Peroxynitrite Sensor Based on a Screen Printed Carbon Electrode Modified with a Poly(2,6-dihydroxynaphthalene) Film
Abstract
:1. Introduction
2. Materials and Methods
2.1. Chemicals and Materials
2.2. Electrochemical Instruments
2.3. PON Synthesis
2.4. Preparation of Poly(2,6-DHN)/SPCE
2.5. Morphological Analysis (Scanning Electron Microscopy)
2.6. Fourier Transform Infrared Analysis
2.7. Analytical Procedure
2.8. Meat Extracts Analysis
3. Results and Discussion
3.1. Electrodeposition of Poly(2,6-DHN)
3.2. Characterization of Poly(2,6-DHN)/SPCE Sensors by SEM and FTIR Analysis
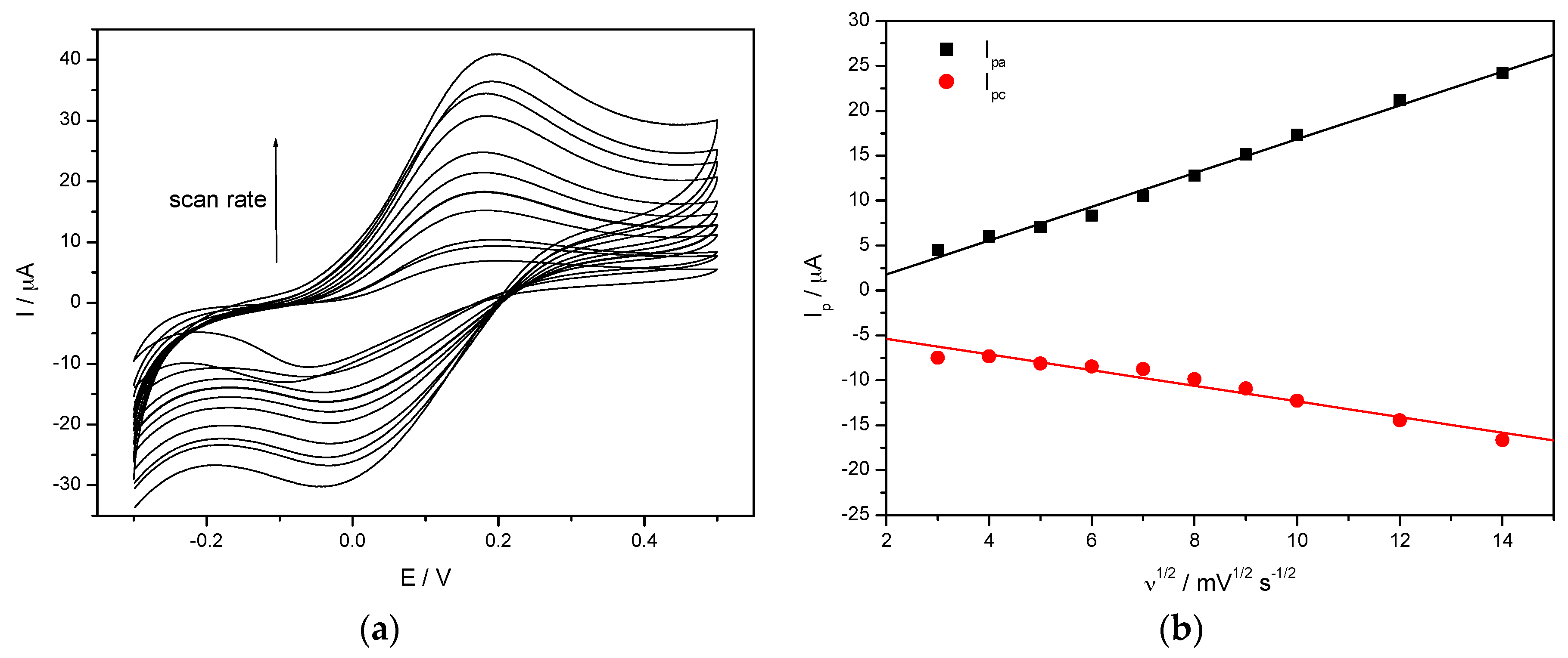
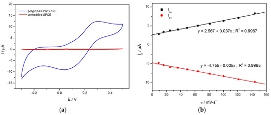
3.3. Electrochemical Characterization of the Poly(2,6-DHN)/SPCE Sensors
3.4. Amperometric Detection of PON
3.5. Selectivity, Reproducibility and Stability of the Poly(2,6-DHN)/SPCE
3.6. PON Recovery in Meat Extract
4. Conclusions
Acknowledgments
Author Contributions
Conflicts of Interest
References
- Brannan, R.G.; Decker, E.A. Peroxynitrite-induced oxidation of lipids: Implications for muscle foods. J. Agric. Food Chem. 2001, 49, 3074–3079. [Google Scholar] [CrossRef] [PubMed]
- Connolly, B.; Brannan, R.; Decker, E. Potential of peroxynitrite to alter the color of myoglobin in muscle foods. J. Agric. Food Chem. 2002, 50, 5220–5223. [Google Scholar] [CrossRef] [PubMed]
- Connolly, B.; Decker, E. Peroxynitrite induced discoloration of muscle foods. Meat Sci. 2004, 66, 499–505. [Google Scholar] [CrossRef]
- Zhang, W.; Xiao, S.; Ahn, D. Protein oxidation: Basic principles and implications for meat quality. Crit. Rev. Food Sci. Nutr. 2013, 53, 1191–1201. [Google Scholar] [CrossRef] [PubMed]
- Lindahl, G. Colour stability of steaks from large beef cuts aged under vacuum or high oxygen modified atmosphere. Meat Sci. 2011, 87, 428–435. [Google Scholar] [CrossRef] [PubMed]
- Crow, J. Dichlorodihydrofluorescein and dihydrorhodamine 123 are sensitive indicators of peroxynitrite in vitro: Implications for intracellular measurement of reactive nitrogen and oxygen species. Nitric Oxide 1997, 1, 145–157. [Google Scholar] [CrossRef] [PubMed]
- Kooy, N.; Royall, J.; Ischiropoulos, H.; Beckman, J. Peroxynitrite-mediated oxidation of dihydrorhodamine-123. Free Radic. Biol. Med. 1994, 16, 149–156. [Google Scholar] [CrossRef]
- Yang, X.; Guo, X.; Zhao, Y. Development of a novel rhodamine-type fluorescent probe to determine peroxynitrite. Talanta 2002, 57, 883–890. [Google Scholar] [PubMed]
