Antidisturbance Control for AUV Trajectory Tracking Based on Fuzzy Adaptive Extended State Observer
Abstract
1. Introduction
- An output-feedback FAESO-based FADSC is designed for trajectory tracking control of AUV system subject to measurement noises, parameter uncertainties, external disturbances and actuator faults. Only the output information is assumed to be obtainable, while the velocity is estimated by FAESO. The fuzzy logic systems are designed both for bandwidth adjustment of FAESO and the time constant tuning of a low-pass filter in FADSC to improve the adaptibility of the entire system.
- The stability of the entire system based on the proposed control scheme is analyzed through Lyapunov’s direct method to guarantee that the tracking error can converge to a small bounded vicinity asymptotically.
- The effectiveness and advantages of the proposed control scheme are verified by several comparative numerical simulations, during which comparisons between different observers and comparisons between different controllers in the presence of measurement noise, parameter uncertainties, external disturbances and even actuator faults are presented. The results are compared in terms of tracking accuracy, robustness and energy consumption.
2. Model Dynamics
3. Design of FAESO
- Rule 1:
- If is VS, then is VS.
- Rule 2:
- If is S, then is S.
- Rule 3:
- If is N, then is N.
- Rule 4:
- If is L, then is L.
- Rule 5:
- If is VL, then is VL.
4. Design of FAESO-Based FADSC
- Rule 1:
- If is VS, then is VS.
- Rule 2:
- If is S, then is S.
- Rule 3:
- If is N, then is N.
- Rule 4:
- If is L, then is L.
- Rule 5:
- If is VL, then is VL.
5. Simulations
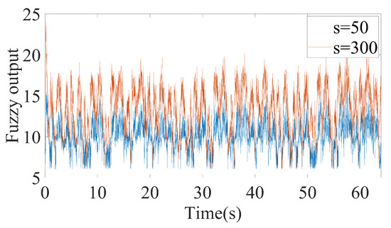
5.1. Comparison between Observers
5.2. Comparison between Control Schemes
- PD
- STSMC
- ASTSMC
- with adaptive law
- where with . and are the gain matrices. , , , , , are all positive parameters to be tuned.
5.2.1. Scenario 1: Robustness toward External Disturbances
5.2.2. Scenario 2: Robustness toward External Disturbances and Parameter Uncertainties
5.2.3. Scenario 3: Robustness toward External Disturbances, Parameter Uncertainties and Actuator Faults
6. Conclusions and Future Work
Author Contributions
Funding
Conflicts of Interest
Abbreviations
| FAESO | Fuzzy adaptive extended state observer |
| FADSC | Fuzzy adaptive dynamic surface control |
References
- Ji-Yong, L.; Hao, Z.; Hai, H.; Xu, Y.; Zhaoliang, W.; Lei, W. Design and vision based autonomous capture of sea organism with absorptive type remotely operated vehicle. IEEE Access 2018, 6, 73871–73884. [Google Scholar] [CrossRef]
- Takagi, M.; Mori, H.; Yimit, A.; Hagihara, Y.; Miyoshi, T. Development of a small size underwater robot for observing fisheries resources–Underwater robot for assisting abalone fishing. J. Robot. Mechatron. 2016, 28, 397–403. [Google Scholar] [CrossRef]
- Gray, S. Are robots and satellites the future of fishries management? Fisheries 2010, 35, 48. [Google Scholar] [CrossRef]
- Antonelli, G.; Antonelli, G. Underwater Robots; Springer: Berlin/Heidelberg, Germany, 2014; Volume 3. [Google Scholar]
- Smallwood, D.A.; Whitcomb, L.L. Model-based dynamic positioning of underwater robotic vehicles: Theory and experiment. IEEE J. Ocean. Eng. 2004, 29, 169–186. [Google Scholar] [CrossRef]
