Design of Quad-Port Ultra-Wideband Multiple-Input-Multiple-Output Antenna with Wide Axial-Ratio Bandwidth
Abstract
1. Introduction
2. Antenna Design
2.1. Antenna Element Design
2.2. CP UWB MIMO Antenna Design
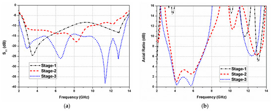
3. Results Discussion
4. Conclusions
Author Contributions
Funding
Acknowledgments
Conflicts of Interest
References
- Liang, J.; Chiau, C.C.; Chen, X.; Parini, C.G. Study of a printed circular disc monopole antenna for UWB systems. IEEE Trans. Antennas Propag. 2005, 53, 3500–3504. [Google Scholar] [CrossRef]
- Baudha, S.; Yadav, M.V. A compact ultra-wide band planar antenna with corrugated ladder ground plane for multiple applications. Microw. Opt. Technol. Lett. 2019, 61, 1341–1348. [Google Scholar] [CrossRef]
- Chen, Z.N.; Ammann, M.J.; Qing, X.; Wu, X.H.; See, T.S.P.; Cai, A. Planar antennas. IEEE Microw. Mag. 2006, 7, 63–73. [Google Scholar] [CrossRef]
- Chen, Z.N. Antennas for Portable Device; Wiley: Hoboken, NJ, USA, 2007. [Google Scholar]
- Kowalewski, J.; Eisenbeis, J.; Tingulstad, M.; Kollar, Z.; Zwick, T. Design method for capacity enhancement of pattern-reconfigurable MIMO vehicular antennas. IEEE Antennas Wirel. Propag. Lett. 2019, 18, 2557–2561. [Google Scholar] [CrossRef]
- Kumar, P.; Urooj, S.; Alrowais, F. Design of quad-port MIMO/Diversity antenna with triple-band elimination characteristics for super-wideband applications. Sensors 2020, 20, 624. [Google Scholar] [CrossRef]
- Liu, F.; Guo, J.; Zhao, L.; Huang, G.; Li, Y.; Yin, Y. Dual-band metasurface-based decoupling method for two closely packed dual-band antennas. IEEE Trans. Antennas Propag. 2020, 68, 552–557. [Google Scholar] [CrossRef]
- OuYang, J.; Yang, F.; Wang, Z.M. Reducing mutual coupling of closely spaced microstrip MIMO antennas for WLAN application. IEEE Antennas Wirel. Propag. Lett. 2011, 10, 310–313. [Google Scholar] [CrossRef]
- Khan, M.S.; Capobianco, A.D.; Asif, S.M.; Anagnostou, D.E.; Shubair, R.M.; Braaten, B.D. A compact CSRR-enabled UWB diversity antenna. IEEE Antennas Wirel. Propag. Lett. 2017, 16, 808–812. [Google Scholar] [CrossRef]
- Rahman, M.; Ko, D.-S.; Park, J.-D. A compact multiple notched ultra-wide band antenna with an analysis of the CSRR-to-CSRR coupling for portable UWB applications. Sensors 2017, 17, 2174. [Google Scholar] [CrossRef] [PubMed]
- Park, J.-D.; Rahman, M.; Chen, H.N. Isolation enhancement of wide-band MIMO array antennas utilizing resistive loading. IEEE Access 2019, 7, 81020–81026. [Google Scholar] [CrossRef]
- Abbas, A.; Hussain, N.; Jeong, M.-J.; Park, J.; Shin, K.S.; Kim, T.; Kim, N. A rectangular notch-band UWB antenna with controllable notched bandwidth and centre frequency. Sensors 2020, 20, 777. [Google Scholar] [CrossRef] [PubMed]
- Iqbal, A.; Smida, A.; Mallat, N.K.; Islam, M.T.; Kim, S. A compact UWB antenna with independently controllable notch band. Sensors 2019, 19, 1411. [Google Scholar] [CrossRef] [PubMed]
