Methyl 6-Benzyl-3-Hydroxy-3,6-Dimethyl-1,2-Dioxane-4-Carboxylate
Abstract
1. Introduction
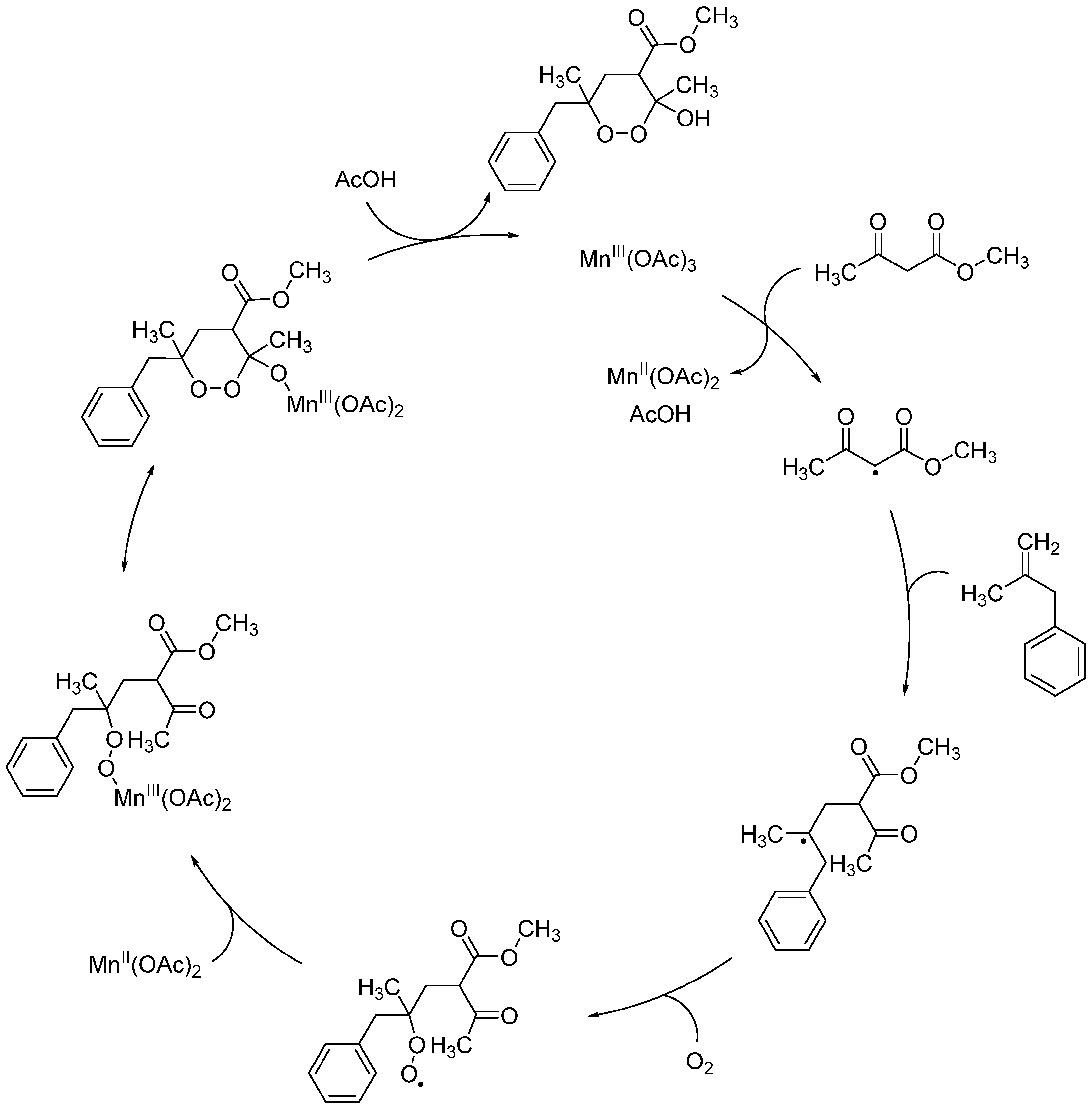
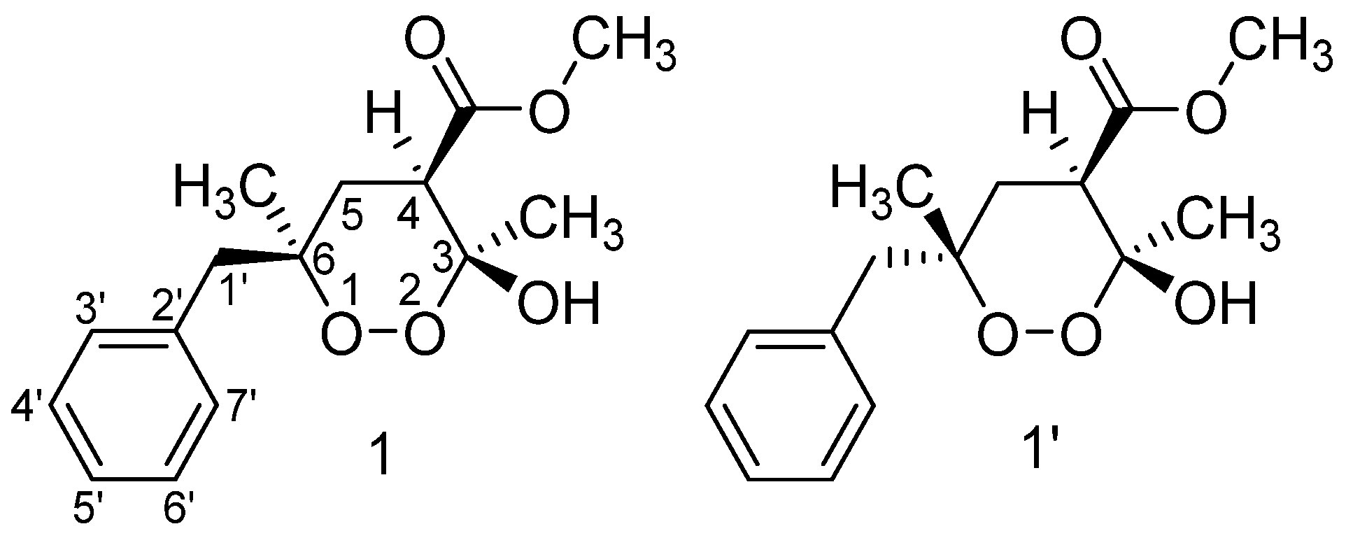
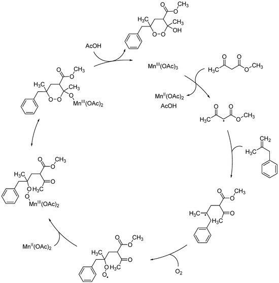
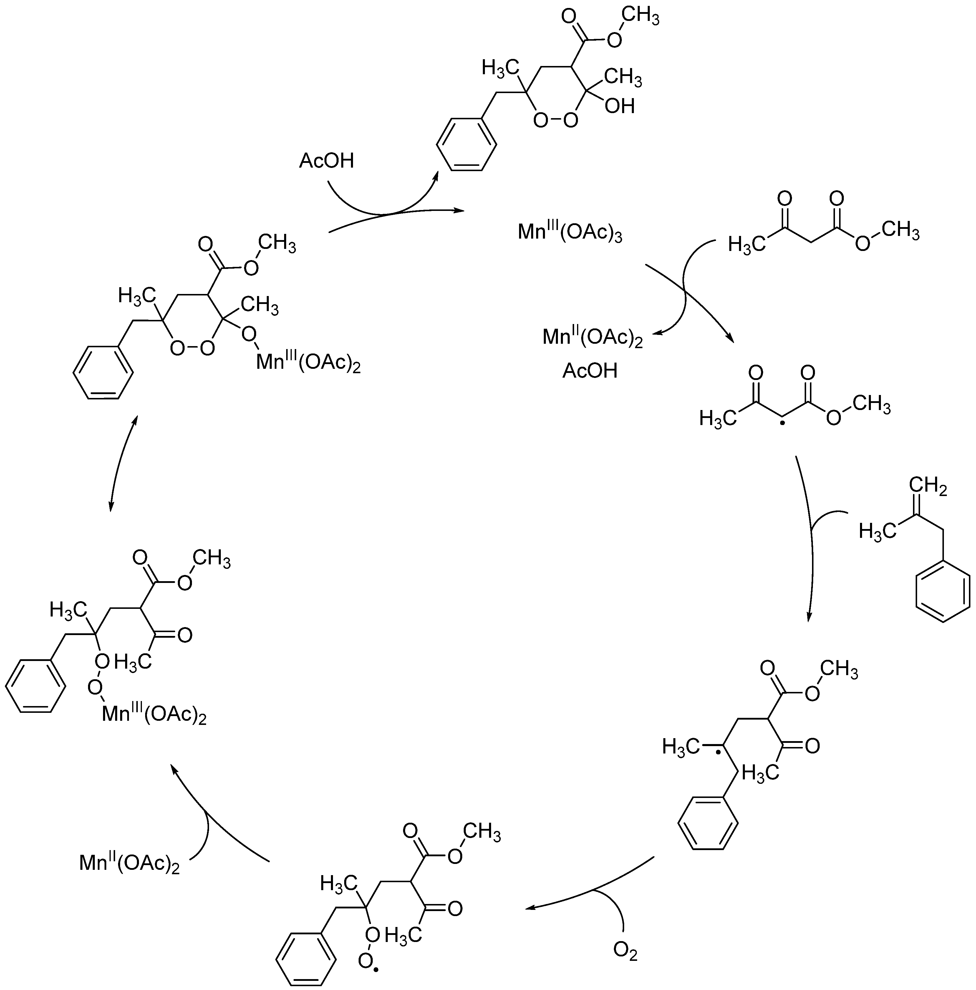
2. Results
Synthesis
3. Discussion
4. Materials and Methods
4.1. General
4.2. Methyl 6-Benzyl-3-Hydroxy-3,6-Dimethyl-1,2-Dioxane-4-Carboxylate (Compound 1)

Supplementary Materials
Author Contributions
Funding
Data Availability Statement
Acknowledgments
Conflicts of Interest
References
- Fact Sheet about Malaria. Available online: https://www.who.int/news-room/fact-sheets/detail/malaria (accessed on 12 January 2024).
- Piperaki, E.T.; Daikos, G.L. Malaria in Europe: Emerging Threat or Minor Nuisance? Clin. Microbiol. Infect. 2016, 22, 487–493. [Google Scholar] [CrossRef] [PubMed]
- Nishino, H.; Tategami, S.; Yamada, T.; Korp, J.D.; Kurosawa, K. Formation of 1,2-Dioxanes by the Use of Tris(2,4-Pentanedionato)Manganese(III) or Manganese(III) Acetate. Bull. Chem. Soc. Jpn. 1991, 64, 1800–1809. [Google Scholar] [CrossRef]
- Nishino, H. The Facile Synthesis of Dihydrofurans by the Oxidation of Olefins with Tris(2,4-Pentanedionato)Manganese(III). Bull. Chem. Soc. Jpn. 1985, 58, 1922–1927. [Google Scholar] [CrossRef]