- Xiang, X.; Chen, D.; Yu, C.; Ma, L. Coordinated 3D path following for autonomous underwater vehicles via classic PID controller. IFAC Proc. 2013, 46, 327–332. [Google Scholar] [CrossRef]
- Wang, Y.; Yan, W.; Gao, B.; Cui, R. Backstepping-based path following control of an underactuated autonomous underwater vehicle. In Proceedings of the 2009 International Conference on Information and Automation, Macau, China, 22–24 June 2009; IEEE: Piscataway, NJ, USA, 2009; pp. 466–471. [Google Scholar] [CrossRef]
- Kim, M.; Joe, H.; Kim, J.; Yu, S.c. Integral sliding mode controller for precise manoeuvring of autonomous underwater vehicle in the presence of unknown environmental disturbances. Int. J. Control 2015, 88, 2055–2065. [Google Scholar] [CrossRef]
- Xiang, X.; Yu, C.; Lapierre, L.; Zhang, J.; Zhang, Q. Survey on fuzzy-logic-based guidance and control of marine surface vehicles and underwater vehicles. Int. J. Fuzzy Syst. 2018, 20, 572–586. [Google Scholar] [CrossRef]
- Cui, R.; Yang, C.; Li, Y.; Sharma, S. Adaptive neural network control of AUVs with control input nonlinearities using reinforcement learning. IEEE Trans. Syst. Man Cybern. Syst. 2017, 47, 1019–1029. [Google Scholar] [CrossRef]
- Heshmati-Alamdari, S.; Nikou, A.; Dimarogonas, D.V. Robust trajectory tracking control for underactuated autonomous underwater vehicles in uncertain environments. IEEE Trans. Autom. Sci. Eng. 2020. [Google Scholar] [CrossRef]
- Wang, J.; Wang, C.; Wei, Y.; Zhang, C. Three-dimensional path following of an underactuated AUV based on neuro-adaptive command filtered backstepping control. IEEE Access 2018, 6, 74355–74365. [Google Scholar] [CrossRef]
- Li, H.; He, B.; Yin, Q.; Mu, X.; Zhang, J.; Wan, J.; Wang, D.; Shen, Y. Fuzzy optimized MFAC based on ADRC in AUV heading control. Electronics 2019, 8, 608. [Google Scholar] [CrossRef]
- Ismail, Z.H.; Putranti, V.W. Second order sliding mode control scheme for an autonomous underwater vehicle with dynamic region concept. Math. Probl. Eng. 2015, 2015. [Google Scholar] [CrossRef]
- Shtessel, Y.; Edwards, C.; Fridman, L.; Levant, A. Sliding Mode Control and Observation; Springer: Berlin/Heidelberg, Germany, 2014. [Google Scholar]
- Guerrero, J.; Torres, J.; Creuze, V.; Chemori, A. Trajectory tracking for autonomous underwater vehicle: An adaptive approach. Ocean Eng. 2019, 172, 511–522. [Google Scholar] [CrossRef]
- Shtessel, Y.; Taleb, M.; Plestan, F. A novel adaptive-gain supertwisting sliding mode controller: Methodology and application. Automatica 2012, 48, 759–769. [Google Scholar] [CrossRef]
- Borlaug, I.L.G.; Pettersen, K.Y.; Gravdahl, J.T. The generalized super-twisting algorithm with adaptive gains. In Proceedings of the 2020 European Control Conference (ECC), Saint Petersburg, Russia, 12–15 May 2020; IEEE: Piscataway, NJ, USA, 2020; pp. 1624–1631. [Google Scholar]
- Cervantes, J.; Yu, W.; Salazar, S.; Chairez, I.; Lozano, R. Output based backstepping control for trajectory tracking of an autonomous underwater vehicle. In Proceedings of the 2016 American Control Conference (ACC), Boston, MA, USA, 6–8 July 2016; IEEE: Piscataway, NJ, USA, 2016; pp. 6423–6428. [Google Scholar] [CrossRef]
