Multielement Ring Array Based on Minute Size PMUTs for High Acoustic Pressure and Tunable Focus Depth
Abstract
:1. Introduction
2. Materials and Methods
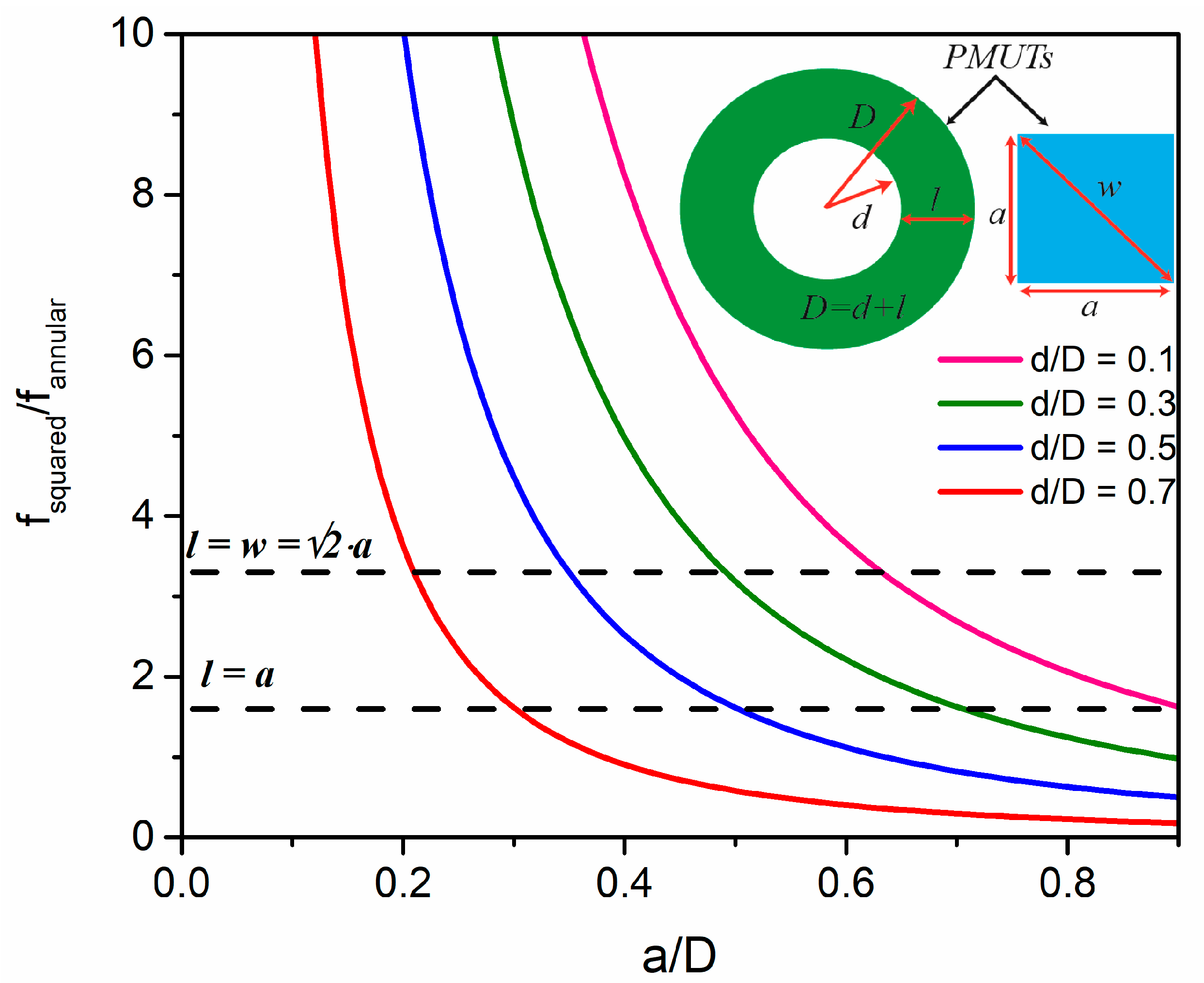
2.1. Multielement Ring Array Design
2.2. Acoustic Performance Simulation for the PMUT Array
3. Experimental Results and Discussion
3.1. Electrical Characterization
3.2. Output Pressure Measurements
3.3. Pulse-Echo Measurements
3.4. Focusing Capabilities
3.5. 1D Line-Scan Imaging
4. Conclusions
Author Contributions
Funding
Institutional Review Board Statement
Informed Consent Statement
Data Availability Statement
Acknowledgments
Conflicts of Interest
References
- Dangi, A.; Agrawal, S.; Tiwari, S.; Jadhav, S.; Cheng, C.; Datta, G.R.; Troiler-McKinstry, S.; Pratap, R.; Kothapalli, S.-R. Ring PMUT array based miniaturized photoacoustic endoscopy device. In Proceedings of the Photons Plus Ultrasound: Imaging and Sensing 2019, San Francisco, CA, USA, 3–6 February 2019; p. 1087811. [Google Scholar]
- Janjic, J.; Tan, M.; Daeichin, V.; Noothout, E.; Chen, C.; Chen, Z.; Chang, Z.Y.; Beurskens, R.H.S.H.; Van Soest, G.; Van Der Steen, A.F.W.; et al. A 2-D Ultrasound Transducer With Front-End ASIC and Low Cable Count for 3-D Forward-Looking Intravascular Imaging: Performance and Characterization. IEEE Trans. Ultrason. Ferroelectr. Freq. Control 2018, 65, 1832–1844. [Google Scholar] [CrossRef]
- Moini, A.; Nikoozadeh, A.; Choe, J.W.; Chang, C.; Stephens, D.N.; Sahn, D.J.; Khuri-Yakub, P.T. Fully integrated 2D CMUT ring arrays for endoscopic ultrasound. In Proceedings of the IEEE International Ultrasonics Symposium, IUS, Tours, France, 18–21 September 2016; pp. 9–12. [Google Scholar]
- Zahorian, J.; Hochman, M.; Xu, T.; Satir, S.; Gurun, G.; Karaman, M.; Degertekin, F.L. Monolithic CMUT-on-CMOS integration for intravascular ultrasound applications. IEEE Trans. Ultrason. Ferroelectr. Freq. Control 2011, 58, 2659–2667. [Google Scholar] [CrossRef] [PubMed] [Green Version]
- Bawiec, C.R.; N’Djin, W.A.; Bouchoux, G.; Sénégond, N.; Guillen, N.; Chapelon, J.Y. Preliminary Investigation of a 64-element Capacitive Micromachined Ultrasound Transducer (CMUT) Annular Array Designed for High Intensity Focused Ultrasound (HIFU). IRBM 2018, 39, 295–306. [Google Scholar] [CrossRef]
