Development and Calibration of an Eye-Tracking Fixation Identification Algorithm for Immersive Virtual Reality
Abstract
1. Introduction
2. Materials and Methods
2.1. Participants
2.2. Virtual Environment and Data Collection
2.3. Fixation Identification Algorithm
| Algorithm 1: Dispersion Algorithm | 
|  | 
2.4. Calibration Criteria
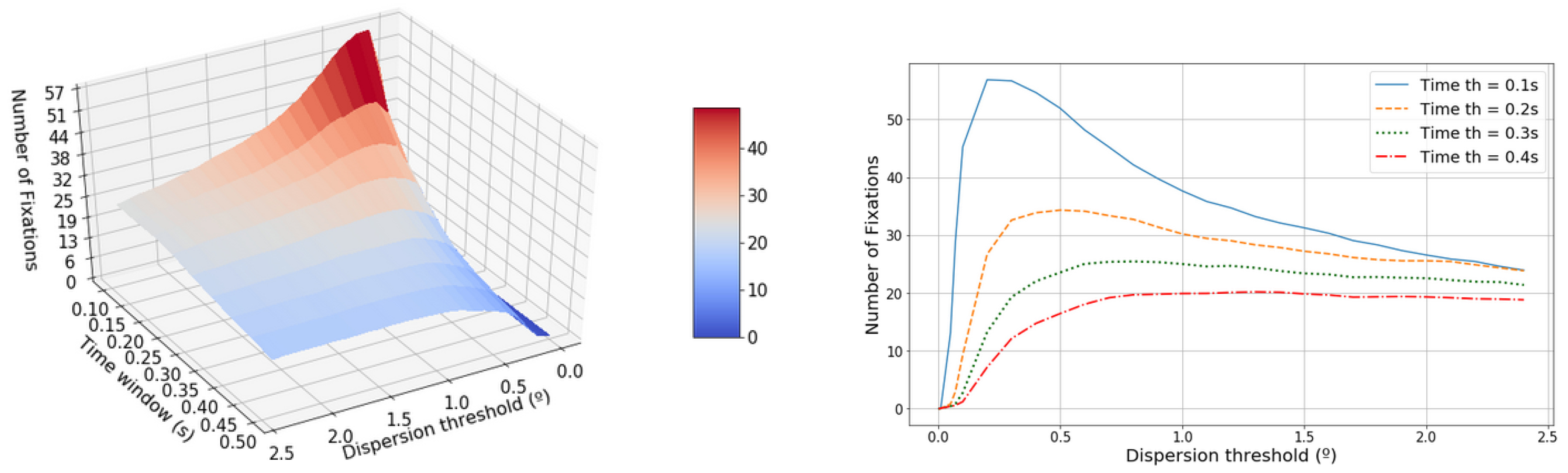
- Number of fixations This measures the average number of fixations per subject during the task. For small dispersion thresholds the growth of the feature increases from zero until a maximum. After this maximum, the feature decreases until one single fixation for a high dispersion threshold and any time window value is obtained. The parameters to be selected must all exceed the maximum number of fixations due to the high instability in this region [35].
- Percentage of points classified inside a fixation measures the amount of points classified as part of a fixation. This feature is linked to the number of fixations. In the first step, with a small change in the dispersion threshold, the percentage of points increases exponentially. However, this increasing tendency changes when a maximum number of fixations is reached, which produces an elbow point in the feature [35]. After this point, the growth of the curve becomes smoother until it reaches of the points included as part of a fixation. This feature helps identify a lower-limit for the dispersion threshold. Moreover, this feature has to be as high as possible to classify more points as fixation points [35]. Following this condition, this feature determines a single point and not a region of points.
- Mean fixation time This measures the average fixation time per subject. As has been seen in previous studies, this feature follows a linear relation with the dispersion threshold of the I-DT algorithm [35,36] in 2D world-centered experiments. The mean time fixation increases proportionally as this parameter increases. This is due to the fact that the more points there are inside a fixation, increases in the dispersion threshold involve increases in fixation time. Parameters which involve mean fixation times above certain mean times cannot be considered as optimum. This condition defines an upper-limit for the dispersion threshold and time window. In this work, the predefined maximum mean time is established at s. Despite the fact that this fixation time is higher than the upper limit established in the literature ( s [18]), it is close to the results obtained by Reference [30] in an IVE, that is, s mean fixation time.