- Persico, M.; Quintavalla, A.; Rondinelli, F.; Trombini, C.; Lombardo, M.; Fattorusso, C.; Azzarito, V.; Taramelli, D.; Parapini, S.; Corbett, Y.; et al. A New Class of Antimalarial Dioxanes Obtained through a Simple Two-Step Synthetic Approach: Rational Design and Structure-Activity Relationship Studies. J. Med. Chem. 2011, 54, 8526–8540. [Google Scholar] [CrossRef] [PubMed]
- Persico, M.; Parapini, S.; Chianese, G.; Fattorusso, C.; Lombardo, M.; Petrizza, L.; Quintavalla, A.; Rondinelli, F.; Basilico, N.; Taramelli, D.; et al. Further Optimization of Plakortin Pharmacophore: Structurally Simple 4-Oxymethyl-1,2-Dioxanes with Promising Antimalarial Activity. Eur. J. Med. Chem. 2013, 70, 875–886. [Google Scholar] [CrossRef] [PubMed]
- Lombardo, M.; Sonawane, D.P.; Quintavalla, A.; Trombini, C.; Dhavale, D.D.; Taramelli, D.; Corbett, Y.; Rondinelli, F.; Fattorusso, C.; Persico, M.; et al. Optimized Synthesis and Antimalarial Activity of 1,2-Dioxane-4-Carboxamides. Eur. J. Org. Chem. 2014, 2014, 1607–1614. [Google Scholar] [CrossRef]
- Sonawane, D.P.; Persico, M.; Corbett, Y.; Chianese, G.; Dato, A.D.; Fattorusso, C.; Taglialatela-Scafati, O.; Taramelli, D.; Trombini, C.; Dhavale, D.D.; et al. New Antimalarial 3-Methoxy-1,2-Dioxanes: Optimization of Cellular Pharmacokinetics and Pharmacodynamics Properties by Incorporation of Amino and N-Heterocyclic Moieties at C4. RSC Adv. 2015, 5, 72995–73010. [Google Scholar] [CrossRef]
- Yamada, T.; Iwahara, Y.; Nishino, H.; Kurosawa, K. Manganese-(II) and (III)-Mediated Free-Radical Cyclisation of Alkenes, β-Keto Esters and Molecular Oxygen. J. Chem. Soc. Perkin Trans. 1 1993, 5, 609–616. [Google Scholar] [CrossRef]