- Shao, X.; Liu, J.; Cao, H.; Shen, C.; Wang, H. Robust dynamic surface trajectory tracking control for a quadrotor UAV via extended state observer. Int. J. Robust Nonlinear Control 2018, 28, 2700–2719. [Google Scholar] [CrossRef]
- Baldini, A.; Ciabattoni, L.; Felicetti, R.; Ferracuti, F.; Freddi, A.; Monteriù, A. Dynamic surface fault tolerant control for underwater remotely operated vehicles. ISA Trans. 2018, 78, 10–20. [Google Scholar] [CrossRef]
- Chu, Z.; Zhu, D. 3D path-following control for autonomous underwater vehicle based on adaptive backstepping sliding mode. In Proceedings of the 2015 IEEE International Conference on Information and Automation, Lijiang, China, 8–10 August 2015; IEEE: Piscataway, NJ, USA, 2015; pp. 1143–1147. [Google Scholar] [CrossRef]
- Suarez Fernandez, R.A.; Parra R, E.A.; Milosevic, Z.; Dominguez, S.; Rossi, C. Nonlinear attitude control of a spherical underwater vehicle. Sensors 2019, 19, 1445. [Google Scholar] [CrossRef]
- Li, J.; Du, J.; Sun, Y.; Lewis, F.L. Robust adaptive trajectory tracking control of underactuated autonomous underwater vehicles with prescribed performance. Int. J. Robust Nonlinear Control 2019, 29, 4629–4643. [Google Scholar] [CrossRef]
- Liang, X.; Qu, X.; Wang, N.; Zhang, R.; Li, Y. Three-dimensional trajectory tracking of an underactuated AUV based on fuzzy dynamic surface control. IET Intell. Transp. Syst. 2019, 14, 364–370. [Google Scholar] [CrossRef]
- Liang, X.; Qu, X.; Wan, L.; Ma, Q. Three-dimensional path following of an underactuated AUV based on fuzzy backstepping sliding mode control. Int. J. Fuzzy Syst. 2018, 20, 640–649. [Google Scholar] [CrossRef]
- Qiang, C.; Yu-Rong, N.; Heng-Huo, Z.; Xue-Mei, R. Full-order sliding mode control of uncertain chaos in a permanent magnet synchronous motor based on a fuzzy extended state observer. Chin. Phys. B 2015, 24, 110504. [Google Scholar]
- Jiao, R.; Chou, W.; Rong, Y.; Dong, M. Anti-disturbance control for quadrotor UAV manipulator attitude system based on fuzzy adaptive saturation super-twisting sliding mode observer. Appl. Sci. 2020, 10, 3719. [Google Scholar] [CrossRef]
- Li, S.; Yang, J.; Chen, W.H.; Chen, X. Disturbance Observer-Based Control: Methods and Applications; CRC Press: Boca Raton, FL, USA, 2014. [Google Scholar]
- Huang, Y.; Xue, W. Active disturbance rejection control: Methodology and theoretical analysis. ISA Trans. 2014, 53, 963–976. [Google Scholar] [CrossRef] [PubMed]
- Han, J. From PID to active disturbance rejection control. IEEE Trans. Ind. Electron. 2009, 56, 900–906. [Google Scholar] [CrossRef]
- Juan, L.; Ming, K.; Xing-hua, C.; Long-fei, L. AUV control systems of nonlinear extended state observer design. In Proceedings of the 2014 IEEE International Conference on Mechatronics and Automation, Tianjin, China, 3–6 August 2014; IEEE: Piscataway, NJ, USA, 2014; pp. 1924–1928. [Google Scholar] [CrossRef]
- Gharesi, N.; Ebrahimi, Z.; Forouzandeh, A.; Arefi, M.M. Extended state observer-based backstepping control for depth tracking of the underactuated AUV. In Proceedings of the 2017 5th International Conference on Control, Instrumentation, and Automation (ICCIA), Shiraz, Iran, 21–23 November 2017; IEEE: Piscataway, NJ, USA, 2017; pp. 354–358. [Google Scholar] [CrossRef]
