon Nanotubes. Adv. Funct. Mater. 2007, 17, 3207–3215. [Google Scholar] [CrossRef]
- Ma, P.; Siddiqui, N.A.; Marom, G.; Kim, J. Dispersion and Functionalization of Carbon Nanotubes for Polymer-Based Nanocomposites: A Review. Compos. Part A Appl. Sci. Manuf. 2010, 41, 1345–1367. [Google Scholar] [CrossRef]
- Dweiri, R.; Suherman, H.; Sulong, A.B.; Al-Sharab, J.F. Structure-Property-Processing Investigation of Electrically Conductive Polypropylene Nanocomposites. Sci. Eng. Compos. Mater. 2018, 25, 1177–1186. [Google Scholar] [CrossRef]
- Suherman, H.; Dweiri, R.; Mahyoedin, Y.; Duskiardi, D. Investigation of Electrical-Mechanical Performance of Epoxy-Based Nanocomposites Filled with Hybrid Electrically Conductive Fillers. Mater. Res. Express 2019, 6, 115010. [Google Scholar] [CrossRef]
- Scaffaro, R.; Maio, A. Integrated Ternary Bionanocomposites with Superior Mechanical Performance Via the Synergistic Role of Graphene and Plasma Treated Carbon Nanotubes. Compos. Part B Eng. 2019, 168, 550–559. [Google Scholar] [CrossRef]
- Han, S.; Meng, Q.; Pan, X.; Liu, T.; Zhang, S.; Wang, Y.; Haridy, S.; Araby, S. Synergistic Effect of Graphene and Carbon Nanotube on Lap Shear Strength and Electrical Conductivity of Epoxy Adhesives. J. Appl. Polym. Sci. 2019, 136, 48056. [Google Scholar] [CrossRef]
- Ke, K.; McMaster, M.; Christopherson, W.; Singer, K.D.; Manas-Zloczower, I. Highly Sensitive Capacitive Pressure Sensors Based on Elastomer Composites with Carbon Filler Hybrids. Compos. Part A Appl. Sci. Manuf. 2019, 126, 105614. [Google Scholar] [CrossRef]
- Prolongo, S.G.; Moriche, R.; Urena, A.; Florez, S.; Gaztelumendi, I.; Arribas, C.; Prolongo, M.G. Carbon Nanotubes and Graphene into Thermosetting Composites: Synergy and Combined Effect. J. Appl. Polym. Sci. 2018, 135, 46475. [Google Scholar] [CrossRef]
- Ivanov, E.; Kotsilkova, R.; Xia, H.; Chen, Y.; Donato, R.K.; Donato, K.; Godoy, A.P.; Di Maio, R.; Silvestre, C.; Cimmino, S.; et al. PLA/Graphene/MWCNT Composites with Improved Electrical and Thermal Properties Suitable for FDM 3D Printing Applications. Appl. Sci. 2019, 9, 1209. [Google Scholar] [CrossRef] [Green Version]
- Sánchez-Romate, X.F.; Sans, A.; Jiménez-Suárez, A.; Campo, M.; Ureña, A.; Prolongo, S.G. Highly Multifunctional GNP/Epoxy Nanocomposites: From Strain-Sensing to Joule Heating Applications. Nanomaterials 2020, 10, 2431. [Google Scholar] [CrossRef]
- Hennrich, F.; Krupke, R.; Arnold, K.; Stuetz, J.A.R.; Lebedkin, S.; Koch, T.; Schimmel, T.; Kappes, M.M. The Mechanism of Cavitation-Induced Scission of Single-Walled Carbon Nanotubes. J. Phys. Chem B 2007, 111, 1932–1937. [Google Scholar] [CrossRef] [PubMed]
- Moriche, R.; Prolongo, S.G.; Sánchez, M.; Jiménez-Suárez, A.; Sayagués, M.J.; Ureña, A. Morphological Changes on Graphene Nanoplatelets Induced during Dispersion into an Epoxy Resin by Different Methods. Compos. Part B Eng. 2015, 72, 199–205. [Google Scholar] [CrossRef]
- Montazeri, A.; Montazeri, N.; Pourshamsian, K.; Tcharkhtchi, A. The Effect of Sonication Time and Dispersing Medium on the Mechanical Properties of Multiwalled Carbon Nanotube (Mwcnt)/Epoxy Composite. Int. J. Polym. Anal. Charact. 2011, 16, 465–476. [Google Scholar] [CrossRef]
- Huang, Y.Y.; Terentjev, E.M. Dispersion of Carbon Nanotubes: Mixing, Sonication, Stabilization, and Composite Properties. Polymers 2012, 4, 275–295. [Google Scholar] [CrossRef] [Green Version]
- Frømyr, T.R.; Hansen, F.K.; Olsen, T. The Optimum Dispersion of Carbon Nanotubes for Epoxy Nanocomposites: Evolution of the Particle Size Distribution by Ultrasonic Treatment. J. Nanotechnol. 2012, 2012, 1–14. [Google Scholar] [CrossRef] [Green Version]