- Percentage of fixations in AoI. This measures the percentage of fixations with centers inside AoIs. A similar feature was used by Reference [30,32] to calibrate algorithms. In the present work, the majority of the fixation centers were found to be inside the defined AoIs. The percentage is obtained when the AoI is lit. This measure not only provides spatial information about where the fixation center is located, it also provides temporal information, because it only records gaze points inside an AoI when it is lit. With the variation of the parameters of the algorithm, different numbers of points are classified as part of fixations and the positions of the centers of the fixations also change. The feature starts with the highest value (close to ). While the dispersion threshold is increased, more points are therefore part of the same fixation. In consequence, the center of the fixation is displaced in order to be in the average position of all the fixation points. These displacements cause the center of the fixation to be placed randomly in the environment for high dispersion threshold values instead of being centered around an AoI. This evolution tends to induce a decrease in the percentage of fixations inside AoIs. However, we hypothesize that during this decrease there is a stable region where the variation of the parameters does not affect the percentage of fixations inside the AoI. This region represents the set of parameters that better model visual attention, as the values of this feature are unaffected by small changes in the parameters. The search of this stable region requires two previous steps. First, a simple moving average (SMA) of three points is used on the signal in order to smooth it and eliminate noise. After that, the first derivative of the feature is computed. Stability is considered to be established when the variation in points is below . Table 1 summarizes the criteria and the features used to calibrate the ET algorithm.
3. Results
3.1. Frequency Analysis
3.2. Algorithm Calibration
4. Discussion
5. Conclusions
Supplementary Materials
Author Contributions
Funding
Acknowledgments
Conflicts of Interest
References
- Cipresso, P.; Chicchi Giglioli, I.; Alcañiz, M.; Riva, G. The Past, Present, and Future of Virtual and Augmented Reality Research: A Network and Cluster Analysis of the Literature. Front. Psyc. 2014, 9, 2086–2106. [Google Scholar] [CrossRef] [PubMed]
- Chicchi Giglioli, I.; Pravettoni, G.; Sutil, L.; Parra, E.; Alcañiz, M. A Novel Integrating Virtual Reality Approach for the Assessment of the Attachment Behavioral System. Front. Psyc. 2017, 8, 959–966. [Google Scholar] [CrossRef] [PubMed]
- Vince, J. Introduction to Virtual Reality, 2nd ed.; Springer Verl.: Bournemouth, UK, 2004. [Google Scholar]
- Marín-Morales, J.; Torrecilla Moreno, C.; Guixeres, J.; Llinares, C. Methodological bases for a new platform for the measurement of human behaviour in virtual environments. DYNA 2017, 92, 34–38. [Google Scholar]
- Marín-Morales, J.; Higuera-Trujillo, J.L.; De-Juan-Ripoll, C.; Llinares, C.; Guixeres, J.; Iñarra, S.; Alcañiz, M. Navigation comparison between a real and a virtual museum: Time-dependent differences using a head mounted display. Interac. Comput. 2019, 31, 208–220. [Google Scholar] [CrossRef]
- Alcañiz, M.; Baños, R.; Botella, C.; Rey, B. The EMMA Project: Emotions as a Determinant of Presence. PsychNology J. 2003, 1, 141–150. [Google Scholar]
- Marín-Morales, J.; Higuera-Trujillo, J.L.; Greco, A.; Guixeres, J.; Llinares, C.; Gentili, C.; Pasquale Scilingo, E.; Alcañiz, M.; Valenza, G. The EMMA Project: Emotions as a Determinant of Presence. PLoS ONE 2019, 14, 1–24. [Google Scholar]
- Kober, S.E.; Kurzmann, J.; Neuper, C. Cortical correlate of spatial presence in 2D and 3D interactive virtual reality: An EEG study. Int. J. Psychophys. 2012, 83, 365–374. [Google Scholar] [CrossRef]