- Yang, D.; Wang, H.; Sun, Z.; Chung, N.; Shen, J. A highly selective fluorescent probe for the detection and imaging of peroxynitrite in living cells. J. Am. Chem. Soc. 2006, 128, 6004–6005. [Google Scholar] [CrossRef] [PubMed]
- Huang, J.; Li, D.; Diao, J.; Hou, J.; Yuan, J.; Zou, G. A novel fluorescent method for determination of peroxynitrite using folic acid as a probe. Talanta 2007, 72, 1283–1287. [Google Scholar] [CrossRef] [PubMed]
- Sikora, A.; Zielonka, J.; Lopez, M.; Joseph, J.; Kalyanaraman, B. Direct oxidation of boronates by peroxynitrite: Mechanism and implications in fluorescence imaging of peroxynitrite. Free Radic. Biol. Med. 2009, 47, 1401–1407. [Google Scholar] [CrossRef] [PubMed]
- Yu, F.; Song, P.; Li, P.; Wang, B.; Han, K. A fluorescent probe directly detect peroxynitrite based on boronate oxidation and its applications for fluorescence imaging in living cells. Analyst 2012, 137, 3740–3749. [Google Scholar] [CrossRef] [PubMed]
- Zielonka, J.; Sikora, A.; Hardy, M.; Joseph, J.; Dranka, B.; Kalyanaraman, B. Boronate probes as diagnostic tools for real time monitoring of peroxynitrite and hydroperoxides. Chem. Res. Toxicol. 2012, 25, 1793–1799. [Google Scholar] [CrossRef] [PubMed]
- Peng, T.; Yang, D. Hkgreen-3: A rhodol-based fluorescent probe for peroxynitrite. Org. Lett. 2010, 12, 4932–4935. [Google Scholar] [CrossRef] [PubMed]
- Simoes, E.; da Silva, J.; Leitao, J. Carbon dots from tryptophan doped glucose for peroxynitrite sensing. Anal. Chim. Acta 2014, 852, 174–180. [Google Scholar] [CrossRef] [PubMed]
- Simoes, E.; Leitao, J.; da Silva, J. Carbon dots prepared from citric acid and urea as fluorescent probes for hypochlorite and peroxynitrite. Microchim. Acta 2016, 183, 1769–1777. [Google Scholar] [CrossRef]
- Ribeiro, M.; Dias, A.; Santos, J.; Fernandes, E.; Lima, J.; Zagatto, E. A multipumping flow system for in vitro screening of peroxynitrite scavengers. J. Biomol. Screen. 2007, 12, 875–880. [Google Scholar] [CrossRef] [PubMed]
- Li, D.; Wang, L.; Zeng, X.; Zou, G. Spectrophotometric determination of peroxynitrite using o-phenylenediamine as a probe. Anal. Lett. 2004, 37, 2949–2963. [Google Scholar] [CrossRef]
- Hou, J.; Yang, J.; Li, K.; Liao, Y.; Yu, K.; Xie, Y.; Yu, X. A highly selective water-soluble optical probe for endogenous peroxynitrite. Chem. Commun. 2014, 50, 9947–9950. [Google Scholar] [CrossRef] [PubMed]
- De Menezes, S.; Augusto, O. EPR detection of glutathionyl and protein-tyrosyl radicals during the interaction of peroxynitrite with macrophages (j774). J. Biol. Chem. 2001, 276, 39879–39884. [Google Scholar] [CrossRef] [PubMed]