- Qian, C.-Y.; Nishino, H.; Kurosawa, K. Reactions of 1,1-Disubstituted Alkenes with Acetoacetamides and Molecular Oxygen in the Presence of Manganese(III) Acetate. Bull. Chem. Soc. Jpn. 1991, 64, 3557–3564. [Google Scholar] [CrossRef]
- Yoshida, J.; Nakatani, S.; Sakaguchi, K.; Isoe, S. Formal [2 + 2 + 2] Cycloaddition of Molecular Oxygen, 1,3-Diketone, and Olefin. Synthesis and Reactions of Cyclic Peroxides. J. Org. Chem. 1989, 54, 3383–3389. [Google Scholar] [CrossRef]
- Biyogo, A.M.; Curti, C.; El-Kashef, H.; Khoumeri, O.; Terme, T.; Vanelle, P. Mn(OAc)3 Catalyzed Intermolecular Oxidative Peroxycyclization of Naphthoquinone. RSC Adv. 2016, 7, 106–111. [Google Scholar] [CrossRef]
- Tategami, S.; Yamada, T.; Nishino, H.; Korp, J.D.; Kurosawa, K. Formation of 1,2-Dioxacyclohexanes by the Reaction of Alkenes with Tris(2,4-Pentanedionato)Manganese(III) or with β-Ketocarbonyl Compounds in the Presence of Manganese(III) Acetate. Tetrahedron Lett. 1990, 31, 6371–6374. [Google Scholar] [CrossRef]
- Curti, C.; Crozet, M.D.; Vanelle, P. Microwave-Assisted Manganese(III) Acetate Based Oxidative Cyclizations of Alkenes with β-Ketosulfones. Tetrahedron 2009, 65, 200–205. [Google Scholar] [CrossRef]
- Schmid, R.; Heuckeroth, S.; Korf, A.; Smirnov, A.; Myers, O.; Dyrlund, T.S.; Bushuiev, R.; Murray, K.J.; Hoffmann, N.; Lu, M.; et al. Integrative Analysis of Multimodal Mass Spectrometry Data in MZmine 3. Nat. Biotechnol. 2023, 41, 447–449. [Google Scholar] [CrossRef] [PubMed]