- Yadav, R.; Malviya, L. UWB antenna and MIMO antennas with bandwidth, band-notched, and isolation properties for high-speed data rate wireless communication: A review. Int. J. RF Microw. Comput. Aided Eng. 2020, 30, e22033. [Google Scholar] [CrossRef]
- Sultan, K.S.; Abdullah, H.H. Planar UWB MIMO-diversity antenna with dual notch characteristics. Prog. Electromagn. Res. C 2019, 93, 119–129. [Google Scholar] [CrossRef]
- Deng, J.; Li, J.; Zhao, L.; Guo, L. A dual-band inverted-F MIMO antenna with enhanced isolation for WLAN applications. IEEE Antennas Wirel. Propag. Lett. 2017, 16, 2270–2273. [Google Scholar] [CrossRef]
- Sarkar, D.; Srivastava, K.V. Compact four-element SRR-loaded dual-band MIMO antenna for WLAN/WiMAX/WiFi/4G-LTE and 5G applications. Electron. Lett. 2017, 53, 1623–1624. [Google Scholar] [CrossRef]
- Ramachandran, A.; Pushpakaran, S.V.; Pezholil, M.; Kesavath, V. A four-port MIMO antenna using concentric square-ring patches loaded with CSRR for high isolation. IEEE Antennas Wirel. Propag. Lett. 2016, 15, 1196–1199. [Google Scholar] [CrossRef]
- Bhadade, R.S.; Mahajan, S.P. Circularly polarized 4 × 4 MIMO antenna for WLAN applications. Electromagnetics 2019, 39, 325–342. [Google Scholar] [CrossRef]
- Qu, L.; Piao, H.; Qu, Y. Circularly-polarized MIMO ground radiation antennas for wearable devices. Electron. Lett. 2018, 54, 189–190. [Google Scholar] [CrossRef]
- Choukiker, Y.K.; Sharma, S.K.; Behera, S.K. Hybrid fractal shape planar monopole antenna covering multiband wireless communications with MIMO implementation for handheld mobile devices. IEEE Trans. Antennas Propag. 2014, 62, 1483–1488. [Google Scholar] [CrossRef]
- Yao, Y.; Wang, X.; Chen, X.; Yu, J.; Liu, S. Novel diversity/MIMO PIFA antenna with broadband circular polarization for multimode satellite navigation. IEEE Antennas Wirel. Propag. Lett. 2012, 11, 65–68. [Google Scholar]
- Malik, J.; Patnaik, A.; Kartikeyan, M.V. Novel printed MIMO antenna with pattern and polarization diversity. IEEE Antennas Wirel. Propag. Lett. 2015, 14, 739–742. [Google Scholar] [CrossRef]
- Ullah, U.; Mabrouk, I.B.; Koziel, S. Enhanced-performance circularly polarized MIMO antenna with polarization/pattern diversity. IEEE Access 2020, 8, 11887–11895. [Google Scholar] [CrossRef]
- Adam, I.; Yasin, M.N.M.; Ramli, N.; Jusoh, M.; Rahim, H.A.; Latef, T.B.A.; Izam, T.F.T.M.N.; Sabapathy, T. Mutual coupling reduction of a wideband circularly polarized microstrip MIMO antenna. IEEE Access 2019, 7, 97838–97845. [Google Scholar] [CrossRef]
- Irene, G.; Rajesh, A. Dual polarized UWB MIMO antenna with elliptical polarization for access point with very high isolation using EBG and MSR. Prog. Electromagn. Res. C 2020, 99, 87–98. [Google Scholar] [CrossRef]
- Iqbal, J.; Illahi, U.; Sulaiman, M.I.; Alam, M.M.; Su’ud, M.M.; Mohd Yasin, M.N. Mutual coupling reduction using hybrid technique in wideband circularly polarized MIMO antenna for WiMAX applications. IEEE Access 2019, 7, 40951–40958. [Google Scholar] [CrossRef]