- Eovino, B.E.; Liang, Y.; Lin, L. Concentric PMUT Arrays for Focused Ultrasound and High Intensity Applications. In Proceedings of the 2019 IEEE 32nd International Conference on Micro Electro Mechanical Systems (MEMS), Seoul, Korea, 27–31 January 2019; pp. 771–774. [Google Scholar]
- Li, G.; Qiu, W.; Zhang, Z.; Jiang, Q.; Su, M.; Cai, R.; Li, Y.; Cai, F.; Deng, Z.; Xu, D.; et al. Noninvasive Ultrasonic Neuromodulation in Freely Moving Mice. IEEE Trans. Biomed. Eng. 2019, 66, 217–224. [Google Scholar] [CrossRef] [PubMed]
- Kim, H.; Kim, S.; Sim, N.S.; Pasquinelli, C.; Thielscher, A.; Lee, J.H.; Lee, H.J. Miniature ultrasound ring array transducers for transcranial ultrasound neuromodulation of freely-moving small animals. Brain Stimul. 2019, 12, 251–255. [Google Scholar] [CrossRef] [PubMed] [Green Version]
- Hosseini, S.; Laursen, K.; Rashidi, A.; Mondal, T.; Corbett, B.; Moradi, F. S-MRUT: Sectored-Multiring Ultrasonic Transducer for Selective Powering of Brain Implants. IEEE Trans. Ultrason. Ferroelectr. Freq. Control 2021, 68, 191–200. [Google Scholar] [CrossRef] [PubMed]
- Weber, M.J.; Yoshihara, Y.; Sawaby, A.; Charthad, J.; Chang, T.C.; Arbabian, A. A Miniaturized Single-Transducer Implantable Pressure Sensor with Time-Multiplexed Ultrasonic Data and Power Links. IEEE J. Solid-State Circuits 2018, 53, 1089–1101. [Google Scholar] [CrossRef]
- Shi, C.; Andino-Pavlovsky, V.; Lee, S.A.; Costa, T.; Elloian, J.; Konofagou, E.E.; Shepard, K.L. Application of a sub-0.1-mm3 implantable mote for in vivo real-time wireless temperature sensing. Sci. Adv. 2021, 7, 1–10. [Google Scholar] [CrossRef]
- Wang, J.; Zheng, Z.; Chan, J.; Yeow, J.T.W. Capacitive micromachined ultrasound transducers for intravascular ultrasound imaging. Microsyst. Nanoeng. 2020, 6, 73. [Google Scholar] [CrossRef]
- Wang, D.; Filoux, E.; Levassort, F.; Lethiecq, M.; Rocks, S.A.; Dorey, R.A. Fabrication and characterization of annular-array, high-frequency, ultrasonic transducers based on PZT thick film. Sensors Actuators A Phys. 2014, 216, 207–213. [Google Scholar] [CrossRef] [Green Version]