- Borgmann, S. Electrochemical quantification of reactive oxygen and nitrogen: Challenges and opportunities. Anal. Bioanal. Chem. 2009, 394, 95–105. [Google Scholar] [CrossRef] [PubMed]
- Amatore, C.; Arbault, S.; Koh, A. Simultaneous detection of reactive oxygen and nitrogen species released by a single macrophage by triple potential-step chronoamperometry. Anal. Chem. 2010, 82, 1411–1419. [Google Scholar] [CrossRef] [PubMed]
- Arduini, F.; Micheli, L.; Moscone, D.; Palleschi, G.; Piermarini, S.; Ricci, F.; Volpe, G. Electrochemical biosensors based on nanomodified screen-printed electrodes: Recent applications in clinical analysis. TRAC Trends Anal. Chem. 2016, 79, 114–126. [Google Scholar] [CrossRef]
- Amatore, C.; Arbault, S.; Bruce, D.; de Oliveira, P.; Erard, M.; Vuillaume, M. Characterization of the electrochemical oxidation of peroxynitrite: Relevance to oxidative stress bursts measured at the single cell level. Chem. Eur. J. 2001, 7, 4171–4179. [Google Scholar] [CrossRef]
- Iwunze, M. Electrooxidation of peroxynitrite in simulated body fluid at platinum electrode. Cell. Mol. Biol. 2004, 50, 759–765. [Google Scholar] [PubMed]
- Cortes, J.; Granados, S.; Ordaz, A.; Jimenez, J.; Griveau, S.; Bedioui, F. Electropolymerized manganese tetraaminophthalocyanine thin films onto platinum ultramicroelectrode for the electrochemical detection of peroxynitrite in solution. Electroanalysis 2007, 19, 61–64. [Google Scholar] [CrossRef]
- Koh, W.; Son, J.; Choe, E.; Shim, Y. Electrochemical detection of peroxynitrite using a biosensor based on a conducting polymer-manganese ion complex. Anal. Chem. 2010, 82, 10075–10082. [Google Scholar] [CrossRef] [PubMed]
- Bedioui, F.; Griveau, S.; Quinton, D. Comment on “Electrochemical detection of peroxynitrite using a biosensor based on a conducting polymer-manganese ion complex”. Anal. Chem. 2011, 83, 5463–5464. [Google Scholar] [CrossRef] [PubMed]
- Koh, W.; Son, J.; Choe, E.; Shim, Y. Response to the comment on “Electrochemical detection of peroxynitrite using a biosensor based on a conducting polymer-manganese ion complex”. Anal. Chem. 2011, 83, 5465–5466. [Google Scholar] [CrossRef]
- Wang, Y.; Chen, Z. A novel poly(cyanocobalamin) modified glassy carbon electrode as electrochemical sensor for voltammetric determination of peroxynitrite. Talanta 2010, 82, 534–539. [Google Scholar] [CrossRef] [PubMed]
- Lange, U.; Roznyatouskaya, N.; Mirsky, V. Conducting polymers in chemical sensors and arrays. Anal. Chim. Acta 2008, 614, 1–26. [Google Scholar] [CrossRef] [PubMed]