- Borrego, A.; Latorre, J.; Llorens, R.; Alcañiz, M.; Noé, E. Feasibility of a walking virtual reality system for rehabilitation: Objective and subjective parameters. J. Neuroeng. Rehabil. 2016, 13, 68–77. [Google Scholar] [CrossRef]
- Clemente, M.; Rodríguez, A.; Rey, B.; Alcañiz, M. Assessment of the influence of navigation control and screen size on the sense of presence in virtual reality using EEG. Expert Sys. Appl. 2014, 41, 1584–1592. [Google Scholar] [CrossRef]
- Borrego, A.; Latorre, J.; Alcañiz, M.; Llorens, R. Comparison of Oculus Rift and HTC Vive: Feasibility for Virtual Reality-Based Exploration, Navigation, Exergaming, and Rehabilitation. Games Health J. 2018, 7, 151–156. [Google Scholar] [CrossRef]
- Jensen, L.; Konradsen, F. A review of the use of virtual reality head-mounted displays in education and training. Educ. Inf. Technol. 2017, 23, 1515–1529. [Google Scholar] [CrossRef]
- Jost, T.A.; Drewelow, G.; Koziol, S.; Rylander, J. A quantitative method for evaluation of 6 degree of freedom virtual reality systems. J. Biomech. 2019, 97, 109–379. [Google Scholar] [CrossRef] [PubMed]
- Chandrasekera, T.; Fernando, K.; Puig, L. Effect of Degrees of Freedom on the Sense of Presence Generated by Virtual Reality (VR) Head-Mounted Display Systems: A Case Study on the Use of VR in Early Design Studios. J. Educ. Technol. Syst. 2019, 47, 513–522. [Google Scholar] [CrossRef]
- Bălan, O.; Moise, G.; Moldoveanu, A.; Leordeanu, M.; Moldoveanu, F. An Investigation of Various Machine and Deep Learning Techniques Applied in Automatic Fear Level Detection and Acrophobia Virtual Therapy. Sensors 2020, 20, 496. [Google Scholar] [CrossRef]
- Armstrong, T.; Olatunji, B.O. Eye tracking of attention in the affective disorders: A meta-analytic review and synthesis. Clinical Psychol. Rev. 2012, 32, 704–723. [Google Scholar] [CrossRef]
- Rayner, K. Eye movements in reading and information processing: 20 years of research. Psychol. Bulletin 1998, 124, 372–422. [Google Scholar] [CrossRef]
- Irwin, D.E. Memory for position and identity across eye movements. J. Exp. Psychol. Learn. Mem. Cogn. 1992, 18, 307–317. [Google Scholar] [CrossRef]
- Tanriverdi, V.; Jacob, R.J.K. Interacting with Eye Movements in Virtual Environments. Assoc. Comput. Machin. 2000, 265–272. [Google Scholar] [CrossRef]
- Skulmowski, A.; Bunge, A.; Kaspar, K.; Pipa, G. Forced-choice decision-making in modified trolley dilemma situations: A virtual reality and eye tracking study. Front. Behav. Neurosci. 2014, 8, 426–442. [Google Scholar] [CrossRef]
- Juvrud, J.; Gredebäck, G.; Åhs, F.; Lerin, N.; Nyström, P.; Kastrati, G.; Rosén, J. The Immersive Virtual Reality Lab: Possibilities for Remote Experimental Manipulations of Autonomic Activity on a Large Scale. Front. Neurosci. 2018, 12, 305–315. [Google Scholar] [CrossRef]
- Clay, V.; König, P.; Koenig, S. Eye Tracking in Virtual Reality. J. Eye Mov. Res. 2019, 12, 3. [Google Scholar]
- Hessels, R.S.; Niehorster, D.C.; Nyström, M.; Andersson, R.; Hooge, I.T.C. Is the eye-movement field confused about fixations and saccades? A survey among 124 researchers. R. Soc. Open Sci. 2018, 5, 180502. [Google Scholar] [CrossRef] [PubMed]
- Díaz, G.; Cooper, J.; Kit, D.; Hayhoe, M.M. Real-time recording and classification of eye movements in an immersive virtual environment. J. Vis. 2013, 13, 1–14. [Google Scholar] [CrossRef] [PubMed]
- Lappi, O. Eye Tracking in the Wild: The Good, the Bad and the Ugly. J. Eye Mov. Res. 2015, 8, 1–21. [Google Scholar]
- Duchowski, A.T.; Medlin, E.; Gramopadhye, A.; Melloy, B.; Nair, S. Binocular Eye Tracking in VR for Visual Inspection Training. Assoc. Comput. Mach. 2001, 1–8. [Google Scholar] [CrossRef]
- Lim, J.Z.; Mountstephens, J.; Teo, J. Emotion Recognition Using Eye-Tracking: Taxonomy, Review and Current Challenges. Sensors 2020, 20, 2384. [Google Scholar] [CrossRef]