- Brenner, K.; Ergun, A.S.; Firouzi, K.; Rasmussen, M.F.; Stedman, Q.; Khuri-Yakub, B. Advances in capacitive micromachined ultrasonic transducers. Micromachines 2019, 10, 152. [Google Scholar] [CrossRef] [Green Version]
- Jiang, X.; Lu, Y.; Tang, H.-Y.; Tsai, J.M.; Ng, E.J.; Daneman, M.J.; Boser, B.E.; Horsley, D.A. Monolithic ultrasound fingerprint sensor. Microsyst. Nanoeng. 2017, 3, 17059. [Google Scholar] [CrossRef] [Green Version]
- Zamora, I.; Ledesma, E.; Uranga, A.; Barniol, N. Monolithic Single PMUT-on-CMOS Ultrasound System with +17 dB SNR for Imaging Applications. IEEE Access 2020, 8, 142785–142794. [Google Scholar] [CrossRef]
- Lu, Y.; Heidari, A.; Horsley, D.A. A High Fill-Factor Annular Array of High Frequency Piezoelectric Micromachined Ultrasonic Transducers. J. Microelectromechanical Syst. 2015, 24, 904–913. [Google Scholar] [CrossRef]
- Blackstock, D.T. Fundamentals of Physical Acoustics; John Wiley & Sons: New York, NY, USA, 2000; ISBN 0471319791. [Google Scholar]
- Blevins, R.D. Formulas for Natural Frequency and Mode Shape; Van Nostrand Reinhold Co., Ed.; Litton Educational Publishing, Inc.: New York, NY, USA, 1979. [Google Scholar]
- Horsley, D.; Lu, Y.; Rozen, O. Flexural Piezoelectric Resonators. In Piezoelectric MEMS Resonators; Bhugra, H., Piazza, G., Eds.; Springer International: Cham, Switzerland, 2017; pp. 153–173. ISBN 9783319286884. [Google Scholar]
- Ledesma, E.; Zamora, I.; Uranga, A.; Barniol, N. Tent-plate AlN PMUT with a piston-like shape under liquid operation. IEEE Sens. J. 2020, 20, 11128–11137. [Google Scholar] [CrossRef]
- Amabili, M.; Frosali, G.; Kwak, M.K. Free vibrations of annular plates coupled with fluids. J. Sound Vib. 1996, 191, 825–846. [Google Scholar] [CrossRef]
- Jensen, J.A.; Svendsen, N.B. Calculation of pressure fields from arbitrarily shaped, apodized, and excited ultrasound transducers. Ultrason. Ferroelectr. Freq. Control. IEEE Trans. 1992, 39, 262–267. [Google Scholar] [CrossRef] [PubMed] [Green Version]
- Jensen, J.A. Field: A program for simulating ultrasound systems. Med. Biol. Eng. Comput. 1996, 34, 351–352. [Google Scholar]