- Peteu, S.; Peiris, P.; Gebremichael, E.; Bayachou, M. Nanostructured poly(3,4-ethylenedioxythiophene)-metalloporphyrin films: Improved catalytic detection of peroxynitrite. Biosens. Bioelectron. 2010, 25, 1914–1921. [Google Scholar] [CrossRef] [PubMed]
- Peteu, S.; Bose, T.; Bayachou, M. Polymerized hemin as an electrocatalytic platform for peroxynitrite’s oxidation and detection. Anal. Chim. Acta 2013, 780, 81–88. [Google Scholar] [CrossRef] [PubMed]
- Oprea, R.; Peteu, S.; Subramanian, P.; Qi, W.; Pichonat, E.; Happy, H.; Bayachou, M.; Boukherroub, R.; Szunerits, S. Peroxynitrite activity of hemin-functionalized reduced graphene oxide. Analyst 2013, 138, 4345–4352. [Google Scholar] [CrossRef] [PubMed]
- Hosu, I.S.; Wang, Q.; Vasilescu, A.; Peteu, S.; Raditoiu, V.; Railian, S.; Zaitsev, V.; Turcheniuk, K.; Li, M.; Boukherroub, R.; et al. Cobalt phthalocyanine tetracarboxylic acid modified reduced graphene oxide: A sensitive matrix for the electrocatalytic detection of peroxynitrite and hydrogen peroxide. RSC Adv. 2015, 5, 1474–1484. [Google Scholar] [CrossRef]
- Peteu, S.; Whitman, B.; Galligan, J.; Swain, G. Electrochemical detection of peroxynitrite using hemin-pedot functionalized boron-doped diamond microelectrode. Analyst 2016, 141, 1796–1806. [Google Scholar] [CrossRef] [PubMed]
- Badea, M.; Curulli, A.; Palleschi, G. Oxidase enzyme immobilisation through electropolymerised films to assemble biosensors for batch and flow injection analysis. Biosens. Bioelectron. 2003, 18, 689–698. [Google Scholar] [CrossRef]
- Ocnaru, E.; Arsene, M.; Vasilescu, G.; Doni, M.B. Selective determination of nitrite in cured meat products using a nonconductive polymer film based sensor. Sci. Bull. Ser. F Biotechnol. 2013, 17, 198–201. [Google Scholar]
- Robinson, K.; Beckman, J.; Packer, L.; Cadenas, E. Synthesis of peroxynitrite from nitrite and hydrogen peroxide. Methods Enzymol. 2005, 396, 207–214. [Google Scholar] [PubMed]
- Badea, M.; Amine, A.; Benzine, M.; Curulli, A.; Moscone, D.; Lupu, A.; Volpe, G.; Palleschi, G. Rapid and selective electrochemical determination of nitrite in cured meat in the presence of ascorbic acid. Microchim. Acta 2004, 147, 51–58. [Google Scholar] [CrossRef]
- Tsutsui, Y.; Numao, N.; Suzuki, M. Oxidative coupling polymerization of 2,6-dihydroxynaphthalene in basic water. Polym. J. 2006, 38, 234–239. [Google Scholar] [CrossRef]