- Sharma, Y.; Sarkar, D.; Saurav, K.; Srivastava, K.V. Three-element MIMO antenna system with pattern and polarization diversity for WLAN applications. IEEE Antennas Wirel. Propag. Lett. 2016, 16, 1163–1166. [Google Scholar] [CrossRef]
- Malviya, L.; Panigrahi, R.K.; Kartikeyan, M.V. Circularly-polarized 2 × 2 MIMO antenna for WLAN applications. Prog. Electromagn. Res. C 2016, 66, 97–107. [Google Scholar] [CrossRef]
- Parbat, R.S.; Tambe, A.R.; Kadu, M.B.; Labade, R.P. Dual polarized triple band 4 × 4 MIMO antenna with novel mutual coupling reduction approach. In Proceedings of the IEEE Bombay Section Symposium-2015 (IBSS-2015), Mumbai, India, 10–11 September 2015; pp. 1–6. [Google Scholar]
- Kayabasi, A.; Toktas, A.; Yigit, E.; Sabanci, K. Triangular quad-port multi-polarized UWB MIMO antenna with enhanced isolation using neutralization ring. AEU-Int. J. Electron. Commun. 2018, 85, 47–53. [Google Scholar] [CrossRef]
- Akbari, M.; Ghalyon, H.A.; Farahani, M.; Sebak, A.R.; Denidni, T.A. Spatially decoupling of CP antennas based on FSS for 30-GHz MIMO systems. IEEE Access 2017, 5, 6527–6537. [Google Scholar] [CrossRef]
- Sharawi, M.S. Current misuses and future prospects for printed multiple-input, multiple-output antenna systems. IEEE Antennas Propag. Mag. 2017, 59, 162–170. [Google Scholar] [CrossRef]
- Balanis, C.A. Antenna Theory: Analysis and Design; Wiley Interscience: Hoboken, NY, USA, 2005. [Google Scholar]
- Blackwell, G.R. The Electronic Packaging Handbook; CRC: Boca Raton, FL, USA, 1999. [Google Scholar]
- Bisharat, D.J.; Liao, S.; Xue, Q. Wideband unidirectional circularly polarized antenna with L-shaped radiator structure. IEEE Antennas Wirel. Propag. Lett. 2016, 16, 12–15. [Google Scholar] [CrossRef]
- Bisharat, D.J.; Liao, S.; Xue, Q. Low-cost topologies of circularly polarized antennas for 5G applications. In Proceedings of the TENCON 2015—2015 IEEE Region 10 Conference, Macao, China, 1–4 November 2015; pp. 1–6. [Google Scholar]
- Blanch, S.; Romeu, J.; Corbella, I. Exact representation of antenna system diversity performance from input parameter description. Electron. Lett. 2003, 39, 705–707. [Google Scholar] [CrossRef]
- Feng, B.; Lai, J.; Zeng, Q.; Chung, K.L. A dual-wideband and high gain magneto-electric dipole antenna and its 3D MIMO system with metasurface for 5G/WiMAX/WLAN/X-band applications. IEEE Access 2018, 6, 33387–33398. [Google Scholar] [CrossRef]
- Zhu, J.; Li, S.; Feng, B.; Deng, L.; Yin, S. Compact dual-polarized UWB quasi-self-complementary MIMO/diversity antenna with band-rejection capability. IEEE Antennas Wirel. Propag. Lett. 2016, 15, 905–908. [Google Scholar] [CrossRef]
- Alsath, M.G.N.; Arun, H.; Selvam, Y.P.; Kanagasabai, M.; Kingsly, S.; Subbaraj, S.; Sivasamy, R.; Palaniswamy, S.K.; Natarajan, R. An integrated tri-band/UWB polarization diversity antenna for vehicular networks. IEEE Trans. Veh. Technol. 2018, 67, 5613–5620. [Google Scholar] [CrossRef]














| Parameter | Dimension (mm) | Parameter | Dimension (mm) |
|---|---|---|---|
| L | 20 | L1 | 45 |
| W | 20 | W1 | 45 |