- Martin-Gallego, M.; Bernal, M.M.; Hernandez, M.; Verdejo, R.; Lopez-Manchado, M.A. Comparison of Filler Percolation and Mechanical Properties in Graphene and Carbon Nanotubes Filled Epoxy Nanocomposites. Eur. Polym. J. 2013, 49, 1347–1353. [Google Scholar] [CrossRef] [Green Version]
- Nadiv, R.; Shachar, G.; Peretz-Damari, S.; Varenik, M.; Levy, I.; Buzaglo, M.; Ruse, E.; Regev, O. Performance of Nano-Carbon Loaded Polymer Composites: Dimensionality Matters. Carbon 2018, 126, 410–418. [Google Scholar] [CrossRef]
- Prolongo, S.; Moriche, R.; Jiménez-Suárez, A.; Sánchez, M.; Ureña, A. Advantages and Disadvantages of the Addition of Graphene Nanoplatelets to Epoxy Resins. Eur. Polym. J. 2014, 61, 206–214. [Google Scholar] [CrossRef]
- Sanchez-Romate, X.F.; Jimenez-Suarez, A.; Sanchez, M.; Guemes, A.; Urena, A. Novel Approach to Percolation Threshold on Electrical Conductivity of Carbon Nanotube Reinforced Nanocomposites. Rsc Adv. 2016, 6, 43418–43428. [Google Scholar] [CrossRef]
- Simmons, J.G. Generalized Formula for the Electric Tunnel Effect between Similar Electrodes Separated by a Thin Insulating Film. J. Appl. Phys. 1963, 34, 1793–1803. [Google Scholar] [CrossRef] [Green Version]
- Bolton, W. Chapter 2-Instrumentation System Elements. In Instrumentation and Control Systems, 3rd ed.; Bolton, W., Ed.; Newnes: Oxford, UK, 2021; pp. 17–70. [Google Scholar]
- Moriche, R.; Sanchez, M.; Jimenez-Suarez, A.; Prolongo, S.G.; Urena, A. Strain Monitoring Mechanisms of Sensors Based on the Addition of Graphene Nanoplatelets into an Epoxy Matrix. Compos. Sci. Technol. 2016, 123, 65–70. [Google Scholar] [CrossRef]
- Sánchez-Romate, X.F.; Saiz, V.; Jiménez-Suárez, A.; Campo, M.; Ureña, A. The Role of Graphene Interactions and Geometry on Thermal and Electrical Properties of Epoxy Nanocomposites: A Theoretical to Experimental Approach. Polym. Test. 2020, 90, 106638. [Google Scholar] [CrossRef]










| GNP Content (wt. %) | CNT Content (wt. %) | Sonication Time (GNP—GNP + CNT) | Designation |
|---|---|---|---|
| 5 | 0.1 | 20–30 min | 5GNP-01CNT-S1 |
| 0.2 | 20–30 min | 5GNP-02CNT-S1 | |
| 0.1 | 30–20 min | 5GNP-01CNT-S2 | |
| 0.2 | 30–20 min | 5GNP-02CNT-S2 | |
| 8 | 0.1 | 20–30 min | 8GNP-01CNT-S1 |
| 0.2 | 20–30 min | 8GNP-02CNT-S1 | |
| 0.1 | 30–20 min | 8GNP-01CNT-S2 | |
| 0.2 | 30–20 min | 8GNP-02CNT-S2 |
Publisher’s Note: MDPI stays neutral with regard to jurisdictional claims in published maps and institutional affiliations. |
© 2021 by the authors. Licensee MDPI, Basel, Switzerland. This article is an open access article distributed under the terms and conditions of the Creative Commons Attribution (CC BY) license (https://creativecommons.org/licenses/by/4.0/).
Share and Cite
Sánchez-Romate, X.F.; Jiménez-Suárez, A.; Campo, M.; Ureña, A.; Prolongo, S.G. Electrical Properties and Strain Sensing Mechanisms in Hybrid Graphene Nanoplatelet/Carbon Nanotube Nanocomposites. Sensors 2021, 21, 5530. https://doi.org/10.3390/s21165530
Sánchez-Romate XF, Jiménez-Suárez A, Campo M, Ureña A, Prolongo SG. Electrical Properties and Strain Sensing Mechanisms in Hybrid Graphene Nanoplatelet/Carbon Nanotube Nanocomposites. Sensors. 2021; 21(16):5530. https://doi.org/10.3390/s21165530
Chicago/Turabian StyleSánchez-Romate, Xoan F., Alberto Jiménez-Suárez, Mónica Campo, Alejandro Ureña, and Silvia G. Prolongo. 2021. "Electrical Properties and Strain Sensing Mechanisms in Hybrid Graphene Nanoplatelet/Carbon Nanotube Nanocomposites" Sensors 21, no. 16: 5530. https://doi.org/10.3390/s21165530
APA StyleSánchez-Romate, X. F., Jiménez-Suárez, A., Campo, M., Ureña, A., & Prolongo, S. G. (2021). Electrical Properties and Strain Sensing Mechanisms in Hybrid Graphene Nanoplatelet/Carbon Nanotube Nanocomposites. Sensors, 21(16), 5530. https://doi.org/10.3390/s21165530