- Manor, B.R.; Gordon, E. Defining the temporal threshold for ocular fixation in free-viewing visuocognitive tasks. J. Neurosci. Methods 2003, 128, 85–93. [Google Scholar] [CrossRef]
- Salvucci, D.; Goldberg, J. Identifying fixations and saccades in eye-tracking protocols. Proc. Eye Track. Res. Appli. (ETRA) Symp. 2000, 10, 71–78. [Google Scholar]
- Duchowski, A.; Medlin, E.; Cournia, N.; Murphy, H.; Gramopadhye, A.; Nair, S.; Vorah, J.; Melloy, B. 3-D eye movement analysis. Behav. Res. Methods Instrum. Comput. J. Psychon. Soc. Inc. 2002, 34, 573–591. [Google Scholar] [CrossRef]
- Duchowski, A. Eye Tracking Methodology: Theory and Practice, 2nd ed.; Springer Publ. Co. Inc.: New York, NY, USA, 2007. [Google Scholar]
- Bobić, V.; Graovac, S. Development, implementation and evaluation of new eye tracking methodology. Telecommun. Forum (TELFOR) 2016, 1–4. [Google Scholar] [CrossRef]
- Sidenmark, L.; Lundström, A. Gaze behaviour on interacted objects during hand interaction in virtual reality for eye tracking calibration. Symp. Eye Track. Res. Appl. 2019, 1–9. [Google Scholar] [CrossRef]
- Al Ghamdi, N.; Alhalabi, W. Fixation Detection with Ray-casting in Immersive Virtual Reality. Int. J. Adv. Comput. Sci. Appli. 2019, 10. [Google Scholar] [CrossRef]
- Blignaut, P. Fixation identification: The optimum threshold for a dispersion algorithm. Atten. Percept. Psychophys. 2009, 71, 881–895. [Google Scholar] [CrossRef] [PubMed]
- Shic, F.; Scassellati, B.; Chawarska, K. The Incomplete Fixation Measure. Proc. Eye Track. Res. Appli. (ETRA) Symp. 2008, 111–114. [Google Scholar] [CrossRef]
- Vive, H. Vive Pro Eye. Available online: https://www.vive.com/us/ (accessed on 1 September 2020).
| Sample Availability: The datasets generated during and/or analyzed during the current study are available from the corresponding authors on reasonable request. | 








| Measure | Criterium | 
|---|---|
| Number of fixations | After the maximum fixation number | 
| Percentage of points classified inside a fixation | After elbow point and as high as possible | 
| Mean fixation time | Lower than certain predefined time | 
| Percentage of fixations inside AoI | Stable region | 
| Parameters | Values | |||||||
|---|---|---|---|---|---|---|---|---|
| Dispersion Th (°) | 0.3–1.6 | 0.5–1.5 | 0.6–1.6 | 0.8–1.7 | 0.9–1.6 | 1.4–1.6 | 1.4–1.5 | 1.4–1.5 | 
| Time window (s) | ||||||||
| Parameters | Values | |||
|---|---|---|---|---|
| Dispersion Th (°) | 1 | 1 and | ||
| Time window (s) | ||||
© 2020 by the authors. Licensee MDPI, Basel, Switzerland. This article is an open access article distributed under the terms and conditions of the Creative Commons Attribution (CC BY) license (http://creativecommons.org/licenses/by/4.0/).
Share and Cite
Llanes-Jurado, J.; Marín-Morales, J.; Guixeres, J.; Alcañiz, M. Development and Calibration of an Eye-Tracking Fixation Identification Algorithm for Immersive Virtual Reality. Sensors 2020, 20, 4956. https://doi.org/10.3390/s20174956
Llanes-Jurado J, Marín-Morales J, Guixeres J, Alcañiz M. Development and Calibration of an Eye-Tracking Fixation Identification Algorithm for Immersive Virtual Reality. Sensors. 2020; 20(17):4956. https://doi.org/10.3390/s20174956
Chicago/Turabian StyleLlanes-Jurado, Jose, Javier Marín-Morales, Jaime Guixeres, and Mariano Alcañiz. 2020. "Development and Calibration of an Eye-Tracking Fixation Identification Algorithm for Immersive Virtual Reality" Sensors 20, no. 17: 4956. https://doi.org/10.3390/s20174956
APA StyleLlanes-Jurado, J., Marín-Morales, J., Guixeres, J., & Alcañiz, M. (2020). Development and Calibration of an Eye-Tracking Fixation Identification Algorithm for Immersive Virtual Reality. Sensors, 20(17), 4956. https://doi.org/10.3390/s20174956
 
        



 
       