Integrated Lab-on-a-Chip Optical Biosensor Using Ultrathin Silicon Waveguide SOI MMI Device †
Abstract
1. Introduction
2. Methods
2.1. Simulation—Analysis and Design Methodology
2.2. Experimental—Fabrication and Characterization
3. Results
3.1. Experimental Results of the MMI Devices Based on the 220 nm Device Layer Platform
3.2. Simulation Results of Ultrathin MMI Sensors
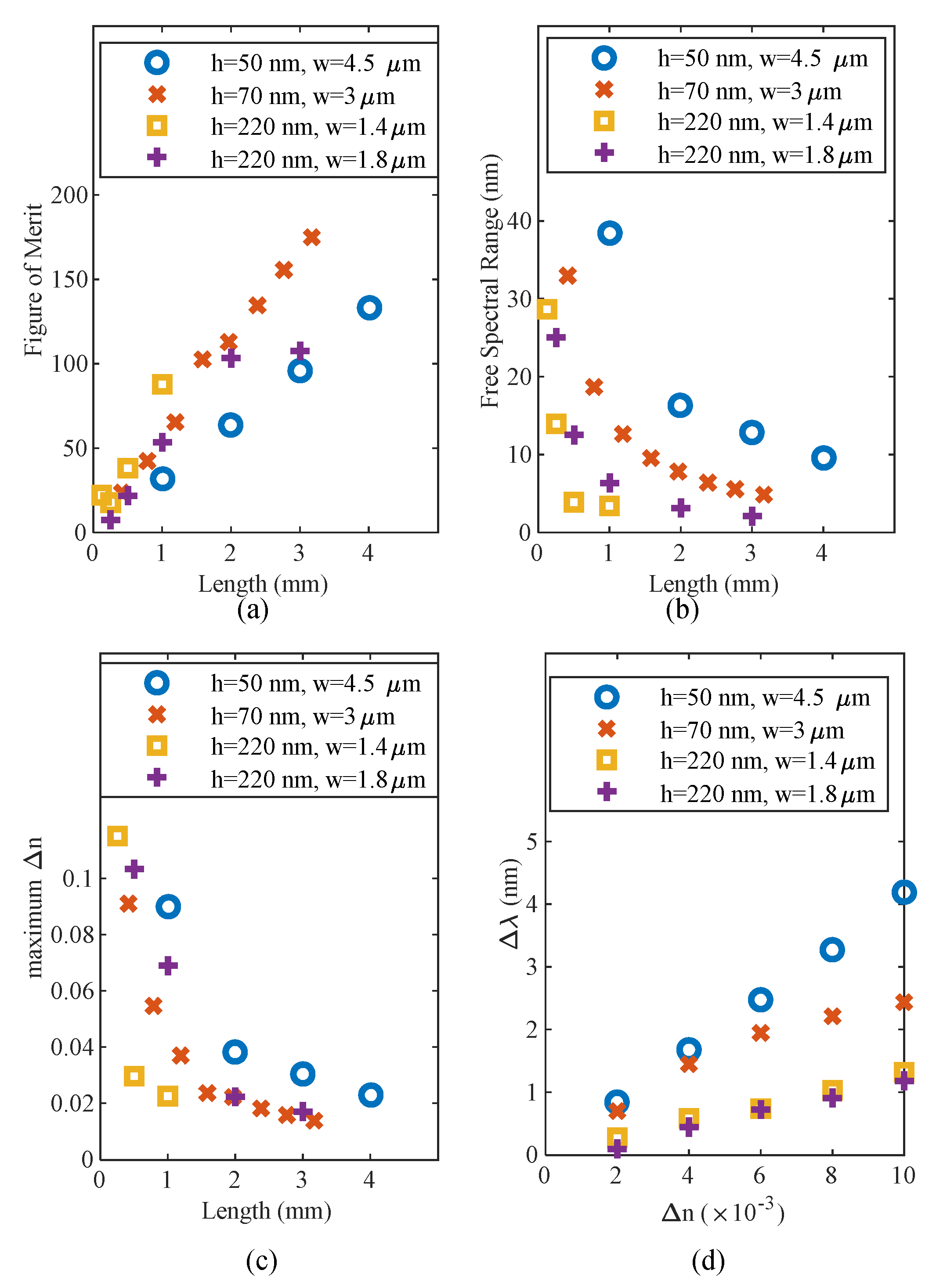
3.3. Applications of Ultrathin MMI Sensors
4. Discussion
5. Conclusions
Author Contributions
Funding
Acknowledgments
Conflicts of Interest
References
- Guo, Y.; Li, H.; Reddy, K.; Shelar, H.S.; Nittoor, V.R.; Fan, X. Optofluidic Fabry–Pérot cavity biosensor with integrated flow-through micro-/nanochannels. Appl. Phys. Lett. 2011, 98, 041104. [Google Scholar] [CrossRef]
- De Vos, K.; Girones, J.; Claes, T.; De Koninck, Y.; Popelka, S.; Schacht, E.; Baets, R.; Bienstman, P. Multiplexed Antibody Detection With an Array of Silicon-on-Insulator Microring Resonators. IEEE Photonics J. 2009, 1, 225–235. [Google Scholar] [CrossRef]
- Shi, X.; Ge, K.; Tong, J.-H.; Zhai, T. Low-cost biosensors based on a plasmonic random laser on fiber facet. Opt. Express 2020, 28, 12233. [Google Scholar] [CrossRef]
- Jia, Y.; Li, Z.; Wang, H.; Saeed, M.; Cai, H. Sensitivity enhancement of a surface plasmon resonance sensor with platinum diselenide. Sensors 2020, 20, 131. [Google Scholar] [CrossRef]
- Sherif, S.M.; Swillam, M.A. Metal-less silicon plasmonic mid-infrared gas sensor. J. Nanophotonics 2016, 10, 026025. [Google Scholar] [CrossRef]
- Zaki, A.O.; Kirah, K.; Swillam, M.A. Integrated optical sensor using hybrid plasmonics for lab on chip applications. J. Opt. 2016, 18, 085803. [Google Scholar] [CrossRef]
- Ayoub, A.B.; Ji, D.; Gan, Q.; Swillam, M.A. Silicon plasmonic integrated interferometer sensor for lab on chip applications. Opt. Commun. 2018, 427, 319–325. [Google Scholar] [CrossRef]
- Azab, M.Y.; Hameed, M.F.O.; Heikal, A.M.; Swillam, M.A.; Obayya, S.S.A. Design considerations of highly efficient D-shaped plasmonic biosensor. Opt. Quantum Electron. 2019, 51, 15. [Google Scholar] [CrossRef]
- Shafaay, S.; Swillam, M.A. Integrated slotted ring resonator at mid-infrared for on-chip sensing applications. J. Nanophotonics 2019, 13, 1. [Google Scholar] [CrossRef]
- Voronin, K.V.; Stebunov, Y.V.; Voronov, A.A.; Arsenin, A.V.; Volkov, V.S. Vertically coupled plasmonic racetrack ring resonator for biosensor applications. Sensors 2020, 20, 203. [Google Scholar] [CrossRef]
- Tian, Y.; Zhang, L.; Wang, L. DNA-Functionalized Plasmonic Nanomaterials for Optical Biosensing. Biotechnol. J. 2020, 15, 1–9. [Google Scholar] [CrossRef]