- Przybyla, R.J.; Tang, H.; Member, S.; Guedes, A.; Shelton, S.E.; Horsley, D.A.; Boser, B.E. 3D Ultrasonic Rangefinder on a Chip. IEEE J. Solid-State Circuits 2015, 50, 320–334. [Google Scholar] [CrossRef]
- Ledesma, E.; Zamora, I.; Tzanov, V.; Torres, F.; Uranga, A.; Barniol, N.; Marigó, E.; Soundara-Pandian, M. Liquid operable AlN PMUT with high output pressure capabilities. In Proceedings of the 2019 IEEE International Ultrasonics Symposium (IUS), Glasgow, UK, 6–9 October 2019; pp. 251–254. [Google Scholar]
- He, L.M.; Xu, W.J.; Liu, W.J.; Wang, X.B.; Zhou, J.; Ren, J.Y. Performance and Crosstalk Evaluation of 2-D Array Piezoelectric Micromachined Ultrasonic Transducer with 3-D Finite Element Simulation. In Proceedings of the IEEE International Ultrasonics Symposium, IUS, Glasgow, UK, 6–9 October 2019; pp. 792–795. [Google Scholar]
- Bernstein, J.J.; Finberg, S.L.; Houston, K.; Niles, L.C.; Daniel Chen, H.; Eric Cross, L.; Li, K.K.; Udayakumar, K. Micromachined high frequency ferroelectric sonar transducers. IEEE Trans. Ultrason. Ferroelectr. Freq. Control 1997, 44, 960–969. [Google Scholar] [CrossRef]
- Smith, R.A. Are hydrophones of diameter 0.5 mm small enough to characterise diagnostic ultrasound equipment? Phys. Med. Biol. 1989, 34, 1593–1607. [Google Scholar] [CrossRef] [PubMed]
- Cristman, P.; Oralkan, O.; Mandella, M.; Solgaard, O.; Contag, C.; Khuri-Yakub, B.T. Interdigitated annular CMUT arrays for ultrasound assisted delivery of fluorescent contrast agents. In Proceedings of the IEEE International Ultrasonics Symposium, IUS, Orlando, FL, USA, 18–21 October 2011; pp. 96–99. [Google Scholar]
- Zamora, I.; Ledesma, E.; Uranga, A.; Barniol, N. Miniaturized 0.13-μm CMOS Front-End Analog for AlN PMUT Arrays. Sensors 2020, 20, 1205. [Google Scholar] [CrossRef] [PubMed] [Green Version]
- Onda Corporation Hydrophone Handbook. Available online: http://ondacorp.com/Handbook/mobile/index.html#p=12 (accessed on 8 June 2021). [CrossRef]
- Precision Acoustics Ltd. 0.2 mm Needle Hydrophone (NH0200). Available online: https://www.acoustics.co.uk/pal/wp-content/uploads/2016/05/nh0200-0.2mm-needle-hydrophone-tds.pdf (accessed on 8 June 2021).