- Zare, H.; Habibirad, A. Electrochemistry and electrocatalytic activity of catechin film on a glassy carbon electrode toward the oxidation of hydrazine. J. Solid State Electrochem. 2006, 10, 348–359. [Google Scholar] [CrossRef]
- Bard, J.B.; Faulkner, R.B. Electrochemical Methods: Fundamentals and Applications, 2nd ed.; Wiley: New York, NY, USA, 2001. [Google Scholar]











| Mediator/Electrode | Electroanalytical Method | Linear Range (μM) | LOD (μM) | Sample | Reference |
|---|---|---|---|---|---|
| Manganese tetraamino-phthalocyanine/Pt microelectrode | Amperometry; Reduction—E = −0.5 V | 16.6–115 | 5.0 | - | [26] |
| Manganese-[poly2,5-di-(2-thienyl)-1H-pyrrole)-1-(p-benzoic acid)]/Pt microelectrode | Amperometry; Reduction—E = 0.2 V | 0.02–0.05 | 0.0019 | Blood plasma; Cell culture | [27] |
| Cyanocobalamin/glassy carbon electrode | Differential pulse voltammetry | 20–300 | 0.1 | Human serum | [30] |
| hemin–PEDOT/carbon fiber microelectrode | Amperometry; Oxidation—E = 0.75 V | 1–400 | 0.2 | - | [32] |
| Reduced graphene oxide/glassy carbon electrode | Amperometry; Oxidation—E = 1.1V | 0.005–0.016 | 0.005 | - | [34] |
| Poly(2,6-DHN)/screen printed carbon electrode | Amperometry; Oxidation—E = 0.075V | 2–300 | 0.2 | Meat extract | This work |
© 2016 by the authors; licensee MDPI, Basel, Switzerland. This article is an open access article distributed under the terms and conditions of the Creative Commons Attribution (CC-BY) license (http://creativecommons.org/licenses/by/4.0/).
Share and Cite
Hosu, I.S.; Constantinescu-Aruxandei, D.; Jecu, M.-L.; Oancea, F.; Badea Doni, M. Peroxynitrite Sensor Based on a Screen Printed Carbon Electrode Modified with a Poly(2,6-dihydroxynaphthalene) Film. Sensors 2016, 16, 1975. https://doi.org/10.3390/s16111975
Hosu IS, Constantinescu-Aruxandei D, Jecu M-L, Oancea F, Badea Doni M. Peroxynitrite Sensor Based on a Screen Printed Carbon Electrode Modified with a Poly(2,6-dihydroxynaphthalene) Film. Sensors. 2016; 16(11):1975. https://doi.org/10.3390/s16111975
Chicago/Turabian StyleHosu, Ioana Silvia, Diana Constantinescu-Aruxandei, Maria-Luiza Jecu, Florin Oancea, and Mihaela Badea Doni. 2016. "Peroxynitrite Sensor Based on a Screen Printed Carbon Electrode Modified with a Poly(2,6-dihydroxynaphthalene) Film" Sensors 16, no. 11: 1975. https://doi.org/10.3390/s16111975
APA StyleHosu, I. S., Constantinescu-Aruxandei, D., Jecu, M.-L., Oancea, F., & Badea Doni, M. (2016). Peroxynitrite Sensor Based on a Screen Printed Carbon Electrode Modified with a Poly(2,6-dihydroxynaphthalene) Film. Sensors, 16(11), 1975. https://doi.org/10.3390/s16111975