- Heidarzadeh, H. Analysis and simulation of a plasmonic biosensor for hemoglobin concentration detection using noble metal nano-particles resonances. Opt. Commun. 2020, 459, 124940. [Google Scholar] [CrossRef]
- Gamal, R.; Ismail, Y.; Swillam, M.A. Optical biosensor based on a silicon nanowire ridge waveguide for lab on chip applications. J. Opt. 2015, 17, 045802. [Google Scholar] [CrossRef]
- Sherif, S.M.; Elsayed, M.Y.; Shahada, L.A.; Swillam, M.A. Vertical silicon nanowire-based racetrack resonator optical sensor. Appl. Phys. A Mater. Sci. Process. 2019, 125, 769. [Google Scholar] [CrossRef]
- Khalil, D.A.; Swillam, M.A.; Shamy, R.S. El Mid Infrared Integrated MZI Gas Sensor Using Suspended Silicon Waveguide. J. Light. Technol. 2019, 37, 4394–4400. [Google Scholar]
- Elsayed, M.; Mohamed, S.; Aljaber, A.; Swillam, M. Optical Biosensor Based on Ultrathin SOI Waveguides. In Proceedings of the in Conference on Lasers and Electro-Optics, OSA Technical Digest (Optical Society of America, 2020), Washington, DC, USA, 10–15 May 2020; p. JTu2F.8. [Google Scholar]
- Dong, P.; Qian, W.; Liao, S.; Liang, H.; Kung, C.-C.; Feng, N.-N.; Shafiiha, R.; Fong, J.; Feng, D.; Krishnamoorthy, A.V.; et al. Low loss shallow-ridge silicon waveguides. Opt. Express 2010, 18, 14474. [Google Scholar] [CrossRef]
- Bauters, J.F.; Heck, M.J.R.; John, D.; Dai, D.; Tien, M.-C.; Barton, J.S.; Leinse, A.; Heideman, R.G.; Blumenthal, D.J.; Bowers, J.E. Ultra-low-loss high-aspect-ratio Si_3N_4 waveguides. Opt. Express 2011, 19, 3163. [Google Scholar] [CrossRef]
- Tien, M.-C.; Bauters, J.F.; Heck, M.J.R.; Spencer, D.T.; Blumenthal, D.J.; Bowers, J.E. Ultra-high quality factor planar Si_3N_4 ring resonators on Si substrates. Opt. Express 2011, 19, 13551. [Google Scholar] [CrossRef]
- Ding, D.; de Dood, M.J.A.; Bauters, J.F.; Heck, M.J.R.; Bowers, J.E.; Bouwmeester, D. Fano resonances in a multimode waveguide coupled to a high-Q silicon nitride ring resonator. Opt. Express 2014, 22, 6778. [Google Scholar] [CrossRef]
- Cardenas, J.; Poitras, C.B.; Robinson, J.T.; Preston, K.; Chen, L.; Lipson, M. Low loss etchless silicon photonic waveguides. Opt. Express 2009, 17, 4752. [Google Scholar] [CrossRef]
- Gould, M.; Pomerene, A.; Hill, C.; Ocheltree, S.; Zhang, Y.; Baehr-Jones, T.; Hochberg, M. Ultra-thin silicon-on-insulator strip waveguides and mode couplers. Appl. Phys. Lett. 2012, 101, 221106. [Google Scholar] [CrossRef]
- He, L.; He, Y.; Pomerene, A.; Hill, C.; Ocheltree, S.; Baehr-Jones, T.; Hochberg, M. Ultrathin Silicon-on-Insulator Grating Couplers. IEEE Photonics Technol. Lett. 2012, 24, 2247–2249. [Google Scholar] [CrossRef]