| PMUT Layer | Properties | Geometric | |||
|---|---|---|---|---|---|
| Mat. | Young’s Modulus (GPa) | Density (kg/m3) | Side (µm) | Thick. (µm) | |
| Substrate | SiO2 | 70 | 2200 | 60 | 2 |
| Bottom Elec. | Al | 70 | 2700 | 46 | 0.4 |
| Piezoelectric | AlN 1 | 279 | 3230 | 60 | 1.3 |
| Top Elec. | Al | 70 | 2700 | 28.3 | 0.35 |
| Passive | Si3N4 | 250 | 3100 | 60 | 1.5 |
| Number of Rings | Dimensions | Focal Point → Fd (μm) | ||
|---|---|---|---|---|
| D (μm) | d (μm) | Continuous Ring; f = 2.3 MHz | Multielement Ring; f = 11.3 MHz | |
| 1 | 74.28 | 17.68 | 13.7 | 67.4 |
| 2 | 139.28 | 82.68 | 50.3 | 247.3 |
| 3 | 204.28 | 147.68 | 109.2 | 536.6 |
| 4 | 269.28 | 212.68 | 190.4 | 935.4 |
| 5 | 334.28 | 277.68 | 293.8 | 1444 |
| dB | 1 | 2 | 3 | 4 | 5 |
|---|---|---|---|---|---|
| 1 | × | −56.8 | −76 | −77 | −70 |
| 2 | × | −69.5 | −74 | −72.5 | |
| 3 | × | −62 | −69.5 | ||
| 4 | × | −59.4 | |||
| 5 | × |
| Ring | Lmin (mm) | NP (kPa×mm) | Pressure (kPa) at 1.2 mm |
|---|---|---|---|
| 1 | 0.531 | 6.33 | 5.28 |
| 2 | 1.19 | 10.04 | 8.37 |
| 3 | 1.84 | 14.92 | 12.43 |
| 4 | 2.2 | 15.41 | 12.84 |
| 5 | 3.16 | 14.2 | 11.79 |
| Parameters | [30] | [2] | [6] | This Work |
|---|---|---|---|---|
| 2011 | 2018 | 2019 | ||
| Transducer technology | CMUT | PZT matrix | AlN PMUT | AlN PMUT |
| Configuration | Multielement ring | Multielement ring | Continuous ring | Multielement ring |
| Medium | Vegetable oil | Water | Mineral oil | FC-70 |
| Frequency (MHz) | 1.2 | 14 | 6 | 8.69 |
| Area (mm2) | 12.76 1 | 6.28 1 | 7.07 1 | 0.35 |
| Pressure (kPa/V@mm) | 13.2 | 0.4 | 2.8 | 2.11 |
| @1.5 2 | @6 | @5.4 | @1.2 | |
| NP (kPa×mm/V) | 19.8 | 2.4 | 15.2 | 2.54 |
| ST (kPa/V/mm2) | 1.11 3 | 0.38 3 | 2.18 3 | 4.84 |
Publisher’s Note: MDPI stays neutral with regard to jurisdictional claims in published maps and institutional affiliations. |
© 2021 by the authors. Licensee MDPI, Basel, Switzerland. This article is an open access article distributed under the terms and conditions of the Creative Commons Attribution (CC BY) license (https://creativecommons.org/licenses/by/4.0/).
Share and Cite
Ledesma, E.; Zamora, I.; Uranga, A.; Barniol, N. Multielement Ring Array Based on Minute Size PMUTs for High Acoustic Pressure and Tunable Focus Depth. Sensors 2021, 21, 4786. https://doi.org/10.3390/s21144786
Ledesma E, Zamora I, Uranga A, Barniol N. Multielement Ring Array Based on Minute Size PMUTs for High Acoustic Pressure and Tunable Focus Depth. Sensors. 2021; 21(14):4786. https://doi.org/10.3390/s21144786
Chicago/Turabian StyleLedesma, Eyglis, Iván Zamora, Arantxa Uranga, and Núria Barniol. 2021. "Multielement Ring Array Based on Minute Size PMUTs for High Acoustic Pressure and Tunable Focus Depth" Sensors 21, no. 14: 4786. https://doi.org/10.3390/s21144786
APA StyleLedesma, E., Zamora, I., Uranga, A., & Barniol, N. (2021). Multielement Ring Array Based on Minute Size PMUTs for High Acoustic Pressure and Tunable Focus Depth. Sensors, 21(14), 4786. https://doi.org/10.3390/s21144786