Disclaimer/Publisher’s Note: The statements, opinions and data contained in all publications are solely those of the individual author(s) and contributor(s) and not of MDPI and/or the editor(s). MDPI and/or the editor(s) disclaim responsibility for any injury to people or property resulting from any ideas, methods, instructions or products referred to in the content. |
© 2024 by the authors. Licensee MDPI, Basel, Switzerland. This article is an open access article distributed under the terms and conditions of the Creative Commons Attribution (CC BY) license (https://creativecommons.org/licenses/by/4.0/).
Share and Cite
Benech, A.; Khoumeri, O.; Curti, C.; Vanelle, P. Methyl 6-Benzyl-3-Hydroxy-3,6-Dimethyl-1,2-Dioxane-4-Carboxylate. Molbank 2024, 2024, M1825. https://doi.org/10.3390/M1825
Benech A, Khoumeri O, Curti C, Vanelle P. Methyl 6-Benzyl-3-Hydroxy-3,6-Dimethyl-1,2-Dioxane-4-Carboxylate. Molbank. 2024; 2024(2):M1825. https://doi.org/10.3390/M1825
Chicago/Turabian StyleBenech, Alexandre, Omar Khoumeri, Christophe Curti, and Patrice Vanelle. 2024. "Methyl 6-Benzyl-3-Hydroxy-3,6-Dimethyl-1,2-Dioxane-4-Carboxylate" Molbank 2024, no. 2: M1825. https://doi.org/10.3390/M1825
APA StyleBenech, A., Khoumeri, O., Curti, C., & Vanelle, P. (2024). Methyl 6-Benzyl-3-Hydroxy-3,6-Dimethyl-1,2-Dioxane-4-Carboxylate. Molbank, 2024(2), M1825. https://doi.org/10.3390/M1825