- Zou, Z.; Zhou, L.; Li, X.; Chen, J. 60-nm-thick basic photonic components and Bragg gratings on the silicon-on-insulator platform. Opt. Express 2015, 23, 20784. [Google Scholar] [CrossRef]
- Yang, S.; Zhang, Y.; Grund, D.W.; Ejzak, G.A.; Liu, Y.; Novack, A.; Prather, D.; Lim, A.E.-J.; Lo, G.-Q.; Baehr-Jones, T.; et al. A single adiabatic microring-based laser in 220 nm silicon-on-insulator. Opt. Express 2014, 22, 1172. [Google Scholar] [CrossRef]
- Fard, S.T.; Donzella, V.; Schmidt, S.A.; Flueckiger, J.; Grist, S.M.; Talebi Fard, P.; Wu, Y.; Bojko, R.J.; Kwok, E.; Jaeger, N.A.F.; et al. Performance of ultra-thin SOI-based resonators for sensing applications. Opt. Express 2014, 22, 14166. [Google Scholar] [CrossRef]
- Abdeen, A.S.; Ayoub, A.B.; Attiya, A.M.; Swillam, M.A. High efficiency compact Bragg sensor. In Proceedings of the 2016 Photonics North (PN), Quebec City, QC, Canada, 24–26 May 2016; p. 1. [Google Scholar]
- Soldano, L.B.; Pennings, E.C.M. Optical Multimode Interference Devices Based on Self-Imaging: Principles and Applications. J. Light. Technol. 1995, 13, 615–627. [Google Scholar] [CrossRef]
- Gouveia, C.; Chesini, G.; Cordeiro, C.M.B.; Baptista, J.M.; Jorge, P.A.S. Simultaneous measurement of refractive index and temperature using multimode interference inside a high birefringence fiber loop mirror. Sens. Actuators B Chem. 2013, 177, 717–723. [Google Scholar] [CrossRef]
- Burla, M.; Crockett, B.; Chrostowski, L.; Azana, J. Ultra-high Q multimode waveguide ring resonators for microwave photonics signal processing. In Proceedings of the 2015 International Topical Meeting on Microwave Photonics (MWP), Paphos, Cyprus, 26–29 October 2015; pp. 1–4. [Google Scholar]
- Kumar, M.; Dwivedi, R.; Kumar, A. Multimode Interference Based Planar Optical Waveguide Biosensor. In Proceedings of the 12th International Conference on Fiber Optics and Photonics, Kharagpur, India, 13–16 December 2014; p. S5A.8. [Google Scholar]
- Rodriguez-Rodriguez, A.; Dominguez-Cruz, R.; May-Arrioja, D.A.; Matias-Maestro, I.; Arregui, F.; Ruiz-Zamarreno, C. Fiber optic refractometer based in multimode interference effects (MMI) using Indium Tin Oxide (ITO) coating. In Proceedings of the 2015 IEEE SENSORS, Busan, Korea, 1–4 November 2015; pp. 1–3. [Google Scholar]
- Irace, A.; Breglio, G. All-silicon optical temperature sensor based on Multimode Interference. Opt. Express 2003, 11, 2807. [Google Scholar] [CrossRef]
- Lumerical Solutions Inc. Optical Waveguide Design Software—Lumerical MODE Solutions. Available online: https://www.lumerical.com/products/mode-solutions/ (accessed on 14 March 2019).