- Yin, Q.; Shen, Y.; Li, H.; Wan, J.; Wang, D.; Liu, F.; Kong, X.; He, B.; Yan, T. Fuzzy PID motion control based on extended state observer for AUV. In Proceedings of the 2019 IEEE Underwater Technology (UT), Kaohsiung, Taiwan, 16–19 April 2019; IEEE: Piscataway, NJ, USA, 2019; pp. 1–4. [Google Scholar] [CrossRef]
- Liu, C.; Luo, G.; Duan, X.; Chen, Z.; Zhang, Z.; Qiu, C. Adaptive LADRC-based disturbance rejection method for electromechanical servo system. IEEE Trans. Ind. Appl. 2019, 56, 876–889. [Google Scholar] [CrossRef]
- Liu, S.; Liu, Y.; Wang, N. Nonlinear disturbance observer-based backstepping finite-time sliding mode tracking control of underwater vehicles with system uncertainties and external disturbances. Nonlinear Dyn. 2017, 88, 465–476. [Google Scholar] [CrossRef]
- Guerrero, J.; Torres, J.; Creuze, V.; Chemori, A. Adaptive disturbance observer for trajectory tracking control of underwater vehicles. Ocean Eng. 2020, 200, 107080. [Google Scholar] [CrossRef]
- Precup, R.E.; Tomescu, M.L. Stable fuzzy logic control of a general class of chaotic systems. Neural Comput. Appl. 2015, 26, 541–550. [Google Scholar] [CrossRef]
- Turnip, A.; Panggabean, J. Hybrid controller design based magneto-rheological damper lookup table for quarter car suspension. Int. J. Artif. Intell 2020, 18, 193–206. [Google Scholar]
- Ai, X.; Kang, S.; Chou, W. System design and experiment of the hybrid underwater vehicle. In Proceedings of the 2018 International Conference on Control and Robots (ICCR), Hong Kong, China, 15–17 September 2018; IEEE: Piscataway, NJ, USA, 2018; pp. 68–72. [Google Scholar]
- Lee, K.H. First Course on Fuzzy Theory and Applications; Springer Science & Business Media: New York, NY, USA, 2004; Volume 27. [Google Scholar]
- Palm, R. Robust control by fuzzy sliding mode. Automatica 1994, 30, 1429–1437. [Google Scholar] [CrossRef]


















| Parameter Names | Parameter Symbols | Values |
|---|---|---|
| Total mass | m | kg |
| The moment of inertia about z | 7.3 kgm | |
| Length | L | 1700 mm |
| Width | W | 600 mm |
| Height | H | 270 mm |
| Diameter of the body | D | 200 mm |
Publisher’s Note: MDPI stays neutral with regard to jurisdictional claims in published maps and institutional affiliations. |
© 2020 by the authors. Licensee MDPI, Basel, Switzerland. This article is an open access article distributed under the terms and conditions of the Creative Commons Attribution (CC BY) license (http://creativecommons.org/licenses/by/4.0/).
Share and Cite
Kang, S.; Rong, Y.; Chou, W. Antidisturbance Control for AUV Trajectory Tracking Based on Fuzzy Adaptive Extended State Observer. Sensors 2020, 20, 7084. https://doi.org/10.3390/s20247084
Kang S, Rong Y, Chou W. Antidisturbance Control for AUV Trajectory Tracking Based on Fuzzy Adaptive Extended State Observer. Sensors. 2020; 20(24):7084. https://doi.org/10.3390/s20247084
Chicago/Turabian StyleKang, Song, Yongfeng Rong, and Wusheng Chou. 2020. "Antidisturbance Control for AUV Trajectory Tracking Based on Fuzzy Adaptive Extended State Observer" Sensors 20, no. 24: 7084. https://doi.org/10.3390/s20247084
APA StyleKang, S., Rong, Y., & Chou, W. (2020). Antidisturbance Control for AUV Trajectory Tracking Based on Fuzzy Adaptive Extended State Observer. Sensors, 20(24), 7084. https://doi.org/10.3390/s20247084