| l1 | 12.12 | l4 | 1 |
| l2 | 10 | l5 | 1 |
| l3 | 1.47 | l6 | 1 |
| d1 | 17.5 | d3 | 1 |
| d2 | 3 | d4 | 1 |
| s1 | 4 | d5 | 1 |
| Frequency (GHz) | Isolation (dB) | ADG (dB) | ECC |
|---|---|---|---|
| 4 | >19 | 9.98 | <0.01 |
| 8 | >26 | 10 | <0.01 |
| 12 | >26 | 9.9 | <0.01 |
| Ref. | No. of Radiators | 3-dB Axial Ratio Frequency (GHz) | ARBW (GHz)/(%) | Antenna Size (mm3) | −10 dB Impedance Frequency (GHz) | Effective Size | Impedance BW (GHz)/(%) | Gain (dB) | Isolation (dB) |
|---|---|---|---|---|---|---|---|---|---|
| [20] | 2 | 2.4–2.5 | 0.1/4 | 30 × 30 × 4 | 2.38–2.52 | 0.24λ0 × 0.24λ0 | 0.14/6 | — | >17 |
| [21] | 2 | — | — | 100 × 50 × 1.54 | 1.65–1.9, 2.68–6.25 | 0.55λ0 × 0.27λ0 | 0.25, 3.57/14, 80 | 6.78 | >15 |
| [22] | 2 | 1.1–1.7 | 0.6/43 | 94 × 94 × 1.6 | 1.02–1.72 | 0.32λ0 × 0.32λ0 | 0.7/51 | 2.65 | >14 |
| [23] | 2 | 5.5–5.9 | 0.4/7 | 30 × 25 × 1.524 | 5–6.8 | 0.5λ0 × 0.42λ0 | 1.8/31 | 4.4 | >14 |
| [24] | 2 | 5.2–6.3 | 1.1/18 | 13.7 × 36.2 × 15 | 5.2–6.3 | 0.24λ0 × 0.64λ0 | 1.1/18 | 5.8 | >20 |
| [25] | 2 | 2.04–2.57 | 0.53/23 | 66 × 66 | 1.82–2.57 | 0.4λ0 × 0.4λ0 | 0.75/34 | 4 | >24 |
| [26] | 2 | 6.5, 7.5 | — | 58 × 29 × 1.6 | 3.1–10.6 | 0.6λ0 × 0.3λ0 | 7.5/109 | 5.8 | >27 |
| [27] | 2 | 3.58–4.4 | 0.82/20 | 35 × 35 × 26.1 | 3.5–4.95 | 0.41λ0 × 0.41λ0 | 1.45/34 | 6.2 | >28 |
| [28] | 3 | 5.52–5.64 | 0.12/2 | 29 × 48 × 1.6 | 5.5–6.25 | 0.53λ0 × 0.88λ0 | 0.75/13 | 4 | >15 |
| [29] | 4 | 5.772–5.864 | 0.092/2 | 97 × 27.69 × 1.524 | 5.49–6.024 | 1.77λ0 × 0.51λ0 | 0.534/9 | 5.34 | >33 |
| [30] | 4 | 3.56–3.67, 5.16–5.29 | 0.11, 0.13/3, 2 | 165 × 165 × 1.6 | 1.71–1.88, 3.3–3.7, 5.15–5.35 | 0.94λ0 × 0.94λ0 | 0.17, 0.4, 0.2/9, 11, 4 | 5 | >45 |
| [31] | 4 | — | — | 75.19 × 75.19 × 1.6 | 3.1–17.3 | 0.78λ0 × 0.78λ0 | 10.2/139 | 5.5 | >13 |
| Prop. | 4 | 3.8–6.5 | 2.7/52 | 45 × 45 × 1.6 | 2.2–13.5 | 0.33λ0 × 0.33λ0 | 11.3/144 | 6.8 | >18 |
© 2020 by the authors. Licensee MDPI, Basel, Switzerland. This article is an open access article distributed under the terms and conditions of the Creative Commons Attribution (CC BY) license (http://creativecommons.org/licenses/by/4.0/).
Share and Cite
Kumar, P.; Urooj, S.; Malibari, A. Design of Quad-Port Ultra-Wideband Multiple-Input-Multiple-Output Antenna with Wide Axial-Ratio Bandwidth. Sensors 2020, 20, 1174. https://doi.org/10.3390/s20041174
Kumar P, Urooj S, Malibari A. Design of Quad-Port Ultra-Wideband Multiple-Input-Multiple-Output Antenna with Wide Axial-Ratio Bandwidth. Sensors. 2020; 20(4):1174. https://doi.org/10.3390/s20041174
Chicago/Turabian StyleKumar, Pawan, Shabana Urooj, and Areej Malibari. 2020. "Design of Quad-Port Ultra-Wideband Multiple-Input-Multiple-Output Antenna with Wide Axial-Ratio Bandwidth" Sensors 20, no. 4: 1174. https://doi.org/10.3390/s20041174
APA StyleKumar, P., Urooj, S., & Malibari, A. (2020). Design of Quad-Port Ultra-Wideband Multiple-Input-Multiple-Output Antenna with Wide Axial-Ratio Bandwidth. Sensors, 20(4), 1174. https://doi.org/10.3390/s20041174