- Wang, Y.; Wang, X.; Flueckiger, J.; Yun, H.; Shi, W.; Bojko, R.; Jaeger, N.A.F.; Chrostowski, L. Focusing sub-wavelength grating couplers with low back reflections for rapid prototyping of silicon photonic circuits. Opt. Express 2014, 22, 20652. [Google Scholar] [CrossRef]
- Ciminelli, C.; Dell’Olio, F.; Conteduca, D.; Campanella, C.M.; Armenise, M.N. High performance SOI microring resonator for biochemical sensing. Opt. Laser Technol. 2014, 59, 60–67. [Google Scholar] [CrossRef]
- Yeh, Y.-L. Real-time measurement of glucose concentration and average refractive index using a laser interferometer. Opt. Lasers Eng. 2008, 46, 666–670. [Google Scholar] [CrossRef]
- Hale, G.M.; Querry, M.R. Optical Constants of Water in the 200-nm to 200-μm Wavelength Region. Appl. Opt. 1973, 12, 555. [Google Scholar] [CrossRef]
- Tirosh, A.; Shai, I.; Tekes-Manova, D.; Israeli, E.; Pereg, D.; Shochat, T.; Kochba, I.; Rudich, A. Normal Fasting Plasma Glucose Levels and Type 2 Diabetes in Young Men. N. Engl. J. Med. 2005, 353, 1454–1462. [Google Scholar] [CrossRef]
- Skivesen, N.; Têtu, A.; Kristensen, M.; Kjems, J.; Frandsen, L.H.; Borel, P.I. Photonic-crystal waveguide biosensor. Opt. Express 2007, 15, 3169. [Google Scholar] [CrossRef]
- Mudraboyina, A.K.; Sabarinathan, J. Protein binding detection using on-chip silicon gratings. Sensors 2011, 11, 11295–11304. [Google Scholar] [CrossRef]
- Tsao, S.-L.; Peng, P.-C.; Lee, S.-G. A novel MMI-MI SOI temperature sensor. In Proceedings of the LEOS 2000; 2000 IEEE Annual Meeting Conference Proceedings; 13th Annual Meeting; IEEE Lasers and Electro-Optics Society 2000 Annual Meeting (Cat. No.00CH37080), Rio Grande, PR, USA, 13–16 November 2000. [Google Scholar]









| Work | Sensitivity | Footprint | Study |
|---|---|---|---|
| This work—50 nm | 420 nm/RIU | 4.5 μm × 4 mm | Sim |
| This work—70 nm | 350 nm/RIU | 3 μm × 2.4 mm | Sim |
| Si-on-Si [27] | 0.8/°C | 32 μm × 5 mm | Sim |
| Doped silica [25] | 1900 nm/RIU | 7 μm × 30 mm | Sim |
| Multimode fiber [26] | 297 nm/RIU | 125 μm × 58.6 mm | Exp |
| SOI [42] | 0.0364 THz/°C | 27 μm × 1.144 mm | Sim |
© 2020 by the authors. Licensee MDPI, Basel, Switzerland. This article is an open access article distributed under the terms and conditions of the Creative Commons Attribution (CC BY) license (http://creativecommons.org/licenses/by/4.0/).
Share and Cite
Y. Elsayed, M.; M. Sherif, S.; S. Aljaber, A.; A. Swillam, M. Integrated Lab-on-a-Chip Optical Biosensor Using Ultrathin Silicon Waveguide SOI MMI Device. Sensors 2020, 20, 4955. https://doi.org/10.3390/s20174955
Y. Elsayed M, M. Sherif S, S. Aljaber A, A. Swillam M. Integrated Lab-on-a-Chip Optical Biosensor Using Ultrathin Silicon Waveguide SOI MMI Device. Sensors. 2020; 20(17):4955. https://doi.org/10.3390/s20174955
Chicago/Turabian StyleY. Elsayed, Mohamed, Sherif M. Sherif, Amina S. Aljaber, and Mohamed A. Swillam. 2020. "Integrated Lab-on-a-Chip Optical Biosensor Using Ultrathin Silicon Waveguide SOI MMI Device" Sensors 20, no. 17: 4955. https://doi.org/10.3390/s20174955
APA StyleY. Elsayed, M., M. Sherif, S., S. Aljaber, A., & A. Swillam, M. (2020). Integrated Lab-on-a-Chip Optical Biosensor Using Ultrathin Silicon Waveguide SOI MMI Device. Sensors, 20(17), 4955. https://doi.org/10.3390/s20174955

